Physico-Chemical Properties of Inorganic NPs Influence the Absorption Rate of Aquatic Mosses Reducing Cytotoxicity on Intestinal Epithelial Barrier Model
Abstract
1. Introduction
2. Materials and Methods
2.1. Reagents
2.2. Synthesis of Ag NPs and Au NPs
2.3. Synthesis of Amorphous SiO2 NPs and Crystalline TiO2 NPs
2.4. Inductively Coupled Plasma Emission Spectroscopy (ICP-OES)
2.5. Transmission Electron Microscope (TEM) Measurements, Dynamic Light Scattering (DLS), ζ-Potential Measurements, UV–vis Analysis, X-ray Diffraction (XRD) Measurements
2.6. Cell Culture
2.7. Viability Assay
2.8. Confocal Analysis
2.9. Plant Material
2.10. Plant Treatment with NPs
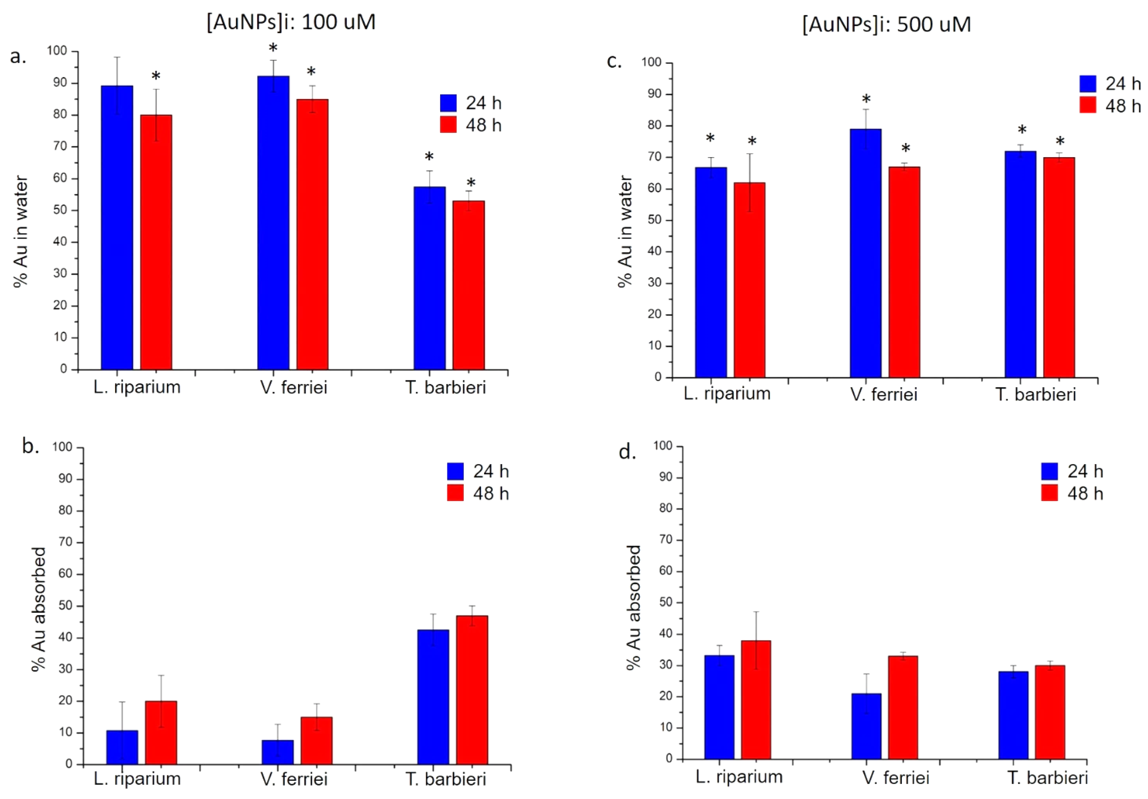
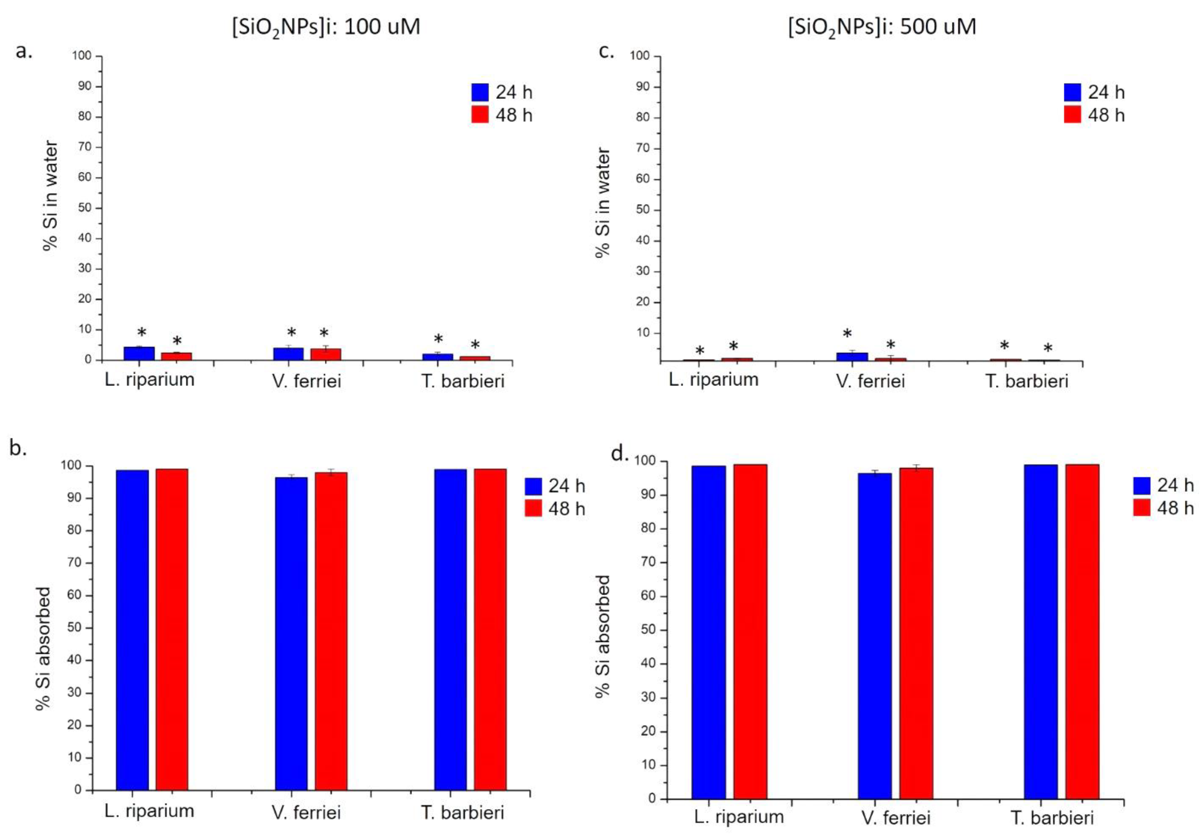
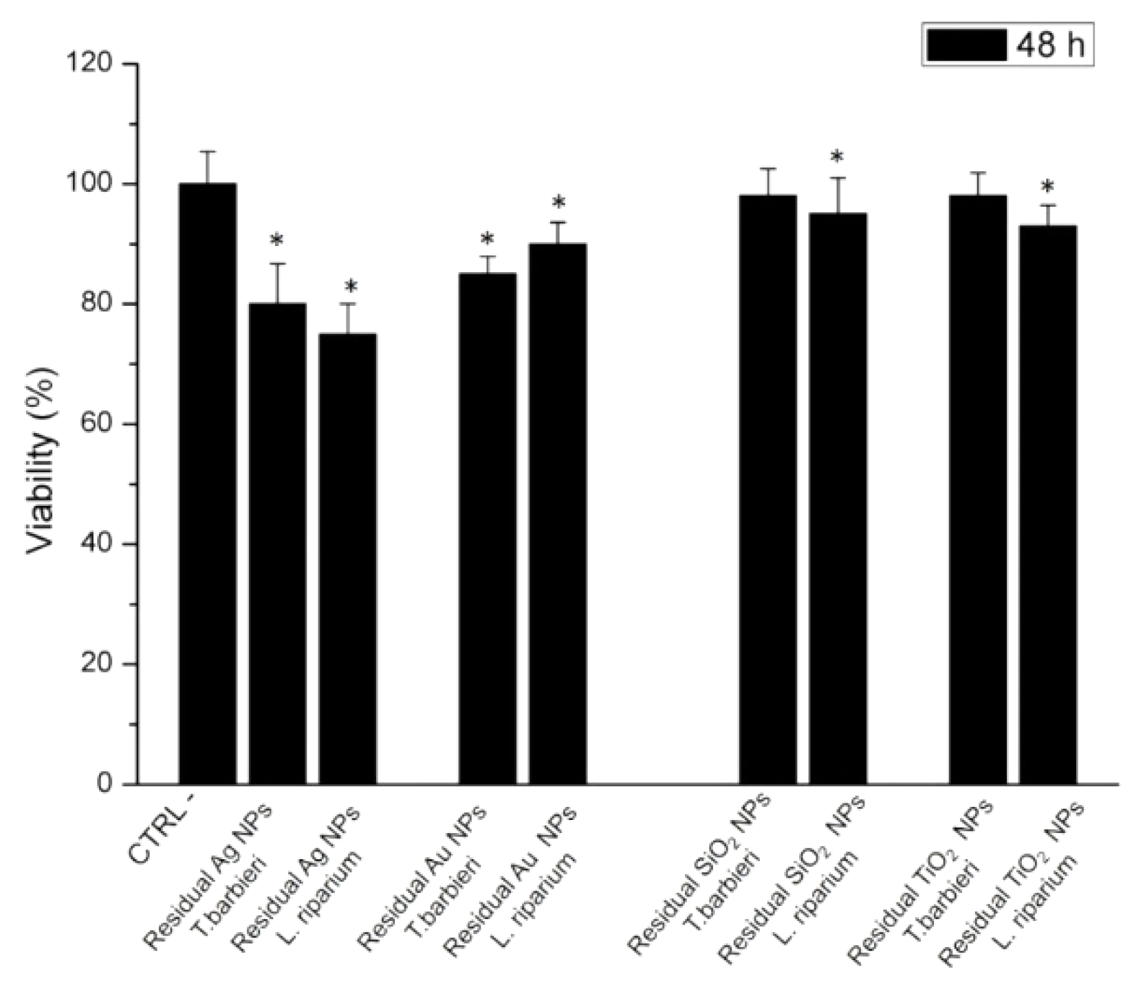
3. Results and Discussion
4. Conclusions
Author Contributions
Funding
Institutional Review Board Statement
Informed Consent Statement
Data Availability Statement
Acknowledgments
Conflicts of Interest
Sample Availability
References
- Contado, C. Nanomaterials in consumer products: A challenging analytical problem. Front. Chem. 2015, 3, 1–20. [Google Scholar] [CrossRef]
- Kumar, A.; Vemula, P.K.; Ajayan, P.M.; John, G.C. Silver-nanoparticle-embedded antimicrobial paints based on vegetable oil. Nat. Mater. 2008, 7, 236–241. [Google Scholar] [CrossRef] [PubMed]
- Vinod, T.P., Jr. Inorganic Nanoparticles in Cosmetics. In Nanocosmetics; Cornier, J., Keck, C., Van de Voorde, M., Eds.; Springer: Berlin/Heidelberg, Germany, 2019. [Google Scholar]
- Canaparo, R.; Foglietta, F.; Limongi, T.; Serpe, L. Biomedical Applications of Reactive Oxygen Species Generation by Metal Nanoparticles. Materials 2021, 14, 53. [Google Scholar] [CrossRef]
- De Matteis, V.; Rizzello, L.; Ingrosso, C.; Liatsi-Douvitsa, E.; De Giorgi, M.L.; De Matteis, G.R.R. Cultivar-Dependent Anticancer and Antibacterial Properties of Silver Nanoparticles Synthesized Using Leaves of Different Olea Europaea Trees. Nanomaterials 2019, 9, 1544. [Google Scholar] [CrossRef] [PubMed]
- Ji, W.; Li, L.; Zhang, Y.; Wang, X.; Ozaki, Y. Recent advances in surface-enhanced Raman scattering-based sensors for the detection of inorganic ions: Sensing mechanism and beyond. J. Raman Spectrosc. 2021, 52, 468–474. [Google Scholar] [CrossRef]
- Munonde, T.S.; Nomngongo, P.N. Nanocomposites for Electrochemical Sensors and Their Applications on the Detection of Trace Metals in Environmental Water Samples. Sensors 2021, 21, 131. [Google Scholar] [CrossRef] [PubMed]
- Weir, A.; Westerhoff, P.; Fabricius, L.; Hristovski, K.; Von Goetz, N. Titanium Dioxide Nanoparticles in Food and Personal Care Products. Environ. Sci. Technol. 2012, 46, 2242–2250. [Google Scholar] [CrossRef] [PubMed]
- Papadakis, D.; Diamantopoulou, A.; Pantazopoulos, P.A.; Palles, D.; Sakellis, E.; Boukos, N.; Stefanou, N.; Likodimos, V. Nanographene oxide-TiO2 photonic films as plasmon-free substrates for surface-enhanced Raman scattering. Nanoscale 2019, 11, 21542–21553. [Google Scholar] [CrossRef]
- Sahani, S.; Sharma, Y.C. Advancements in applications of nanotechnology in global food industry. Food Chem. 2021, 342, 128318. [Google Scholar] [CrossRef] [PubMed]
- Wolf, R.; Matz, H.; Orion, E.L.J. Sunscreens—The ultimate cosmetic. Acta Dermatovenerol. 2004, 11, 158–162. [Google Scholar]
- Smijs, T.G.; Pavel, S. Titanium dioxide and zinc oxide nanoparticles in sunscreens: Focus on their safety and effectiveness. Nanotechnol. Sci. Appl. 2011, 4, 95–112. [Google Scholar] [CrossRef] [PubMed]
- Soenen, S.J.; Rivera-Gil, P.; Montenegro, J.M.; Parak, W.J.; De Smedt, S.C.; Braeckmans, K. Cellular toxicity of inorganic nanoparticles: Common aspects and guidelines for improved nanotoxicity evaluation. Nano Today 2011, 6, 446–465. [Google Scholar] [CrossRef]
- Jeevanandam, J.; Barhoum, A.; Chan, Y.S.; Dufresne, A.; Danquah, M.K. Review on nanoparticles and nanostructured materials: History, sources, toxicity and regulations. Beilstein J. Nanotechnol. 2018, 9, 1050–1074. [Google Scholar] [CrossRef]
- Gatoo, M.A.; Naseem, S.; Arfat, M.Y.; Mahmood Dar, A.; Qasim, K.; Zubair, S. Physicochemical properties of nanomaterials: Implication in associated toxic manifestations. Biomed. Res. Int. 2014, 2014. [Google Scholar] [CrossRef]
- Wang, S.; Liu, Z.; Wang, W.; You, H. Fate and transformation of nanoparticles (NPs) inmunicipal wastewater treatment systems andeffects of NPs on the biological treatment of wastewater: A review. RSC Adv. 2017, 7, 37065–37075. [Google Scholar] [CrossRef]
- Lekamge, S.; Ball, A.S.; Shukla, R.N.D. The Toxicity of Nanoparticles to Organisms in Freshwater. In Reviews of Environmental Contamination and Toxicology (Continuation of Residue Reviews); De Voogt, P., Ed.; Springer: Berlin/Heidelberg, Germany, 2018; Volume 248. [Google Scholar]
- Bergin, I.L.; Witzmann, F.A. Nanoparticle toxicity by the gastrointestinal route: Evidence and knowledge gaps. Int. J. Biomed. Nanosci. Nanotechnol. 2013, 3, 163–210. [Google Scholar] [CrossRef] [PubMed]
- Cha, K.; Hong, H.W.; Choi, Y.G.; Lee, M.J.; Park, J.H.; Chae, H.K.; Ryu, G.; Myung, H. Comparison of acute responses of mice livers to short-term exposure to nano-sized or micro-sized silver particles. Biotechnol. Lett. 2008, 30, 1893–1899. [Google Scholar] [CrossRef]
- Kim, Y.S.; Kim, J.S.; Cho, H.S.; Rha, D.S.; Kim, J.M.; Park, J.D.; Choi, B.S.; Lim, R.; Chang, H.K.; Chung, Y.H.; et al. Twenty-eight-day oral toxicity, genotoxicity, and gender-related tissue distribution of silver nanoparticles in Sprague-Dawley rats. Inhal. Toxicol. 2008, 20, 575–583. [Google Scholar] [CrossRef]
- Jeong, G.N.; Jo, U.B.; Ryu, H.Y.; Kim, Y.S.; Song, K.S.; Yu, I.J. Histochemical study of intestinal mucins after administration of silver nanoparticles in Sprague-Dawley rats. Arch Toxicol. 2010, 84, 63–69. [Google Scholar] [CrossRef]
- Loeschner, K.; Hadrup, N.; Qvortrup, K.; Larsen, A.; Gao, X.; Vogel, U.; Mortensen, A.; Lam, H.R.; Larsen, E.H. Distribution of silver in rats following 28 days of repeated oral exposure to silver nanoparticles or silver acetate. Part. Fibre Toxicol. 2018, 8, 18. [Google Scholar] [CrossRef] [PubMed]
- McClements, D.J.; Xiao, H. Is nano safe in foods? Establishing the factors impacting the gastrointestinal fate and toxicity of organic and inorganic food-grade nanoparticles. NPJ Sci. Food 2017, 1, 6. [Google Scholar] [CrossRef] [PubMed]
- Wang, J.; Zhou, G.; Chen, C.; Yu, H.; Wang, T.; Ma, Y.; Jia, G.; Gao, Y.L.; Sun, J.; Li, Y.; et al. Acute toxicity and biodistribution of different sized titanium dioxide particles in mice after oral administration. Toxicol. Lett. 2007, 168, 176–185. [Google Scholar] [CrossRef] [PubMed]
- Trouiller, B.; Reliene, R.; Westbrook, A.; Solaimani, P.; Schiestl, R.H. Titanium dioxide nanoparticles induce DNA damage and genetic instability in vivo in mice. Cancer Res. 2009, 69, 8784–8789. [Google Scholar] [CrossRef] [PubMed]
- Bu, Q.; Yan, G.; Deng, P.; Peng, F.; Lin, H.; Xu, Y.; Cao, Z.; Zhou, T.; Xue, A.; Wang, Y.; et al. NMR-based metabonomic study of the sub-acute toxicity of titanium dioxide nanoparticles in rats after oral administration. Nanotechnololy 2010, 21, 125105. [Google Scholar] [CrossRef] [PubMed]
- De Matteis, V.; Cascione, M.; Toma, C.C.; Pellegrino, P.; Rizzello, L.; Rinaldi, R. Tailoring Cell Morphomechanical Perturbations Through Metal Oxide Nanoparticles. Nanoscale Res. Lett. 2019, 14, 1–18. [Google Scholar] [CrossRef] [PubMed]
- Available online: https://ec.europa.eu/environment/water/water-drink/legislation_en.html (accessed on 8 April 2021).
- Available online: https://www.epa.gov/sdwa (accessed on 8 April 2021).
- Donovan, A.R.; Adams, C.D.; Ma, Y.; Stehan, C.; Eichholz, T.; Shi, H. Single particle ICP-MS characterization of titanium dioxide, silver, and gold nanoparticles during drinking water treatment. Chemosphere 2016, 144, 148–153. [Google Scholar] [CrossRef] [PubMed]
- Bundschuh, M.; Seitz, F.; Rosenfeldt, R.; Schulz, R. Effects of nanoparticles in fresh waters: Risks, mechanisms and interactions. Freshw. Biol. 2016, 61, 2185–2196. [Google Scholar] [CrossRef]
- Chalew, T.E.A.; Ajmani, G.S.; Huang, H. Evaluating nanoparticle breakthrough during drinking water treatment. Environ. Health Perspect. 2013, 121, 1161–1166. [Google Scholar] [CrossRef]
- Zhang, Y.; Chen, Y.; Westerhoff, P.; Hristovski, K.; Crittenden, J.C. Stability of commercial metal oxide nanoparticles in water. Water Res. 2008, 42, 2204–2212. [Google Scholar] [CrossRef]
- Wu, Y.; Du, H.; Li, F.; Su, H.; Bhat, S.; Hudori, H.; Rosadi, M.; Arsyad, F.; Lu, Y.; Wu, H. Effect of Adding Drinking Water Treatment Sludge on Excess Activated Sludge Digestion Process. Sustainability 2020, 12, 6953. [Google Scholar] [CrossRef]
- Lamastra, L.; Suciu, N.A.; Trevisan, M. Sewage sludge for sustainable agriculture: Contaminants’ contents and potential use as fertilizer. Chem. Biol. Technol. Agric. 2018, 5, 10. [Google Scholar] [CrossRef]
- Blagnytė, R.; Paliulis, D. Research into heavy metals pollution of atmosphere applying moss as bioindicator: A literature review. Environ. Res. Eng. Manag. 2010, 4, 26–33. [Google Scholar]
- Esposito, S.; Loppi, S.; Monaci, F.; Paoli, L.; Vannini, A.; Sorbo, S.; Maresca, V.; Fusaro, L.; Karam, E.A.; Lentini, M.; et al. In-field and in-vitro study of the moss Leptodictyum riparium as bioindicator of toxic metal pollution in the aquatic environment: Ultrastructural damage, oxidative stress and HSP70 induction. PLoS ONE 2018, 13, e0195717. [Google Scholar] [CrossRef]
- Pipíška, M.; Valica, M.; Partelová, D.; Horník, M.; Lesný, J.; Hostin, S. Removal of Synthetic Dyes by Dried Biomass of Freshwater Moss Vesicularia Dubyana: A Batch Biosorption Study. Environments 2018, 5, 10. [Google Scholar] [CrossRef]
- Papadia, P.; Barozzi, F.; Migoni, D.; Rojas, M.; Fanizzi, F.P.; Di Sansebastiano, G.-P. Aquatic Mosses as Adaptable Bio-Filters for Heavy Metal Removal from Contaminated Water. Int. J. Mol. Sci. 2020, 21, 4769. [Google Scholar] [CrossRef]
- De Thabrew, V.A. Manual of Water Plants; Author House: Bloomington, IN, USA, 2014; p. 129. ISBN 1491889284. [Google Scholar]
- Geller, W.; Scultze, M.; Kleinmann, B.; Wolkersdorfer, C. Acidic Pit Lakes: The Legacy of Coal and Metal Surface Mines; Springer: Berlin/Heidelberg, Germany, 2012; p. 151. ISBN 3642293840. [Google Scholar]
- Linis, V.C.; Tan, B.C. Eight additional new records of Philippine Mosses. Telopea 2013, 15, 45–49. [Google Scholar]
- Maiorano, G.; Rizzello, L.; Malvindi, M.A.; Shankar, S.S.; Martiradonna, L.; Falqui, A.; Cingolani, R.P.P. Monodispersed and size-controlled multibranched gold nanoparticles with nanoscale tuning of surface morphology. Nanoscale 2011, 3, 2227–2232. [Google Scholar] [CrossRef]
- De Matteis, V.; Rizzello, L.; Ingrosso, C.; Rinaldi, R. Purification of olive mill wastewater through noble metal nanoparticle synthesis: Waste safe disposal and nanomaterial impact on healthy hepatic cell mitochondria. Environ. Sci. Pollut. Res. 2021, 2021, 1–18. [Google Scholar]
- Malvindi, M.A.; Brunetti, V.; Vecchio, G.; Galeone, A.; Cingolani, R.; Pompa, P.P. SiO2 nanoparticles biocompatibility and their potential for gene delivery and silencing. Nanoscale 2012, 4, 486–495. [Google Scholar] [CrossRef] [PubMed]
- Leena, M.; Srinivasan, S. Synthesis and ultrasonic investigations of titanium oxide nano fluids. J. Mol. Liq. 2015, 206, 103–109. [Google Scholar] [CrossRef]
- Bellini, E.; Maresca, V.; Betti, C.; Castiglione, M.R.; Fontanini, D.; Capocchi, A.; Sorce, C.; Borsò, M.; Bruno, L.; Sorbo, S.; et al. The Moss Leptodictyum riparium Counteracts Severe Cadmium Stress by Activation of Glutathione Transferase and Phytochelatin Synthase, but Slightly by Phytochelatins. Int. J. Mol. Sci. 2020, 21, 1583. [Google Scholar] [CrossRef]
- Atherton, I.; Bosanquet, S.; Lawley, M. Leptodictyum riparium. In Mosses and Liverworts of Britain and Ireland—A Field Guide, 1st ed.; Plymouth British Bryological Society: Plymouth, UK, 2010; p. 707. [Google Scholar]
- Dagda, R.K.; Cherra, S.J., III; Kulich, S.M.; Tandon, A.; Park, D.C.C. Loss of PINK1 Function Promotes Mitophagy through Effects on Oxidative Stress and Mitochondrial Fission. J. Biol. Chem. 2009, 284, 13843–13855. [Google Scholar] [CrossRef] [PubMed]
- Giese, B.; Klaessig, F.; Park, B.; Kaegi, R.; Steinfeldt, M.; Wigger, H.; von Gleich, A.; Gottschalk, F. Risks, Release and Concentrations of Engineered Nanomaterial in the Environment. Sci. Rep. 2018, 8, 1–18. [Google Scholar] [CrossRef]
- Bundschuh, M.; Filser, J.; Lüderwald, S.; McKee, M.S.; Metreveli, G.; Schaumann, G.E.; Schulz, R.; Wagner, S. Nanoparticles in the environment: Where do we come from, where do we go to? Environ. Sci. Eur. 2018, 30, 1–17. [Google Scholar] [CrossRef]
- Choi, S.; Johnston, M.; Wang, G.-S.; Huang, C.P. A seasonal observation on the distribution of engineered nanoparticles in municipal wastewater treatment systems exemplified by TiO2 and ZnO. Sci. Total Environ. 2018, 625, 1321–1329. [Google Scholar] [CrossRef]
- Zhang, M.; Yang, J.; Cai, Z.; Feng, Y.; Wang, Y.; Zhang, D.; Pan, X. Detection of engineered nanoparticles in aquatic environments: Current status and challenges in enrichment, separation, and analysis. Environ. Sci. Nano J. 2019, 6, 709–735. [Google Scholar] [CrossRef]
- Blaser, S.A.; Scheringer, M.; MacLeod, M.; Hungerbühler, K. Estimation of cumulative aquatic exposure and risk due to silver: Contribution of nano-functionalized plastics and textiles. Sci. Total Environ. 2008, 390, 396–409. [Google Scholar] [CrossRef] [PubMed]
- Ju-Nam, Y.; Lead, J.R. Manufactured nanoparticles: An overview of their chemistry, interactions and potential environmental implications. Sci. Total Environ. 2008, 400, 396–414. [Google Scholar] [CrossRef] [PubMed]
- Wang, F.; Guan, W.; Xu, L.; Ding, Z.; Ma, A.; Terry, N. Effects of Nanoparticles on Algae: Adsorption, Distribution, Ecotoxicity and Fate. Appl. Sci. 2019, 9, 1534. [Google Scholar] [CrossRef]
- Vijayaraghavan, K.; Mahadevan, A.; Sathishkumar, M.; Pavagadhi, S.; Balasubramanian, R. Biosynthesis of Au (0) from Au (III) via biosorption and bioreduction using brown marine alga Turbinaria conoides. Chem. Eng. J. 2011, 167, 223–227. [Google Scholar] [CrossRef]
- Harja, M.; Buema, G.; Bulgariu, L.; Bulgariu, D.; Sutiman, D.M.; Ciobanu, G. Removal of cadmium (II) from aqueous solution by adsorption onto modified algae and ash. Korean J. Chem. Eng. 2015, 32, 1804–1811. [Google Scholar] [CrossRef]
- Zhao, J.; Cao, X.; Liu, X.; Wang, Z.; Zhang, C.; White, J.C.; Xing, B. Interactions of CuO nanoparticles with thealgaeChlorella pyrenoidosa: Adhesion, uptake, and toxicity. Nanotoxicology 2016, 10, 1297–1305. [Google Scholar] [CrossRef]
- Karen, V.H.; De, S.K.A.C.; Paul, V.D.M.; Stéphane, L.; Janssen, C. Ecotoxicity of silica nanoparticles tothe green alga Pseudokirchneriella subcapitata: Importance of surface area. Environ. Toxicol. Chem. 2008, 27, 1948–1957. [Google Scholar]
- Šuňovská, A.; Hasíková, V.; Horník, M.; Pipíška, M.; Hostin, S.; Lesny, J. Removal of Cd by dried biomass of freshwater moss Vesicularia dubyana: Batch and column studies. Desalin. Water Treat. 2015, 57, 2657–2668. [Google Scholar] [CrossRef]












| Samples | Size (nm) | ζ-Potential (mV) |
|---|---|---|
| Au NPs | 20 ± 3 | −33 ± 2 |
| Ag NPs | 19 ± 2 | −27 ± 3 |
| SiO2 NPs | 23 ± 4 | −25 ± 4 |
| TiO2 NPs | 22 ± 5 | −23 ± 2 |
| Samples | Size (nm) | ζ-Potential (mV) |
|---|---|---|
| Au NPs | 22 ± 4 | −32 ± 4 |
| Ag NPs | 21 ± 3 | −23 ± 3 |
| SiO2 NPs | 25 ± 5 | −24 ± 2 |
| TiO2 NPs | 24 ± 16 | −21 ± 5 |
| NPs | Concentration (μM) | Mass Concentration (mg/mL) | Concentration (μM) | Mass Concentration (mg/mL) |
|---|---|---|---|---|
| Ag NPs | 100 | 0.011 | 500 | 0.054 |
| Au NPs | 100 | 0.020 | 500 | 0.098 |
| SiO2NPs | 100 | 0.003 | 500 | 0.015 |
| TiO2NPs | 100 | 0.008 | 500 | 0.04 |
| Samples | Residual NPs after Absorption by L. riparium | Residual NPs after Absorption by V. ferriei | Residual NPs after Absorption by T. barbieri |
|---|---|---|---|
| size (nm) ± SD; ζ—potential (mV) ± SD | size (nm) ± SD; ζ—potential (mV) ± SD | size (nm) ± SD; ζ—potential (mV) ± SD | |
| AgNPs | 20 nm ± 4; −33 mV ± 2 | 20 nm ± 2; 33 mV ± 2 | 21 nm± 3; −33 mV ± 2 |
| AuNPs | 19 nm ± 3; −27 mV ± 3 | 20 nm ± 2; −28 mV ± 2 | 19 nm ± 4; −33 mV ± 2 |
| SiO2NPs | 24 nm ± 2; −24 mV ± 4 | 25 nm ± 2; −25 mV ± 3 | 24 nm ± 4; −23 mV ± 2 |
| TiO2NPs | 23 nm ± 7; −22 mV ± 3 | 24 nm ± 6; −24 mV ± 2 | 23 nm ± 9; −25 mV ± 2 |
Publisher’s Note: MDPI stays neutral with regard to jurisdictional claims in published maps and institutional affiliations. |
© 2021 by the authors. Licensee MDPI, Basel, Switzerland. This article is an open access article distributed under the terms and conditions of the Creative Commons Attribution (CC BY) license (https://creativecommons.org/licenses/by/4.0/).
Share and Cite
De Matteis, V.; Rojas, M.; Cascione, M.; Mazzotta, S.; Di Sansebastiano, G.P.; Rinaldi, R. Physico-Chemical Properties of Inorganic NPs Influence the Absorption Rate of Aquatic Mosses Reducing Cytotoxicity on Intestinal Epithelial Barrier Model. Molecules 2021, 26, 2885. https://doi.org/10.3390/molecules26102885
De Matteis V, Rojas M, Cascione M, Mazzotta S, Di Sansebastiano GP, Rinaldi R. Physico-Chemical Properties of Inorganic NPs Influence the Absorption Rate of Aquatic Mosses Reducing Cytotoxicity on Intestinal Epithelial Barrier Model. Molecules. 2021; 26(10):2885. https://doi.org/10.3390/molecules26102885
Chicago/Turabian StyleDe Matteis, Valeria, Makarena Rojas, Mariafrancesca Cascione, Stefano Mazzotta, Gian Pietro Di Sansebastiano, and Rosaria Rinaldi. 2021. "Physico-Chemical Properties of Inorganic NPs Influence the Absorption Rate of Aquatic Mosses Reducing Cytotoxicity on Intestinal Epithelial Barrier Model" Molecules 26, no. 10: 2885. https://doi.org/10.3390/molecules26102885
APA StyleDe Matteis, V., Rojas, M., Cascione, M., Mazzotta, S., Di Sansebastiano, G. P., & Rinaldi, R. (2021). Physico-Chemical Properties of Inorganic NPs Influence the Absorption Rate of Aquatic Mosses Reducing Cytotoxicity on Intestinal Epithelial Barrier Model. Molecules, 26(10), 2885. https://doi.org/10.3390/molecules26102885

