Abstract
Two 4-tolyl-1,2,4-triazol-1-ium methylids, namely 4-tolyl-1,2,4-triazol-1-ium-phenacylid and 4-tolyl-1,2,4-triazol-1-ium-4′-nitro-phenacylid, are studied from solvatochromic point of view in binary solvent mixtures of water with ethanol and water with methanol. The contributions (expressed in percent) of the universal and specific interactions are separated from the spectral shifts recorded in the visible range for each composition of the binary solvent mixture. The essential role of the orientation and induction interactions in the studied solutions was demonstrated. Based on the statistic cell model of the binary solvent mixture solutions, the difference between the formation energies of ylid-water and ylid-alcohol complexes is estimated. The composition of the ylid’s first solvation shell was also established using the model of the binary solvent mixture solutions. The results obtained from the statistical cell model were compared with those obtained by using the Suppan’s model, resulting a good agreement.
1. Introduction
Ylids are chemical compounds having a molecule containing a negatively charged carbon atom (called carbanion) directly bonded to a positively charged atom of nitrogen, phosphorus, sulfur, or another element [1,2]. The result can be seen as a structure in which two adjacent atoms are connected by both a covalent and an ionic bond. Thus, the ylids are a subclass of zwitterionic compounds.
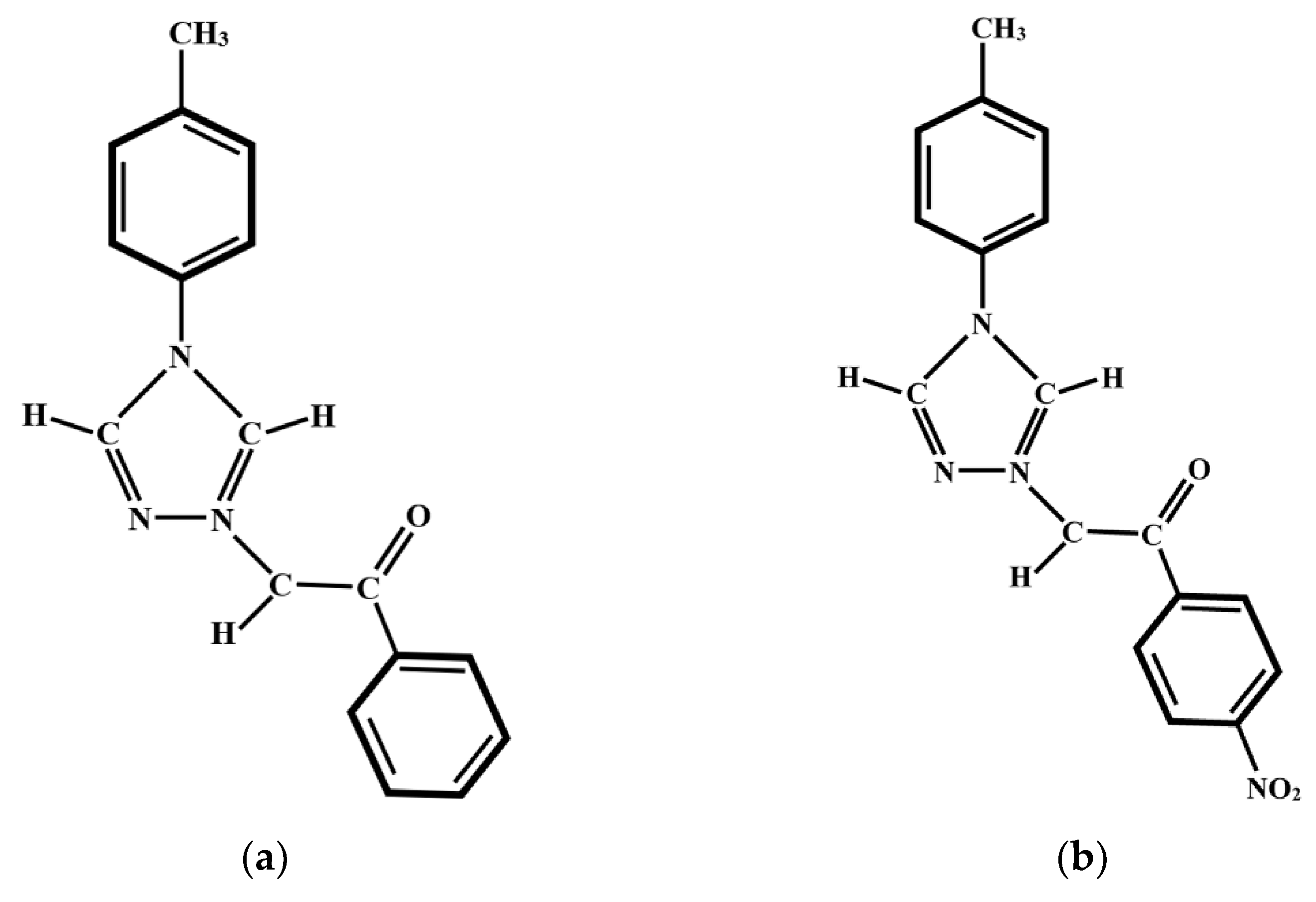
Two carbanion monosubstituted triazolium ylids [1,2], namely 4-tolyl-1,2,4-triazol-1-ium phenacylid (TTPY) and 4-tolyl-1,2,4-triazol-1-ium-4′-nitro-phenacylid (TTNPY) are considered in this study as spectrally active molecules. These are dipolar and polarizable molecules with zwitterionic character, having opposite charges separated on one nitrogen of the triazolium cycle and on the negative, monosubstituted carbanion, respectively. Figure 1 shows the chemical structure of the two compounds.
Figure 1.
Chemical structure of 4-tolyl-1,2,4-triazol-1-ium phenacylid (TTPY) (a) and 4-tolyl-1,2,4-triazol-1-ium-4′-nitro-phenacylid (TTNPY) (b) molecules.
The pharmacological activity and clinical implications of triazolium agents were emphasized in some reviews [3,4]. The chemical and biological applications of triazolium ylids or of their derivatives were also analyzed in numerous publications [5,6,7,8,9].
The knowledge about the interactions of triazolium ylids with different solvents are important because all reactions of these compounds take place in situ. Previous studies revealed the nature of the intermolecular interactions of some cycloimmonium ylids with the liquids in which they are dissolved, based on the solvatochromic analysis of their visible band and very sensitive to the solvent action [10,11,12].
Taking into account the basic character of cycloimmonium ylids and the solvatochromic analysis, this results in their affinity to form hydrogen bonds with hydroxylic molecules by acceptance of protons. The study of binary solvent mixture solutions of some cycloimmonium ylids can offer the opportunity to characterize the strength of the hydrogen bond between the ylid and hydroxylic solvent molecules, as it was made in previous studies for another ylids [11,12].
1,2,4-Triazolium methylids belong to cycloimmonium class and are basic compounds. They show a visible electronic absorption band [13,14,15,16,17], relatively sensible to the solvent action. As it is known [13,14], triazolium ylids are a few soluble in most of the solvents. Therefore, one solvatochromic study of these molecules in a great number of liquids is practically impossible. They were studied in a few numbers of solvents and in some binary solvent mixtures made by one hydroxylic and one non-hydroxylic liquids [14,15,16,17]. 1,2,4-Triazolium methylids are relatively soluble in water and alcohols, and their spectral study in binary solvent mixtures realized from water and one primary alcohol becomes interesting.
The spectral UV-Vis data are very important for understanding the behavior of the ylids in biomedical processes, i.e., for their applications. For example, in quantum mechanics, the biological properties of a substance are correlated with the energy gap where is the wavenumber corresponding to the maximum of the electronic absorption band of the molecule. For small values of ΔE, the substances are more reactive.
In this spectral study, we intend to apply the statistical cell model of binary solvent mixture solutions to the solutions of 1,2,4-Triazolium methylids in mixtures water (1) + ethanol (2), both liquids being of biological interest. For comparison, we added the similar solvatochromic study for the same ylids in binary solvent mixture water (1) + methanol (2).
2. Calculations and Models
The Kamlet–Abboud–Taft (KAT) parameters [18,19] are known for water and the primary alcohols and for their mixtures [20], and can be used in solvatochromic studies. Such study is difficult to achieve because the binary solvent mixtures were made step by step with a 0.05 molar fraction and the solubility of the studied ylid is reduced even in the mixtures of water and different alcohols, but it can offer information about the structure of the binary solvent mixture solutions of the studied ylids.
The solvatochromic analysis in binary solvent mixture solutions offers information about the nature of the intermolecular interactions between the solute and solvent molecules and about the composition of the first shell of the solute molecules.
Some correlations [21,22,23] between the wavenumber in the maximum of the electronic absorption band and the solvent parameters, such as the hydrogen bond donor (HBD, noted by α), hydrogen bond acceptor (HBA, noted by β), and polarity/dipolarity number (), known as KAT parameters, were established:
The correlation coefficients and C1–C3 in Equation (1) can be estimated by statistical analysis of the experimental data. They give by their sign and value the sense and the contribution of intermolecular interactions to the electronic absorption band shift in solutions relative to its position in the gaseous phase of the ylid. The contribution of each type of intermolecular interactions to the spectral shift in each binary solvent mixture can also be established based on the values obtained for the regression coefficients C1–C3 and the values of the solvent parameters.
The obtained results in this research can also be judged on the basis of the statistical cell model of the binary solvent mixture solutions [24,25,26,27,28,29]. In the binary solvent mixture solutions studied by us, the ylid molecules can participate in hydrogen bonds with both solvents, but the formation energies of the complexes differ for the molecules of water, ethanol, or methanol.
In the statistical cell model, the wavenumber (cm−1) in the maximum of the absorption band can be computed using the relative statistical average weights p1 and p2, being p1 + p2 = 1, of the binary solvent mixture (made by water (1) considered the most active solvent and ethanol/methanol (2) considered the less active solvent) [24,25].
In relation (2), the indices t, 1, and 2 refer to binary solvent mixtures and binary solutions made in solvent (1) and (2), respectively. Relation (2) shows that the average statistic weights p1 and p2 of the two liquids in the first solvation shell of ylid can be computed using the wavenumbers in the maximum of the visible electronic band in binary solvent mixture solution at each molar fractions x1 and x2, being x1 + x2 = 1, of the binary solvent mixture. Knowing the bulk molar fractions x1 and x2 of the two solvents in the mixture, the statistic cell model permits to compute the average statistic weights, p1 and p2, and to establish the following relation between these parameters [24,25,26,27,28]:
In relation (3) the cut at origin n depends on the difference w2 − w1 between the interactions in molecular pairs of the type: ylid—water and ylid—alcohol. This dependence is given in relation (4), where k is the Boltzmann constant and T is the absolute temperature:
Based on the cell statistic model of the binary solvent mixture solutions, the difference w2 − w1 can be estimated using the spectral data [26,27,28]. This difference is hard to determine with other methods in common laboratories.
The statistical cell model of the binary solvent mixture solutions allows the estimation of the composition of the ylid first shell in the binary solvent mixture solution by the parameter , called the excess function of solvent (1) in the first solvation shell, or by , called the preferential solvation constant [29]. When δ1 > 0, or K12 > 1, the active solvent noted by (1) is dominant in the first shell of the solute, while the solvent (2) is predominant in the first solvation shell of the solute when the inequalities are inverse.
Similar to the statistical cell model, the model of Suppan [30,31,32] describes the preferential solvation of solutes in binary solvent mixtures, being frequently approached in the last years [33,34,35,36]. The basic idea is that, in a binary solvent mixture, the dipolar solute will be preferentially solvated by the most dipolar solvent. Consequently, the mole fraction in the cybotactic region will be higher for this solvent, i.e., the mole fractions of the two solvents in the cybotactic region differ from those ones in the bulk solution. The ratio of the mole fractions in the cybotactic region (y2/y1) is proportional to the ratio of the mole fractions in the bulk solution (x2/x1) according to Equation (5):
In the above equation, Z is the so-called index of preferential solvation [37], and it can be estimated from spectrochemical data through the next equation:
where
and ε is the dielectric constant, is the inverse peak shift (measured against the peak position corresponding to the solvent 2), and μ and a are the dipole moment and the molecular radius of the solute molecule, respectively.
If the specific solute–solvent interactions have a negligible contribution to the solvatochromism, the graphic representation of 1/ΔECT versus x2/x1 will be a straight line. On the contrary, if the specific interactions are important, the graphical representation will show large deviations from linearity [30,31,32,33,34,35,36].
Such studies offer a better understanding of the mechanisms of intermolecular interactions in binary solvent mixtures.
3. Results and Discussion
Figure 2 shows the spectra of TTPY and TTNPY in water, ethanol, methanol, and water + acetic acid, respectively. The quenching of the visible electronic absorption band in the presence of the acetic acid proves that this band appears by n → π* transitions of the non-participant electron pair of the carbanion towards the heterocycle or towards the carbanion substituent.
Figure 2.
Spectra of 4-tolyl-1,2,4-triazol-1-ium phenacylid (TTPY) (a) and 4-tolyl-1,2,4-triazol-1-ium-4′-nitro-phenacylid (TTNPY) (b) in water, ethanol, methanol, and water + acetic acid, respectively.
The binary solvent mixtures parameters polarity/polarizability, π* (characterizing the universal interactions between the solute molecule and all solvent molecules), HBD number α, and HBA number β (characterizing the specific interactions of the hydrogen bond type by donating and receiving proton by a solvent molecule, respectively) determined by Buhvestov et al. [20], as well as the measured wavenumbers in the maximum of the visible bands of TTPY and TTNPY, are listed in Table 1 and Table 2 for the binary hydroxylic solvent mixtures: water (1) + ethanol (2) and water (1) + methanol (2), in various water molar concentrations, x1.
Table 1.
Molar water composition (x1), Kamlet–Abboud–Taft parameters (π*, β, α) of binary solvent mixture water (1) + ethanol (2) [20], and wavenumbers ( (cm−1)) in the maximum of the visible electronic absorption band of 4-tolyl-1,2,4-triazol-1-ium phenacylid (TTPY) and 4-tolyl-1,2,4-triazol-1-ium-4′-nitro-phenacylid (TTNPY), respectively.
Table 2.
Molar water composition (x1), Kamlet–Abboud–Taft parameters (π*, β, α) of binary solvent mixture water (1) + methanol (2) [20], and wavenumbers ( (cm−1)) in the maximum of the visible electronic absorption band of 4-tolyl-1,2,4-triazol-1-ium phenacylid (TTPY) and 4-tolyl-1,2,4-triazol-1-ium-4′-nitro-phenacylid (TTNPY), respectively.
An increase in the wavenumber of the visible band of the studied ylids (TTPY and TTNPY) is emphasized in Table 1 and Table 2 when the water content increases in the binary solvent mixture water (1) + alcohol (2), both for the solvent achieved with ethanol and methanol. The same tendency has been observed in the binary solvent mixture solutions of the carbanion monosubstituted p-phenyl-triazol-1-ium ylids [23]. This tendency could be explained by the increase of the electric permittivity of the binary solvent mixture when its content in water increases, determining the increase of the universal interactions of the orientation–induction type in solutions.
The experimental data from Table 1 and Table 2 were subjected to statistical analysis based on relation (1), and the coefficients multiplying the solvent parameters were estimated (see Table 3) by using the application Multiple Linear Regression from OriginPro 9 software. The coefficients Cj and j = 1,2,3, multiplying the solvent parameters π*, α, and β, are listed in Table 3. They give by their value and sign the magnitude and the sense of the spectral shifts induced by the binary solvent mixture in the visible electronic spectra of the studied ylids. As relation (1) suggests, the sign plus of the correlation coefficients reflects a spectral shift to high wavenumbers (blue shift) in the electronic spectra. All coefficients are positive, showing a hypsochromic effect both of universal interactions (described by the π*, the polarity/polarizability parameter of the solvent) and of the specific interactions (described by the solvent parameters α and β) [21,22,23]. This tendency has been observed in other binary hydroxylic solvent mixture solutions of some cycloimmonium ylids [22,38].
Based on relation (1), the values of the regression coefficients from Table 3, and the binary solvent mixture parameters from Table 1 and Table 2, the contribution (expressed in percent) of each type of intermolecular interaction to the spectral shift can be estimated. The results of computations are listed in Table 4 and Table 5.
Table 4.
Contribution of each type of interaction in solutions of 4-tolyl-1,2,4-triazol-1-ium phenacylid (TTPY) in the binary hydroxylic solvents mixtures.
Table 5.
Contribution of each type of interaction in solutions of 4-tolyl-1,2,4-triazol-1-ium-4′-nitro-phenacylid (TTNPY) in binary hydroxylic solvents mixtures.
If the data from Table 4 and Table 5 are plotted in bidimensional graphs versus the water molar concentration, one obtains Figure 3 and Figure 4 for the two binary solvent mixtures: water + ethanol and water + methanol.
Figure 3.
The contribution (percentage) to the spectral shift of universal and specific interactions for 4-tolyl-1,2,4-triazol-1-ium phenacylid (TTPY) (a) and 4-tolyl-1,2,4-triazol-1-ium-4′-nitro-phenacylid (TTNPY) (b) in binary solvent mixture water + ethanol.
Figure 4.
The contribution (percentage) to the spectral shift of universal and specific interactions for 4-tolyl-1,2,4-triazol-1-ium phenacylid (TTPY) (a) and 4-tolyl-1,2,4-triazol-1-ium-4′-nitro-phenacylid (TTNPY) (b) in binary solvent mixture water + methanol.
The universal interactions determine the highest shift of the visible electronic absorption band of the studied triazolium ylids in most of the studied solutions, except for the solution TTNPY + water + ethanol, where the specific interactions described by the term C3β are dominant for small values of the water content (x1 = 0–0.7). The contribution of the universal interactions (described by the term C1π* in relation (1)) increases with the water content in the binary solvent mixture (Figure 3 and Figure 4). The specific interactions described by the term C2α were the weakest. They contributed to the spectral shift of the visible electronic absorption band by a percent smaller than 20%. This observation could be explained by the fact that in all studied solutions, the ylid molecules (TTPY and TTNPY) formed complexes by hydrogen bonding. Though the probability of the hydrogen bonds in which the solvent receives protons from ylid (described by the term C3β) is small (except for the solution TTNPY + water + ethanol for x1 = 0–0.7), the contribution of these interactions to the total spectral shift is more important than the contribution of the specific interactions in which the ylid molecules (TTPY and TTNPY) receive protons. The contribution of the term C3β to the spectral shift of TTPY and TTNPY visible absorption bands decreased with the increase of the water content in the binary solvent mixture.
The decrease of the contribution of specific interactions to the total spectral shift at a high content of water in binary solvent mixture solutions of triazolium methylids has been explained by the presence of water complexes formed in these solutions [20].
The cell model of the binary solvent mixture solutions applied to the studied tolyl-triazol-1-ium phenacylids offers information about the difference between the potential energies in molecular pairs of the type ylid-water and ylid-alcohol. The dependences vs. are illustrated in Figure 5 and Figure 6.
Figure 5.
vs. for 4-tolyl-1,2,4-triazol-1-ium phenacylid (TTPY) (a) and 4-tolyl-1,2,4-triazol-1-ium-4′-nitro-phenacylid (TTNPY) (b) in binary solvent mixture water (1) + ethanol (2).
Figure 6.
vs. for 4-tolyl-1,2,4-triazol-1-ium phenacylid (TTPY) (a) and 4-tolyl-1,2,4-triazol-1-ium-4′-nitro-phenacylid (TTNPY) (b) in binary solvent mixture water (1) + methanol (2).
The characteristics of the lines in Figure 5 and Figure 6, obtained by using the application Linear Fit from OriginPro 9 software, are given in Table 6. The slopes of the lines (3) are near the unity, as the cell model of the binary solvent mixture solutions predicts. The cut at origin gives the strength of the hydrogen bonds in the studied solutions by the difference w2 − w1 between the formation energies of the complexes ylid (TTPY/TTNPY)-water and ylid (TTPY/TTNPY)-alcohol. In the last column of Table 6, this difference is expressed in kJ/mol. The values from Table 6 show weak differences between the formation energies of hydrogen bonds between TTPY/TTNPY and the hydroxylic components of the solution [11,17,25]. Similar results (of the same order of magnitude) were obtained for the binary hydroxylic solvent mixtures water + ethanol and water + methanol and different probes in previous studies [15,17,22,38].
Table 6.
Characteristics of the lines for the studied binary solvent mixtures solutions.
As can be seen from Figure 5 and Figure 6 and Table 6, a good linear dependence exists between and , demonstrating the applicability of the statistic model of binary solvent mixture solutions achieved with the studied triazolium ylids (TTPY and TTNPY) and giving us the opportunity to evaluate the differences between the potential energies in molecular pairs realized by hydrogen bonds in the studied solutions (see Table 6). In the case of TTPY dissolved in water and ethanol, the difference w2 − w1 was negative, showing that |w2| > |w1| (see Figure 6a). The hydrogen bond of TTPY with ethanol was stronger than that between TTPY and water molecules. For the other solutions, the differences w2 − w1 were positive, showing that the hydrogen bond TTPY–water was stronger than the hydrogen bond TTPY–methanol, and the hydrogen bond TTNPY–water was stronger than TTNPY–ethanol and TTNPY–methanol.
The computed wavenumbers based on relation (1) and using the regression coefficients from Table 3 are plotted versus the corresponding experimental values in Figure 7. As is shown in Figure 7, the obtained curves reflect some changes in TTPY solutions by passing from the complexes formed in alcohol to the complexes formed in water molecules, when the water content increases.
Figure 7.
Computed wavenumber vs. experimental wavenumber for binary solvent mixture solutions of 4-tolyl-1,2,4-triazol-1-ium phenacylid (TTPY) (a) and 4-tolyl-1,2,4-triazol-1-ium-4′-nitro-phenacylid (TTNPY) (b).
In the studied solutions, the hydrogen bonds were very weak [12,17], and the thermal motion can change the nature of the complexes. At high water content, the complexes of the TTPY-water and TTNPY-water were dominant, and the water cages determined their relative stability [20].
The cell model of binary solvent mixture solution allows the estimation of the composition of TTPY and TTNPY, respectively (first shell). Figure 8 shows the dependence of the wavelength in the maximum of the electronic absorption band on the water content x1. Figure 9 shows the excess function δ1 = p1 − x1 of the water at the increase of its content. Except for the solution TTPY + water + ethanol, where the ethanol molecules are predominant in the first solvation shell of TTPY molecule, the water molecules predominate.
Figure 8.
Wavelength in the maximum of the electronic absorption bands versus the water content for the investigated binary solvent mixture solutions of 4-tolyl-1,2,4-triazol-1-ium phenacylid (TTPY) (a,c) and 4-tolyl-1,2,4-triazol-1-ium-4′-nitro-phenacylid (TTNPY) (b,d).
Figure 9.
Excess function of the water molecules versus the water content in solution.
Figure 10 shows the dependence of 1/ΔECT versus x2/x1 for TTPY and TTNPY in binary solvent mixtures water (1) + ethanol (2) (Figure 10a) and water (1) + methanol (2) (Figure 10b), respectively. The details of the linear fits (obtained by using the application Linear Fit from OriginPro 9 software) are given in Table 7. The very good linear dependence of 1/ΔECT versus x2/x1 (R > 0.99, see Table 7) confirms that the hydrogen bonds were very weak, having a negligible influence on the spectral shift of the visible electronic absorption band. The values obtained for the index of preferential solvation (Z) can be compared with the values of the intercept (n) in the Equation (3), given in Table 6. Thus, all of the values were of the same order of magnitude and, moreover, a very good quantitative agreement was observed for the case of the binary solvent mixture water + methanol.
Figure 10.
Inverse peak shift (measured against the peak corresponding to alcohols) of the 4-tolyl-1,2,4-triazol-1-ium phenacylid (TTPY) and 4-tolyl-1,2,4-triazol-1-ium-4′-nitro-phenacylid (TTNPY) absorption, respectively, versus the solvent bulk composition x2/x1, for the binary solvent mixtures water (1) + ethanol (2) (a) and water (1) + methanol (2) (b).
Table 7.
Results obtained through Suppan’s model.
Suppan’s model predicts the charge transfer energies with a high accuracy for the binary solvent mixture water + methanol, as can be observed in Figure 11, where the experimental versus calculated charge transfer energies are shown (R > 0.99 for both linear fits). In the case of the binary solvent mixture water + ethanol, Suppan’s model predicts with accuracy the charge transfer energies for TTNPY, but fails in the case of TTPY (slope = 0.79).

Figure 11.
Experimental versus calculated charge transfer energies for 4-tolyl-1,2,4-triazol-1-ium phenacylid (TTPY) (a,c) and 4-tolyl-1,2,4-triazol-1-ium-4′-nitro-phenacylid (TTNPY) (b,d) in the binary solvent mixtures water + ethanol (a,b) and water + methanol (c,d).
For comparison between the two models (statistical cell model and Suppan), Figure 12 shows the local mole fractions calculated through the statistical cell model (p2) and Suppan’s model (y2) as a function of the bulk mole fraction of ethanol and methanol, respectively. As can be observed, this figure emphasizes a very good agreement between the two models.
Figure 12.
Local mole fractions calculated through statistical cell model (SCM) (p2) and Suppan’s model (y2) as a function of bulk mole fraction of ethanol (a) and methanol (b), respectively.
4. Materials and Methods
The spectrally grade alcohols were purchased from Merck Company and the binary solvent mixtures were realized step by step with molar fractions of 0.05. Bi-distilled water was prepared in our labs. The weighing was repeated twice in order to assure a good precision, having in mind the very small quantities used for each experiment. The weighing was made with a balance having a precision of 0.005 g.
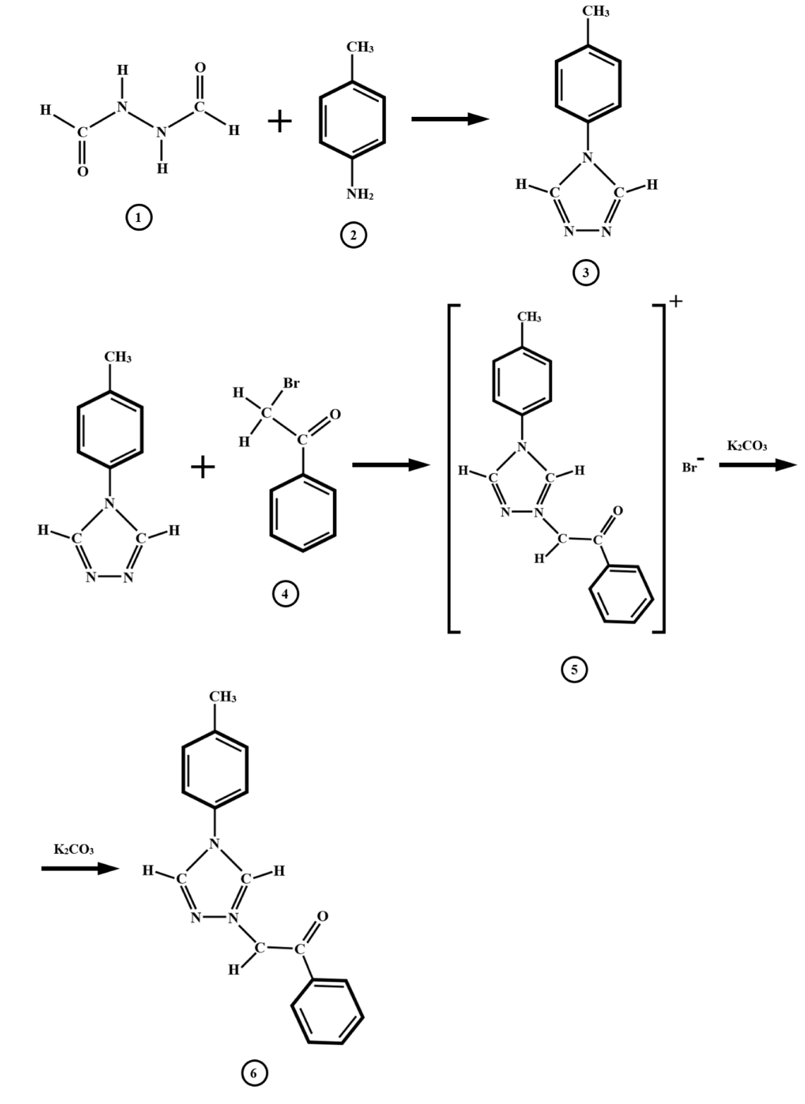
The ylids TTPY and TTNPY were prepared [1,2] in the Organic Chemistry Labs of Alexandru Ioan Cuza University and verified from the purity point of view by quantitative elemental analysis, Fourier transform infrared (FT-IR) spectroscopy, and 1H nuclear magnetic resonance (NMR) spectroscopy. The salt method was used to prepare TTPY and TTNPY, the chemical reactions being schematically shown for TTPY in Figure 13; 0.05 mol of 1,2-diformylhydrazine mixed with 0.05 mol of p-Toluidine were refluxed for 8 h. Then, the mixture was kept in room temperature for 24 h. The obtained compound (p-Tolyl-1,2,4-triazol-1-ium) was dissolved in 50 mL of chloroform, while 0.05 mol of 2-Bromoacetophenone was dissolved in 50 mL of benzene. The two solutions were mixed, and potassium carbonate was added. The reaction was considered complete when the pH of the solution reached the value 8–8.5. The mixture was then kept at room temperature for 24 h. The white precipitate was filtered and then recrystallized from ethanol. TTNPY was obtained by the same procedure with one exception: 2-Bromo-4′-nitroacetophenone was used instead of 2-Bromoacetophenone. 1,2-diformylhydrazine, p-Toluidine, 2-Bromoacetophenone, and 2-Bromo-4′-nitroacetophenone were purchased from Sigma-Aldrich (now Merck).
Figure 13.
Schematic of the chemical reactions by which 4-tolyl-1,2,4-triazol-1-ium phenacylid (TTPY) was obtained (1—1,2-Diformylhydrazine, 2—p-Toluidine, 3—p-Tolyl-1,2,4-triazol-1-ium, 4—2-Bromoacetophenone, 5—TTPY salt, and 6—TTPY).
To obtain the solutions of the two studied ylids, initially, two diluted solutions (10−4 mol/L concentration) were made: ylid + water and ylid + ethanol/ylid + methanol. Then, the two solutions were mixed in such a way that the molar fractions of the two solvents in the mixtures varied with a step of 0.05 (as it was made in the experiments for determining the KAT parameters, described in [20]).
The electronic absorption spectra were recorded with a Specord UV Vis Carl Zeiss Jena spectrophotometer with a data acquisition system, at a temperature T = 295.15 K. The wavenumber corresponding to the maximum of the electronic absorption band was determined by the first derivative method, after smoothing of the spectra.
5. Conclusions
As basic compounds, the studied ylids participate in specific interactions of the hydrogen bond types, and the formed complexes are subjected to the global action of the binary hydroxylic solvent mixture.
The specific interactions in binary solvent mixtures of TTNPY are enhanced by the presence of -NO2 substituent. The delocalization of the electronic charge on the oxygen atoms facilitates the proton addition on the carbanion, increasing the contribution of the specific interactions to the total spectral shift of TTNPY visible electronic absorption band.
The computed contribution of each type of interaction to the total shift of the ylid’s electronic absorption band is estimated in this paper based on the KAT parameters of the binary hydroxylic solvent mixtures, and show the universal interaction important contribution to the spectral shift.
The difference w2 − w1 between the energies corresponding to the hydrogen bonds in molecular pairs of the types TTPY-water, TTNPY-water, and ylid (TTPY/TTNPY)-alcohol (ethanol/methanol) is estimated here based on the statistical cell model of the binary solvent mixture solutions. The results reported in this paper are important, since cycloimmonium ylids, used in situ, are precursors in obtaining new heterocycle compounds in various domains.
For comparison, Suppan’s model was approached to investigate the preferential solvation of solutes in the binary solvent mixtures. The obtained results are in very good agreement with those obtained through statistical cell model.
Author Contributions
Conceptualization, D.O.D. and D.-G.D.; methodology, D.O.D., D.-G.D., N.P.-M. and C.C.; software, D.-G.D., A.C.M. and A.G.-T.; validation, M.M.D.-O., N.P.-M., E.A. and C.C.; formal analysis, M.M.D.-O., E.A., A.C.M. and A.G.-T.; investigation, D.O.D., D.-G.D., N.P.-M. and C.C.; resources, D.-G.D., N.P.-M. and C.C.; data curation, D.O.D., D.-G.D., M.M.D.-O., E.A., A.G.-T. and C.C.; writing—original draft preparation, D.O.D. and D.-G.D.; writing—review and editing, D.O.D. and D.-G.D.; visualization, M.M.D.-O., A.C.M., E.A. and A.G.-T.; supervision, D.O.D.; project administration, D.O.D. and D.-G.D.; funding acquisition, D.-G.D., N.P.-M. and C.C. All authors have read and agreed to the published version of the manuscript.
Funding
This research received no external funding.
Institutional Review Board Statement
Not applicable.
Informed Consent Statement
Not applicable.
Data Availability Statement
The data presented in this study are available on request from the corresponding author.
Conflicts of Interest
The authors declare no conflict of interest.
Sample Availability
Not available.
References
- Petrovanu, M.; Luchian, C.; Surpateanu, G.; Barboiu, V. 1,2,4-Triazolium ylures I. Synthèsis et stréréochimie des réactions de cycloaddition aux composés á liaison ethylenique active. Rev. Roum. Chim. 1979, 24, 733–744. [Google Scholar]
- Surpateanu, G.; Caea, N.; Sufletel, L.; Grandclaudon, P. Synthesis characterization of new azatriazolium ylids. Rev. Roum. Chim. 1995, 40, 133–136. [Google Scholar]
- Lars-Flörl, C. Triazole antifungal agents in invasive fungal infections. A comparative review. Drugs 2011, 71, 2405–2419. [Google Scholar] [CrossRef] [PubMed]
- Satish Kumar, S.; Kavitha, H.P. Synthesis and biological applications of triazole derivatives—A review. Mini Rev. Org. Chem. 2013, 10, 40–65. [Google Scholar] [CrossRef]
- Al-Omar, M.A.; Al-Abdullah, E.S.; Shehata, I.A.; Habib, E.E.; Ibrahim, T.M.; El-Emam, A.A. Synthesis, antimicrobial and anti-inflammatory activities of novel 5-(1-Adamantyl)-4-arylideneamino-3-mercapto-1,2,4-triazoles and related derivatives. Molecules 2010, 15, 2526–2550. [Google Scholar] [CrossRef] [Green Version]
- Chen, X.; Shi, Y.-M.; Huang, C.; Xia, S.; Yang, L.-J.; Yang, X.-D. Novel dibenzo[b,d]furan–1H-1,2,4-triazole derivatives: Synthesis and antitumor activity. Anti-Cancer Agents Med. Chem. 2016, 16, 377–386. [Google Scholar] [CrossRef] [PubMed]
- Shah, M.H.; Mhasalkar, M.Y.; Patki, V.M.; Deliwala, C.V.; Sheth, U.K. New 1,2,4(H)-triazole derivatives as diuretic agents. J. Pharm. Sci. 1969, 58, 1398–1401. [Google Scholar] [CrossRef]
- Alrawashdeh, M.S.M. Determination of antimicrobial activity of some 1,2,4-triazole derivatives. Regul. Mech. Biosyst. 2018, 9, 203–208. [Google Scholar] [CrossRef] [Green Version]
- Karczmarzyk, Z.; Swatko-Ossor, M.; Wysocki, W.; Drozd, M.; Ginalska, G.; Pachuta-Stec, A.; Pitucha, M. New applications of 1,2,4-triazole derivatives as antitubercular agents. Structure, in vitro screening and docking studies. Molecules 2020, 25, 6033. [Google Scholar] [CrossRef]
- Dorohoi, D.O.; Partenie, H. The spectroscopy of cycloimmonium ylides. J. Mol. Struct. 1993, 293, 129–132. [Google Scholar] [CrossRef]
- Dorohoi, D.O. Electronic spectroscopy of N-Ylid. J. Mol. Struct. 2004, 704, 31–43. [Google Scholar] [CrossRef]
- Dorohoi, D.O.; Dimitriu, D.G.; Dimitriu, M.; Closca, V. Specific interactions in N-ylid solutions, studied by nuclear magnetic resonance and electronic absorption spectroscopy. J. Mol. Struct. 2013, 1044, 79–86. [Google Scholar] [CrossRef]
- Melniciuc-Puica, N.; Barboiu, V.; Filoti, S.; Dorohoi, D.O. Reactivity of some 1 (N)-[(para-R2)-phenacyl]-4(N)-[(para-R1)-phenyl]-1,2,4-triazolium methylides by UV-VIS, IR and NMR spectra and molecular modeling. Spectrosc. Lett. 2004, 37, 457–467. [Google Scholar] [CrossRef]
- Puica-Melniciuc, N.; Ivan, L.M.; Closca, V.; Dorohoi, D.O. Electro-optical and spectral comparative study of some triazolium methylids with biomedical applications. Rev. Chim. 2019, 70, 956–960. [Google Scholar] [CrossRef]
- Closca, V.; Melniciuc-Puica, N.; Dorohoi, D.O. Specific interactions in hydroxyl ternary solutions of three carbanion mono-substituted 4’-tolyl-1,2,4-triazol-1-ium-4-R- phenacylids studied by visible electron spectra. J. Mol. Liq. 2014, 200, 431–438. [Google Scholar] [CrossRef]
- Closca, V.; Puica Melniciuc, N.; Dorohoi, D.O.; Benchea, A.C. Intermolecular interactions in ternary solutions of some 1,2,4 triazolium ylids studied by spectral means. Proc. SPIE 2014, 9286, 92862T. [Google Scholar] [CrossRef]
- Closca, V.; Puica Melniciuc, N.; Closca, M.; Avadanei, I.M.; Dorohoi, D.O. Spectral study of (4’-phenyl)-1,2,4-triazol-1-ium-phenacylid (PTPhY) in ternary solutions. Ukr. J. Phys. 2018, 63, 592–599. [Google Scholar] [CrossRef] [Green Version]
- Kamlet, M.J.; Abboud, J.L.M.; Abraham, M.H.; Taft, R.W. Linear solvation energy relationships. 23. A comprehensive collection of the solvatochromic parameters, π*, α, and β, and some methods for simplifying the generalized solvatochromic equation. J. Org. Chem. 1983, 48, 2877–2887. [Google Scholar] [CrossRef]
- Reichardt, C. Solvents and Solvent Effects in Organic Chemistry, 3rd ed.; Wiley-VCH: Weinheim, Germany, 2003. [Google Scholar]
- Buhvestov, U.; Rived, F.; Ràfols, C.; Bosch, E.; Rosés, M. Solute-solvent and solvent-solvent interactions in binary solvent mixtures. Part 7. Comparison of the enhancement of the water structure in alcohol-water mixtures measured by solvatochromic indicators. J. Phys. Org. Chem. 1998, 11, 185–192. [Google Scholar] [CrossRef]
- Ivan, L.M.; Dimitriu, D.G.; Gritco-Todirascu, A.; Morosanu, A.C.; Dorohoi, D.O.; Cheptea, C. Excited state dipole moment of two pyridazinium–p-nitro-phenacylids estimated from solvatochromic study. Spectrosc. Lett. 2020, 53, 1–11. [Google Scholar] [CrossRef]
- Dorohoi, D.O.; Creanga, D.E.; Dimitriu, D.G.; Morosanu, A.C.; Gritco-Todirascu, A.; Mariciuc, G.G.; Puica Melniciuc, N.; Ardelean, E.; Cheptea, C. Computational and spectral means for characterizing the intermolecular interactions in solutions and for estimating excited state dipole moment of solute. Symmetry 2020, 12, 1299. [Google Scholar] [CrossRef]
- Dulcescu Oprea, M.M.; Melniciuc Puica, N.; Gritco-Todirascu, A.; Dorohoi, D.O. Spectral study of two carbanion monosubstituted 4’-phenyl-1,2,4-triazol-1-ium phenacylids in binary protic solvents. Rev. Chim. 2020, 71, 1–9. [Google Scholar] [CrossRef]
- Pop, V.; Dorohoi, D.O.; Delibas, M. Consideration on the statistic model of the intermolecular interactions in ternary solutions. An. Stiint. Univ. Al. I. Cuza, Iasi, s.Ib, Fizica 1986, 32, 79–84. [Google Scholar]
- Dorohoi, D.O.; Pop, V. Spectral shifts in the electronic absorption spectra of some cycloimmonium ylids in ternary solutions. An. Stiint. Univ. Al. I. Cuza, Iasi, s.Ib, Fizica 1987, 33, 78–85. [Google Scholar]
- Dorohoi, D.O.; Avadanei, I.M.; Postolache, M. Characterization of the solvation spheres of some dipolar spectrally active molecules in binary solvents. Optoelectron. Adv. Mater. 2008, 2, 511–514. [Google Scholar]
- Babusca, D.; Benchea, A.C.; Dimitriu, D.G.; Dorohoi, D.O. Solvatochromic characterization of Sudan derivatives in binary and ternary solutions. Anal. Lett. 2016, 49, 2615–2626. [Google Scholar] [CrossRef]
- Avadanei, M.; Dorohoi, D.O. Interaction energy in pairs of pyridazinium ylids-solvent molecules estimated by spectral means within the cell ternary solution model. Ukr. J. Phys. 2012, 57, 118–122. [Google Scholar]
- Sasirekha, V.; Vanelle, P.; Terme, T.; Ramakrishnan, V. Solvatochromism and preferential solvation of 1,4-dihydroxy-2,3-dimethyl-9,10 anthraquinone by UV-vis absorption and laser induced fluorescence measurements. Spectrochim. Acta A 2008, 71, 766–772. [Google Scholar] [CrossRef] [PubMed]
- Suppan, P. Local polarity of solvent mixtures in the field of electronically excited molecules and exciplexes. J. Chem. Soc. Faraday Trans. 1987, 83, 495–509. [Google Scholar] [CrossRef]
- Lerf, C.; Suppan, P. Hydrogen bonding and dielectric effects in solvatochromic shifts. J. Chem. Soc. Faraday Trans. 1992, 88, 963–969. [Google Scholar] [CrossRef]
- Henseler, A.; von Raumer, M.; Suppan, P. Observation of dielectric enrichment upon the formation of benzophenone radical anion in a binary solvent mixture. J. Chem. Soc. Faraday Trans. 1996, 92, 391–393. [Google Scholar] [CrossRef]
- Papadakis, R. Preferential solvation of a highly medium responsive Pentacyanoferrate(II) complex in binary solvent mixtures: Understanding the role of dielectric enrichment and the specificity of solute-solvent interactions. J. Phys. Chem. B 2016, 120, 9422–9433. [Google Scholar] [CrossRef] [PubMed]
- Papadakis, R.; Deligkiozi, I.; Nowak, K.E. Study of the preferential solvation effects in binary solvent mixtures with the use of intensely solvatochromic azobenzene involving [2] rotaxane solutes. J. Mol. Liq. 2019, 274, 715–723. [Google Scholar] [CrossRef]
- Malik, P.K.; Tripathy, M.; Kajjam, A.B.; Patel, S. Preferential solvation of p-nitroaniline in a binary mixture of chloroform and hydrogen bond acceptor solvents: The role of specific solute-solvent hydrogen bonding. Phys. Chem. Chem. Phys. 2020, 22, 3545–3562. [Google Scholar] [CrossRef]
- Malik, P.K.; Tripathy, M.; Patel, S. D-π-A molecular probe to unveil the role of solute-solvent hydrogen bonding in solvatochromism, location specific preferential solvation and synergistic effect in binary mixtures. ChemistrySelect 2020, 5, 3551–3566. [Google Scholar] [CrossRef]
- Van, S.-P.; Hammond, G.S. Amine quenching of aromatic fluorescence and fluorescent exciplexes. J. Am. Chem. Soc. 1978, 100, 3895–3902. [Google Scholar] [CrossRef]
- Dulcescu-Oprea, M.M.; Morosanu, A.C.; Dimitriu, D.G.; Gritco-Todirascu, A.; Dorohoi, D.O.; Cheptea, C. Solvatochromic study of pyridinium acetyl benzoyl methylid (PABM) in ternary protic solutions. J. Mol. Struct. 2021, 1227, 129539. [Google Scholar] [CrossRef]
Publisher’s Note: MDPI stays neutral with regard to jurisdictional claims in published maps and institutional affiliations. |
© 2021 by the authors. Licensee MDPI, Basel, Switzerland. This article is an open access article distributed under the terms and conditions of the Creative Commons Attribution (CC BY) license (https://creativecommons.org/licenses/by/4.0/).













