Double-Chain Cationic Surfactants: Swelling, Structure, Phase Transitions and Additive Effects
Abstract
1. Introduction
2. Results and Discussion
2.1. Thermal Behaviour of DODAC and DODAB
2.2. SAXS and WAXS Studies
2.2.1. Swelling of DODAC in Water
2.2.2. Swelling of DODAB in Water
2.2.3. Salt Effects
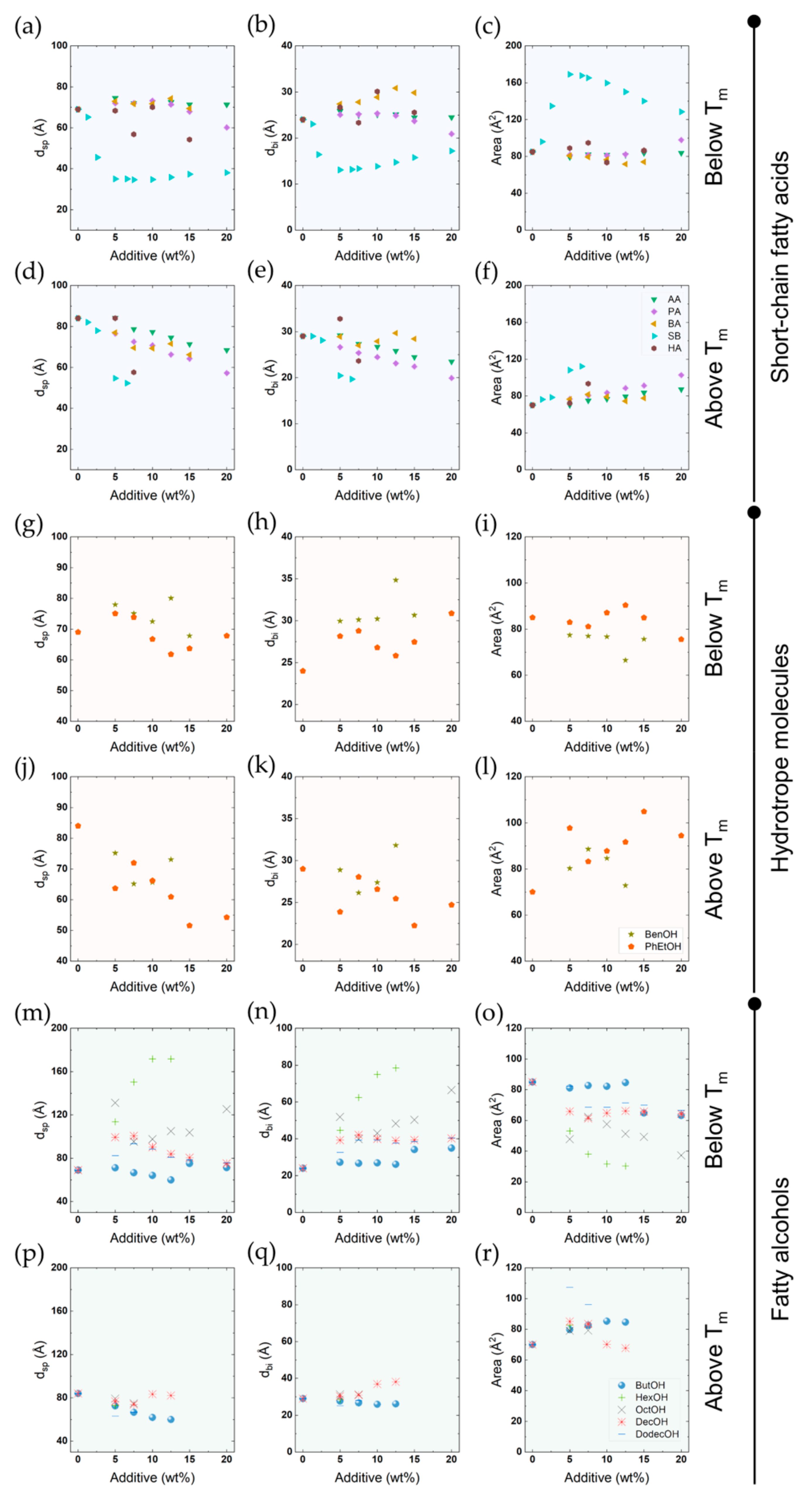
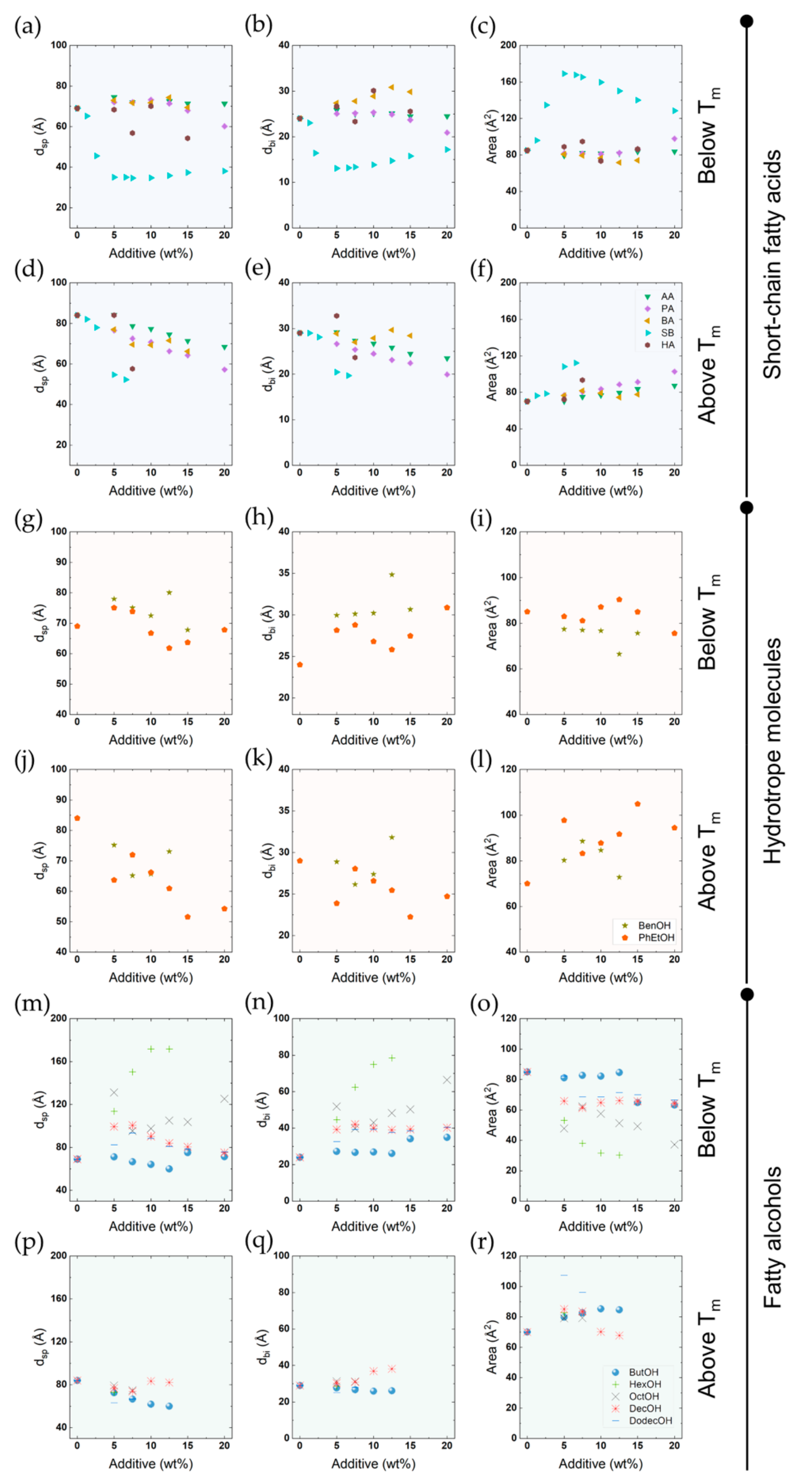
2.3. Additive Effects
2.3.1. Effects on Bilayer Stability and Packing
- polar highly water-soluble cosolutes can reduce the hydrophobic interactions, which drive surfactant self-assembly;
- oppositely charged amphiphilic ions may strengthen association by weakening opposing electrostatic interactions;
- electrolytes may screen electrostatic repulsions and strengthen association (electrolyte addition is dealt with in Section 2.2.3);
- amphiphilic nonionic cosolutes may strengthen association by decreasing the charge density of the aggregates.
2.3.2. Transitions to Nonlamellar Phases
2.3.3. Dilution Experiments
3. Conclusions
4. Materials and Methods
4.1. Polarised Optical Microscopy
4.2. Differential Scanning Calorimetry
4.3. Small- and Wide-Angle X-ray Scattering
Supplementary Materials
Author Contributions
Funding
Institutional Review Board Statement
Informed Consent Statement
Data Availability Statement
Acknowledgments
Conflicts of Interest
References
- Grindley, J.; Bury, C.R. XCVII—The densities of butyric acid? Water mixtures. J. Chem. Soc. 1929, 679–684. [Google Scholar] [CrossRef]
- Davies, D.G.; Bury, C.R. CCLXXXIX.?The partial specific volume of potassium n-octoate in aqueous solution. J. Chem. Soc. 1930, 2263–2267. [Google Scholar] [CrossRef]
- Ekwall, P. Om ytaktiviteten hos lösningar av högmolekylära fettsyrors natriumsalter. Acta Acad. Abo. Math. Phys. 1927, IV. [Google Scholar]
- Mukerjee, P.; Mysels, K. Critical micelle concentrations of aqueous surfactant systems. Crit. Micelle Conc. aqueous surfactant Syst. 1971, 36. [Google Scholar] [CrossRef]
- Hartley, G.; Donnan, F. Aqueous Solutions of Paraffin-Chain Salts: A Study in Micelle Formation; Hermann & Cie: Paris, France, 1936. [Google Scholar]
- Drakenberg, T.; Lindman, B. 13C NMR of micellar solutions. J. Colloid Interface Sci. 1973, 44, 184–186. [Google Scholar] [CrossRef]
- Wennerström, H.; Lindman, B.; Söderman, O.; Drakenberg, T.; Rosenholm, J.B. Carbon-13 magnetic relaxation in micellar solutions. Influence of aggregate motion on T1. J. Am. Chem. Soc. 1979, 101, 6860–6864. [Google Scholar] [CrossRef]
- Wennerström, H.; Lindman, B. Micelles. Physical chemistry of surfactant association. Phys. Rep. 1979, 52, 1–86. [Google Scholar] [CrossRef]
- Lindman, B.; Wennerström, H. Miceles. Amphiphile aggregation in aqueous solution. Top. Curr. Chem. 1980, 87, 1–83. [Google Scholar] [PubMed]
- Wennerström, H.; Lindman, B. Water penetration into surfactant micelles. J. Phys. Chem. 1979, 83, 2931–2932. [Google Scholar] [CrossRef]
- Menger, F.M.; Zana, R.; Lindman, B. Portraying the Structure of Micelles. J. Chem. Educ. 1998, 75, 115. [Google Scholar] [CrossRef]
- Lindman, B.; Medronho, B.; Alves, L.; Norgren, M.; Nordenskiöld, L. Hydrophobic interactions control the self-assembly of DNA and cellulose. Q. Rev. Biophys. 2021, 54, e3. [Google Scholar] [CrossRef]
- Gunnarsson, G.; Jönsson, B.; Wennerström, H. Surfactant association into micelles. An electrostatic approach. J. Phys. Chem. 1980, 84, 3114–3121. [Google Scholar] [CrossRef]
- Jönsson, B.; Wennerstrom, H. Thermodynamics of ionic amphiphile—water systems. J. Colloid Interface Sci. 1981, 80, 482–496. [Google Scholar] [CrossRef]
- Mandell, L.; Fontell, K.; Ekwall, P. Occurrence of Different Mesomorphous Phases in Ternary Systems of Amphiphilic Substances and Water. In Advances in Chemistry; American Chemical Society (ACS): Washington, DC, USA, 1967; Volume 63, pp. 89–124. [Google Scholar]
- Lange, H.; Schwuger, M.J. Eigenschaften von Tensiden mit je einer hydrophoben Gruppe im Anion und im Kation in wäßrigen Lösungen. Kolloid Z. Z. Polym. 1971, 243, 120–128. [Google Scholar] [CrossRef]
- Hato, M.; Shinoda, K. Krafft points of calcium and sodium dodecylpoly(oxyethylene) sulfates and their mixtures. J. Phys. Chem. 1973, 77, 378–381. [Google Scholar] [CrossRef]
- Tiddy, G. Surfactant-water liquid crystal phases. Phys. Rep. 1980, 57, 1–46. [Google Scholar] [CrossRef]
- Tsujii, K.; Saito, N.; Takeuchi, T. Krafft points of anionic surfactants and their mixtures with special attention to their applicability in hard water. J. Phys. Chem. 1980, 84, 2287–2291. [Google Scholar] [CrossRef]
- Laughlin, R.G. Fundamentals of the zwitterionic hydrophilic group. Langmuir 1991, 7, 842–847. [Google Scholar] [CrossRef]
- Gonçalves, R.A.; Lindman, B.; Miguel, M.; Iwata, T.; Lam, Y.M. Elucidating the effect of additives on the alkyl chain packing of a double tail cationic surfactant. J. Colloid Interface Sci. 2018, 528, 400–409. [Google Scholar] [CrossRef] [PubMed]
- Gonçalves, R.A.; Naidjonoka, P.; Nylander, T.; Miguel, M.G.; Lindman, B.; Lam, Y.M. Facile control of surfactant lamellar phase transition and adsorption behaviour. RSC Adv. 2020, 10, 18025–18034. [Google Scholar] [CrossRef]
- Evans, D.F.; Wennerström, H. The Colloidal Domain: Where Physics, Chemistry, Biology, and Technology Meet, 2nd ed.; Wiley-VCH: New York, NY, USA, 1999. [Google Scholar]
- Marques, E.; Khan, A.; Lindman, B. A calorimetric study of the gel-to-liquid crystal transition in catanionic surfactant vesicles. Thermochim. Acta 2002, 394, 31–37. [Google Scholar] [CrossRef]
- Kodama, M.; Seki, S. Thermal study on the interaction of crystalline surfactant with water: Octadecyltrimethylammonium chloride-water system. J. Colloid Interface Sci. 1987, 117, 485–496. [Google Scholar] [CrossRef]
- Kodama, M.; Kunitake, T.; Seki, S. Thermal characterisation of the mode of phase transition in the dioctadecyldimethylammonium bromide-water system in relation to the stability of its gel phase. J. Phys. Chem. 1990, 94, 1550–1554. [Google Scholar] [CrossRef]
- Fontell, K.; Ceglie, A.; Lindman, B.; Ninham, B. Some observations on phase-diagrams and structure in binary and ternary-systems of didodecyldimethylammonium bromide. Acta Chem. Scand. Ser. A Phys. Inorg. Chem. 1986, 40, 247–256. [Google Scholar] [CrossRef][Green Version]
- Sharker, K.K.; Islam, M.N.; Das, S. Counterion Effect on Krafft Temperature and Related Properties of Octadecyltrimethylammonium Bromide. J. Surfactants Deterg. 2017, 20, 923–932. [Google Scholar] [CrossRef]
- Lindman, B.; Medronho, B.; Karlström, G. Clouding of nonionic surfactants. Curr. Opin. Colloid Interface Sci. 2016, 22, 23–29. [Google Scholar] [CrossRef]
- Tanasescu, R.; Lanz, M.A.; Mueller, D.; Tassler, S.; Ishikawa, T.; Reiter, R.; Brezesinski, G.; Zumbuehl, A. Vesicle Origami and the Influence of Cholesterol on Lipid Packing. Langmuir 2016, 32, 4896–4903. [Google Scholar] [CrossRef] [PubMed]
- Evans, E.; Needham, D. Physical properties of surfactant bilayer membranes: Thermal transitions, elasticity, rigidity, cohesion and colloidal interactions. J. Phys. Chem. 1987, 91, 4219–4228. [Google Scholar] [CrossRef]
- Kranenburg, M.; Smit, B. Phase Behaviour of Model Lipid Bilayers. J. Phys. Chem. B 2005, 109, 6553–6563. [Google Scholar] [CrossRef] [PubMed]
- Akabori, K.; Nagle, J.F. Structure of the DMPC lipid bilayer ripple phase. Soft Matter 2014, 11, 918–926. [Google Scholar] [CrossRef] [PubMed]
- Laughlin, R.G.; Munyon, R.L.; Fu, Y.C.; Emge, T.J. Physical science of the dioctadecyldimethylammonium chloride-water system. 2. Kinetic and mechanistic aspects. J. Phys. Chem. 1991, 95, 3852–3856. [Google Scholar] [CrossRef]
- Montalvo, G.; Khan, A. Self-Assembly of Mixed Ionic and Zwitterionic Amphiphiles: Associative and Dissociative Interactions between Lamellar Phases. Langmuir 2002, 18, 8330–8339. [Google Scholar] [CrossRef]
- Marques, E.; Silva, B.F.B. Surfactant Self-Assembly. In Encyclopedia of Colloid and Interface Science; Springer Science and Business Media LLC: Berlin, Germany, 2013; pp. 1202–1241. [Google Scholar]
- Durchschlag, H.; Zipper, P. Calculation of Partial Specific Volumes and Other Volumetric Properties of Small Molecules and Polymers. J. Appl. Crystallogr. 1997, 30, 803–807. [Google Scholar] [CrossRef]
- Israelachvili, J.N. 4–Interactions Involving Polar Molecules. In Intermolecular and Surface Forces, 3rd ed.; Israelachvili, J.N., Ed.; Academic Press: San Diego, CA, USA, 2011; pp. 71–90. [Google Scholar]
- Kronberg, B.; Holmberg, K.; Lindman, B. Surface Chemistry of Surfactants and Polymers; Wiley: Hoboken, NJ, USA, 2014. [Google Scholar]
- Tadros, T. Encyclopedia of Colloid and Interface Science; Springer Reference: Berlin, Germany, 2013. [Google Scholar]
- Tanford, C. Micelle shape and sise. J. Phys. Chem. 1972, 76, 3020. [Google Scholar] [CrossRef]
- Iwata, T. Chapter 25–Lamellar Gel Network. In Cosmetic Science and Technology; Elsevier: Amsterdam, The Netherlands, 2017; pp. 415–447. [Google Scholar]
- Percebom, A.M.; Piculell, L.; Loh, W. Polyion–Surfactant Ion Complex Salts Formed by a Random Anionic Copolyacid at Different Molar Ratios of Cationic Surfactant: Phase Behaviour with Water and n-Alcohols. J. Phys. Chem. B 2012, 116, 2376–2384. [Google Scholar] [CrossRef] [PubMed]
- Schulz, P.C.; Rodriguez, J.L.; Soltero-Martinez, F.A.; Puig, J.E.; Proverbio, Z.E. Phase behaviour of the dioctadecyldimethylammonium bromide water system. J. Therm. Anal. Calorim. 1998, 51, 49–62. [Google Scholar] [CrossRef]
- Israelachvili, J.N. Solvation, Structural, and Hydration Forces. In Intermolecular and Surface Forces; Elsevier BV: Amsterdam, The Netherlands, 2011; pp. 341–380. [Google Scholar]
- Ferreira, G.A.; Loh, W. Structural Parameters of Lamellar Phases Formed by the Self-Assembly of Dialkyldimethylammonium Bromides in Aqueous Solution. J. Braz. Chem. Soc. 2016, 27, 392–401. [Google Scholar] [CrossRef]
- Haynes, W.M.; Lide, D.R.; Bruno, T.J. CRC Handbook of Chemistry and Physics: A Ready-Reference Book of Chemical and Physical Data, 97th ed.; Haynes, W.M., Ed.; CRC Press: Boca Raton, FL, USA, 2016. [Google Scholar]
- Mukerjee, P.; Ray, A. The Effect of Urea on Micelle Formation and Hydrophobic Bonding. J. Phys. Chem. 1963, 67, 190–192. [Google Scholar] [CrossRef]
- Emerson, M.F.; Holtzer, A. Hydrophobic bond in micellar systems. Effects of various additives on the stability of micelles of sodium dodecyl sulfate and of n-dodecyltrimethylammonium bromide. J. Phys. Chem. 1967, 71, 3320–3330. [Google Scholar] [CrossRef]
- Ruiz, C.C.; Sánchez, F.G. Effect of Urea on Aggregation Behaviour of Triton X-100 Micellar Solutions: A Photophysical Study. J. Colloid Interface Sci. 1994, 165, 110–115. [Google Scholar] [CrossRef]
- Alexandridis, P.; Athanassiou, V.; Hatton, T.A. Pluronic-P105 PEO-PPO-PEO Block Copolymer in Aqueous Urea Solutions: Micelle Formation, Structure, and Microenvironment. Langmuir 1995, 11, 2442–2450. [Google Scholar] [CrossRef]
- Berberich, K.A.; Reinsborough, V.C. Influence of Urea on Sodium Decyl Sulfate Micellisation by Kinetic and Solubility Studies. Langmuir 1999, 15, 966–969. [Google Scholar] [CrossRef]
- Ruiz, C.C. Micelle formation and microenvironmental properties of sodium dodecyl sulfate in aqueous urea solutions. Colloids Surf. A Physicochem. Eng. Asp. 1999, 147, 349–357. [Google Scholar] [CrossRef]
- Bharatiya, B.; Guo, C.; Ma, J.H.; Kubota, O.; Nakashima, K.; Bahadur, P. Urea-induced demicellisation of Pluronic L64 in water. Colloid Polym. Sci. 2009, 287, 63–71. [Google Scholar] [CrossRef]
- Bianco, C.L.; Schneider, C.S.; Santonicola, M.; Lenhoff, A.M.; Kaler, E.W. Effects of Urea on the Microstructure and Phase Behaviour of Aqueous Solutions of Poly(oxyethylene) Surfactants. Ind. Eng. Chem. Res. 2011, 50, 85–96. [Google Scholar] [CrossRef]
- Broecker, J.; Keller, S. Impact of Urea on Detergent Micelle Properties. Langmuir 2013, 29, 8502–8510. [Google Scholar] [CrossRef] [PubMed]
- Velikov, A.A. Effect of Urea on the Thermodynamics of Hexadecyltrimethylammonium Bromide Micelle Formation in Aqueous Solutions. Russ. J. Phys. Chem. A 2018, 92, 392–394. [Google Scholar] [CrossRef]
- Guering, P.; Lindman, B. Droplet and bicontinuous structures in microemulsions from multicomponent self-diffusion measurements. Langmuir 1985, 1, 464–468. [Google Scholar] [CrossRef]
- Shinoda, K.; Lindman, B. Organised surfactant systems: Microemulsions. Langmuir 1987, 3, 135–149. [Google Scholar] [CrossRef]
- Teubner, M.; Strey, R. Origin of the scattering peak in microemulsions. J. Chem. Phys. 1987, 87, 3195–3200. [Google Scholar] [CrossRef]
- Shinoda, K.; Araki, M.; Sadaghiani, A.; Khan, A.; Lindman, B. Lecithin-based microemulsions: Phase behaviour and microstructure. J. Phys. Chem. 1991, 95, 989–993. [Google Scholar] [CrossRef]
- Fontell, K. Influence of Electrolyte on Phase Equilibria and Phase Structure in the Binary System of Di-2-Ethylhexyl Sulphosuccinate and Water. In Colloidal Dispersions and Micellar Behaviour; American Chemical Society: Washington, DC, USA, 1975; Volume 9, pp. 270–277. [Google Scholar]














| DODAB | DODAC | |||
|---|---|---|---|---|
| Surfactant (wt%) | Heating Cycle | Heating Cycle | ||
| Tm (°C) | ΔHm (kJ mol−1) | Tm (°C) | ΔHm (kJ mol−1) | |
| 5.0 | 52.5 | 63.6 | 45.4 | 40.2 |
| 7.5 | 52.6 | 94.7 | 45.3 | 42.5 |
| 10.0 | 52.6 | 96.7 | 45.3 | 39.2 |
| 12.5 | 53.0 | 97.2 | 45.3 | 41.4 |
| 15.0 | 53.0 | 98.0 | 45.3 | 42.9 |
| 17.5 | 53.0 | 95.4 | 45.3 | 46.0 |
| 20.0 | 53.3 | 109.6 | 45.3 | 46.0 |
| 22.5 | 53.4 | 113.0 | 45.6 | 46.7 |
| 25.0 | 53.6 | 108.2 | 45.4 | 45.9 |
| 30.0 | 53.8 | 99.6 | 45.4 | 47.5 |
| 32.5 | 53.9 | 102.3 | 45.1 | 44.3 |
| 35.0 | 54.0 | 109.3 | 45.1 | 45.8 |
| 37.5 | 54.5 | 102.7 | 45.0 | 44.4 |
| 25 °C | 50 °C | |||||||||
|---|---|---|---|---|---|---|---|---|---|---|
| DODAC (wt%) | Φbi | dsp (Å) | dbi (Å) | dw (Å) | a (Å2) | dsp (Å) | dbi (Å) | dw (Å) | a (Å2) | |
| 5.0 | 0.052 | 495 | 26 | 469 | 80 | 600 | 31 | 569 | 66 | |
| 7.5 | 0.079 | 313 | 25 | 288 | 83 | 400 | 32 | 369 | 65 | |
| 10.0 | 0.107 | 234 | 25 | 209 | 82 | 313 | 33 | 279 | 62 | |
| 12.5 | 0.128 | 191 | 24 | 167 | 84 | 227 | 29 | 198 | 71 | |
| 15.0 | 0.154 | 162 | 25 | 137 | 82 | 205 | 32 | 173 | 65 | |
| 17.5 | 0.179 | 140 | 25 | 115 | 82 | 165 | 30 | 135 | 69 | |
| 20.0 | 0.204 | 127 | 26 | 101 | 79 | 153 | 31 | 122 | 66 | |
| 22.5 | 0.229 | 115 | 26 | 89 | 78 | 138 | 32 | 106 | 65 | |
| 25.0 | 0.253 | 92 | 23 | 69 | 88 | 111 | 28 | 83 | 73 | |
| 30.0 | 0.301 | 81 | 24 | 56 | 84 | 97 | 29 | 68 | 70 | |
| 32.5 | 0.325 | 80 | 26 | 54 | 79 | 97 | 31 | 65 | 65 | |
| 35.0 | 0.349 | 69 | 24 | 45 | 85 | 84 | 29 | 55 | 70 | |
| 37.5 | 0.373 | 71 | 26 | 44 | 78 | 85 | 32 | 53 | 65 | |
| Φbi | q (Å−1) | dsp (Å) | dbi (Å) | a (Å2) | ||
|---|---|---|---|---|---|---|
| <Tm | DODAB | 0.240 | 0.174 | 36 | 9 | 237 |
| DODAC | 0.349 | 0.093 | 69 | 24 | 85 | |
| >Tm | DODAB | 0.240 | 0.050 | 126 | 30 | 68 |
| DODAC | 0.349 | 0.075 | 84 | 29 | 70 |
| Surfactant | Salt (wt%) | Heating Cycle | Cooling Cycle | ||
|---|---|---|---|---|---|
| Tm (°C) | ΔHm (kJ mol−1) | Tc (°C) | ΔHc (kJ mol−1) | ||
| 35 wt% DODAB | 0.00 | 53.8 | 108.8 | 47.1 | 100.4 |
| 35 wt% DODAB | 0.25 | 54.0 | 95.6 | 43.3 | 103.5 |
| 35 wt% DODAB | 0.50 | 54.0 | 101.7 | 45.2 | 106.9 |
| 35 wt% DODAC | 0.00 | 44.9 | 44.6 | 43.7 | 49.9 |
| 35 wt% DODAC | 0.25 | 44.8 | 40.2 | 43.6 | 43.6 |
| 35 wt% DODAC | 0.50 | 44.4 | 42.3 | 43.3 | 48.9 |
| Surfactant (wt%) | Salt (wt%) | dsp, 25 °C (Å) | dsp, 65 °C (Å) | |
|---|---|---|---|---|
| DODAB | 35.0 | 0.00 | 36 | 126 |
| 0.25 | 36 | 122 | ||
| 0.50 | 36 | 96 | ||
| DODAC | 35.0 | 0.00 | 69 | 84 |
| 0.25 | 75 | 95 | ||
| 0.50 | 66 | 81 |
| Compound | Log P [47] |
|---|---|
| Water | - |
| DODAB | 3.80 |
| DODAC | 3.80 |
| Urea | −2.11 |
| Methyl urea | −1.40 |
| Dimethyl urea | −0.49 |
| Acetic acid | −0.17 |
| Propionic acid | 0.33 |
| Butyric acid | 0.79 |
| Sodium butyrate | 0.79 |
| Hexanoic acid | 1.92 |
| Benzyl alcohol | 1.05 |
| Phenoxyethanol | 1.13 |
| 1-Butanol | 0.84 |
| 1-Hexanol | 2.03 |
| 1-Octanol | 3.07 |
| 1-Decanol | 4.57 |
| 1-Dodecanol | 5.13 |
| Additive | Additive (wt%) | Above Tm | Transition | ||
|---|---|---|---|---|---|
| d100 (Å) | b (Å) | rw (Å) | |||
| Decanol | 15.0 | 48 | 56 | 20 | Lβ—rev Hex |
| 20.0 | 45 | 52 | 20 | Lβ—rev Hex | |
| Dodecanol | 12.5 | 54 | 62 | 22 | Lβ—rev Hex |
| 15.0 | 51 | 58 | 22 | Lβ—rev Hex | |
| 20.0 | 49 | 56 | 22 | Lβ—rev Hex | |
Publisher’s Note: MDPI stays neutral with regard to jurisdictional claims in published maps and institutional affiliations. |
© 2021 by the authors. Licensee MDPI, Basel, Switzerland. This article is an open access article distributed under the terms and conditions of the Creative Commons Attribution (CC BY) license (https://creativecommons.org/licenses/by/4.0/).
Share and Cite
Gonçalves, R.A.; Lam, Y.-M.; Lindman, B. Double-Chain Cationic Surfactants: Swelling, Structure, Phase Transitions and Additive Effects. Molecules 2021, 26, 3946. https://doi.org/10.3390/molecules26133946
Gonçalves RA, Lam Y-M, Lindman B. Double-Chain Cationic Surfactants: Swelling, Structure, Phase Transitions and Additive Effects. Molecules. 2021; 26(13):3946. https://doi.org/10.3390/molecules26133946
Chicago/Turabian StyleGonçalves, Rui A., Yeng-Ming Lam, and Björn Lindman. 2021. "Double-Chain Cationic Surfactants: Swelling, Structure, Phase Transitions and Additive Effects" Molecules 26, no. 13: 3946. https://doi.org/10.3390/molecules26133946
APA StyleGonçalves, R. A., Lam, Y.-M., & Lindman, B. (2021). Double-Chain Cationic Surfactants: Swelling, Structure, Phase Transitions and Additive Effects. Molecules, 26(13), 3946. https://doi.org/10.3390/molecules26133946

