Abstract
Crystalline materials containing hybrid inorganic–organic metal borates (complexes with oxidoborate ligands) display a variety of novel framework building blocks. The structural aspects of these hybrid metallaoxidoborates containing Cd(II), Co(II), Cu(II), Ga(III), In(III), Mn(II), Ni(II) or Zn(II) metal centers are discussed in this review. The review describes synthetic approaches to these hybrid materials, their physical properties, their spectroscopic properties and their potential applications.
1. Introduction
In borate chemistry (n.b. oxidoborate is the recommended IUPAC name for oxidized oxygen containing borates [1]) the boron centers are bound to oxygen atoms as sp2 hybridized triangular {BO3} (Δ) or sp3 hybridized {BO4} tetrahedral (T) structural units [2,3,4]. These fundamental units can be aggregated, employing organic cations or transition-metal cations as templating agents [5], with condensation and oxygen atom corner sharing into larger oxidoborate clusters. In these structures, terminal oxygen atoms (i.e., those not corner shared) are generally also bound to hydrogen atoms as hydroxy groups [2,3,4]. Such oxidoborates are often described as hydrated borates [6] and these compounds are readily formed under relatively mild conditions [2,3,4,5,6]. Harsher conditions can lead to anhydrous borates and although very rare, even to the possibility of edge sharing oxygen atoms [7]. Descriptors have been developed by Christ and Clark [2] and by Burns and co-workers [4] to designate reoccurring structural motifs as framework building blocks (FBBs) and Christ and Clark’s descriptors [2] are used in this review. Hydrated oxidiborates may enter the primary coordination shell of metals, with formation of O-donor coordinate bonds with the result of even more complex and diverse species. Coordination compounds containing oxidopolyborate ligands are therefore an important sub-class of synthetic oxidoborate compounds and recent progress in this area is the subject of this review. Since insular oxidopolyborate anions partnered by cationic transition-metal complexes do not contain oxidoborates as ligands they are not within the scope of this review and are excluded. Metal complexes often contain more than one ligand type and those that contain oxidoborate ligands and conventional organic ligands with typical donor atoms may also be classified as inorganic–organic hybrid materials [8,9]. Such hybrid compounds may potentially have unique and useful properties as a result of combining and/or enhancing properties associated with non-hybrid single materials.
This review is designed to be comprehensive within the defined topic and covers recently reported (twenty-first century) literature. It reports on structural chemistry, synthetic methods, physical properties and possible applications and focusses on complexes containing oxidoborate ligands. The following d-block and p-block metal ions form such complexes: Cd(II), Co(II), Cu(II), Ga(III), In(III), Mn(II), Ni(II) and Zn(II) and subsections are dedicated to each metal. Oxidoborate ligands are discussed by increasing boron number within these metal borate subsections. Compounds containing oxidoborates ligands were first reported in the twentieth century and for information on such compounds the reader is referred to an earlier review [3] which surveys general structural aspects of oxidoborate chemistry.
2. Structural (XRD) Studies
2.1. Cadmium(II) Borates
Several oxidoborate coordination compounds of Cd(II) have been reported during the review period: [Cd(dab)0.5(dab’)0.5{B5O7(OH)3}]n (1) (dab = 1,4-diaminobutane) [8], [Cd(dap)0.5(dap’)0.5{B5O8(OH)}]n·nH2O (2) (1,3-diaminopropane) [9], [Cd(tren){B8O11(OH)4}]n (3) (tren) = tris(2-aminoethyl)amine) [10], [Cd(pn){B6O7(OH)6}]n·nH2O (4) (pn = 1,2-diaminopropane) [11], [{Cd3(H2O)4(NO3)2}{B6O9(OH)2}2]n (5) [12] and four related compounds, exemplified by [pyH]2[Cd(py)2{B14O20(OH)6}](6) (py = pyridine) [13].The FBB’s in these compounds are mostly complex with the pentaborate(2-) unit in 1 is based on a FBB of 4(4-1) with a pendant -B(OH)2 unit (FBB = 1) replacing a terminal H atom on a T unit of the larger FBB and can be designated a compounded descriptor 5:[4:(2Δ+2T)+Δ]. The FBB for 2 is based on the pentaborate(2-) unit 5:(3Δ+2T). The octaborate(2-) and the tetradecaborate(4-) FBBs in 3 and 6 are also best designated as compounded descriptors 8:[5:(4Δ+T)+3:(2Δ+T)] and 14:[{7:(5Δ+2T)}2] respectively, with the latter dimer based on a FBB unit of 7. The condensed hexaborate(2-) units in 4 and 5 have a more standard descriptor based on a FBB unit of 6 i.e., 6:(2Δ+3T).
Compound 1 is a hybrid inorganic–organic 3-D coordination polymer [8]. The 22-electron Cd(II) center adopts a distorted six-coordinate octahedral complex with two trans N-donor from two different 1,4-dab ligands (forming a 1-D chain) and four O-donor atoms from two oxidoborate network ligands (Figure 1a).
Figure 1.
The building units of (a) [Cd(dab)0.5(dab’)0.5{B5O7(OH)3}]n (1), (b) [Cd(tren){B8O11(OH)4}]n (3), and (c) [Cd(pn){B6O7(OH)6}]n·nH2O (4).
Compound 2 is also a hybrid inorganic–organic 3-D coordination polymer [9]. In 2 the 2-D layers of repeating neutral [Cd{B5O8(OH)}] units are linked by bridging dap units into a 3-D structure, with each 20-electron Cd(II) center being 5-coordinate and ligated by two monodentate N-donor dap ligands and three O-donors from the oxidoborate framework.
Compound 3 is a Cd(II) complex comprised of an anionic oxidoborate ligand {B8O11(OH)4}2− fragment coordinated to a supporting {Cd(tren)}2+ fragment (Figure 1b) [10]. The 20-electron Cd(II) center in 3 is five-coordinate and is coordinated by four N-donors from the tren ligand and one O-donor from the bridging O atom from the {B3O6(OH)} sub-unit of the octaborate(2-) anion. These {B3O4(OH)} sub-units, with additional pendant {B5O7(OH)3} sub-units, link together into a 1-D chain polymer. These 1-D chains are joined together into a 3-D framework via extensive H-bond interactions.
Compound 4 is an octahedral 22-electron Cd(II) complex with a cis-pn ligand and four O-donors from two hexaborate(2-) ligands, forming a 1-D coordination polymer chain [11]. One of the hexaborate ligands is coordinated fac to the Cd(II) center via the three OH groups bound to tetrahedral boron atoms and the final coordination bond is formed from a trigonal boron OH group from another hexaborate(2-) unit (Figure 1c). The structure of this complex is described as [Cd(1,2-dap)][B6O11(OH)2]·H2O in [11] but is better formulated as [Cd(pn){B6O7(OH)6}]n·nH2O (4). The hexaborate(2-) units in 4 not only bridge two Cd(II) centers but are also further linked together to form an extended network which is interconnected via a strong H-bonding.
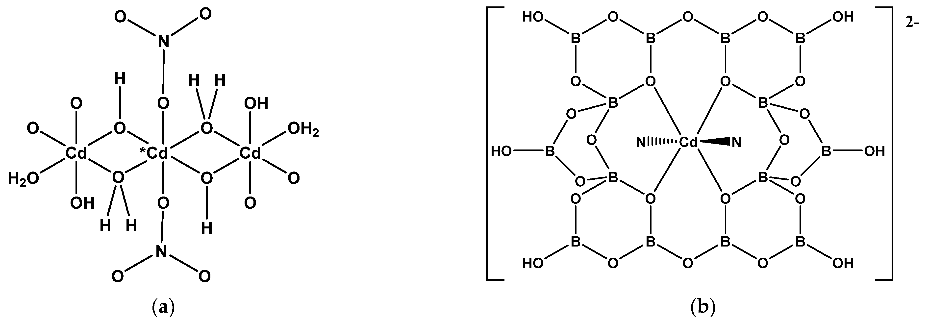
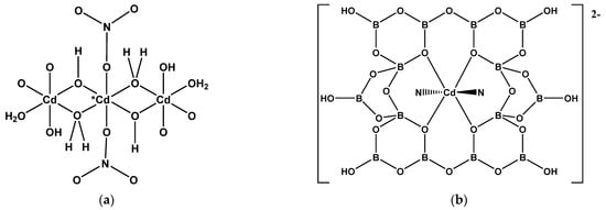
Compound 5 has a unique structure, and it is comprised of 2-D planes of condensed {B6O9(OH)2}2− units coordinated to the terminal 22-electron Cd(II) centers of a linear {Cd3(H2O)4(NO3)2}4+ unit (Figure 2a) is such a way as to form a crosslinked 3-D network [12]. The central 22-electron Cd(II) center of the centrosymmetric {Cd3(H2O)4(NO3)2}4+ sub-unit (marked Cd* in Figure 2a) has two trans NO3− ligands and all three Cd(II) centers are octahedral with remaining sites occupied by terminal or bridging H2O ligands or oxidoborate O-donor centers.
Figure 2.
(a) The cationic {Cd3(H2O)4(NO3)2}4+ unit of [(Cd3){B6O9(OH)2}2(NO3)2(H2O)4]n (5). Donor atoms marked O and OH from oxidohexaborate clusters, and (b) the building unit of Cd(II)-centered metallaoxidoborate cluster anion, trans-[Cd(py)2{B14O20(OH)6}]2− (6).
Compound 6 is typical of a series of four hybrid Cd(II) oxidoborates that exhibit 3-D open-framework with novel topologies [13]. All the networks are comprised of a novel Cd(II) centered complex trans-[Cd(py)2{B14O20(OH)6}]2− and there are further interionic links via H-bonding interactions. As shown in Figure 2b, the [B14O20(OH)6]4− coordinates by four O-donors from the four boroxole {B3O3} rings to the Cd(II) center in a square planar arrangement, with two additional axial N-donor ligands, resulting in a 22-electron octahedral complex.
2.2. Cobalt(II) Borates
The triborate(1-) ligand with the FBB unit of a 6-membered boroxole ring with two {BO3} units and one {BO4} unit i.e., 3:(2Δ+T) (Figure 3a) is present in the recently synthesized salt [Co(H2O)6]2[NO3]2·[Co(H2O)4{B3O3(OH)4}2]·2H2O (7) [14]. The 19-electron Co(II) centers are both octahedral and the two [B3O3(OH)4]− ligands in the neutral [Co(H2O)4{B3O3(OH)4}2] complex are trans and are coordinated by hydroxy O-donors bound to tetrahedral boron atoms.
Figure 3.
(a) The structure of [Co(H2O)4{B3O3(OH)4}2] (7), and (b) the building unit of [Co(dap)0.5(dap’)0.5{B4O7}]n (8).
A diagram of the structure of [Co(dap)0.5(dap’)0.5{B4O7}]n (8) [8] (Figure 3b) shows a five-coordinate trigonal-bipyramidal coordination geometry at the 17-electron Co(II) center with two N-donor coordinate bonds, from two different dap ligands and forming a 1-D chain, and three O-donor atoms from three anionic {B4O7}2− tetraborate units. The Christ and Clark descriptor for these units with a FBB of 4 is 4-1:(2Δ+2T).
The basic building unit of [Co(tren){OB5O6(OH)3}] (9) is shown in Figure 4a [15]. The [OB5O6(OH)3]2− ligand can be described as 5:(4Δ+T) with one of four trigonal units deprotonated. The 17-electron Co(II) center exhibits a trigonal-bipyramidal coordination geometry, with four N-donor atoms and one O-donor atom. Compound 9 forms 3-D supramolecular network through extensive H-bond interactions.
Figure 4.
Drawings of (a) the uncharged unit of [Co(tren) {OB5O6(OH)3}] (9), (b) the dianion observed in [1-cyanopiperazinium][Co{B6O7(OH)6}2]·4H2O (11), and (c) the structure of [Co{(NH2CH2CH2O)3B6O7(OH)3}] (12).
The homoleptic bis(hexaborate(2-))cobalt(II) complexes [piperazine-1,4-dium] [Co{B6O7(OH)6}2]·6H2O (10) [16] and [1-cyanopiperazinium][Co{B6O7(OH)6}2]·4H2O (11) [17] have been recently synthesized and characterized crystallographically. The oxidoborate ligands in 10 and 11 are designated 6:(3Δ+3T) and it is the three hydroxyl O atoms on the three {BO4} centers that coordinate in fac- geometries to the octahedral 19-electron Co(II) centers (Figure 4b). In both these structures there are strong templating interionic H-bond interactions.
The derivatized hexaborate(2-) ligand observed in [Co{(NH2CH2CH2O)3B6O7(OH)3}] (12) [18] has three 2-amino ethoxy groups in place of the three -OH groups on the tetrahedral boron centers of a hexaborate(2-) ion found in 10 and 11. It functions as a hexadentate ligand through the three O-donors, bound to the aminoethyl substituents and the three amino N-donors to the 19-electron Co(II) center (Figure 4c).
2.3. Copper(II) Borates
Oxidoborates coordinated to Cu(II) centers are not uncommon and are available for diborate(2-), pentaborate(1-), hexaborate(2-) and icosaborate(12-) anions. The diborate(2-) anion is observed as part of the templated oxidoborate found in [H3O]4[Cu7(NH3)2(H2O)4{B24O39(OH)12}]·13H2O (13) [19] and this will be discussed later in this sub-section.
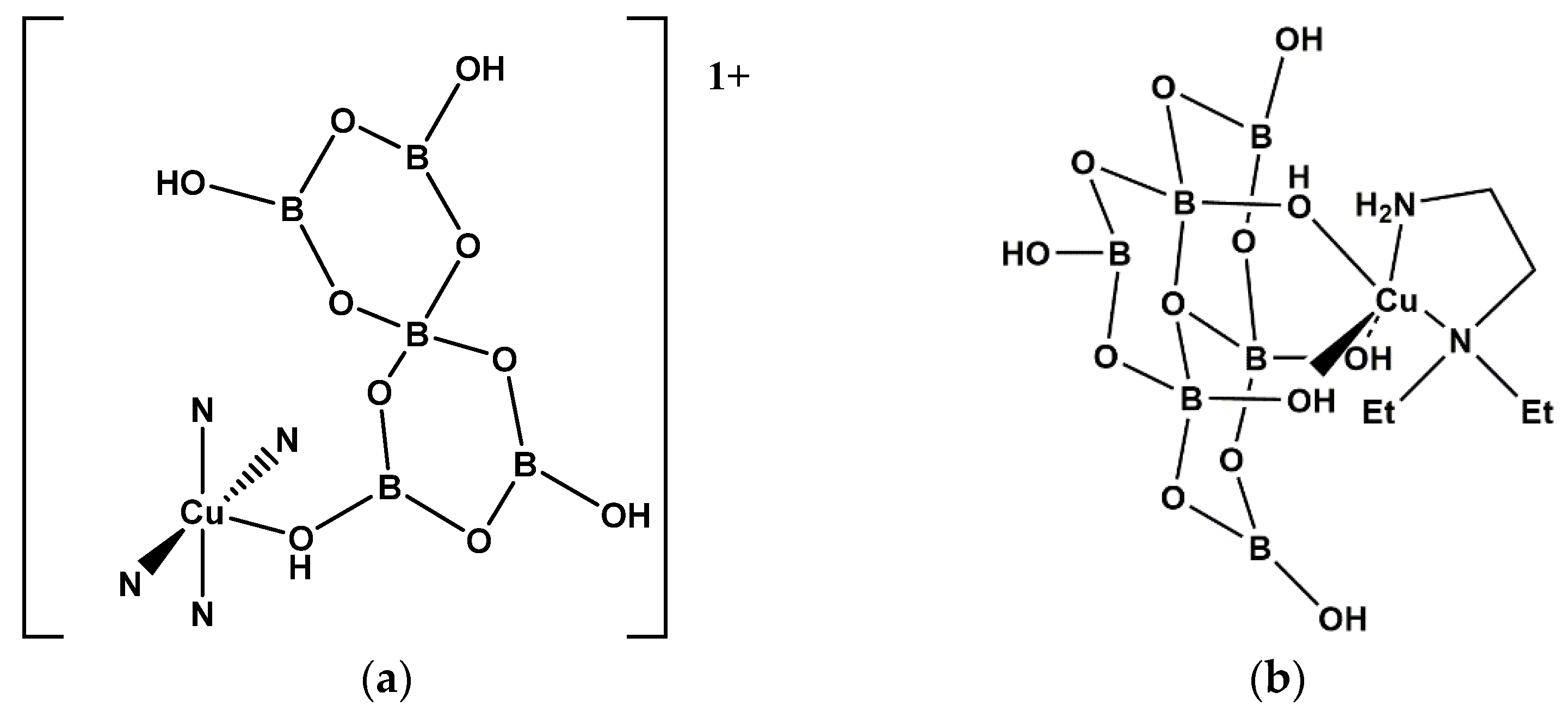
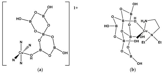
As shown in Figure 5a, [Cu(pn)2{B5O6(OH)4}][B5O6(OH)4]·4H2O (14) [20] is an ionic compound comprised of a cationic hybrid Cu(II) complex containing a pentaborate(1-) ligand based on a FBB of 5:(4Δ+T). This +1 cation is partnered with an additional insular [B5O6(OH)4]− anion. The 19-electron Cu(II) ion in 14 has a distorted square-based pyramidal geometry with four N-donor atoms, and an axial O-donor pentaborate(1-) with a T5 [21] of 0.87. A sixth O-donor H2O potential ‘ligand’ is axially trans to the pentaborate(1-) ligand, but the Cu-O distance is not within normal (or even long) bonding distances.
Figure 5.
(a) The cation present in [Cu(pn)2{B5O6(OH)4}][B5O6(OH)4]·4H2O (14), and (b) the uncharged building unit of [Cu(deen){B6O7(OH)6}]·5H2O (19).
Coordinated hexaborate ligands are well represented in Cu(II) coordination chemistry as illustrated by the following examples: [Cu(NH3)2{B6O7(OH)6}]n·2nH2O (15) [22], [Cu(en){B6O7(OH)6}]n·3nH2O (16) (en = 1,2-diaminoethane) [23], [Cu(dmen){B6O7(OH)6}]·4H2O (17) (dmen = N,N-dimethyl-1,2-diaminoethane) [20], [Cu(tmeda){B6O7(OH)6}]·6H2O (tmeda = N,N,N’,N’-tetramethyl-1,2-diaminoethane) (18) [20], and [Cu(deen){B6O7(OH)6}]·5H2O (19) (deen = N,N-diethyl-1,2,-diaminoethane) [22]. The organic N-donor ligands in 17, 18 and 19 are relatively sterically demanding and the resulting neutral coordination complexes have square-based pyramidal 5-coordinate 19-electron Cu(II) geometries. Each Cu(II) center is coordinated by two N-donors and three O-donors from the oxidohexaborate(2-) ligands. This is illustrated in Figure 5b for 19. The organic N-donor ligands in 15 and 16 are relatively small and this permits the Cu(II) centers to adopt 6-coordinate tetragonally distorted octahedral geometries with the formation of additional Cu-O coordinate bonds from bridging oxidoborate ligands, in a similar way to that observed in the Cd(II) complex, 4. These 21-electron Cu(II) centers are coordinated by two N-donors ligands, three O-donors from the fac-hexaborate(2-) ligand with a sixth site from an O-donor of an ‘adjacent’ hexaborate(2-) by formation of a 1-D coordination polymeric chain.
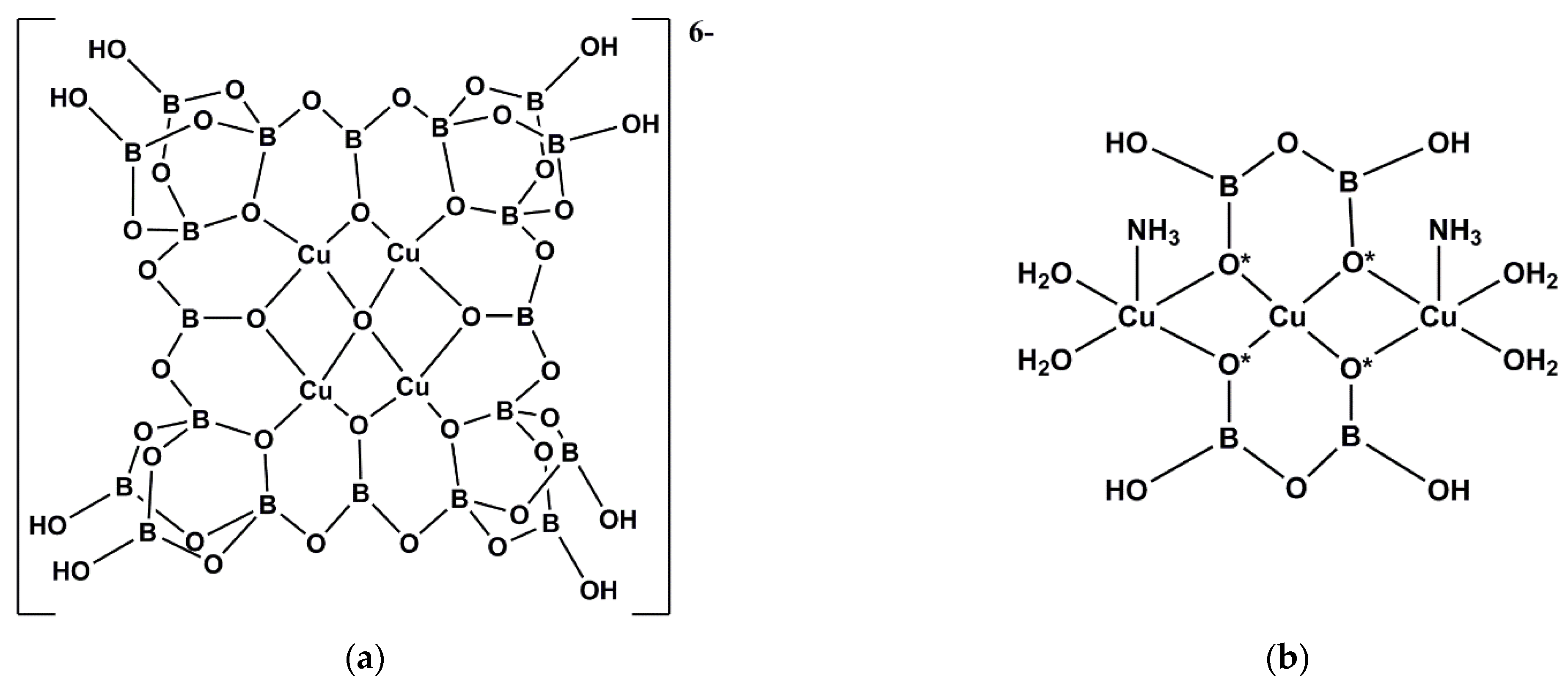
Three new examples of Cu(II) complexes containing oxidoicosaborate(12-) ligands have been prepared: [H3O]4[Cu7(NH3)2(H2O)4{B24O39(OH)12}]·13H2O (13) [19], H6[Cu4O{B20O32(OH)8}]·25H2O (20) [24] and H6[Cu4O{B20O32(OH)8}]·34H2O·8B(OH)3 (21) [24]. These three compounds are fundamentally structurally identical to Cu(II)/oxidoicosaborate(6-) complexes HM5[Cu4O{B20O32(OH)8}]·32H2O (M = Na, K) first synthesized by Heller and described in his early (1986) borate structural chemistry review [3]. The structure of the anion in 13, 20 and 21 is drawn in Figure 6. It is best described as comprised on four square planar 17-electron Cu(II) ions and a central μ4-O2− ion supporting and surrounded by large oxidoicosaborate(12-) ring structure. This ring structure itself is ‘tetrameric’ with four alternating FBB’s of {B1} and {B4} sub-units linked into a larger 24-membered ring with a compound designation of 20:{4:(2Δ+2T)+Δ}4. Compound 21 has 8 additional B(OH)3 molecules per oxidoicosaborate(12-) moiety, and these are situated within channels which are available within the giant structure formed by close-packing the large multi-metallic oxidoborate anions [24].
Figure 6.
Drawing of (a) the structure of the (oxidotetracopper)oxidoicosaborate(6-) anion, [Cu4O{B20O32(OH)8}]6−, found in 13, 20 and 21, and (b) the ‘top layer’ of 13 which is comprised of a linear {Cu3}6+ chain and two coordinated oxidodiborate(2-), [B2O3(OH)2]2−, anions. The four O* atoms also bridge to the four Cu atoms in the lower level of 13.
Compound 13 is unique and contains seven Cu(II) centers. It can be considered to be a large anion based on two ‘layers’: the ‘lower layer’ is as is illustrated in Figure 6a and this layer supports a linear {Cu3}6+ unit in an ‘upper layer’. The {Cu3}6+ unit is further supported by two peripheral diborate(2-) anions, and all seven 19-electron Cu(II) centers are 5-coordinate square-based pyramids. This ‘top layer’ of 13 is illustrated in Figure 6b. Structurally, compound 13 has another unusual feature: the presence of B-O− groups. It is very rare for oxidiborates prepared and crystallized from aqueous solution to display B-O− groups arising from trigonal B centers [2]. It is also interesting to note that all such B-O− groups in the ‘upper layer’ of 13 are found bridging two (μ2-) or three (μ3-) Cu(II) centers and that the central O2− ion bridges five (μ5-) Cu(II) centers [19]. There are also four B-O− groups in the ‘lower layer’ of 13, and in 20 and 21 that each bridge (μ2-) two Cu(II) centers.
2.4. Gallium(III) and Indium(III) Borates
Ga(III) and In(III) borates are conveniently considered together. The hybrid oxidoborate, [Ga(en)2{B5O8(OH)2}]n·nH2O (22) was first synthesized in 2012 [25]. The two en N-donor bidentate ligands occupy four coordination sites around an octahedral 22-electron Ga(III) center and the two remaining cis- coordination sites are connected to two different {B5O8(OH)2}3− anions forming a 1-D chain structure (Figure 7a). Two recently reported compounds [Ga(teta){B5O8(OH)2}]n·nH2O (23) (teta = tetraethylenetriamine) and [In(teta){B5O8(OH)2}]n·1.5nH2O (24) have similar structures [11]. Compound 22 was also reported in 2013 together with three other related compounds: [In(en)2{B5O8(OH)2}]·H2O (25), [In(dap)2{B5O8(OH)2}]·H2O (26), and [In(dien){B5O8(OH)2}]n (27) [26]. The structures of 25 and 26 are essentially the same as 22 with a change of metal (to In(III) in 25) or ligand and metal (to InIII and dap in 26). Compounds 22–27 contain {B5O8(OH)2}3− anions and these anions are based on the frequently observed 5:(4Δ+T) pentaborate(1-) anion, [B5O6(OH)4]−, but is additionally double deprotonated. The related compound Rb2n[Ga{B5O10}]n·4nH2O (28) has also been reported [25]. Here, the 5:(4Δ+T) building block is deprotonated 4 times to form the [B5O10]5− anion with four of these anions coordinated to a tetrahedral 18-electron Ga(III) center in chain-like 2-D structures.
Figure 7.
The building unit of (a) [Ga(en)2{B5O8(OH)2}]n·nH2O (22), and (b) the dimeric In(III) centers in [In(dien){B5O8(OH)2}]n (27).
Compound 27 is unique and features octahedral In(III) centers coordinated by a tridentate dien ligand (fac-) and three monodentate {B5O8(OH)2}3− ligands which bridge to other In(III) centers in such a way as to produce a ‘dimeric’ 1-D chain with oxidoborate O-bridges between two In(III) centers (Figure 7b). The H-bonding interactions between adjacent chains leads to a supramolecular H-bonded network.
2.5. Manganese(II) Borates
One 15-electron five-coordinate trigonal-bipyramidal Mn(II) complex with a coordinated oxidoborate ligand has been reported, K7[(BO3)Mn{B12O18(OH)6)}]·H2O (29) [27]. The structure of this will be discussed in Section 2.7 since 29 is isostructural with an analogous 20-electron Zn(II) complex and forms part of a family of structurally related of Zn(II) compounds.
2.6. Nickel(II) Borates
The recently synthesized salt [Ni(H2O)6]2[NO3]2·[Ni(H2O)4{B3O3(OH)4}2]·2H2O (30) [14] is isostructural with 7. The two [B3O3(OH)4]− ligands in the neutral [Ni(H2O)4{B3O3(OH)4}2] complex are trans on octahedral 20-electron Ni(II) centers and are coordinated by hydroxy O-donors bound to tetrahedral boron atoms of the triborate(1-) anion.
Two Ni(II) hexaborate(6-) complexes have recently been synthesized during the review period: [Ni(en)(H2O)2{B6O7(OH)6}]·H2O (31) [28] and [Ni(dmen)(H2O){B6O7(OH)6}]·5H2O (32) [28]. These compounds are neutral molecules and contain the [B6O7(OH)6]2− ligand as described earlier for 4, 10, 11 and 15–19 (Section 2.1, Section 2.2 and Section 2.3). These ligands are also found in Zn(II) chemistry (Section 2.7). Both 31 and 32 are octahedral about the 20-electron Ni(II) centers but differ in the denticity of the hexaborate(2-) ligands which are bidentate in 31 (Figure 8a) and tridentate in 32. Both compounds demonstrate numerous intermolecular and intramolecular solid-state structure directing H-bond interactions.
Figure 8.
(a) The uncharged complex of [Ni(en)(H2O)2{B6O7(OH)6}]·H2O (31) showing the bidentate nature of the [B6O7(OH)6]2− ligand, (b) the building unit of [Zn{B3O4(OH)3}]n (35), and (c) the building unit of [Zn(pn){B4O6(OH)2}]n (36).
The derivatized hexaborate(2-) ligand, with three 2-amino ethoxy groups, in place of the three -OH groups on the tetrahedral boron centers, functions as a hexadentate ligand in the 20-electron Ni(II) complex, [Ni(NH2CH2CH2O)3{B6O7(OH)3}] (33) [18]. Compound 33 is isostructural with 12.
2.7. Zinc(II) Borates
There have been more oxidoborate complexes reported for Zn(II) than for any other metal. The coordinated oxidoborate ligands range in size from triborate(1-) to dodecaborate(6-).
The recently synthesized salt [Zn(H2O)6]2[NO3]2·[Zn(H2O)4{B3O3(OH)4}2]·2H2O (34) [14] is isostructural with 7 and 30. The two [B3O3(OH)4]− ligands in the neutral [Zn(H2O)4{B3O3(OH)4}2] complex are trans on octahedral 22-electron Zn(II) centers and are coordinated by hydroxy O-donors bound to tetrahedral boron atoms.
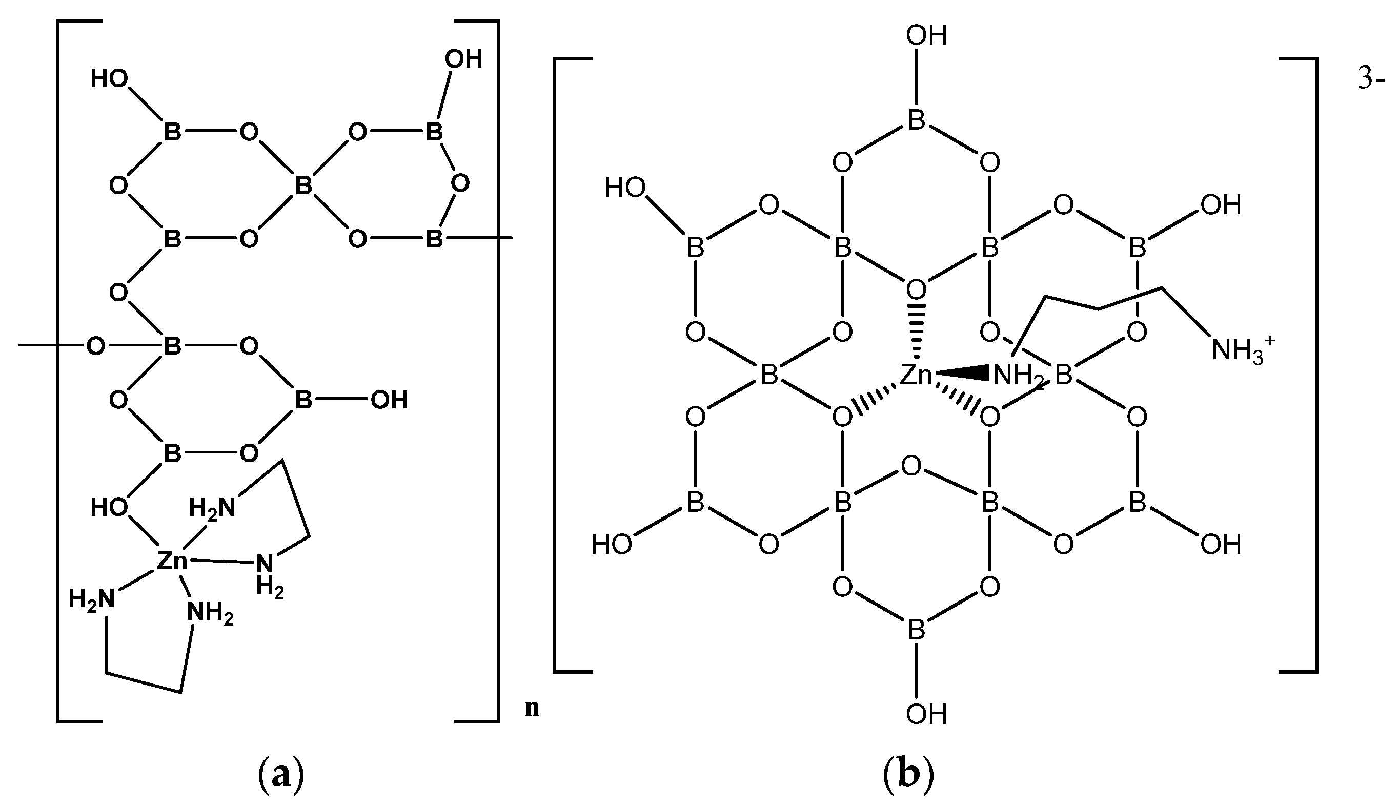
Structural characterization of the commercially important Zn(II) triborate, [Zn{B3O4(OH)3}]n (35), revealed that it was a crosslinked 1-D coordination chain polymer of Zn(II) [29]. The oxidoborate forms a 1-D polymeric chain (Figure 8b) and each 18-electron Zn(II) center is coordinated by two oxygen atoms from two adjacent monomeric unit of the chain, and completes its tetrahedral arrangement by coordination from two hydroxide O-donors from a neighboring chain to crosslink the structure into a 2-D network. The network also has numerous interchain H-bond interactions. Each triborate(2-) FBB unit is a 6-membered boroxole ring with one {BO3} and two {BO4} units, i.e., 3:(Δ+2T).
Tetraborate ligands based on the 4(4-1) FBB are represented by the following compounds [Zn(pn){B4O6(OH)2}]n (36) [30], [Zn(dap)0.5(dap’)0.5{B4O6(OH)2}]n·nH2O (37) [30], and [Zn(dab)0.5(dab’)0.5{B4O6(OH)2}]n·nH2O (38) [31]. Compounds 36-38 have identical Zn(II)/ligand/borate stoichiometries with similar, but non-identical, structures. All three contain tetrahedral 18-electron Zn(II) centers with two N-donor amine and two O-donor tetraborate ligands, with the latter condensed into 1-D tetraborate chains. Compound 36 contains a chelating pn ligand (Figure 8c) whereas 37 (and 38) has two dap (or dab) ligands on each Zn(II) center both bridging other Zn(II) centers and forming a 1-D coordination polymer chains in crosslinked inorganic–organic 2-D layered structures.
The FBB of 5:(4Δ+T) is present in [Zn(tren){B5O7(OH)3}] (39) [32] and this ligand is identical to that found in 9 (Section 2.2). [Zn(dab)0.5(dab’)0.5{B5O7(OH)3}]n (40) [8] and [Zn(appip){B4O6(OH)(OB{OH}2})]n·3nH2O (41) (appip = trans-1,4-bis(3-aminopropyl)piperazine) [30] are based on a FBB of 4 with a pendant -OB(OH)2 replacing a hydroxyl group on a tetrahedral boron center of the tetraborate moiety with a 5:[4:(2Δ+2T)+Δ] framework and are isostructural with 1 (Section 2.1).
The 6:(3Δ+3T) FBB, described in Section 2.1, Section 2.2, Section 2.3 and Section 2.6, is also observed as a hexaborate(2-) ligand in Zn(II) complexes. The following complexes have been prepared [Zn(dien){B6O7(OH)6}]·0.5H2O (42) [33], (NH4)2[Zn(H2O)2{B6O7(OH)6}2]·2H2O (43) [33], [Zn(en){B6O7(OH)6}]n·2nH2O (44) [34] and [Zn(pn){B6O7(OH)6}]n·1.5nH2O (45) [34]. The 22-electron Zn(II) centers in 42-45 are all octahedral with N3O3, O6, N2O4 and N2O4 donor sets, respectively. The hexaborate(2-) ligands in 42, 44 and 45 are tridendate but are bis(bidentate) and trans in the centrosymmetric anion in 43 (Figure 9a). Compounds 44 and 45 are 1-D coordination polymers with a -OH group of a trigonal boron of the coordinated hexaborate(2-) anion bridging onto another Zn(II) center. This configuration has also been observed in Cd(II) (4, Section 2.1) and Cu(II) (15 and 16, Section 2.3) chemistry.
Figure 9.
Drawings of (a) the insular anion in (NH4)2[Zn(H2O)2{B6O7(OH)6}2]·2H2O (43), and (b) the repeating unit of [{Zn(en)2{B7O10(OH)3}2]n (46).
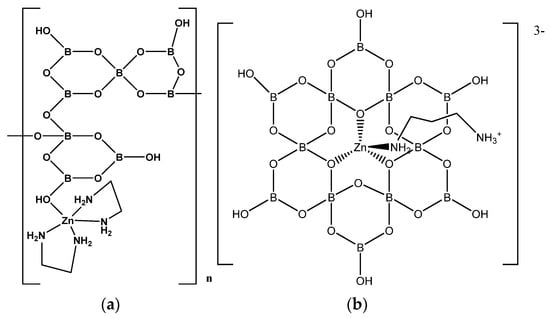
{{Zn(en)2B7O10(OH)3}2]n (46), also formulated as [Zn(en)2{B7O12(OH)}] in Ref. [9], is a 3-D coordination polymer comprised of an octahedrally coordinated 22-electron Zn(II) center based on square planar [Zn(en)2] units axially coordinated by a O-donor condensed oxidoheptaborate framework. The oxidoborate FBB in 46, [B7O10(OH)3}]n2n−, can be described by a compounded descriptor 7:[(3:2Δ+T)+(3:2Δ+T)+Δ] with triangular BO2(OH) cross-linking units (Figure 9b).
[Zn(en)2{B8O11(OH)4}]n (47) [10] was reported in 2017 and has a similar stoichiometry to 3 but is isomeric, with a different oxidoborate condensation mode and a 1-D polymer chain. (Figure 10a). Nevertheless, the octaborate(2-) anion is best designated by the compounded descriptor 8:[5:(4Δ+T)+3:(2Δ+T)].
Figure 10.
(a) The repeating unit of [Zn(en)2{B8O11(OH)4}]n (47), and (b) a drawing of the [(Hdap)Zn{B12O18(OH)6}]3− anion in (H2dap)3[(Hdap)Zn{B12O18(OH)6}]2· 14H2O (51).
[Zn2(dap)(dap’){B8O13(OH)2}]n (48) [30] has a similar structure to 37 and 38 with the 18-electron Zn(II) centers tetrahedral with 2 monodentate bridging dap N-donor ligands. The octaborate(4-) O-donor ligands are based on two condensed tetraborate(2-) building blocks via an O bridge, 8:{4(2Δ+2T)}2. However, this now results in 2-D layers rather than 1-D chains and the 2-D layers are further crosslinked into 3-D networks, by the amines.
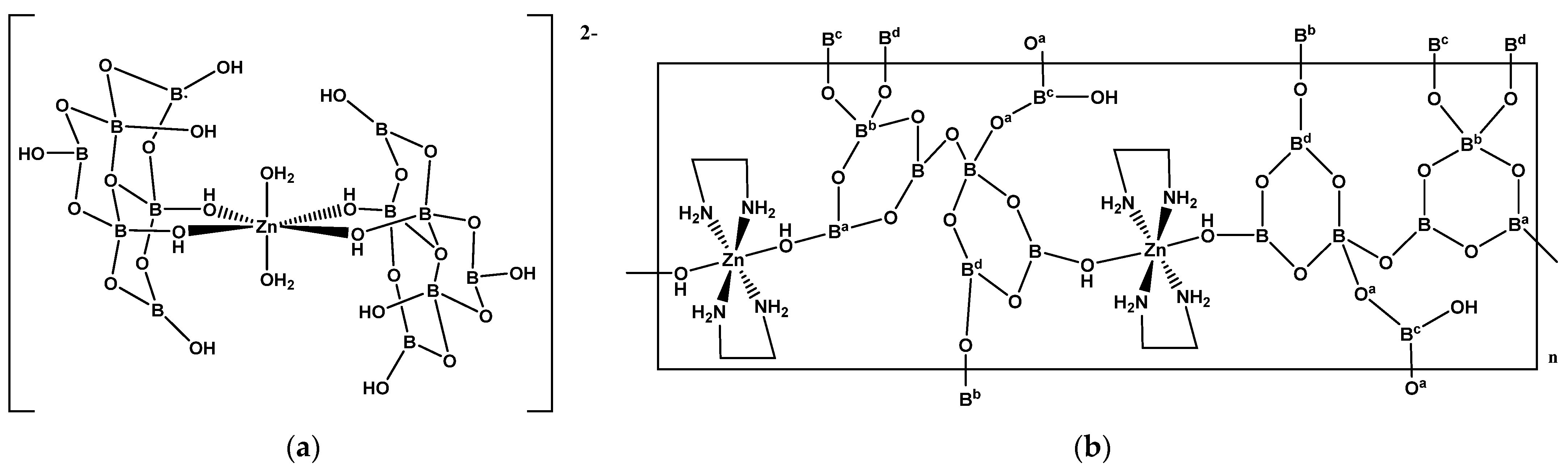
The large insular anion [B12O18(OH)6]6− has been reported in K7[(BO3)Zn{B12O18(OH)6)}]·H2O (49) [35], [(Hen)Zn{B12O18(OH)6}Zn(en)(Hen)]·8H2O (50) [36] and (H2dap)3[(Hdap)Zn{B12O18(OH)6}]2·14H2O (51) [33]. The dodecaborate(6-) anion is based on a hexameric FBB of 3 i.e., 12:{3:(Δ+2T)}6, with all tetrahedral boron centers linking boroxole {B3O3} rings, generating a larger inner 12-membered B/O alternating B6O6 ring. Stereochemically, three of these potential O-donor atoms point to one side of the large ring and three face towards the other side. The anion in 51, [(Hdap)Zn{B12O18(OH)6}]3−, which is typical of the oxidoborate building blocks contained within these structures, has a tetrahedral 18-electron Zn(II) center coordinated by fac O-donors from the dodecaborate(6-) ligand and a monodentate N-donor from a protonated 1,3-diamminopropane ligand (Figure 10b). There is extensive H-bonding between anions forming a supramolecular 3-D H-bonded lattice.
3. Synthetic Methods
3.1. Slow Crystallization by Solvent Evaporation
This method involves slow crystallization from aqueous or a miscible aqueous/organic solution which originally contained B(OH)3 and metal precursor complexes. The oxidoborate compounds are templated by the transition-metal/p-block metal complexes present in the dynamic combinatorial library (DCL) of oxidoborate anions that are present in solution in equilibrium concentrations [37]. Products are generally under thermodynamic control especially when metal-ligand exchange equilibria (and hydroxyoxidoborate-H2O equilibria) are fast. The solvents used for evaporation in the boric acid solution are often H2O or H2O/EtOH or H2O/MeOH. Crystallization of the product may take a few hours to several weeks. This is illustrated for the preparation of [Cu(en){B6O7(OH)6}]n·3nH2O (16) from [Cu(en)2]SO4 and B(OH)3 [20]. [Cu(en)2]SO4 (3.6 mmol) and BaSO4·8H2O (3.6 mmol) were dissolved in H2O (20 mL). The solution was stirred for 20 min at room temperature and the precipitate that formed (BaSO4) was removed by filtration. B(OH)3 (25 mmol) was added to the filtrate which was then stirred for 40 min. The resulting solution was left in several small vials to crystallize. After standing for 35 days the product 16 was collected by filtration as blue crystals in 31% yield. Compounds 11, 13–19, 31, 32, 35, 42–45, 50 and 51 were prepared by a method similar to this. Oxidopolyborates prepared by this method are often insular salts and are often less condensed than those prepared by the methods described below, which generally use more forcing conditions.
3.2. Solvothermal/Hydrothermal Methods
Many organic-inorganic oxidoborates described in this article are synthesized by solvothermal (or hydrothermal) methods. In this method the non-aqueous solvent (or H2O) is placed in a sealed reaction vessel together with boron containing materials, transition-metal/p-block metal salts and organic ligands and heated to a specific temperature (usually 100–250 °C) for a set time period. Solvothermal reactions can lead to metastable, kinetically controlled, products. This method is illustrated by the preparation of [Cd(dap)0.5(dap’)0.5{B5O8(OH)}]n·nH2O (2) [9]. H3BO3 (5 mmol) and Cd(NO3)2·4H2O (1 mmol) were slowly added to a N,N-dimethylformamide (2 mL) and 1,3-dap (1 mL) solution with stirring. The white emulsion was then sealed in a Teflon-lined 25 mL autoclave reactor and heated at 180 °C for 7 days. After cooling to room temperature, crystals of 2 (36% yield based on H3BO3) were collected by filtration, washed with H2O, and dried in air. Compounds 1–6, 8, 9, 12, 20–29, 33, 36–41 and 46–49 were prepared by this general method. This relatively low temperature hydrothermal method is popular among many researchers since the necessary autoclave reactors are widely available in both academic and industrial laboratories.
3.3. Molten Salt Methods
In this method a molten salt (120–250 °C) is used as both solvent and reactant and the reaction vessel is charged with B(OH)3 and any other necessary reaction materials. This is illustrated by the preparation of [Co(H2O)6]2[NO3]2·[Co(H2O)4{B3O3(OH)4}2]·2H2O (7) [14]. Co(NO3)2·6H2O (1 mmol) was placed in a 25 mL beaker and heated in an oil bath at 120 °C until fully molten (ca. 1 min). H3BO3 (0.8 mmol) was then added, and the mixture was stirred until the H3BO3 was completely dissolved (ca. 30 min). The solution was then allowed to cool to room temperature and left to crystallize. After 14 days, transparent colorless crystals of 7 (30% based on H3BO3) were deposited on the bottom of the beaker. Compound 7 was isolated by filtration. Compounds 30 and 34 were also prepared by this method.
4. Physical, Spectroscopic Properties and Potential Applications
The oxidoborate complexes described in this manuscript are all crystalline solids with high melting (or decomposition) points. Techniques used to characterize the oxidoborates and to study their possible applications include structural studies (single-crystal XRD, powder-XRD, TEM), optical properties (diffuse reflectance spectroscopy, nonlinear optical studies (NLO), photoluminescence), magnetic properties, vibrational spectroscopy, thermal studies and catalytic investigations.
Oxidoborate complexes derived from transition-metals are generally colored but the d10 ions (Cd(II), Zn(II), Ga(III) and In(III)) are colorless. UV/Vis absorption properties of several oxidopolyborate complexes (1, 4, 5–8, 22–24, 28, 30, 34, 36, 37, 40, 41) have been studied by diffuse reflectance spectroscopy and band-gaps with energies of ranging from 3.1 eV for [(Cd3){B6O9(OH)2}2(NO3)2(H2O)4]n (5) to 5.9 eV for [Cd(dab)0.5(dab’)0.5{B5O7(OH)3}]n (1) have been noted.
The band-gaps of [Cd(pn){B6O7(OH)6}]n·nH2O (4), [Ga(teta){B5O8(OH)2}]n·nH2O (23) and [In(teta){B5O8(OH)2}]n·1.5nH2O (24) show interesting but different temperature effects. Compounds 23 and 24 exhibited blue maximum luminescence at 446 and 472 nm, respectively, when excited at 352 and 342 nm, respectively. The luminescence intensity of these two compounds increased with a decreasing temperature and was at its most intense at 80 K. Compound 4 exhibited the maximum luminescence at 444 nm with a 360 nm excitation light source, and the luminescence intensity increased with the decrease of temperature to 230 K where it was at its most intense. The luminescence intensity of 4 decreased when the temperature was further lowered to 80 K [11]. Compounds [M(dab)0.5(dab’)0.5{B5O7(OH)3}]n (M = Cd, (1); M = Zn (40)) have been shown to display blue luminescence with maximum fluorescent emission at 423 and 412 nm, when excited at and 356 or 384 nm, with lifetimes of 4.67 and 4.09 ns, for 1 and 40, respectively [8]. It is reported that the blue luminescence of two compounds originates from their inorganic oxidoborate frameworks.
Nonlinear optical (NLO) effects are also displayed by the following hybrid metal oxidoborates Rb2n[Ga{B5O10}]n·4nH2O (28) [25], K7[(BO3)Mn{B12O18(OH)6)}]·H2O (29) [27], [Zn(pn){B4O6(OH)2}]n (36) [30] and [Zn(appip){B4O6(OH)(OB{OH}2})]n·3nH2O (41) [30]. For example, compound 41 belongs to the space group P21, and since this point group is non-centrosymmetric 41 might be expected to exhibit second order nonlinear optical effects; indeed, powdered 41 does exhibit SHG behavior with a response of 29 mV using a laser of beam energy with 2.83 mJ/pulse [30]. Compound 36 had a response of 24 mV while the response of the SHG standard, KH2PO4 (KDP), was 175 mV under similar conditions [30]. Compound 28 crystallizes in chiral space group C2221. SHG measurements on a Q-switched Nd:YAG laser with sieved powdered samples (70−100 mesh) revealed that compound 28 displays a moderately strong SHG response approximately equal to that KDP [25]. The SHG response of 29 was again moderate and equal to that of KDP [27].
Many of the compounds described within this review are diamagnetic but those containing Cu(II) (13–21) and Ni(II) (31–32) centers are paramagnetic. The magnetic properties of the Ni(II) complex 30 have not been reported. Magnetic properties of the Co(II) (7–12) and the Mn(II) (29) oxidoborate complexes were also not reported, although these would be expected to be paramagnetic. The μeff values (per Cu(II) atom) of the multi-metallic complexes [H3O]4[Cu7(NH3)2(H2O)4{B24O39(OH)12}]·13H2O (13), H6[Cu4O{B20O32(OH)8}]·25H2O (20) and H6[Cu4O{B20O32(OH)8}]·34H2O·8B(OH)3 (21) are much lower than expected by the spin-only formula and 20 and 21 are temperature dependent and display anti-ferromagnetic behavior [24].
A complex borate, [Ni(en)3]n[Hen]n[B9O13(OH)4]n·nH2O, containing isolated cations and a partially condensed anionic a one-dimensional oxidoborate chain has ferroelectric properties at room temperature [38]. The electrical hysteresis loop was observed when an electric field between −28 and +28 kV was applied to the sample. Spontaneous polarization (Ps of about 52 nCcm−2) also occurred during the measurement with remnant polarization (Pr of about 30 nCcm−2) and a coercive field (Ec) of about 28 kVcm−1. The Ps of this compound is very close to that of KH2PO4− type ferroelectrics. The related compound, [Ni(en)2(pip)][B5O6(OH)4]2, which contains insular oxidoborate anions rather than coordinated oxidoborate ligands, was reported as the first templated oxidoborate with ferroelectric properties [39]. The Ps value for [Ni(en)2(pip)][B5O6(OH)4]2 of 20 nCcm−2 for is significantly higher than that of typical organic ferroelectric compounds, e.g., β-quinol-methanol (Ps = 6 nCcm−2). A related pentaborate derivative, [Zn(dab)0.5(dab’)0.5{B5O7(OH)3}]n (40), has been prepared more recently, and exhibits a wide Ec value of ca. 6 kV cm−1 to 11 kV cm−1 [8].
Vibrational (IR) data are commonly reported for oxidoborate complexes. In addition to diagnostic bands associated with organic ligands (O-H, N-H, C-C, C-N, C-C etc. stretches and bends) strong absorptions associated with ligand-M and B-O stretches (1400–1000 cm−1) are often observed but usually are not diagnostic since they are in the IR fingerprint region. In general, B-O stretching modes can be subdivided into four specific regions (asymmetric stretches: Btrig-O, 1450–1300 cm−1; Btet-O, 1150–1000 cm−1; symmetric stretches: Btrig-O, 960–890 cm−1, Btet-O, 890–740 cm−1) with bending and deformation modes at lower energy [40]. Nevertheless, Li and co-workers have tabulated diagnostic wavenumbers for specific smaller oxidoborate anions [40]. Hexaborate(2-) derivatives, with a FBB of 6:(3D+3T), are fairly common as oxidoborate ligands (e.g., compounds 4, 5, 10–12, 15–20, 42–45) and diagnostic bands at 955 and 808 cm−1 have been proposed for this anion [20,40]. Tentative diagnostic bands (1047, 952, 902 and 857 cm−1) have also been reported for icosaborate(6-) derivatives (49–51) [33].
The most studied property of inorganic–organic hybrid borates is their thermal behavior. Indeed, all compounds described within this review, except 10, 12, 33 (which are reported in crystallographic journals [16,18]), have their thermal properties documented. Many of the thermal studies have been undertaken in air from room temperature up to 800 °C, although a few (4, 23, 24) report data obtained through heating under N2 to a similar temperature. Generally, thermal decomposition is a multistage process which includes a low temperature loss of interstitial molecules (where present), a moderate temperature dehydration and cross-linking of oxidoborate hydroxyl groups, and a high temperature oxidation process (or removal of volatile organics) to generate a glassy borate residual solid. This solid can be formulated as an anhydrous metal borate (i.e., a mixed metal/boron oxide) with a M:B ratio that maintains the M:B ratio of the original oxidoborate complex. These principles are illustrated for compounds [Cd(pn){B6O7(OH)6}]n·nH2O (4), [H3O]4[Cu7(NH3)2(H2O)4{B24O39(OH)12}]·13H2O (13) and [Zn(en){B6O7(OH)6}]n·2nH2O (44). Compound 44 decomposes thermally (in air) by the loss of 2 interstitial H2O (100–180 °C), condensation of hydroxyoxidoborate with loss of 3H2O (180–320 °C) and oxidation of the en ligand (320–470 °C) to leave as a residue ZnB6O10 (= ZnO·3B2O3) [34]. Compound 13 thermally decomposes in air by the loss of 21 (interstitial and coordinated) H2O and 4 (coordinated) NH3 molecules (at 70–160 °C) and condensation of hydroxyoxidoborate groups with loss of 8H2O (at 160–300 °C) to afford Cu7B24O43 (= 7CuO·12B2O3) [19]. Occasionally, the individual processes overlap but the endpoint is the same. Thus, 4 losses weight continuously in one step upon heating, under N2, from room temperature to 800 °C [11]. In this process the guest water molecules are removed together with pn ligands and the oxidopolyborate fully condenses to afford CdB6O10 (= CdO·3B2O3) [11]. Non-metal cation polyborates have been considered to be thermal precursors to porous materials [5]. To date this has not been successful [41,42,43] but recent studies on H6[Cu4O{B20O32(OH)8}]·25H2O (20) and H6[Cu4O{B20O32(OH)8}]·34H2O·8B(OH)3 (21), which contain large 3-D intersecting channel systems with PLATON calculated solvent accessible voids of ca. 60%, suggest that mesoporous materials may be available from hybrid organic oxidoborates [24].
Fire retardancy is often linked to a compound’s thermal properties and [Zn{B3O4(OH)3}]n (35) [31] is well known for this property and has been commercially exploited. Many zinc borates also possess such properties [44] and the recently prepared hybrid oxidoborate complex [Zn(H2O)6]2[NO3]2·[Zn(H2O)4{B3O3(OH)4}2]·2H2O (34) [14] has also been reported as a promising flame retardant, at 15 wt.% loading, for ABS (acrylonitrile butadiene styrene), an important engineering thermoplastic material.
Hybrid metal-organic oxidoborates have been used as precursors to thermally prepared catalysts [9] e.g., carbon material catalysts derived from thermal treatment of [Cd(dap)0.5(dap’)0.5{B5O8(OH)}]n·nH2O (2) and [{Zn(en)2{B7O10(OH)3}2]n (46) have been used to electrochemically reduce CO2 to CO. Initial results indicate that the oxidoborate is a useful catalyst precursor since at 1.4V CO formation is 51% higher than that of RHE. This may be a promising development as a low-cost alternative to traditional noble metal catalysts.
5. Conclusions
Since metals generally have multiple coordination sites, they often can form coordination linkages with organic (N-donor) and oxidoborate (O-donor) ligands. These organic/inorganic oxidopolyborate hybrid complexes are structurally diverse and often have polymeric structures based on unique frameworks. The hybrid organic oxidoborate materials in such integrated structures can afford materials with unique properties and which may overcome possible deficiencies inherently present in related single component systems. Hybrid inorganic−organic oxidoborates have attracted considerable recent research attention, and interesting properties such as photoluminescence, ferroelectric and NLO and catalytic properties have been discovered and these are summarized within the review. Initial results indicate that these properties can be tailored and manipulated by adjusting the organic ligands, the oxidoborate motif and/or the central metallic ion, and that such compounds are a promising area for future research.
Author Contributions
Conceptualization, C.-Y.P., M.A.B.; Writing—original draft preparation, C.-Y.P., S.-S.X. and M.-H.Z.; Writing— review and editing, C.-Y.P. and M.A.B.; Funding acquisition, C.-Y.P. All authors have read and agreed to the published version of the manuscript.
Funding
This research was partially funded by the National Natural Science Foundation of China (No. 21671044).
Institutional Review Board Statement
Not applicable.
Informed Consent Statement
Not applicable.
Data Availability Statement
Not applicable.
Conflicts of Interest
The authors declare no conflict of interest. The funders had no role in the design of the study; in the collection, analyses, or interpretation of data; in the writing of the manuscript, or in the decision to publish the results.
Abbreviations
| appip | trans-1,4-bis(3-aminopropyl)piperazine |
| dab | 1,4-diaminobutane |
| dap | 1,3-diaminopropane |
| deen | N,N-diethyl-1,2,-diaminoethane |
| dmen | N,N-dimethyl-1,2-diaminoethane |
| en | 1,2-diaminoethane |
| pip | piperidine |
| pn | 1,2-diaminopropane |
| py | pyridine |
| teta | tetraethylenetriamine |
| tren | tris(2-aminoethyl)amine |
| tmeda | N,N,N’,N’-tetramethyl-1,2-diaminoethane |
References
- Beckett, M.A.; Brellocks, B.; Chizhevsky, I.T.; Damhus, T.; Hellwich, K.-H.; Kennedy, J.D.; Laitinen, R.; Powell, W.H.; Rabinovich, D.; Vinas, C.; et al. Nomenclature for boranes and related species (IUPAC Recommendations 2019). Pure Appl. Chem. 2020, 92, 355–381. [Google Scholar] [CrossRef]
- Christ, C.L.; Clark, J.R. A crystal-chemical classification of borate structures with emphasis on hydrated borates. Phys. Chem. Miner. 1977, 2, 59–87. [Google Scholar] [CrossRef]
- Heller, G. A survey of structural types of borates and polyborates. In Topics in Current Chemistry; Springer: Berlin/Heidelberg, Germany, 1986; Volume 131, pp. 39–98. [Google Scholar] [CrossRef]
- Grice, J.D.; Burns, P.C.; Hawthorne, F.C. Borate minerals II. A hierarchy of structures based upon the borate fundamental building block. Canad. Min. 1999, 37, 731–762. [Google Scholar]
- Beckett, M.A. Recent Advances in crystalline hydrated borates with non-metal or transition-metal complex cations. Coord. Chem. Rev. 2016, 323, 2–14. [Google Scholar] [CrossRef]
- Schubert, D.M.; Knobler, C.B. Recent studies of polyborate anions. Phys. Chem. Glasses Eur. J. Glass Sci. Technol. Part B 2009, 50, 73–78. [Google Scholar]
- Jin, S.S.; Cai, G.; Wang, W.; He, M.; Wang, S.; Chen, X. Stable oxoborate with edge-sharing BO4 tetrahedra synthesized under ambient pressure. Angew. Chem. Int. Ed. Engl. 2010, 122, 5087–5090. [Google Scholar] [CrossRef]
- Zhi, S.-C.; Wang, Y.-L.; Sun, L.; Cheng, J.-W.; Yang, G.-Y. Linking 1D transition-metal coordination polymers and different inorganic boron oxides to construct a series of 3D inorganic−organic hybrid borates. Inorg. Chem. 2018, 57, 1350–1355. [Google Scholar] [CrossRef]
- Liu, Y.; Zhou, K.; Chen, H.-L.; Gong, Y.-N.; Pan, C.-Y. A Way for Derived Carbon Materials by Thermal Etching Hybrid Borate for Electrochemical CO2 Reduction. Inorg. Chem. 2020, 59, 10785–10793. [Google Scholar] [CrossRef]
- Pan, R.; Chen, C.-A.; Bai-Feng Yang, B.-F.; Yang, G.-Y. Two New Octaborates Constructed of Two Different Sub-clusters and Supported by Metal Complexes. J. Clust. Sci. 2017, 28, 1237–1248. [Google Scholar] [CrossRef]
- Deng, J.-X.; Zhou, K.; Pan, C.-Y. The tunable luminescent property and wide band gap in three 1D hybrid templated borates containing different metallic ions and oxoboron clusters. J. Solid State Chem. 2020, 281, 121042. [Google Scholar] [CrossRef]
- He, Y.; Liu, Y.; Xin, S.-S.; Pan, C.-Y. Trinuclear Cd3O14 hexaborate and two nickel borates based on molten salt synthesis and precursor synthesis: Structure, characterization, and properties. Dalton Trans. 2020, 49, 14640–14646. [Google Scholar] [CrossRef]
- Wei, Q.; Zhang, Y.-J.; Song, Y.; Yang, G.-Y.; Zou, X. A series of inorganic–organic hybrid cadmium borates with novel Cd-centred [Cd@B14O20(OH)6]2− clusters. Dalton Trans. 2016, 45, 13937–13943. [Google Scholar] [CrossRef]
- Liu, Y.; Deng, J.-X.; Pan, C.-Y. Synthesis and structural manipulation of a polyanionic zincoborate [Zn(H2O)6](NO3)2[Zn{B3O3(OH)4}2(H2O)4]·2H2O by the molten salt method and its potential application as a flame retardant. J. Clust. Sci. 2020, 281, 121042. [Google Scholar] [CrossRef]
- Wang, G.-M.; Sun, Y.-Q.; Yang, G.-Y. Syntheses and crystal structures of three new borates templated by transition-metal complexes in situ. J. Solid State Chem. 2006, 179, 1545–1553. [Google Scholar] [CrossRef]
- Jemai, N.; Rzaigui, M.; Akriche, S. Piperazine-1,4-diium bis-(hexahydroxidoheptaoxidohexaborato-κ3O,O′,O′′)cobaltate(II) hexahydrate. Acta Cryst. 2014, 70, m167. [Google Scholar] [CrossRef] [PubMed]
- Jemai, N.; Rzaigui, M.; Akriche, S. Stabilization of hexaborate net with mixed Co(II) metal and organic cations: Synthesis, rationale characterization, comparative study and enhancement of the bioactivity. J. Clust. Sci. 2015, 26, 2051–2064. [Google Scholar] [CrossRef]
- Lan, S.M.; Di, W.-J.; Shao, Z.-D.; Liang, Y.-X. Two new transition metal inorganic–organic hybrid borates: [tris-(2-aminoethoxy)trihydroxyhexaborato]cobalt(II) and its nickel(II) analogue. Acta Cryst. 2011, C67, m338–m341. [Google Scholar] [CrossRef]
- Altahan, M.A.; Beckett, M.A.; Coles, S.J.; Norton, P.N. Synthesis and characterization by a single-crystal XRD study of [H3O]4[Cu7(NH3)2(H2O)4{B24O39(OH)12}]·13H2O: An unusual bis(hydroxytrioxidoborate) tri-metallic chain supported by a [{Cu4O}{B20O32(OH)8]6− cluster. J. Clust. Sci. 2018, 29, 1337–1343. [Google Scholar] [CrossRef]
- Altahan, M.A.; Beckett, M.A.; Coles, S.J.; Norton, P.N. Synthesis and characterization of polyborates templated by cationic copper(II) complexes: Structural (XRD), spectroscopic, thermal (TGA/DSC) and magnetic properties. Polyhedron 2017, 135, 247–257. [Google Scholar] [CrossRef]
- Hathaway, B.J.; Hodgson, P.G. Copper-ligand bond-lengths in axial complexes of copper(II) ion. J. Inorg. Nucl. Chem. 1973, 35, 4071–4081. [Google Scholar] [CrossRef]
- Altahan, M.A.; Beckett, M.A.; Coles, S.J.; Norton, P.N. Copper(II) complexes of hydroxyoxidoborates. Synthesis and characterization of two clusters containing the hexaborate(2-) ligand: [Cu(NH2CH2CH2NEt2){B6O7(OH)6}]·5H2O and [Cu(NH3)2{B6O7(OH)6}]·2H2O. J. Clust. Sci. 2019, 30, 599–605. [Google Scholar] [CrossRef]
- Altahan, M.A.; Beckett, M.A.; Coles, S.J.; Norton, P.N. Oxidopolyborate chemistry: The self-assembled, templated, synthesis and an XRD study of a 1-D coordination polymer [Cu(en){B6O7(OH)6}]·3H2O. Phosphorus Sulfur Silicon Rel. Elem. 2020, 195, 952–956. [Google Scholar] [CrossRef]
- Wang, J.-J.; Wei, Q.; Yang, B.-F.; Yang, G.-Y. Two new copper borates with mesoscale cubic supramolecular cages assembled from {Cu4@B20} clusters. Chem. Eur. J. 2017, 23, 2774–2777. [Google Scholar] [CrossRef] [PubMed]
- Hu, T.; Hu, C.-L.; Kong, F.; Mao, J.-G.; Mak, T.C.W. Exploratory investigation of new SHG materials based on galloborates. Inorg. Chem. 2012, 51, 8810–8817. [Google Scholar] [CrossRef]
- Cheng, L.; Yang, G.-Y. A series of novel gallium and indium borates constructed from [B5O8(OH)2]3− clusters and metal complex linkers. J. Solid. State Chem. 2013, 198, 87–92. [Google Scholar] [CrossRef]
- Zhang, H.-X.; Zhang, J.; Zheng, S.-T.; Yang, G.-Y. K7{(BO3)Mn[B12O18(OH)6]}·H2O: First manganese borate based on covalently linked B12O18(OH)6 clusters and BO3 units via Mn2+ cations. Inorg. Chem. Commun. 2004, 7, 781–783. [Google Scholar] [CrossRef]
- Altahan, M.A.; Beckett, M.A.; Coles, S.J.; Norton, P.N. Oxidoborates templated by cationic nickel(II) complexes and self-assembled from B(OH)3. Inorganics. Manuscript in preparation.
- Schubert, D.M.; Alam, F.; Visi, M.Z.; Knobler, C.B. Structural characterization and chemistry of the industrially important zinc borate, Zn[B3O4(OH)3]. Chem. Mater. 2003, 15, 866–871. [Google Scholar] [CrossRef]
- Paul, A.K.; Sachidananda, K.; Naterajan, S. [B4O9H2] Cyclic borate units as the building unit in a family of zinc borate Structures. Cryst. Growth Des. 2010, 10, 456–464. [Google Scholar] [CrossRef]
- Zhao, P.; Cheng, L.; Yang, G.-Y. Synthesis and characterization of a new organic-inorganic hybrid borate: [Zn(dab)0.5(dab’)0.5(B4O6(OH)2)]·H2O. Inorg. Chem. Commun. 2012, 20, 138–141. [Google Scholar] [CrossRef]
- Wang, G.M.; Sun, Y.-Q.; Yang, G.-Y. Synthesis and crystal structures of two new pentaborates. J. Solid State Chem. 2005, 178, 729–735. [Google Scholar] [CrossRef]
- Altahan, M.A.; Beckett, M.A.; Coles, C.J.; Horton, P.N. Hexaborate(2-) and dodecaborate(12-) anions as ligands to zinc(II) centres: Self-assembly and single crystal XRD characterization of [Zn{k3O-B6O7(OH)6}(κ3-N-dien)]·0.5H2O (dien = NH(CH2CH2NH2)2), (NH4)2[Zn{κ2-O-B6O7(OH)6} (H2O)2]·2H2O and (1,3-pn)3[({κ1-NH3{CH2}3NH2)Zn{κ3-O-B12O18(OH)6}]2·14H2O. Inorganics 2019, 7, 44. [Google Scholar] [CrossRef]
- Altahan, M.A.; Beckett, M.A.; Coles, C.J.; Horton, P.N. Two 1-D Coordination Polymers containing Zinc(II) Hexaborates: [Zn(en){B6O7(OH)6}]·2H2O (en = 1,2-diaminoethane) and [Zn(pn){B6O7(OH)6}]·1.5H2O (pn = (+/−)-1,2-diaminopropane). Crystals 2018, 8, 470. [Google Scholar] [CrossRef]
- Rong, C.; Jiang, J.; Li, Q.-L. Synthesis of transitional metal borate K7{(BO3)Zn[B12O18(OH)6]}·H2O and Quantum Chemistry Study. Chin. J. Inorg. Chem. 2012, 28, 2217–2222. [Google Scholar]
- Altahan, M.A.; Beckett, M.A.; Coles, C.J.; Horton, P.N. Transition-metal complexes with oxidoborates. Synthesis and XRD characterization of [(H3NCH2CH2NH2)Zn{κ3O,O’,O’’-B12O18(OH)6-κ1O’’’} Zn(en)(NH2CH2CH2NH3)]·8H2O: A neutral bimetallic zwiterionic polyborate system containing the ‘isolated ’dodecaborate(6-) anion. Pure Appl. Chem. 2018, 90, 625–632. [Google Scholar] [CrossRef]
- Corbett, P.T.; Leclaire, J.; Vial, L.; West, K.R.; Wietor, J.-L.; Sanders, J.K.M.; Otto, S. Dynamic combinatorial chemistry. Chem. Rev. 2006, 106, 3652–3711. [Google Scholar] [CrossRef]
- Pan, C.Y.; Zhong, L.J.; Zhao, F.H.; Luo, Y.Z.; Li, D.G. Cotemplating synthesis of a rare borate Ni(en)3·Hen·[B9O13(OH)4]·H2O with a chiral polyanonic chain Constructed from two different clusters. Inorg. Chem. 2015, 54, 403–405. [Google Scholar] [CrossRef] [PubMed]
- Pan, C.Y.; Hu, S.; Li, D.G.; Ouyang, P.; Zhao, F.H.; Zheng, Y.Y. The first ferroelectric templated borate: [Ni(en)2pip][B5O6(OH)4]2. Dalton Trans. 2010, 39, 5772–5773. [Google Scholar] [CrossRef] [PubMed]
- Li, J.; Xia, S.; Gao, S. FT-IR and Raman spectroscopic study of hydrated borates. Spectrochem. Acta 1995, 51A, 519–532. [Google Scholar] [CrossRef]
- Beckett, M.A.; Horton, P.N.; Hursthouse, M.B.; Timmis, J.L.; Varma, K.S. Templated heptaborate and pentaborate salts of cyclo-alkylammonium cations: Structural and thermal properties. Dalton Trans. 2012, 41, 4396–4403. [Google Scholar] [CrossRef]
- Beckett, M.A.; Horton, P.N.; Hursthouse, M.B.; Knox, D.A.; Timmis, J.L. Structural (XRD) and thermal (DSC, TGA) and BET analysis of materials derived from non-metal cation pentaborate salts. Dalton Trans. 2010, 39, 3944–3951. [Google Scholar] [CrossRef] [PubMed]
- Beckett, M.A.; Horton, P.N.; Hursthouse, M.B.; Knox, D.A.; Timmis, J.L. Triborate and pentaborate salts of non-metal cations derived from N-substituted piperazines; Synthesis, structural (XRD) and thermal properties. RSC Adv. 2013, 3, 15185–15191. [Google Scholar] [CrossRef][Green Version]
- Schubert, D.M. Hydrated zinc borates and their industrial use. Molecules 2019, 24, 2419. [Google Scholar] [CrossRef] [PubMed]
Publisher’s Note: MDPI stays neutral with regard to jurisdictional claims in published maps and institutional affiliations. |
© 2021 by the authors. Licensee MDPI, Basel, Switzerland. This article is an open access article distributed under the terms and conditions of the Creative Commons Attribution (CC BY) license (https://creativecommons.org/licenses/by/4.0/).









