Nucleotide Sugars in Chemistry and Biology
Abstract
1. Introduction
2. Nucleotide Sugars in the Biosynthesis of Glycoconjugates
2.1. Eucaryotic Glycoproteins and Proteoglycans
2.2. Bacterial Cell-Wall Carbohydrates
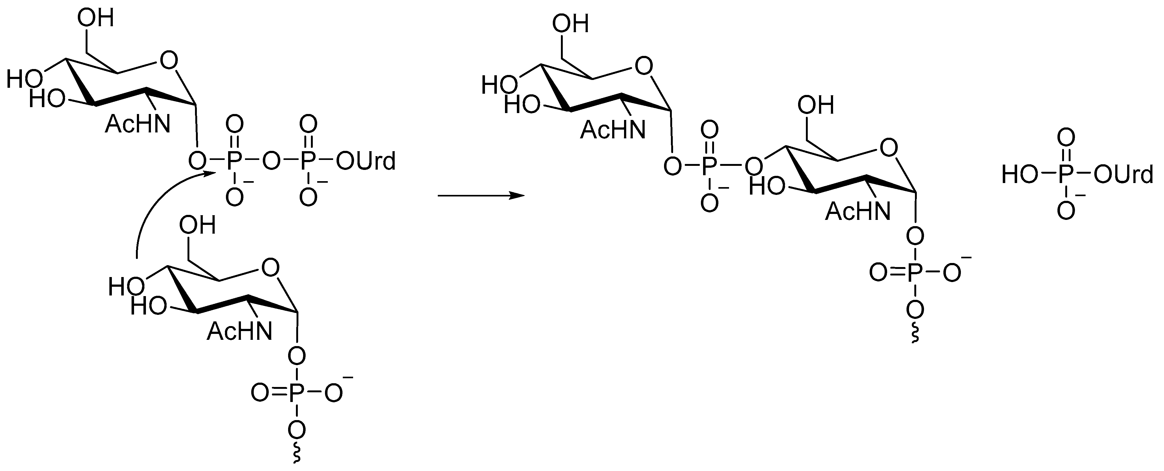
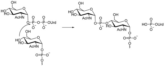
2.2.1. Capsular Polysaccharides
2.2.2. Lipopolysaccharides
2.2.3. Teichoic Acids
3. Structure and Biosynthetic Routes of Nucleotide Sugars
3.1. Structures and Biosynthetic Routes of Mammalian Nucleotide Sugars
3.2. Nucleotide Sugars in Plants
3.3. Bacterial Nucleotide Sugars
4. Mechanisms of Enzymatic Reactions of Nucleotide Sugars
4.1. Catalysis by Glycosyl Transferases
4.2. Catalysis by Polyisoprenol-Phosphate Glycosyltransferases
4.3. Catalysis Phosphoglycosyl Transferases
4.4. Catalysis by Enzymes Involved in the Formation of Phosphodiester-Linked Carbohydrates
4.5. Hydrolysis of Nucleotide Sugars
5. Chemical Reactions of Nucleotide Sugars
6. Synthesis of Nucleotide Sugars
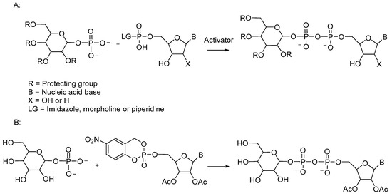
6.1. Chemical Synthesis
6.2. Enzymatic Methods
6.2.1. Enzymatic Synthesis of Nucleotide Sugars
6.2.2. Enzymatic Synthesis Coupled with Glycosylation
7. Conclusions
Funding
Conflicts of Interest
References
- Lairson, L.L.; Henrissat, B.; Davies, G.J.; Withers, S.G. Glycosyltransferases: Structures, functions and mechanisms. Annu. Rev. Biochem. 2008, 77, 521–555. [Google Scholar] [CrossRef] [PubMed]
- Di Girolamo, M.; Fabrizio, G. Overview of the mammalian ADP-ribosyl-transferases clostridia toxin-like (ARTCs) family. Biochem. Pharmacol. 2019, 167, 86–96. [Google Scholar] [CrossRef] [PubMed]
- OʹSullivan, J.; Tedim Hereira, M.; Gagné, J.; Sharma, A.K.; Hendzel, M.J.; Masson, J.; Poirier, G.G. Emerging roles of eraser enzymes in the dynamic control of protein ADP-ribosylation. Nat. Comm. 2019, 10, 1182. [Google Scholar] [CrossRef] [PubMed]
- Wopereis, S.; Lefeber, D.J.; Morava, É.; Weavers, R.A. Mechanism in protein o-glycan biosynthesis and clinical and molecular aspects of o-glycan biosynthesis defects: A review. Clin. Chem. 2006, 52, 574–600. [Google Scholar] [CrossRef] [PubMed]
- Lehle, L.; Strahl, S.; Tanner, W. Protein glycosylation, conserved from yeast to man: A model organism helps elucidate congenital human diseases. Angew. Chem. Int. Ed. 2006, 45, 6802–6818. [Google Scholar] [CrossRef]
- Maeda, Y.; Kinoshita, T. Dolichol-phosphate mannose synthase: Structure, function and regulation. Biochim. Biophys. Acta 2008, 1780, 861–868. [Google Scholar] [CrossRef]
- Bieberich, E. Synthesis, processing, and function of N-glycans in N-glycoproteins. Adv. Neurobiol. 2014, 9, 47–70. [Google Scholar] [CrossRef]
- Paganini, C.; Constantini, R.; Superti-Furga, A.; Rossi, A. Bone and connective tissue disorders caused by defects in glycosaminoglycan biosynthesis: A panoramic view. FEBS J. 2019, 3008–3032. [Google Scholar] [CrossRef]
- Endo, T. Mammalian O-mannosyl glycans: Biochemistry and glycopathology. Proc. Jpn. Acad. Ser. B 2019, 95, 39–51. [Google Scholar] [CrossRef]
- Brockhausen, I. Pathways of O-glycan biosynthesis in cancer cells. Biochim. Biophys. Acta 1999, 1473, 67–95. [Google Scholar] [CrossRef]
- Kudelka, M.R.; Ju, T.; Heimburg-Molinaro, J.; Cummings, R.D. Simple sugars to complex disease—Mucin-type O-glycans in cancer. Adv. Cancer Res. 2015, 126, 53–135. [Google Scholar] [CrossRef] [PubMed]
- Corfield, A.P. Mucins: A biologically relevant glycan barrier in mucosal protection. Biochim. Biophys. Acta 2015, 1850, 236–252. [Google Scholar] [CrossRef] [PubMed]
- Dhanisha, S.S.; Guruvayoorappan, C.; Drishya, S.; Abeesh, P. Mucins: Structural diversity, biosynthesis, its role in pathogenesis and as possible therapeutic targets. Crit. Rev. Oncol. Hematol. 2018, 122, 98–122. [Google Scholar] [CrossRef]
- Nikitovic, D.; Berdiaki, A.; Spyridaki, I.; Krasanakis, T.; Tsatsakis, A.; Tzanakakis, G.N. Proteoglycans—Biomarkers and Targets in Cancer Therapy. Front. Endocrinol. 2018, 9, 69. [Google Scholar] [CrossRef] [PubMed]
- Akella, N.M.; Ciraku, L.; Reginato, M.J. Fueling the fire: Emerging role of the hexosamine biosynthetic pathway in cancer. BMC Biol. 2019, 17, 52. [Google Scholar] [CrossRef]
- Hart, G.W. Nutrient regulation of signaling and transcription. J. Biol. Chem. 2019, 294, 2211–2231. [Google Scholar] [CrossRef]
- Rudman, N.; Gornik, O.; Lauc, G. Altered N-glycosylation as potential biomarkers and drug targets in diabetes. FEBS Lett. 2019, 593, 1598–1615. [Google Scholar] [CrossRef]
- Merino, P.; Delso, I.; Tejero, T.; Ghirardello, M.; Juste-Navarro, V. Nucleotide diphosphate sugar analogues that target glycosyltransferases. Asian J. Org. Chem. 2016, 5, 1413–1427. [Google Scholar] [CrossRef]
- Lee, D.J.; O’Donnell, H.; Routier, F.H.; Tiralongo, J.; Haselhorst, T. Glycobiology of human fungal pathogens: New avenues for drug development. Cells 2019, 8, 1348. [Google Scholar] [CrossRef]
- Brown, S.; Maria, J.P.S., Jr.; Walker, S. Wall teichoic acids of Gram-positive bacteria. Annu. Rev. Microbiol. 2013, 67, 313–336. [Google Scholar] [CrossRef]
- Hu, X.; Chen, Z.; Xiong, K.; Wang, J.; Rao, X.; Cong, Y. Vi capsular polysaccharide: Synthesis, virulence and application. Crit. Rev. Microbiol. 2016, 43, 440–452. [Google Scholar] [CrossRef] [PubMed]
- Colombo, C.; Pitorillo, O.; Lay, L. Recent advances in the synthesis of glycoconjugates for vaccine development. Molecules 2018, 23, 1712. [Google Scholar] [CrossRef] [PubMed]
- Singh, J.K.; Adams, F.G.; Brown, M.H. Diversity and function of capsular polysaccharide in Acinetobacter baumannii. Front. Microbiol. 2019, 9, 3301. [Google Scholar] [CrossRef] [PubMed]
- Oldrini, D.; del Bino, L.; Arda, A.; Carboni, F.; Henriques, P.; Angliolini, F.; Quintana, J.I.; Calloni, I.; Romano, M.R.; Berti, F.; et al. Structure-guided design of a group B Streptococcus type III synthetic glycan-conjugate vaccine. Chem. Eur. J. 2020, 26, 7018–7025. [Google Scholar] [CrossRef]
- Mettu, R.; Chen, C.; Wu, C. Synthetic carbohydrate-based vaccines: Challenges and opportunities. J. Biomed. Sci. 2020, 27, 9. [Google Scholar] [CrossRef]
- Wei, M.; Wang, Y.; Ye, X. Carbohydrate-based vaccines for oncotherapy. Med. Res. Rev. 2018, 38, 1003–1026. [Google Scholar] [CrossRef]
- Kornfeld, R.; Kornfeld, S. Assembly of asparagine-linked oligosaccharides. Annu. Rev. Biochem. 1985, 54, 631–664. [Google Scholar] [CrossRef]
- Roth, J.; Zuber, C.; Park, S.; Jang, I.; Lee, Y.; Gaplovska Kysela, K.; Le Fourn, V.; Santimaria, R.; Guhl, B.; Won Cho, J. Protein N-glycosylation, protein folding and protein quality control. Mol. Cells 2010, 30, 497–506. [Google Scholar] [CrossRef]
- Tannous, A.; Pisoni, G.B.; Hebert, D.N.; Molinari, M. N-linked sugar-regulated protein folding and quality control in the ER. Semin. Cell Dev. Biol. 2015, 41, 79–89. [Google Scholar] [CrossRef]
- Darula, Z.; Medzihradszky, K.F. Analysis of mammalian O-glycopeptides – We have made a good start, but there is a long way to go. Mol. Cell. Prot. 2018, 17, 2–17. [Google Scholar] [CrossRef]
- Sheikh, M.O.; Halmo, S.M.; Wells, L. Recent advances in understanding mammalian O-mannosylation. Glycobiology 2017, 27, 806–819. [Google Scholar] [CrossRef] [PubMed]
- Mikami, T.; Kitagawa, H. Biosynthesis and function of chondroitin sulfate. Biochim. Biophys. Acta 2013, 1830, 4719–4733. [Google Scholar] [CrossRef] [PubMed]
- Ricard-Blum, S.; Lisacek, F. Glycosaminoglycans: Where we are. Glycoconj. J. 2017, 34, 339–349. [Google Scholar] [CrossRef] [PubMed]
- Nadanaka, S.; Kitagawa, H. Heparan sulphate biosynthesis and disease. J. Biochem. 2008, 144, 7–14. [Google Scholar] [CrossRef]
- Pang, X.; Li, H.; Guan, F.; Li, X. Multiple roles of glycans in hematological malignancies. Front. Oncol. 2018, 2018 8, 364. [Google Scholar] [CrossRef]
- Vallet, S.D.; Clerc, O.; Ricard-Blum, S. Glycoaminoglycan-protein interactions: The first draft of the glycosaminoglycan interactome. J. Histochem. Cytochem. 2020. [Google Scholar] [CrossRef]
- Sugahara, K.; Kitagawa, H. Recent advances in the study of the biosynthesis and functions of sulphated glycosaminoglycans. Curr. Opin. Struct. Biol. 2000, 10, 518–527. [Google Scholar] [CrossRef]
- Silhavy, T.J.; Kahne, D.; Walker, S. The bacterial cell envelope. Cold Spring Harb. Perspect. Biol. 2010, 2, a000414. [Google Scholar] [CrossRef]
- Ståhle, J.; Widmalm, G. Lipopolysaccharides of gram-negative bacteria: Biosynthesis and structural aspects. Trends Glycos. Glyc. 2019, 31, E159–E171. [Google Scholar] [CrossRef]
- van Dam, V.; Olrichs, N.; Breukink, E. Specific labeling of peptidoglycan precursors as a tool for bacterial cell wall studies. ChemBioChem 2009, 10, 617–624. [Google Scholar] [CrossRef]
- Liu, Y.; Breukink, E. The membrane steps of bacterial cell wall synthesis as antibiotic targets. Antibiotics 2016, 5, 28. [Google Scholar] [CrossRef] [PubMed]
- Percy, M.G.; Gründling, A. Lipoteichoic acid synthesis and function in Gram-positive bacteria. Annu. Rev. Microbiol. 2014, 68, 81–100. [Google Scholar] [CrossRef] [PubMed]
- Keinhörster, D.; George, S.E.; Weidenmeier, C.; Wolz, C. Function and regulation of Staphylcoccuc aureus wall teichoic acids and capsular polysaccharides. Int. J. Med. Microbiol. 2019, 309, 151333. [Google Scholar] [CrossRef] [PubMed]
- Schneewind, O.; Missiakas, D. Lipoteichoic acids, phosphate-containing polymers in the envelope of Gram-positive bacteria. J. Bacteriol. 2014, 196, 1133–1142. [Google Scholar] [CrossRef]
- Raetz, C.R.H.; Whitfield, C. Lipopolysaccharide endotoxins. Annu. Rev. Biochem. 2002, 71, 635–700. [Google Scholar] [CrossRef]
- Whitfield, C.; Trent, M.S. Biosynthesis and export of bacterial lipopolysaccharides. Annu. Rev. Biochem. 2014, 83, 99–128. [Google Scholar] [CrossRef]
- Yother, J. Capsules of Streptococcus pneumoniae and other bacteria: Paradigms for polysaccharide biosynthesis and regulation. Annu. Rev. Microbiol. 2011, 65, 563–581. [Google Scholar] [CrossRef]
- Willis, L.M.; Whitfield, C. Structure, biosynthesis, and function of bacterial capsular polysaccharides synthesized by ABC transporter-dependent pathways. Carbohydr. Res. 2013, 378, 35–44. [Google Scholar] [CrossRef]
- Tzeng, Y.; Thomas, J.; Stephens, D.S. Regulation of capsule in Neisseria meningitidis. Crit. Rev. Microbiol. 2016, 42, 759–772. [Google Scholar] [CrossRef]
- Kalscheuer, R.; Palacios, A.; Anso, I.; Cifuente, J.; Anguita, J.; Jacobs, W.R., Jr.; Guerin, M.E.; Prados-Rosales, R. The Mycobacterium tuberculos capsule: A cell structure with key implications in pathogenesis. Biochem. J. 2019, 476, 1995–2016. [Google Scholar] [CrossRef]
- Berti, F.; Romano, M.R.; Micoli, F.; Pinto, V.; Cappelletti, E.; Gavini, M.; Proietti, D.; Pluschke, G.; MacLennan, C.A.; Constantino, P. Relative stability of meningococcal serogroup A and X polysaccharides. Vaccine 2012, 30, 6409–6415. [Google Scholar] [CrossRef] [PubMed]
- Ravenscroft, N.; Omar, A.; Hlozek, J.; Edmonds-Smith, C.; Follador, R.; Serventi, F.; Lipowsky, G.; Kuttel, M.M.; Cescutti, P.; Faridmoayer, A. Genetic and structural elucidation of capsular polysaccharides from Streptococcus pneumoniae serotype 23A and 23B, and comparison to serotype 23F. Carbohydr. Res. 2017, 450, 19–29. [Google Scholar] [CrossRef] [PubMed]
- Cuthbertson, L.; Mainprize, I.L.; Naismith, J.H.; Whitfield, C. Pivotal roles of the outer Membrane polysaccharide export and polysaccharide copolymerase protein families in export of extracellular polysaccharides in Gram-negative bacteria. Microbiol. Mol. Biol. Rev. 2009, 73, 155–177. [Google Scholar] [CrossRef]
- Schmid, J. Recent insights in microbial exopolysaccharide biosynthesis and engineering strategies. Curr. Opin. Biotechnol. 2018, 53, 130–136. [Google Scholar] [CrossRef] [PubMed]
- Micoli, F.; Ravenscrost, N.; Cescutti, P.; Stefanetti, G.; Londero, S.; Rondini, S.; MacLennan, C.A. Structural analysis of O-polysacchararide chains extracted from different Salmonella typhimurium strains. Carbohydr. Res. 2014, 385, 1–8. [Google Scholar] [CrossRef]
- Whitfield, C.; Williams, D.M.; Kelly, S.D. Lipopolysaccharide O-antigens—bacterial glycans made to measure. J. Biol. Chem. 2020, 295, 10593–10609. [Google Scholar] [CrossRef]
- Samuel, G.; Reeves, P. Biosynthesis of O-antigens: Genes and pathways involved in nucleotide sugar precursor synthesis and O-antigen assembly. Carbohydr. Res. 2003, 338, 2503–2519. [Google Scholar] [CrossRef]
- Rundlöf, T.; Weintraub, A.; Widmalm, G. Structural studies on the enteroinvasive Escherichia coli 028 O-antigenic polysaccharide. Carbohydr. Res. 1996, 281, 127–139. [Google Scholar] [CrossRef]
- Shashkov, A.S.; Yang, B.; Senchenkova, S.N.; Perepelov, A.V.; Liu, B.; Knirel, Y.A. Structures and genetics of biosynthesis of glycerol 1-phosphate-containing O-polysaccharides of Escherichia coli O28ab, O37, and O100. Carbohydr. Res. 2016, 426, 26–32. [Google Scholar] [CrossRef]
- Perepelov, A.V.; Lu, B.; Senchenkova, S.N.; Shevelev, S.D.; Wang, W.; Shashkov, A.V.; Feng, L.; Wang, L.; Knirel, Y.A. The structure of the glycesolphosphate-containing O-specific polysaccharide from Escherichia coli O130. Russ. J. Bioorg. Chem. 2007, 33, 57–60. [Google Scholar] [CrossRef]
- Ward, J.B. Teichoic and teichuronic acids: Biosynthesis, assembly, and location. Microbiol. Rev. 1981, 45, 211–243. [Google Scholar] [CrossRef] [PubMed]
- Weidenmeier, C.; Peschel, A. Teichoic acids and related cell-wall glycopolymers in Gram-positive physiology and host interactions. Nat. Rev. 2008, 6, 276–287. [Google Scholar] [CrossRef] [PubMed]
- Brown, S.; Meredith, T.; Swoboda, J.; Walker, S. Staphylococcus aureus and Bacillus subtilis W23 make polyribitol wall teichoic acids using different enzymatic pathways. Chem. Biol. 2010, 17, 1101–1110. [Google Scholar] [CrossRef] [PubMed]
- Perepelov, A.V.; Lu, B.; Wang, Q.; Senchenkova, S.N.; Shevelev, S.D.; Zhao, G.; Shashkov, A.V.; Feng, L.; Knirel, Y.A.; Wang, L. Structure of a teichoic acid-like o-polysaccharide of Escherichia coli O29. Carbohydr. Res. 2006, 342, 2176–2180. [Google Scholar] [CrossRef] [PubMed]
- Winstel, V.; Sanchez-Caballo, P.; Holst, O.; Xia, G.; Peschel, A. Biosynthesis of the unique wall teichoic acid of Staphylococcus aureaus lineage ST395. mBio 2014, 5. [Google Scholar] [CrossRef]
- Corfield, A.P.; Berry, M. Glycan variation and evolution in the eukaryotes. Trends Biochem. Sci. 2015, 40, 351–359. [Google Scholar] [CrossRef]
- Zhou, X.; Yang, G.; Guan, F. Biological functions and analytical strategies of sialic acids in tumor. Cells 2020, 9, 273. [Google Scholar] [CrossRef]
- Cai, L. Recent progress in enzymatic synthesis of sugar nucleotides. J. Carbohydr. Chem. 2012, 31, 535–552. [Google Scholar] [CrossRef]
- Decker, D.; Kleczkowski, L.A. UDP-Sugar Producing Pyrophosphorylases: Distinct and Essential Enzymes With Overlapping Substrate Specificities, Providing de novo Precursors for Glycosylation Reactions. Front. Plant Sci. 2019, 9, 1822. [Google Scholar] [CrossRef]
- Adeva-Andany, M.M.; Pérez-Felpete, N.; Fernández-Fernández, C.; Donapetry-García, C.; Pazos- García, C. Liver glucose metabolism pathways. Biosci. Rep. 2016, 36, e00416. [Google Scholar] [CrossRef]
- Zimmer, B.M.; Barycki, J.J.; Simpson, M.A. Integration of sugar nucleotide metabolism and proteoglycan synthesis by UDP-glucose dehydrogenase. J. Histochem. Cytochem. 2020, 0022155420947500. [Google Scholar] [CrossRef]
- Cova, M.; Rodrigues, J.A.; Smith, T.K.; Izquierdo, L. Sugar activation and glycosylation in Plasmodium. Malar. J. 2015, 14, 427. [Google Scholar] [CrossRef] [PubMed]
- Paschinger, K.; Yan, S.; Wilson, I.B.H. N-glycomic complexity in anatomical simplicity: Caenorhabditis elegans as a non-model nematode. Front. Mol. Biosci. 2019, 6, 9. [Google Scholar] [CrossRef]
- Bar-Peled, M.; O’-Neill, M.A. Plant nucleotide sugar formation, interconversion and salvage by sugar recycling. Annu. Rev. Plant Biol. 2011, 62, 127–155. [Google Scholar] [CrossRef]
- Yin, Y.; Huang, J.; Gu, X.; Bar-Peled, M.; Xu, Y. Evolution of plant nucleotide-sugar interconversion enzymes. PLoS ONE 2011, 6, e27995. [Google Scholar] [CrossRef]
- Temple, H.; Saez-Aguoayo, S.; Reyes, F.C.; Orellana, A. The inside and the outside: Topological issues in plant cell wall biosynthesis and the roles of nucleotide sugar transporters. Glycobiology 2016, 26, 913–925. [Google Scholar] [CrossRef]
- Verbančič, J.; Lunn, J.E.; Stitt, M.; Persson, S. Carbon Supply and the Regulation of Cell Wall Synthesis. Mol. Plant 2018, 11, 75–94. [Google Scholar] [CrossRef]
- Bar-Peled, M.; Urbanowitz, B.R.; OʹNeill, M.A. The synthesis and origin of the pectic polysaccharide rhamnogalacturonan II—Insights from nucleotide sugar formation and diversity. Front. Plant Sci. 2012, 3, 92. [Google Scholar] [CrossRef]
- Hantus, S.; Pauly, M.; Darvill, A.G.; Albersheim, P.; York, W.S. Structural characterization of novel L-galactose-containing oligosaccharide subunits of jojoba seed xyloglucans. Carbohydr. Res. 1997, 304, 11–20. [Google Scholar] [CrossRef]
- Wyres, K.L.; Cahill, S.M.; Holt, K.E.; Hall, R.M.; Kenyon, J.J. Identification of Acinetobacter baumannii loci for capsular polysacchararide (KL) and lipopolysaccharide outer core (OCL) synthesis in geneome assemblies using curated reference databases compatible with Kaptive. Microb. Genom. 2020, 6. [Google Scholar] [CrossRef]
- Kenyon, J.J.; Notaro, A.; Hsu, L.Y.; De Castro, C.; Hall, R.M. 5,7-Di-N-8-epiacinetaminic acid: A new non-2-ulosonic acid found in the K73 capsule produced by an Acinetobacter baumannii isolate from Singapore. Sci. Rep. 2017, 7, 11357. [Google Scholar] [CrossRef] [PubMed]
- Smyth, K.M.; Marchant, A. Conservation of the 2-keto-3-deoxymanno-octulosonic acid (Kdo) biosynthesis pathway between plants and bacteria. Carbohydr. Res. 2013, 380, 70–75. [Google Scholar] [CrossRef] [PubMed]
- Heyes, D.J.; Levy, C.; Lafite, P.; Roberts, I.S.; Goldrick, M.; Stachulski, A.V.; Rossington, S.B.; Stanford, D.; Rigby, S.E.J.; Scrutton, N.S.; et al. Structure-based mechanism of CMP-Kdo synthase: Convergent evolution of a sugar activating enzyme with DNA-/RNA-polymerases. J. Biol. Chem. 2009, 284, 35514–355523. [Google Scholar] [CrossRef] [PubMed]
- Park, Y.S.; Sweitzer, T.D.; Dixon, J.E.; Kent, C. Expression, purification, and characterization of CTP:glycerol-3-phosphate cytidylyltransferase from Bacillus subtilis. J. Biol. Chem. 1993, 268, 16648–16654. [Google Scholar] [PubMed]
- Pereira, M.P.; Brown, E.D. Bifunctional catalysis by CDP-ribitol synthase: Convergent recruitment of reductase and cytidylyltransferase activities in Haemophilus influenzae and Staphylococcus aureaus. Biochemistry 2004, 43, 11802–11812. [Google Scholar] [CrossRef]
- Zhou, Z.; Lin, S.; Cotter, R.J.; Raetz, C.R.H. Lipid A modifications characteristic of Salmonella typhimurium are induced by NH4VO3 in Escherichia coli K12. J. Biol. Chem. 1999, 274, 18503–18514. [Google Scholar] [CrossRef]
- Meström, L.; Przypsis, M.; Kowalczykiewitcz, D.; Pollender, A.; Kumpf, A.; Marsden, S.R.; Bento, I.; Jarzębski, A.B.; Szymańska, K.; Chruściel, A.; et al. Leloir glycosyltransferases in applied biocatalysis: A multidisciplinary approach. Int. J. Mol. Sci. 2019, 20, 5263. [Google Scholar] [CrossRef]
- Breton, C.; Fournel-Gigleux, S.; Palcic, M.M. Recent structures, evolution and mechanisms of glycosyltransferases. Curr. Opin. struct. Biol. 2012, 22, 540–549. [Google Scholar] [CrossRef]
- Pan, X.; Li, S. Bacteria-catalysed arinine glycosylation in pathogen and host. Front. Cell. Infect. Microbiol. 2020, 10, 185. [Google Scholar] [CrossRef]
- Larivière, L.; Gueguen-Chaignon, V.; Moréra, S. Crystal structures of the T4 phage β-glucosyltransferase and the D100A mutant in complex with UDP-glucose: Glucose binding and identification of the catalytic base for a direct displacement mechanism. J. Mol. Biol. 2003, 330, 1077–1086. [Google Scholar] [CrossRef]
- Arauja-Garrido, J.L.; Bernal-Bayard, J.; Ramos-Morales, F. Type III secretion effectors with arginine N-glycosyltransferase activity. Microorganisms 2020, 8, 357. [Google Scholar] [CrossRef] [PubMed]
- Zhang, H.; Zhou, M.; Yang, T.; Haslam, S.M.; Dell, A.; Wu, H. New helical binding domain mediates a glycosyltransferase activity of a bifunctional protein. J. Biol. Chem. 2016, 291, 22106–22117. [Google Scholar] [CrossRef] [PubMed]
- Kattke, M.D.; Gosschalk, J.E.; Martinez, O.E.; Kumar, G.; Gale, R.T.; Cascio, D.; Sawaya, M.E.; Philips, M.; Brown, E.D.; Clubb, R.T. Structure and mechanism of TagA, a novel membrane-associated glycosyltransferase that produces wall teichoic acids in pathogenic bacteria. PLoS Pathog. 2019, 15, e1007723. [Google Scholar] [CrossRef] [PubMed]
- Qasba, P.K.; Ramakrishnan, B.; Boeggeman, E. Substrate-induced conformational changes in glycosyltransferases. Trends Biochem. Sci. 2005, 30, 52–62. [Google Scholar] [CrossRef] [PubMed]
- Koç, C.; Gerlach, D.; Beck, S.; Peschel, A.; Xia, G.; Stehle, T. Structural and enzymatic analysis of TarM glycosyltransferase fromfrom Staphylococcus aureus reveals an oligomeric protein specific for the glycosylation of wall teichoic acid. J. Biol. Chem. 2015, 290, 9874–9885. [Google Scholar] [CrossRef]
- Ardèvol, A.; Iglesias-Fernández, J.; Rojas-Cerllera, V.; Rovira, C. The reaction mechanism of retaining glycosyltransferase. Biochem. Soc. Trans. 2016, 44, 51–60. [Google Scholar] [CrossRef] [PubMed]
- Monegal, A.; Planas, A. Chemical rescue of α3-galactosyltransferase. Implications in the mechanism of retaining glycosyltransferases. J. Am. Chem. Soc. 2006, 128, 16030–16031. [Google Scholar] [CrossRef]
- Ovchinnikova, O.G.; Mallette, E.; Koizumi, A.; Lowary, T.L.; Kimber, M.S.; Whitfield, C. Bacterial β-Kdo glycosyltransferases represent a new glycosyltransferase family (GT99). Proc. Natl. Acad. Sci. USA 2016, 113, E3120–E3129. [Google Scholar] [CrossRef]
- Persson, K.; Ly, H.D.; Dieckelmann, M.; Wakarchuk, W.W.; Withers, S.G.; Strynadka, N.C.J. Crystal structure of the retaining galactrosyltransferase LgtC from Neisseria meningitides in a complex with donor and acceptor sugar analogs. Nat. Struct. Biol. 2001, 8, 166–175. [Google Scholar] [CrossRef]
- Albesa-Jové, D.; Mendoza, F.; Rodrigo-Unzueta, A.; Gomollón-Bel, F.; Cifuente, J.O.; Urresti, S.; Comino, N.; Gómez, H.; Romero-García, J.; Lluch, J.; et al. A native ternary complex trapped in a crystal reveals the catalytic mechanism of a retaining glycosyltransferase. Angew. Chem. Int. Ed. 2015, 54, 9898–9902. [Google Scholar] [CrossRef]
- Gómez, H.; Polyak, I.; Thiel, W.; Lluch, J.M.; Masgrau, L. Retaining glycosyltransferase mechanism studied by QM/MM methods: Lipopolysaccharyl-α-1,4-galactosyltransferase C transfers α-galactose via an oxocarbenium ion-like transition state. J. Am. Chem. Soc. 2012, 134, 4743–4752. [Google Scholar] [CrossRef] [PubMed]
- Mendoza, F.; Gómez, H.; Lluch, J.; Masgrau, L. α1,4-N-Acetylhexosaminyltransferase EXTL2: The missing link for understanding glycosidic bond biosynthesis with retention of configuration. ACS Catal. 2016, 6, 2577–2589. [Google Scholar] [CrossRef]
- Yan, L.; Liu, Y. The retaining mechanism of xylose transfer catalysed by xyloside α-1,3-xylosyltransferase (XXYLT1): A quantum mechanics/molecular mechanics study. J. Chem. Inf. Model. 2020, 60, 1585–1594. [Google Scholar] [CrossRef] [PubMed]
- Ardèvol, A.; Rovira, C. The molecular mechanism of enzymatic glycosyl transfer with retention of configuration; Evidence for a short-lived oxocarbenium-like species. Angew. Chem. Int. Ed. 2011, 50, 10897–10901. [Google Scholar] [CrossRef]
- Ardiccioni, C.; Clarke, O.B.; Tomasek, D.; Issa, H.A.; von Alpen, D.C.; Pond, H.L.; Banerjee, S.; Rajaskanar, K.R.; Liu, Q.; Guan, Z.; et al. Structure of the polysioprenyl-phosphate glycosyltransferase GtrB and insights into the mechanism of catalysis. Nat. Commun. 2016, 7, 10175. [Google Scholar] [CrossRef]
- Gandini, R.; Reichenbach, T.; Tan, T.; Divne, C. Structural basis for dolichylphosphate mannose biosynthesis. Nat. Commun. 2017, 8, 120. [Google Scholar] [CrossRef]
- Eichler, J.; Imperiali, B. Stereochemical divergence of polyprenol phosphate glycosyltransferases. Trends Biochem. Sci. 2018, 43, 10–17. [Google Scholar] [CrossRef]
- Lukose, V.; Walvoort, M.T.C.; Imperiali, B. Bacterial phosphoglycosyl transferases: Initiators of glycan biosynthesis at the membrane interface. Glycobiology 2017, 27, 820–833. [Google Scholar] [CrossRef]
- Allen, K.N.; Imperiali, B. Structural and mechanistic themes in glycoconjugate biosynthesis at membrane interfaces. Curr. Opin. Struct. Biol. 2019, 59, 81–90. [Google Scholar] [CrossRef]
- Al-Dabbagh, B.; Olatunji, S.; Crouvoisier, M.; El Ghachi, M.; Blanot, D.; Mengin-Lecreulx, D.; Bouhss, A. Catalytic mechanism of MraY and WecA, two paralogues of the polyprenyl-phosphate N-acetylhexoseamine 1-phosphate transferase superfamily. Biochimie 2016, 127, 249–257. [Google Scholar] [CrossRef]
- Al-Dabbagh, B.; Henry, X.; El Ghachi, M.; Auger, G.; Blanot, D.; Parquet, C.; Mengin-Lecreulx, D.; Bouhss, A. Active site mapping of MraY, a member of the polyprenyl-phosphate N-acetylhexosamine 1-phosphate transferase superfamily, catalyzing the first membrane step of peptidoglycan biosynthesis. Biochemistry 2008, 47, 8919–8928. [Google Scholar] [CrossRef] [PubMed]
- Das, D.; Kuzmic, P.; Imperiali, B. Analysis of a dual domain phosphoglycosyl transferase reveals a ping-pong mechanism with covalent enzyme intermediate. Proc. Natl. Acad. Sci. USA 2017, 114, 7019–7024. [Google Scholar] [CrossRef] [PubMed]
- Entova, S.; Guan, Z.; Imperiali, B. Investigation of the conserved re-entrant membrane helix in the monotopic phosphoglycosyl transferase superfamily supports key molecular interactions with polyprenol phosphate substrates. Arch. Biochem. Biophys. 2019, 675, 108111. [Google Scholar] [CrossRef] [PubMed]
- Sperisen, P.; Schmid, C.D.; Bucher, P.; Zilian, O. Stealth proteins: In silico identification of a novel protein family rendering bacterial pathogens invisible to host immune defense. PLoS Comput. Biol. 2005, 1, e63. [Google Scholar] [CrossRef] [PubMed]
- Reilly, M.C.; Levery, S.B.; Castle, S.A.; Klutts, J.S.; Doering, T.L. A novel xylosylphosphotransferase activity discovered in Cryptococcus neoformans. J. Biol. Chem. 2009, 284, 36118–36127. [Google Scholar] [CrossRef] [PubMed]
- Ming, S.A.; Cottman-Thomas, E.; Black, N.C.; Chen, Y.; Veeramachineni, V.; Peterson, D.C.; Chen, X.; Tedaldi, L.M.; Wagner, G.K.; Cai, C.; et al. Interaction of Neisseria meningitides group X N-acetyglucosamine-1-phosphotransferase with its donor substrate. Glycobiology 2018, 28, 100–107. [Google Scholar] [CrossRef] [PubMed]
- Muindi, K.M.; McCarthy, P.C.; Wang, T.; Vionnet, J.; Battistel, M.; Jankowska, E.; Vann, W.F. Characterisation of the meningococcal serogroup X capsule N-acetylglucosmine-1-phosphotransferase. Glycobiology 2014, 24, 139–149. [Google Scholar] [CrossRef][Green Version]
- Ma, Z.; Zhang, G.; Gadi, M.R.; Guo, Y.; Wang, P.; Li, L. Clostridioides difficile cd2775 encodes a unique mannosyl-1-phosphotransferase for polysaccharide II biosynthesis. ACS Infect. Dis. 2020, 6, 680–686. [Google Scholar] [CrossRef]
- Caveney, N.A.; Li, F.K.K.; Strynadka, C.J. Enzyme structures of the bacterial peptidoglycan and wall teichoic acid biogenesis pathways. Curr. Opin. Struct. Biol. 2018, 53, 45–58. [Google Scholar] [CrossRef]
- Lovering, A.L.; Lin, L.Y.; Sewell, E.W.; Spreter, T.; Brown, E.D.; Strynadka, N.C.J. Structure of the bacterial teichoic acid polymerase TagF provides insights into membrane association and catalysis. Nat. Struct. Biol. 2010, 17, 582–590. [Google Scholar] [CrossRef]
- Schertzer, J.W.; Bhavsar, A.P.; Brown, E.D. Two conserved histidine residues are critical to the function of the TagF-like family of enzymes. J. Biol. Chem. 2005, 280, 36683–36690. [Google Scholar] [CrossRef] [PubMed]
- Sewell, E.W.C.; Pereira, M.P.; Brown, E.D. The wall teichoic acid polymerase TagF is non-processive in vitro and amenable to study using steady state kinetic analysis. J. Biol. Chem. 2009, 284, 21132–21138. [Google Scholar] [CrossRef] [PubMed]
- Litschko, C.; Romano, M.R.; Pinto, V.; Claus, H.; Vogel, U.; Berti, F.; Gerardy-Schahn, R.; Fiebig, T. The capsule polymerase CsIB of Neisseria meningitides serogroup L catalyses the synthesis of a complex trimeric repeating unit comprising glycosidic and phosphodiester bonds. J. Biol. Chem. 2015, 290, 24355–24366. [Google Scholar] [CrossRef]
- Litschko, C.; Oldrini, D.; Budde, I.; Berger, M.; Meens, J.; Gerardy-Schahn, R.; Berti, F.; Schubert, M.; Fiebig, T. A new family of capsule polymerases generates teichoic acid-like capsule polymers in Gram-negative pathogens. mBio 2018, 9, e00641-18. [Google Scholar] [CrossRef] [PubMed]
- McLennan, A.G. The Nudix hydrolase family. Cell. Mol. Life Sci. 2006, 63, 123–143. [Google Scholar] [CrossRef]
- Carreras-Puigver, J.; Zitnik, M.; Jernth, A.; Carter, M.; Unterlass, J.E.; Hallström, B.; Loseva, O.; Karem, Z.; Calderón-Montaño, J.M.; Lindskog, C.; et al. A comprehensive structural, biochemical and biologicals profiling of the human NUDIX hydrolase family. Nat. Commun. 2017, 8, 1541. [Google Scholar] [CrossRef]
- Führing, J.; Cramer, J.T.; Routier, F.H.; Lamerz, A.; Baruch, P.; Gerardy-Schahn, R.; Fedorov, R. A quaternary mechanism enables the complex biological functions of octameric human UDP-glucose pyrophosphorylase, a key enzyme in cell metabolism. Sci. Rep. 2015, 5, 9618. [Google Scholar] [CrossRef]
- Cotrim, C.A.; Soares, J.S.M.; Kobe, B.; Menossi, M. Crystal structure and insights into the oligomeric state of UDP-glucose pyrophosphorylase from sugarcane. PLoS ONE 2018, 13, e0193667. [Google Scholar] [CrossRef]
- Führing, J.; Cramer, J.T.; Baruch, P.; Gerardy-Schahn, R.; Fedorov, R. Catalytic mechanism and allosteric regulation of UDP-glucose pyrophosphorylase from Leishmania major. ACS Catal. 2013, 3, 2976–2985. [Google Scholar] [CrossRef]
- Gibbs, M.E.; Lountos, G.T.; Gumpena, R.; Waugh, D.S. Crystal structure of UDP-Glucose pyrophosphorylase from Yersinia pestis, a potential therapeutic target against plague. Acta Cryst. 2019, F75, 608–615. [Google Scholar] [CrossRef]
- Peneff, C.; Ferrari, P.; Charrier, V.; Taburet, Y.; Monnier, C.; Zamboni, V.; Winter, J.; Harnois, M.; Fassy, F.; Bourne, Y. Crystal structures of two human pyrophosphorylase isoforms in complexes with UDPGcl(Gal)NAc: Role of the alternatively spliced insert in the enzyme oligomeric assembly and active site architecture. EMBO J. 2001, 20, 6191–6202. [Google Scholar] [CrossRef] [PubMed]
- Kim, H.; Choi, J.; Kim, T.; Lokanath, N.K.; Ha, S.C.; Suh, S.W.; Hwang, H.; Kim, K.K. Structural basis for the reaction mechanism of UDP-glucose pyrophosphorylase. Mol. Cells 2010, 29, 397–405. [Google Scholar] [CrossRef] [PubMed]
- Mildvan, A.S.; Xia, Z.; Azurmendi, H.F.; Saraswat, V.; Legler, P.M.; Massiah, M.A.; Gabelli, S.B.; Bianchet, M.A.; Kang, L.; Amzel, L.M. Structures and mechanisms of Nudiz hydrolases. Arch. Biochem. Biophys. 2005, 433, 129–143. [Google Scholar] [CrossRef] [PubMed]
- Frick, D.N.; Townsend, B.D.; Bessman, M.J. A novel GDP-Mannose mannosyl hydrolase shares homology with the MutT family of enzymes. J. Biol. Chem. 1995, 270, 24088–24091. [Google Scholar] [CrossRef] [PubMed]
- Xia, Z.; Azurmendi, H.G.; Lairson, L.L.; Withers, S.G.; Gabelli, S.B.; Bianchet, M.A.; Amzel, L.M.; Mildvan, A.S. Mutational, Structural, and kinetic evidence for a dissociative mechanism in the GDP-mannose mannosyl hydrolase reaction. Biochemistry 2005, 44, 8989–8997. [Google Scholar] [CrossRef]
- Carter, M.; Jemth, A.; Carreras-Puigver, J.; Herr, P.; Martinéz Carranza, M.; Vallin, K.S.A.; Throup, A.; Helleday, T.; Stenmark, P. Human NUDT22 is a UDP-glucose/galactose hydrolase exhibiting a unique structural fold. Structure 2018, 26, 295–303. [Google Scholar] [CrossRef]
- Duong-Ly, K.C.; Gabelli, S.B.; Xu, W.; Dunn, C.A.; Schoeffield, A.J.; Bessman, M.J.; Amzel, L.M. The Nudix hydrolase CDP-Chase, a CDP-choline pyrophosphatase, is an asymmetric dimer with two distinct enzymatic activities. J. Bacteriol. 2011, 193, 3175–3185. [Google Scholar] [CrossRef]
- Tanaka, H.; Maruta, H.; Ogawa, T.; Tanabe, N.; Tamoi, M.; Yoshimura, K.; Shigeoka, S. Idenfication and characterization of Arabidopsis AtNUDX9 as a GDP-D-mannose pyrophosphorylase: Its involvement in root growth inhibition in response to ammonium. J. Exp. Bot. 2015, 66, 5797–5808. [Google Scholar] [CrossRef]
- Heyen, C.A.; Tagliabracci, V.C.; Zhai, L.; Roach, P.J. Characterization of mouse UDP-glucose pyrophosphatase, a Nudix hydrolase encoded by the Nudt14 gene. Biochem. Biophys. Res. Commun. 2009, 390, 1414–1418. [Google Scholar] [CrossRef]
- Young, H.E.; Donohue, M.P.; Smirnova, T.I.; Smirnov, A.J.; Zhou, P. The UDP-diacylglucosamine pyroophosphorylase LpxH in lipid biosynthesis utilizes Mn2+ cluster for catalysis. J. Biol. Chem. 2013, 288, 26987–27001. [Google Scholar] [CrossRef]
- Okada, C.; Wakabayashi, H.; Kobayashi, M.; Shinoda, A.; Tanaka, I.; Yao, M. Crystal structures of the UDP-diacylglucosamine pyrophosphohydrase LpxH from Pseudomonas aeruginosa. Sci. Rep. 2016, 6, 32822. [Google Scholar] [CrossRef] [PubMed][Green Version]
- Metzger, L.E., IV; Raetz, C.R.H. An alternative route for UDP-diacylglucosamine hydrolysis in bacterial lipid A biosynthesis. Biochemistry 2010, 49, 6715–6726. [Google Scholar] [CrossRef] [PubMed]
- Bedford, C.T.; Hickman, A.D.; Logan, C.J. Structure-activity studies of glucose transfer: Determination of the spontaneous rates of hydrolysis of uridine 5′-diphospho-α-D-glucuronic acid (UDPGA). Bioorg. Med. Chem. 2003, 11, 2339–2345. [Google Scholar] [CrossRef]
- Nunez, H.A.; Barker, R. Metal-ion catalysed decomposition of nucleoside diphosphate sugars. Biochemistry 1976, 15, 3843–3847. [Google Scholar] [CrossRef] [PubMed]
- Huhta, E.; Parjanen, A.; Mikkola, S. A kinetic study on the chemical cleavage of nucleoside diphosphate sugars. Carbohydr. Res. 2010, 345, 696–703. [Google Scholar] [CrossRef]
- Dano, M.; Elmeranta, M.; Hodgson, D.R.W.; Jaakkola, J.; Korhonen, H.; Mikkola, S. Metal ion-promoted cleavage of nucleoside diphosphosugars: A model for reactions of phosphodiester bonds in carbohydrates. J.Biol. Inorg. Chem. 2015, 20, 1299–1306. [Google Scholar] [CrossRef][Green Version]
- Hill, B.L.; Figueroa, C.M.; Asencion Diez, M.D.; Lunn, J.E.; Iglesias, A.A.; Ballicora, M.A. On the stability of nucleoside diphosphate glucose metabolites: Implications for studies of plant carbohydrate metabolism. J. Exp. Bot. 2017, 68, 3331–3337. [Google Scholar] [CrossRef]
- Jaakkola, J.; Nieminen, A.; Kivelä, H.; Korhonen, H.; Tähtinen, P.; Mikkola, S. Kinetic and NMR spectroscopic study of the chemical stability and reaction pathways of sugar nucleotides. Nucleosides Nucleotides Nucleic Acids 2020. [Google Scholar] [CrossRef]
- Mikkola, S. Hydrolysis and isomerization of sugar phosphates and carbohydrate phosphodiesters. Curr. Org. Chem. 2013, 17, 1525–1544. [Google Scholar] [CrossRef]
- Kajihara, Y.; Nishigaki, S.; Hanzawa, D.; Nakanishi, G.; Okamoto, R.; Yamamoto, N. Unique self-anhydride formation in the degradation of cytidine-5′-monophosphosialic acid (CMP-Neu5Ac) and cytidine-5′-diphosphosialic acid (CDP-Neu5Ac) and its application in CMP-sialic acid analogue synthesis. Chem. Eur. J. 2011, 17, 7645–7655. [Google Scholar] [CrossRef]
- Ruano, M.; Cabezas, J.A.; Hueso, P. Degradation of cytidine-5′-monophospho-N-acetylneuramic acid under different conditions. Comp. Biochem. Physiol. Part B 1999, 123, 301–306. [Google Scholar] [CrossRef]
- Beau, J.; Schauer, R.; Haverkamp, J.; Kamerling, J.P.; Dorland, L.; Vliegenthart, J.F.G. Chemical behaviour of cytidine 5′-monophospho-N-acetyl-β-d-neuraminicacid under neutral and alkaline conditions. Eur. J. Biochem. 1984, 140, 203–208. [Google Scholar] [CrossRef] [PubMed]
- Valakoski, S.; Heiskanen, S.; Andersson, S.; Lähde, M.; Mikkola, S. Metal ion-promoted cleavage of mRNA 5′-cap models: Hydrolysis of the triphosphate bridge and reactions of the N-7-methylguanine base. J. Chem. Soc. Perkin Trans. 2002, 2, 604–610. [Google Scholar] [CrossRef]
- Ahmadipour, S.; Miller, G.J. Recent advances in the chemical synthesis of sugar-nucleotides. Carbohydr. Res. 2017, 451, 95–109. [Google Scholar] [CrossRef] [PubMed]
- Xu, Z. A review on the chemical biosynthesis of the pyrophosphate bonds in bioactive nucleoside diphosphate analogs. Bioorg. Med. Chem. Lett. 2015, 25, 3777–3783. [Google Scholar] [CrossRef]
- Tanaka, H.; Yoshimura, Y.; Jørgensen, M.R.; Cuesta-Seijo, J.A.; Hindsgaul, O. A simple synthesis of sugar nucleoside diphosphates by chemical coupling in water. Angew. Chem. Int. Ed. 2012, 51, 11531–11534. [Google Scholar] [CrossRef]
- Dabrowski-Tumanski, P.; Kowalska, J.; Jemielity, J. Efficient and rapid synthesis of nucleoside diphosphate sugars from nucleoside imidazolides. Eur. J. Org. Chem. 2013, 2147–2154. [Google Scholar] [CrossRef]
- Tedaldi, L.M.; Pierce, M.; Wagner, G.K. Optimised chemical synthesis of 5-substituted UDP-sugars and their evaluation as glycosyltransferase inhibitors. Carbohydr. Res. 2012, 364, 22–27. [Google Scholar] [CrossRef]
- Cai, L.; Janda, K.D. A Chemoenzymatic approach toward the preparation of site-specific antibody-drug conjugates. Tetrahedron Lett. 2015, 56, 3172–3175. [Google Scholar] [CrossRef]
- Zhang, X.; Gree, D.E.; Schultz, V.L.; Lin, L.; Han, X.; Wang, R.; Yaksic, A.; Kim, S.Y.; DeAngelis, P.L.; Linhardt, R.J. Synthesis of 4-azido-N-acetylhexoseamine uridine diphosphate donors: Clickable glycosaminoglycans. J. Org. Chem. 2017, 82, 9910–9915. [Google Scholar] [CrossRef]
- Collier, A.; Wagner, G.K. Base-modified GDP-mannose derivatives and their substrate activity towards a yeast mannosyltransferase. Carbohydr. Res. 2017, 452, 91–96. [Google Scholar] [CrossRef] [PubMed][Green Version]
- Beswick, L.; Ahmadipour, S.; Dolan, J.P.; Rejzek, M.; Field, R.A.; Miller, G.J. Chemical and enzymatic synthesis of the alginate sugar nucleotide building block: GDP-d-mannuronic acid. Carbohydr. Res. 2019, 485, 107819. [Google Scholar] [CrossRef] [PubMed]
- Sun, Q.; Li, X.; Sun, J.; Gong, S.; Liu, G.; Liu, G. An improved P(V)-N-activation strategy for the synthesis of nucleoside diphosphate 6-deoxy-l-sugars. Tetrahedron 2014, 70, 294–300. [Google Scholar] [CrossRef]
- Wolff, S.; Molina Berrio, R.; Meier, C. Synthesis of nonnatural nucleoside diphosphate sugars. Eur. J. Org. Chem. 2011, 6304–6313. [Google Scholar] [CrossRef]
- Wolff, S.; Warnecke, S.; Ehrit, J.; Freiberger, F.; Gerardy-Schahn, R.; Meier, C. Chemical synthesis and enzymatic testing of CMP-sialic acid derivatives. ChemBioChem 2012, 13, 2605–2615. [Google Scholar] [CrossRef]
- Suzuki, K.; Daikoku, S.; Son, S.; Ito, Y.; Kanie, O. Synthetic study of 3-fluorinated sialic acid derivatives. Carbohydr. Res. 2015, 406, 1–9. [Google Scholar] [CrossRef]
- Wen, L.; Gadi, M.R.; Zheng, Y.; Gibbons, C.; Kondengaden, S.M.; Zhang, J.; Wang, P.G. Chemoenzymatic synthesis of unnatural nucleotide sugars for enzymatic biorthogonal labelling. ACS Catal. 2018, 8, 7659–7666. [Google Scholar] [CrossRef]
- Ahmadipour, S.; Beswick, L.; Miller, G.J. Recent advances in the enzymatic synthesis of sugar-nucleotides using nucleotidyltransferases and glycosyltransferases. Carbohydr. Res. 2018, 469, 38–47. [Google Scholar] [CrossRef]
- Zhang, X.; Lin, L.; Huang, H.; Linhardt, R.J. Chemoenzymatic synthesis of glycosaminoglycans. Acc. Chem. Res. 2020, 53, 335–346. [Google Scholar] [CrossRef]
- Li, W.; McArthur, J.B.; Chen, X. Strategies for chemoenzymatic synthesis of carbohydrates. Carbohydr. Res. 2019, 472, 86–97. [Google Scholar] [CrossRef]
- Fairbanks, A.J. Chemoenzymatic synthesis of glycoproteins. Curr. Opin. Chem. Biol. 2019, 53, 9–15. [Google Scholar] [CrossRef] [PubMed]
- Chao, Q.; Ding, Y.; Chen, Z.; Xiang, M.; Wang, N.; Gao, X. Recent progress in chemo-Enzymatic methods for the synthesis of N-glycans. Front. Chem. 2020, 8, 513. [Google Scholar] [CrossRef] [PubMed]
- Chen, R. Enzyme and microbiol technology for synthesis of bioactive oligosaccharides: An update. Appl. Microbiol. Biotechnol. 2018, 102, 3017–3026. [Google Scholar] [CrossRef] [PubMed]
- Nidetzky, B.; Gutman, A.; Zhong, C. Leloir glycosyltransferases as biocatalysts for chemical production. ACS Catal. 2018, 8, 6283–6300. [Google Scholar] [CrossRef]
- Benkoulouche, M.; Faure, R.; Remaud-Siméon, M.; Moulis, C.; André, I. Harnessing glycoenzyme engineering for synthesis of bioactive oligosaccharides. Interface Focus 2019, 9. [Google Scholar] [CrossRef] [PubMed]
- Heinzler, R.; Fischöder, T.; Elling, L.; Franzreb, M. Toward automated enzymatic glycan synthesis in a compartmented flow microreactor system. Adv. Synth. Catal. 2019, 361, 4506–4516. [Google Scholar] [CrossRef]
- Fischöder, T.; Wahl, C.; Zerhusen, C.; Elling, L. Repetetive batch mode facilitates enzymatic synthesis of the nucleotide sugars UDP-Gal, UDP-GlcNAc and UDP-GalNAc on a multi-gram scale. Biotechnol. J. 2019, 14, 1800386. [Google Scholar] [CrossRef]
- Eisele, A.; Zaun, H.; Kuballa, J.; Elling, L. In vitro one-pot enzymatic synthesis of hyaluronic acid from sucrose and N-acetylglucosamine: Optimization of the enzyme module system and nucleotide sugar regeneration. Chem. Cat. Chem. 2018, 10, 2969–2981. [Google Scholar] [CrossRef]
- Mahour, R.; Klapproth, J.; Rexer, T.F.T.; Schildbach, A.; Klamt, S.; Pietzsch, M.; Rapp, E.; Reichl, U. Establishment of a five enzyme cascade for the synthesis of uridine diphosphate N-acetylglucosamine. J. Biotechnol. 2018, 283, 120–129. [Google Scholar] [CrossRef]
- Rexer, T.F.T.; Schildbach, A.; Klapproth, J.; Schierhorn, A.; Mahour, R.; Pietzsch, M.; Rapp, E. One pot synthesis of GDP-mannose by a multienzyme cascade for enzymatic assembly of lipid-linked oligosaccharides. Biotechnol. Bioeng. 2018, 115, 192–205. [Google Scholar] [CrossRef]
- Meng, C.; Sasmal, A.; Zhang, Y.; Gao, T.; Liu, C.; Khan, N.; Varki, A.; Wang, F.; Cao, H. Chemoenzymatic assembly of mammalian O-mannose glycans. Angew. Chem. Int. Ed. 2018, 57, 9003–9007. [Google Scholar] [CrossRef] [PubMed]
- Huang, K.; Parmeggiani, F.; Pallister, E.; Huang, C.; Liu, F.; Birmingham, W.R.; Both, P.; Thomas, B.; Liu, L.; Voglmeir, J.; et al. Characterisation of a bacterial galactokinase with high activity and broad substrate tolerance for chemoenzymatic synthesis of 6-aminogalactrose 1-phosphate and analogues. Chem. Bio. Chem. 2018, 19, 388–394. [Google Scholar] [CrossRef] [PubMed]
- Tasnima, N.; Yu, H.; Yan, X.; Li, W.; Xiao, A.; Chen, X. Facile Chemoenzymatic synthesis of a (Lea) antigen in gram-scale and sialyl Lewis s(Lea) antigens containing diverse sialic acid forms. Carbohydr. Res. 2019, 472, 115–121. [Google Scholar] [CrossRef] [PubMed]
- Fischöder, T.; Cajic, S.; Gote, V.; Heinzler, R.; Reichl, U.; Franzreb, M.; Rapp, E.; Elling, L. Enzymatic cascades for tailored 13C6 and 15N enriched human milk oligosaccharides. Molecules 2019, 24, 3482. [Google Scholar] [CrossRef]
- Pfeiffer, M.; Bulfon, D.; Weber, H.; Nidetzky, B. A kinase-independent one-pot multienzyme cascade for an expedient synthesis of guanosine 5ʹ-diphospho-D-mannose. Adv. Synth. Catal. 2016, 358, 3809–3816. [Google Scholar] [CrossRef]
- Engels, L.; Henze, M.; Hummel, W.; Elling, L. Enzyme module systems for the synthesis of uridine 5ʹ-diphospho α-D-glucuronic acid and non-sulfated human natural killer cell-1 (HNK-1) epitope. Adv. Synth. Catal. 2015, 357, 1751–1762. [Google Scholar] [CrossRef]
- Gutman, A.; Lepak, A.; Diricks, M.; Desmet, T.; Nidetzky, B. Glycosyltransferase cascades for natural product glycosylation: Use of plant instead of bacterial sucrose synthases improves the UDP-glucose recycling from sucrose and UDP. Biotechnol. J. 2017, 12, 1600557. [Google Scholar] [CrossRef]
- Schmölzer, K.; Lemmerer, M.; Gutmann, A.; Nidetzky, B. Integrated process design for biocatalytic synthesis by a Leloir glycosyltransferases: UDP-glucose production with sucrose synthase. Biotechnol. Bioeng. 2017, 114, 924–928. [Google Scholar] [CrossRef]
- Kulmer, S.T.; Gutmann, A.; Lemmerer, M.; Nidetzky, B. Biocatalytic cascade of polyphosphate kinase and sucrose synthase for synthesis of nucleotide-activated derivatives of glucose. Adv. Synth. Catal. 2017, 359, 292–301. [Google Scholar] [CrossRef]
- Meng, D.; Du, R.; Chen, L.; Li, M.; Liu, M.; Hou, J.; Shi, Y.; Wang, F.; Sheng, J. Cascade synthesis of uridine 5′-diphosphate glucuronic acid by coupling multiple whole cells expressing hyperthermophilic enzymes. Microb. Cell Factories 2019, 18, 118. [Google Scholar] [CrossRef]
- Muthana, M.M.; Qu, J.; Xue, M.; Klyuchnik, T.; Siu, A.; Li, Y.; Zhang, L.; Yu, H.; Li, L.; Wang, P.G.; et al. Improved one-pot multienzyme (OPME) systems for synthesising UPD-uronic acids and glucuronides. Chem. Commun. 2015, 51, 4595–4598. [Google Scholar] [CrossRef] [PubMed]
- Eixelsberger, T.; Nidetzky, B. Enzymatic redox cascade for one-pot synthesis of uridine 5′-diphosphate xylose from uridine 5′-diphosphate glucose. Adv. Synth. Catal. 2014, 356, 3575–3584. [Google Scholar] [CrossRef] [PubMed]
- Wang, J.; Greenway, H.; Li, S.; Wei, M.; Polizzi, S.J.; Wang, P.G. Facile and stereo-selective synthesis of UDP-α-d-xylose and UDP-β-l-arabinose using UDP-sugar pyrophosphorylase. Front. Chem. 2018, 6, 163. [Google Scholar] [CrossRef]
- Ye, J.; Liu, X.; Peng, P.; Yi, W.; Wang, F.; Cao, H. Diversity-oriented enzymatic modular assembly of ABO histo-blood group antigens. ACS Catal. 2016, 6, 8140–8144. [Google Scholar] [CrossRef]
- Wu, H.; Anwar, M.; Fan, C.; Low, P.; Angata, T.; Lin, C. Expedient assembly of oligo-LacNAcs by a sugar nucleotide regeneration system: Finding the role of tandem LacNAc sialic acid position towards siglec binding. Eur. J. Med. Chem. 2019, 180, 627–636. [Google Scholar] [CrossRef]
- Li, S.; Wang, S.; Fu, X.; Liu, X.; Wang, P.G.; Fang, J. Sequential one-pot multienzyme synthesis of hyaluronan and its derivative. Carbohydr. Polym. 2017, 178, 221–227. [Google Scholar] [CrossRef] [PubMed]
- Singh, S.; Peltier-Pain, P.; Tonelli, M.; Thorson, J.S. A general NMR-based strategy for the in situ characterization of sugar-nucleotide-dependent biosynthetic pathways. Org. Lett. 2014, 16, 3220–3223. [Google Scholar] [CrossRef]
- Gilormini, P.A.; Lion, C.; Noel, M.; Krzewinski-Recchi, M.A.; Harduin-Lepers, A.; Guérardel, Y.; Biot, C. Improved workflow for the efficient preparation of ready to use CMP-activated sialic acids. Glycobiology 2016, 26, 1151–1156. [Google Scholar] [CrossRef]
- Wahl, C.; Hirtz, D.; Elling, L. Multiplexed capillaryelectrophoresis as analytical tool for fast optimization of multi-enzyme cascade reactions—Synthesis of nucleotide sugars. Biotechnol. J. 2016, 11, 1298–1308. [Google Scholar] [CrossRef]
- Tian, C.; Yang, J.; Zeng, Y.; Zhang, T.; Zhou, Y.; Men, Y.; You, C.; Zhu, Y.; Sun, Y. Biosynthesis of raffinose and stachyose from sucrose via an In vitro multienzyme system. Appl. Environ. Microbiol. 2019, 85, e02306-18. [Google Scholar] [CrossRef]









Publisher’s Note: MDPI stays neutral with regard to jurisdictional claims in published maps and institutional affiliations. |
© 2020 by the author. Licensee MDPI, Basel, Switzerland. This article is an open access article distributed under the terms and conditions of the Creative Commons Attribution (CC BY) license (http://creativecommons.org/licenses/by/4.0/).
Share and Cite
Mikkola, S. Nucleotide Sugars in Chemistry and Biology. Molecules 2020, 25, 5755. https://doi.org/10.3390/molecules25235755
Mikkola S. Nucleotide Sugars in Chemistry and Biology. Molecules. 2020; 25(23):5755. https://doi.org/10.3390/molecules25235755
Chicago/Turabian StyleMikkola, Satu. 2020. "Nucleotide Sugars in Chemistry and Biology" Molecules 25, no. 23: 5755. https://doi.org/10.3390/molecules25235755
APA StyleMikkola, S. (2020). Nucleotide Sugars in Chemistry and Biology. Molecules, 25(23), 5755. https://doi.org/10.3390/molecules25235755

