Induced Phases of New H-bonded Supramolecular Liquid Crystal Complexes; Mesomorphic and Geometrical Estimation
Abstract
1. Introduction
2. Results and Discussion
2.1. Fourier Transform Infrared Spectroscopy (FT-IR):
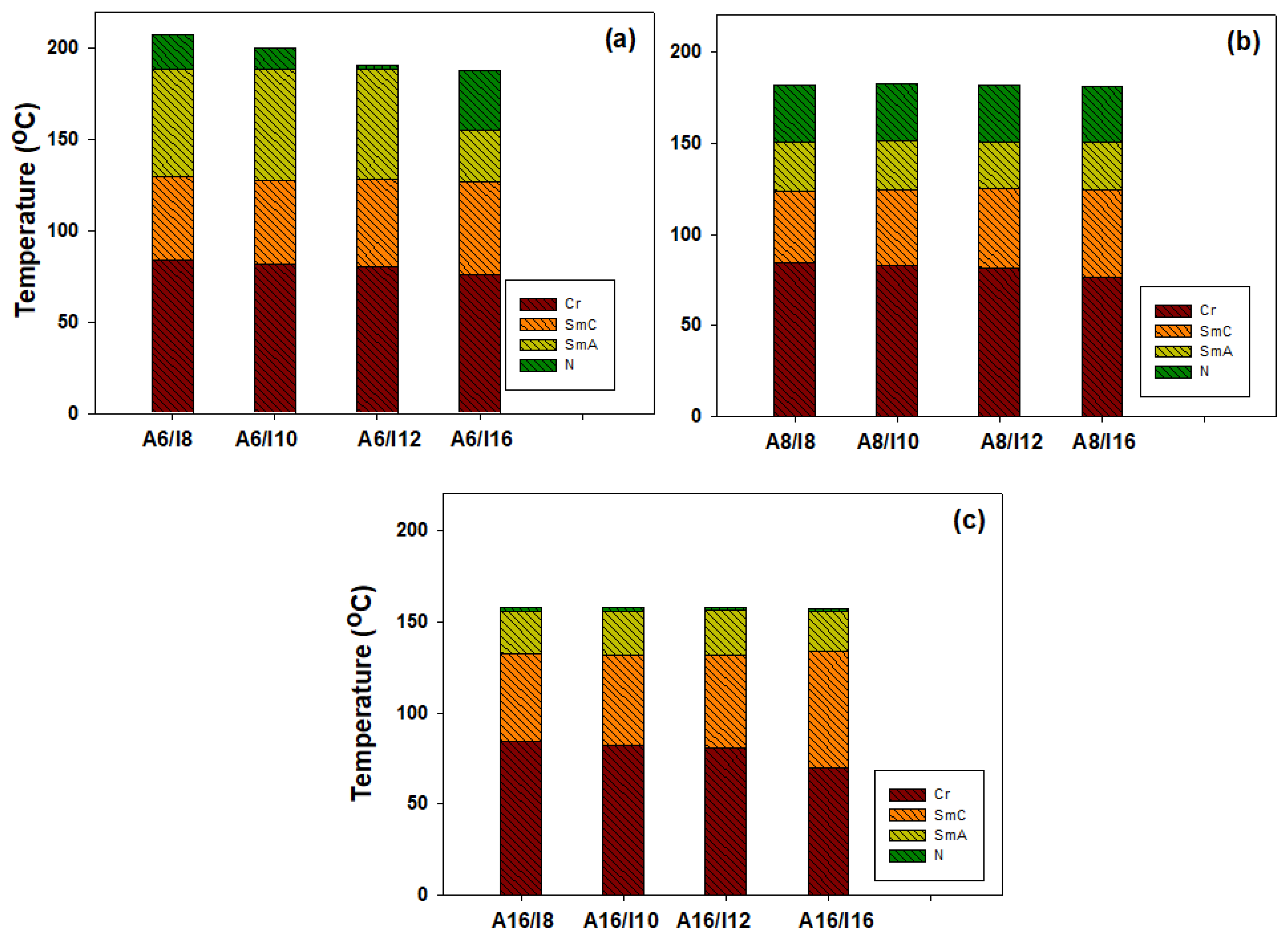
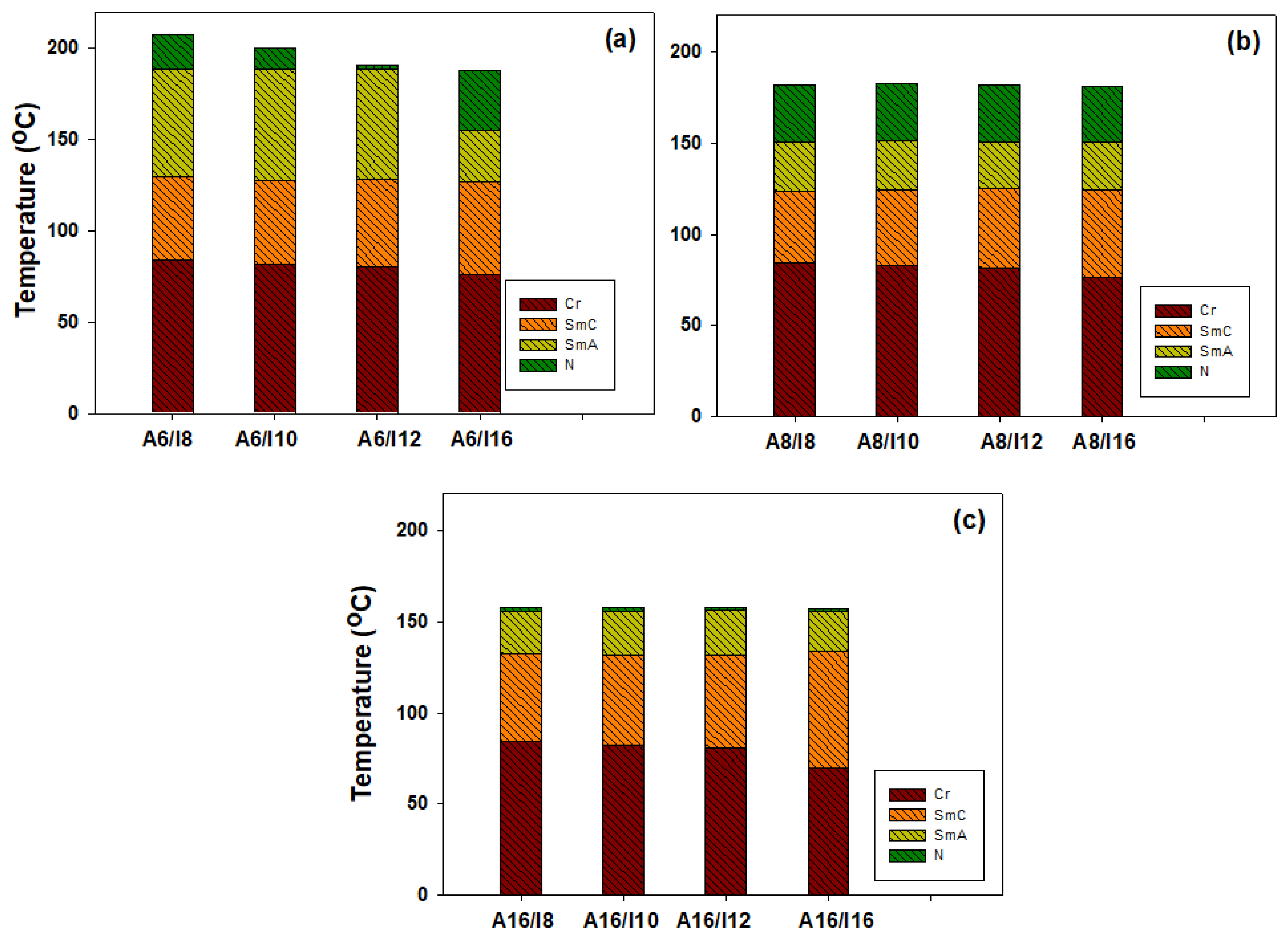
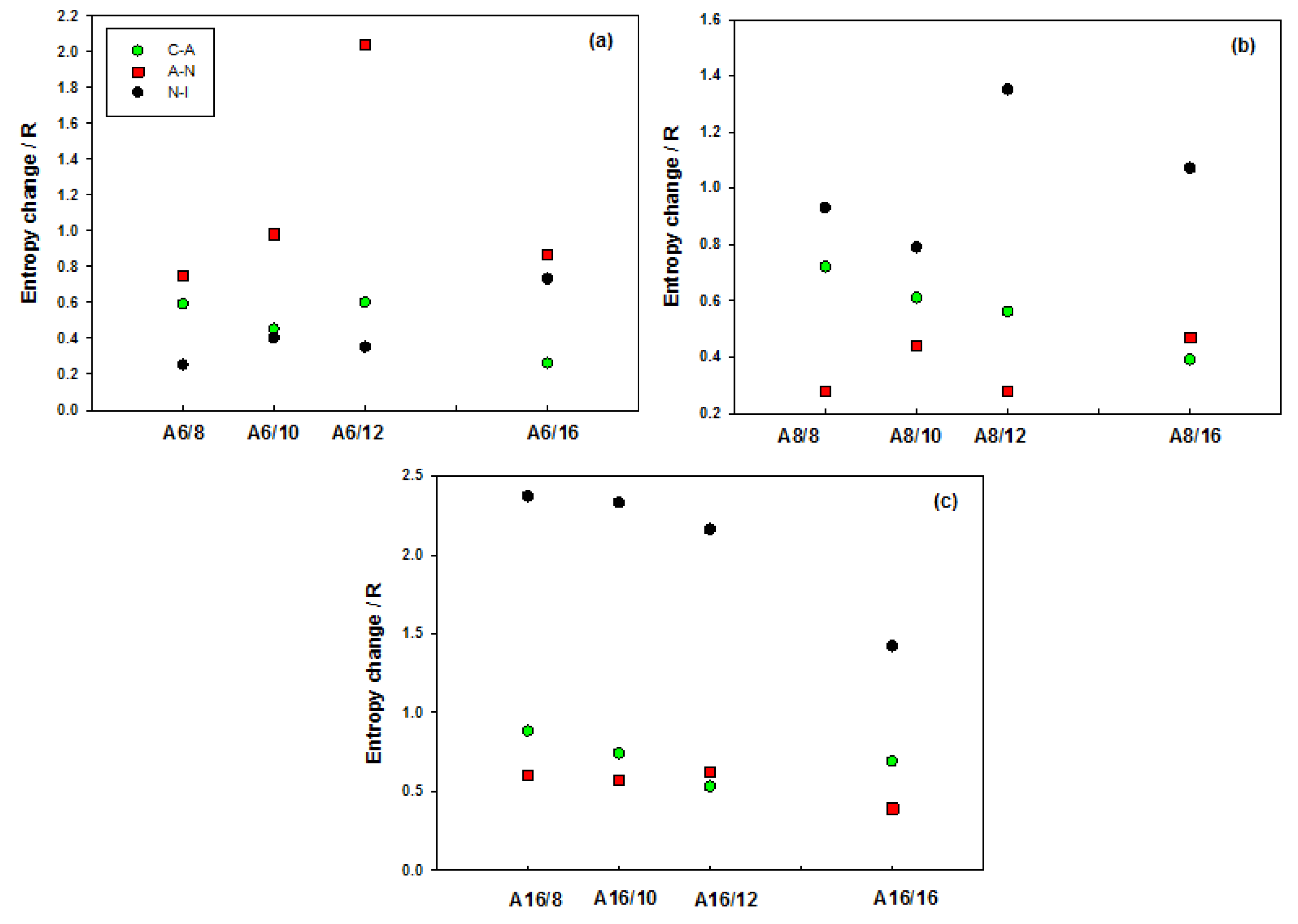
2.2. Mesomorphic Studies of 1:1 Molar Supramolecular Complexes
2.3. DFT Theoretical Calculations
2.3.1. Molecular Geometry of SMHBCs
2.3.2. Thermal Parameters
2.3.3. Frontier Molecular Orbitals and Polarizability
2.3.4. Molecular Electrostatic Potential (MEP)
3. Experiment
Preparation of Supramolecular H-bonded Complexes (SMHBCs), An/Im
4. Conclusions
- All prepared SMHBCs exhibit high thermal stability enantiotropic tri-mesophases are, SmA, SmC and N phases.
- Induced SmC and nematic temperature ranges were observed.
- Geometrical parameters estimations of the prepared complexes are highly affected by the electronic nature of the molecular shape as well as the flexible chain lengths.
- Inclusion of a phenylimino moiety in the acid component increases the stabilities of both the smectic C and nematic mesophases.
- The entropy changes are varying irregularly with either of the terminal chain length n or m.
- The DFT estimations showed that SMHCs are non-linear and none co-planar.
- The mesophase rage, as well as the mesophase stability, decreases with increases of either the alkoxy chain of the acid or the base even with the constant of the aspect ratio.
- The decrement of the stability range has been explained in terms of the impact of the terminal chain interactions.
- The polarizability of H-bonding liquid crystal increases with the chain length either for the base or the acid moieties.
Supplementary Materials
Author Contributions
Funding
Conflicts of Interest
References
- Dong, R.; Zhou, Y.; Huang, X.; Zhu, X.; Lu, Y.; Shen, J. Functional supramolecular polymers for biomedical applications. Adv. Mater. 2015, 27, 498–526. [Google Scholar] [CrossRef]
- Yang, Y.; Urban, M.W. Self-healing polymeric materials. Chem. Soc. Rev. 2013, 42, 7446–7467. [Google Scholar] [CrossRef] [PubMed]
- Liu, K.; Kang, Y.; Wang, Z.; Zhang, X. 25th anniversary article: Reversible and adaptive functional supramolecular materials:“Noncovalent interaction” matters. Adv. Mater. 2013, 25, 5530–5548. [Google Scholar] [CrossRef] [PubMed]
- Yan, X.; Wang, F.; Zheng, B.; Huang, F. Stimuli-responsive supramolecular polymeric materials. Chem. Soc. Rev. 2012, 41, 6042–6065. [Google Scholar] [CrossRef] [PubMed]
- González-Rodríguez, D.; Schenning, A.P. Hydrogen-bonded supramolecular π-functional materials. Chem. Mater. 2011, 23, 310–325. [Google Scholar] [CrossRef]
- Sherif, S.; Nafee, H.A.A. Mohamed Hagar New architectures of supramolecular H-bonded liquid crystal complexes based on dipyridine Derivatives. Liq. Cryst. 2020, 1–12. [Google Scholar]
- Alhaddad, O.; Ahmed, H.; Hagar, M. Experimental and Theoretical Approaches of New Nematogenic Chair Architectures of Supramolecular H-Bonded Liquid Crystals. Molecules 2020, 25, 365. [Google Scholar] [CrossRef]
- Walker, R.; Pociecha, D.; Abberley, J.; Martinez-Felipe, A.; Paterson, D.; Forsyth, E.; Lawrence, G.; Henderson, P.; Storey, J.; Gorecka, E. Spontaneous chirality through mixing achiral components: A twist-bend nematic phase driven by hydrogen-bonding between unlike components. Chem. Commun. 2018, 54, 3383–3386. [Google Scholar] [CrossRef] [PubMed]
- Ahmed, H.; Naoum, M. Mesophase behaviour of azobenzene-based angular supramolecular hydrogen-bonded liquid crystals. Liq. Cryst. 2016, 43, 222–234. [Google Scholar] [CrossRef]
- Paterson, D.A.; Martínez-Felipe, A.; Jansze, S.M.; TM Marcelis, A.; MD Storey, J.; Imrie, C.T. New insights into the liquid crystal behaviour of hydrogen-bonded mixtures provided by temperature-dependent FTIR spectroscopy. Liq. Cryst. 2015, 42, 928–939. [Google Scholar] [CrossRef]
- Jansze, S.M.; Martínez-Felipe, A.; Storey, J.M.; Marcelis, A.T.; Imrie, C.T. A twist-bend nematic phase driven by hydrogen bonding. Angew. Chem. 2015, 127, 653–656. [Google Scholar] [CrossRef]
- Sreehari Sastry, S.; Lakshmi Sarada, K.; Mallika, K.; Nageswara Rao, C.; Lakhminarayana, S.; Sie Tiong, H. Eigen value analysis studies on hydrogen-bonded mesogens. Liq. Cryst. 2014, 41, 1483–1494. [Google Scholar] [CrossRef]
- Okumuş, M.; Özgan, Ş. Thermal and mesomorphic properties of ternary mixtures of some hydrogen-bonded liquid crystals. Liq. Cryst. 2014, 41, 1293–1302. [Google Scholar] [CrossRef]
- Miranda, M.D.; Chávez, F.V.; Maria, T.M.; Eusebio, M.E.S.; Sebastião, P.; Silva, M.R. Self-assembled liquid crystals by hydrogen bonding between bipyridyl and alkylbenzoic acids: Solvent-free synthesis by mechanochemistry. Liq. Cryst. 2014, 41, 1743–1751. [Google Scholar] [CrossRef]
- Al-Mutabagani, L.A.; Alshabanah, L.A.; Ahmed, H.A.; Hagar, M.; Al-Ola, K.A.A. New Symmetrical U- and Wavy-Shaped Supramolecular H-Bonded Systems; Geometrical and Mesomorphic Approaches. Molecules 2020, 25, 1420. [Google Scholar] [CrossRef]
- Lehn, J.M. Macromolecular Symposia. In Supramolecular Chemistry—Molecular Information and the Design of Supramolecular Materials; Wiley Online Library: Weinheim, Germany, 1993; pp. 1–17. [Google Scholar]
- Kato, T. Handbook of Liquid Crystals; Demus, D., Goodby, J., Gray, G.W., Spiess, H.-W., Vill, V., Eds.; WILEY-VCH Verlag GmbH: Weinheim, Grmany, 1998; pp. 969–979. [Google Scholar]
- Kato, T.; Mizoshita, N.; Kanie, K. Hydrogen-bonded liquid crystalline materials: Supramolecular polymeric assembly and the induction of dynamic function. Macromol. Rapid Commun. 2001, 22, 797–814. [Google Scholar] [CrossRef]
- Kato, T. Self-assembly of phase-segregated liquid crystal structures. Science 2002, 295, 2414–2418. [Google Scholar] [CrossRef]
- Tschierske, C. Micro-segregation, molecular shape and molecular topology–partners for the design of liquid crystalline materials with complex mesophase morphologiesBasis of a presentation given at Materials Discussion No. 4, 11–14 September 2001, Grasmere, UK. J. Mater. Chem. 2001, 11, 2647–2671. [Google Scholar] [CrossRef]
- Kato, T.; Mizoshita, N.; Kishimoto, K. Functional liquid-crystalline assemblies: Self-organized soft materials. Angew. Chem. Int. Ed. 2006, 45, 38–68. [Google Scholar] [CrossRef]
- Paleos, C.M.; Tsiourvas, D. Supramolecular hydrogen-bonded liquid crystals. Liq. Cryst. 2001, 28, 1127–1161. [Google Scholar] [CrossRef]
- Ahmed, H.A.; Hagar, M.; Alhaddad, O.A. Phase behavior and DFT calculations of laterally methyl supramolecular hydrogen-bonding complexes. Crystals 2019, 9, 133. [Google Scholar] [CrossRef]
- Abdy, M.J.; Murdoch, A.; Martínez-Felipe, A. New insights into the role of hydrogen bonding on the liquid crystal behaviour of 4-alkoxybenzoic acids: A detailed IR spectroscopy study. Liq. Cryst. 2016, 43, 2191–2207. [Google Scholar] [CrossRef]
- Martinez-Felipe, A.; Brebner, F.; Zaton, D.; Concellon, A.; Ahmadi, S.; Piñol, M.; Oriol, L. Molecular recognition via hydrogen bonding in supramolecular complexes: A fourier transform infrared spectroscopy study. Molecules 2018, 23, 2278. [Google Scholar] [CrossRef] [PubMed]
- Mahalingam, T.; Venkatachalam, T.; Jayaprakasam, R.; Vijayakumar, V. Structural and thermo-optic studies on linear double hydrogen bonded ferroelectric liquid crystal homologous series. Mol. Cryst. Liq. Cryst. 2016, 641, 10–24. [Google Scholar] [CrossRef]
- Brown, A.W.; Martinez-Felipe, A. Ionic conductivity mediated by hydrogen bonding in liquid crystalline 4-n-alkoxybenzoic acids. J. Mol. Struct. 2019, 1197, 487–496. [Google Scholar] [CrossRef]
- Martinez-Felipe, A.; Cook, A.G.; Abberley, J.P.; Walker, R.; Storey, J.M.; Imrie, C.T. An FT-IR spectroscopic study of the role of hydrogen bonding in the formation of liquid crystallinity for mixtures containing bipyridines and 4-pentoxybenzoic acid. Rsc Adv. 2016, 6, 108164–108179. [Google Scholar] [CrossRef]
- Naoum, M.; Fahmi, A.; Alaasar, M. Supramolecular hydrogen-bonded liquid crystals formed from 4-(4′-pyridylazophenyl)-4 ″-alkoxy benzoates and 4-substituted benzoic acids. Mol. Cryst. Liq. Cryst. 2008, 487, 74–91. [Google Scholar] [CrossRef]
- Ashok Kumar, A.; Sridevi, B.; Srinivasulu, M.; Chalapathi, P.; Potukuchi, D. Inductive effect for the phase stability in hydrogen bonded liquid crystals, x-(p/m) BA: 9OBAs. Liq. Cryst. 2014, 41, 184–196. [Google Scholar] [CrossRef]
- Wolf, J.R.; Zhao, T.; Landorf, C.; Dyer, D.J. Synthesis and characterisation of laterally substituted noncentrosymmetric main chain hydrogen-bonded polymers. Liq. Cryst. 2014, 41, 721–730. [Google Scholar] [CrossRef]
- Alnoman, R.; Al-Nazawi, F.K.; Ahmed, H.A.; Hagar, M. Synthesis, Optical, and Geometrical Approaches of New Natural Fatty Acids’ Esters/Schiff Base Liquid Crystals. Molecules 2019, 24, 4293. [Google Scholar] [CrossRef]
- Alhaddad, O.A.; Ahmed, H.A.; Hagar, M.; Saad, G.R.; Abu Al-Ola, K.A.; Naoum, M.M. Thermal and Photophysical Studies of Binary Mixtures of Liquid Crystal with Different Geometrical Mesogens. Crystals 2020, 10, 223. [Google Scholar] [CrossRef]
- Nafee, S.S.; Hagar, M.; Ahmed, H.A.; Alhaddad, O.; El-Shishtawy, R.M.; Raffah, B.M. New two rings Schiff base liquid crystals; ball mill synthesis, mesomorphic, Hammett and DFT studies. J. Mol. Liq. 2020, 299, 112161. [Google Scholar] [CrossRef]
- Ahmed, N.H.; Saad, G.R.; Ahmed, H.A.; Hagar, M. New wide-stability four-ring azo/ester/Schiff base liquid crystals: Synthesis, mesomorphic, photophysical, and DFT approaches. Rsc Adv. 2020, 10, 9643–9656. [Google Scholar] [CrossRef]
- Collings, P.J.; Hird, M.; Tschierske, C. Introduction to Liquid Crystals. Chemistry and Physics. Angew. Chem. -Engl. Ed. 1997, 36, 2017. [Google Scholar]
- Naoum, M.M.; Fahmi, A.A.; Mohammady, S.Z.; Abaza, A.H. Effect of lateral substitution on supramolecular liquid crystal associates induced by hydrogen-bonding interactions between 4-(4′-pyridylazo-3-methylphenyl)-4′′-alkoxy benzoates and 4-substituted benzoic acids. Liq. Cryst. 2010, 37, 475–486. [Google Scholar] [CrossRef]
- Cleland, W.; Kreevoy, M.M. Low-barrier hydrogen bonds and enzymic catalysis. Science 1994, 264, 1887–1890. [Google Scholar] [CrossRef]
- Lizu, M.; Lutfor, M.; Surugau, N.; How, S.; Arshad, S.E. Synthesis and characterization of ethyl cellulose–based liquid crystals containing azobenzene chromophores. Mol. Cryst. Liq. Cryst. 2010, 528, 64–73. [Google Scholar] [CrossRef]
- Martínez-Felipe, A.; Imrie, C.T. The role of hydrogen bonding in the phase behaviour of supramolecular liquid crystal dimers. J. Mol. Struct. 2015, 1100, 429–437. [Google Scholar] [CrossRef]
- Ghanem, A.; Noel, C. FTIR investigation of two alkyl-p-terphenyl-4, 4 ″-dicarboxylates in their crystalline, smectic and isotropic phases. Mol. Cryst. Liq. Cryst. 1987, 150, 447–472. [Google Scholar] [CrossRef]
- Nafee, S.S.; Hagar, M.; Ahmed, H.A.; El-Shishtawy, R.M.; Raffah, B.M. The synthesis of new thermal stable schiff base/ester liquid crystals: A computational, mesomorphic, and optical study. Molecules 2019, 24, 3032. [Google Scholar] [CrossRef]
- Ahmed, H.; Naoum, M.; Saad, G. Mesophase behaviour of 1: 1 mixtures of 4-n-alkoxyphenylazo benzoic acids bearing terminal alkoxy groups of different chain lengths. Liq. Cryst. 2016, 43, 1259–1267. [Google Scholar] [CrossRef]
- Imrie, C. Laterally substituted dimeric liquid crystals. Liq. Cryst. 1989, 6, 391–396. [Google Scholar] [CrossRef]
Sample Availability: Samples of the compounds An/Im are available from the authors. |












| Compounds | TCr-C | ∆HCr-C | ∆SCr-C | TC-A | ∆HC-A | ∆SC-A | TA-N | ∆HA-N | ∆SA-N | TN-I | ∆HN-I | ∆SN-I |
|---|---|---|---|---|---|---|---|---|---|---|---|---|
| A6/I8 | 83.8 | 63.30 | 21.33 | 129.9 | 1.99 | 0.59 | 188.8 | 2.89 | 0.75 | 207.6 | 1.00 | 0.25 |
| A6/I10 | 81.7 | 63.99 | 21.69 | 127.7 | 1.49 | 0.45 | 188.7 | 3.75 | 0.98 | 200.1 | 1.57 | 0.40 |
| A6/I12 | 80.6 | 56.98 | 19.37 | 128.5 | 1.99 | 0.60 | 187.0 | 7.82 | 2.04 | 188.8 | 1.32 | 0.35 |
| A6/I16 | 76.3 | 67.80 | 23.34 | 127.1 | 0.86 | 0.26 | 155.1 | 3.10 | 0.87 | 187.9 | 2.81 | 0.73 |
| A8/I8 | 84.2 | 42.34 | 14.25 | 123.7 | 2.36 | 0.72 | 150.5 | 0.99 | 0.28 | 181.9 | 3.53 | 0.93 |
| A8/I10 | 82.8 | 55.24 | 18.67 | 124.3 | 2.01 | 0.61 | 151.5 | 1.56 | 0.44 | 182.3 | 2.99 | 0.79 |
| A8/I12 | 81.2 | 65.32 | 22.17 | 124.8 | 1.85 | 0.56 | 150.9 | 0.99 | 0.28 | 182.0 | 5.09 | 1.35 |
| A8/I16 | 76.4 | 78.81 | 27.12 | 124.1 | 1.29 | 0.39 | 150.8 | 1.64 | 0.47 | 180.9 | 4.04 | 1.07 |
| A16/I8 | 84.3 | 43.14 | 14.52 | 132.4 | 2.96 | 0.88 | 155.5 | 2.13 | 0.60 | 157.6 | 8.47 | 2.37 |
| A16/I10 | 82.5 | 49.95 | 16.89 | 132.0 | 2.48 | 0.74 | 155.8 | 2.02 | 0.57 | 157.9 | 8.35 | 2.33 |
| A16/I12 | 80.6 | 48.02 | 16.33 | 131.9 | 1.79 | 0.53 | 156.2 | 2.22 | 0.62 | 157.6 | 7.73 | 2.16 |
| A16/I16 | 69.9 | 78.70 | 27.59 | 133.5 | 2.32 | 0.69 | 155.3 | 1.39 | 0.39 | 157.1 | 5.07 | 1.42 |
| Parameter | A6/I10 | A6/I12 | A6/I16 | A8/I10 | A8/I12 | A8/I16 | A16/I10 | A16/I12 | A16/I16 | |
|---|---|---|---|---|---|---|---|---|---|---|
| Dimensions Å | Width (D) | 9.3 | 9.7 | 10.5 | 9.4 | 10.1 | 10.8 | 10.8 | 12.3 | 11.2 |
| Length (L) | 49.4 | 51.9 | 56.9 | 51.9 | 56.5 | 59.4 | 59.1 | 60.9 | 69.5 | |
| Aspect ratio (L/D) | 5.3 | 5.3 | 5.3 | 5.4 | 5.4 | 5.5 | 5.6 | 5.5 | 5.5 | |
| TCr-C | 81.7 | 80.6 | 76.3 | 82.8 | 81.2 | 76.4 | 82.5 | 80.6 | 69.9 | |
| ∆SCr-C | 21.69 | 19.37 | 23.34 | 18.67 | 22.17 | 27.12 | 16.89 | 16.33 | 27.59 | |
| TC-A | 127.7 | 128.5 | 127.1 | 124.3 | 124.8 | 124.1 | 132 | 131.9 | 133.5 | |
| ∆SC-A | 0.45 | 0.6 | 0.26 | 0.61 | 0.56 | 0.39 | 0.74 | 0.53 | 0.69 | |
| TA-N | 188.7 | 188.8 | 155.1 | 151.5 | 150.9 | 150.8 | 155.8 | 156.2 | 155.3 | |
| ∆SA-N | 0.98 | 2.04 | 0.87 | 0.44 | 0.28 | 0.47 | 0.57 | 0.62 | 0.39 | |
| TN-I | 200.1 | 187 | 187.9 | 182.3 | 182 | 180.9 | 157.9 | 157.6 | 157.1 | |
| ∆SN-I | 0.4 | 0.35 | 0.73 | 0.79 | 1.35 | 1.07 | 2.33 | 2.16 | 1.42 | |
| ∆TSmC | 46.0 | 47.9 | 50.8 | 41.5 | 43.6 | 47.7 | 49.5 | 51.3 | 63.6 | |
| ∆TSmA | 61.0 | 60.3 | 28.0 | 27.2 | 26.1 | 26.7 | 23.8 | 24.3 | 21.8 | |
| ∆TN | 11.4 | 11.8 | 32.8 | 30.8 | 31.1 | 30.1 | 2.1 | 1.4 | 1.8 | |
| ∆T Mesophase range Total | 118.4 | 106.4 | 111.6 | 99.5 | 100.8 | 104.5 | 75.4 | 77.0 | 87.2 | |
| TC Mesophase stability | 200.1 | 187.0 | 187.9 | 182.3 | 182.0 | 180.9 | 157.9 | 157.6 | 157.1 | |
| Parameters | A6/I10 | A6/I12 | A6/I16 | A8/I10 | A8/I12 | A8/I16 | A16/I10 | A16/I12 | A16/I16 |
|---|---|---|---|---|---|---|---|---|---|
| Ecorr | 0.833 | 0.890 | 0.947 | 1.062 | 1.090 | 1.118 | 1.118 | 1.233 | 1.347 |
| ZPVE | −2073.353 | −2151.920 | −2230.487 | −2387.621 | −2426.905 | −2466.189 | −2466.188 | −2623.320 | −2780.457 |
| Etot | −2073.304 | −2151.868 | −2230.432 | −2387.561 | −2387.561 | −2466.125 | −2466.125 | −2623.250 | −2780.383 |
| H | −2073.303 | −2151.867 | −2230.431 | −2387.560 | −2387.560 | −2466.125 | −2466.124 | −2623.250 | −2780.382 |
| G | −2073.451 | −2152.021 | −2230.592 | −2387.734 | −2387.734 | −2466.307 | −2466.306 | −2623.450 | −2780.592 |
| Parameters | A6/I10 | A6/I12 | A6/I16 | A8/I10 | A8/I12 | A8/I16 | A16/I10 | A16/I12 | A16/I16 |
|---|---|---|---|---|---|---|---|---|---|
| ELUMO | −0.1063 | −0.1063 | −0.1063 | −0.1063 | −0.1063 | −0.1061 | −0.1061 | −0.1062 | −0.1063 |
| EHOMO | −0.2138 | −0.2138 | −0.2138 | −0.2138 | −0.2138 | −0.2138 | −0.2140 | −0.2136 | −0.2137 |
| ΔEHOMO-LUMO | 0.1075 | 0.1075 | 0.1075 | 0.1075 | 0.1075 | 0.1077 | 0.1079 | 0.1074 | 0.1074 |
| μ Total | 6.2859 | 6.3105 | 6.3341 | 6.2601 | 6.2411 | 6.3085 | 6.2227 | 6.2474 | 6.2673 |
| Polarizability α | 626.03 | 649.80 | 697.15 | 650.22 | 685.95 | 721.67 | 721.24 | 769.10 | 816.95 |
© 2020 by the authors. Licensee MDPI, Basel, Switzerland. This article is an open access article distributed under the terms and conditions of the Creative Commons Attribution (CC BY) license (http://creativecommons.org/licenses/by/4.0/).
Share and Cite
Alnoman, R.B.; Ahmed, H.A.; Hagar, M.; Abu Al-Ola, K.A.; Alrefay, B.S.; Haddad, B.A.; Albalawi, R.F.; Aljuhani, R.H.; Aloqebi, L.D.; Alsenani, S.F. Induced Phases of New H-bonded Supramolecular Liquid Crystal Complexes; Mesomorphic and Geometrical Estimation. Molecules 2020, 25, 1549. https://doi.org/10.3390/molecules25071549
Alnoman RB, Ahmed HA, Hagar M, Abu Al-Ola KA, Alrefay BS, Haddad BA, Albalawi RF, Aljuhani RH, Aloqebi LD, Alsenani SF. Induced Phases of New H-bonded Supramolecular Liquid Crystal Complexes; Mesomorphic and Geometrical Estimation. Molecules. 2020; 25(7):1549. https://doi.org/10.3390/molecules25071549
Chicago/Turabian StyleAlnoman, Rua B., Hoda A. Ahmed, Mohamed Hagar, Khulood A. Abu Al-Ola, Bedor Sh. Alrefay, Bashayer A. Haddad, Raghad F. Albalawi, Razan H. Aljuhani, Lama D. Aloqebi, and Shoaa F. Alsenani. 2020. "Induced Phases of New H-bonded Supramolecular Liquid Crystal Complexes; Mesomorphic and Geometrical Estimation" Molecules 25, no. 7: 1549. https://doi.org/10.3390/molecules25071549
APA StyleAlnoman, R. B., Ahmed, H. A., Hagar, M., Abu Al-Ola, K. A., Alrefay, B. S., Haddad, B. A., Albalawi, R. F., Aljuhani, R. H., Aloqebi, L. D., & Alsenani, S. F. (2020). Induced Phases of New H-bonded Supramolecular Liquid Crystal Complexes; Mesomorphic and Geometrical Estimation. Molecules, 25(7), 1549. https://doi.org/10.3390/molecules25071549

