Production of Defense Phenolics in Tomato Leaves of Different Age
Abstract
1. Introduction
2. Results and Discussion
2.1. Total Phenolic Contents
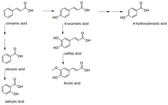
2.2. Phenolic Profiles
2.3. Concentrations of Selected Phenolic Acids
3. Materials and Methods
3.1. Chemicals, Plant, and Fungal Material Inoculation
3.2. Extraction and Analysis of Total Phenolic Contents
3.3. Analysis of Phenolic Profiles and Quantification of Phenolic Acids
3.4. Statistical Analysis
4. Conclusions
Supplementary Materials
Author Contributions
Funding
Acknowledgments
Conflicts of Interest
References
- Barriere, V.; Lecompte, F.; Lescourret, F. Efficacy of pest and pathogen control, yield and quality of winter lettuce crops managed with reduced pesticide applications. Eur. J. Agron. 2015, 71, 34–43. [Google Scholar] [CrossRef]
- Zaynab, M.; Fatima, M.; Abbas, S.; Sharif, Y.; Umair, M.; Zafar, M.H.; Bahadar, K. Role of secondary metabolites in plant defense against pathogens. Microb. Pathog. 2018, 124, 198–202. [Google Scholar] [CrossRef] [PubMed]
- Pott, D.M.; Osorio, S.; Vallarino, J.G. From Central to Specialized Metabolism: An Overview of Some Secondary Compounds Derived from the Primary Metabolism for Their Role in Conferring Nutritional and Organoleptic Characteristics to Fruit. Front. Plant Sci. 2019, 10, 835. [Google Scholar] [CrossRef] [PubMed]
- Grassmann, J.; Hippeli, S.; Elstner, E.F. Plant’s defence and its benefits for animals and medicine: Role of phenolics and terpenoids in avoiding oxygen stress. Plant Physiol. Biochem. 2002, 40, 471–478. [Google Scholar] [CrossRef]
- Pereira, D.; Valentão, P.; Pereira, J.; Andrade, P. Phenolics: From Chemistry to Biology. Molecules 2009, 14, 2202–2211. [Google Scholar] [CrossRef]
- Bhattacharya, A.; Sood, P.; Citovsky, V. The roles of plant phenolics in defence and communication during Agrobacterium and Rhizobium infection: Phenolics in Agrobacterium and Rhizobium infection. Mol. Plant Pathol. 2010. [Google Scholar] [CrossRef] [PubMed]
- Pombo, M.A.; Zheng, Y.; Fernandez-Pozo, N.; Dunham, D.M.; Fei, Z.; Martin, G.B. Transcriptomic analysis reveals tomato genes whose expression is induced specifically during effector-triggered immunity and identifies the Epk1 protein kinase which is required for the host response to three bacterial effector proteins. Genome Biol. 2014, 15, 492. [Google Scholar] [CrossRef] [PubMed]
- Pedley, K.F.; Martin, G.B. Molecular Basis of Pto-Mediated Resistance to Bacterial Speck Disease in Tomato. Annu. Rev. Phytopathol. 2003, 41, 215–243. [Google Scholar] [CrossRef]
- Baker, C.J.; Owens, R.A.; Whitaker, B.D.; Mock, N.M.; Roberts, D.P.; Deahl, K.L.; Aver’yanov, A.A. Effect of viroid infection on the dynamics of phenolic metabolites in the apoplast of tomato leaves. Physiol. Mol. Plant Pathol. 2010, 74, 214–220. [Google Scholar] [CrossRef]
- Pothinuch, P.; Tongchitpakdee, S. Phenolic Analysis for Classification of Mulberry (Morus spp.) Leaves according to Cultivar and Leaf Age. J. Food Qual. 2019, 2019, 2807690. [Google Scholar] [CrossRef]
- Matsuki, M. Regulation of Plant Phenolic Synthesis: From Biochemistry to Ecology and Evolution. Aust. J. Bot. 1996, 44, 613. [Google Scholar] [CrossRef]
- Babou, L.; Hadidi, L.; Grosso, C.; Zaidi, F.; Valentão, P.; Andrade, P.B. Study of phenolic composition and antioxidant activity of myrtle leaves and fruits as a function of maturation. Eur. Food Res. Technol. 2016, 242, 1447–1457. [Google Scholar] [CrossRef]
- Çetinkaya, H.; Kulak, M. Relationship between total phenolic, total flavonoid and oleuropein in different aged olive (Olea europaea l.) Cultivar leaves. Afr. J. Trad. Compl. Alt. Med. 2016, 13, 81. [Google Scholar] [CrossRef]
- Luiz, C.; Rocha Neto, A.C.; Di Piero, R.M. Resistance to Xanthomonas Gardneri in Tomato Leaves Induced by Polysaccharides from plant or Microbial. J. Plant Pathol. 2015, 1. [Google Scholar] [CrossRef]
- Silva-Beltrán, N.P.; Ruiz-Cruz, S.; Cira-Chávez, L.A.; Estrada-Alvarado, M.I.; Ornelas-Paz, J.D.; López-Mata, M.A.; Del-Toro-Sánchez, C.L.; Ayala-Zavala, J.F.; Márquez-Ríos, E. Total Phenolic, Flavonoid, Tomatine, and Tomatidine Contents and Antioxidant and Antimicrobial Activities of Extracts of Tomato Plant. Int. J. Anal. Chem. 2015, 2015, 284071. [Google Scholar] [CrossRef]
- Piao, X.-M.; Jang, E.-K.; Chung, J.-W.; Lee, G.-A.; Lee, H.-S.; Sung, J.-S.; Jeon, Y.-A.; Lee, J.-R.; Kim, Y.-G.; Lee, S.-Y. Variation in Antioxidant Activity and Polyphenol Content in Tomato Stems and Leaves. Plant Breed. Biotech. 2013, 1, 366–373. [Google Scholar] [CrossRef]
- Arab, M.; Bahramian, B.; Schindeler, A.; Valtchev, P.; Dehghani, F.; McConchie, R. Extraction of phytochemicals from tomato leaf waste using subcritical carbon dioxide. Innov. Food Sci. Emerg. Technol. 2019, 57, 102204. [Google Scholar] [CrossRef]
- Ratnavathi, C.V. Grain Structure, Quality, and Nutrition. In Breeding Sorghum for Diverse End Uses; Elsevier: Amsterdam, The Netherlands, 2019; pp. 193–207. ISBN 978-0-08-101879-8. [Google Scholar]
- Widhalm, J.R.; Dudareva, N. A Familiar Ring to It: Biosynthesis of Plant Benzoic Acids. Mol. Plant 2015, 8, 83–97. [Google Scholar] [CrossRef]
- Lefevere, H.; Bauters, L.; Gheysen, G. Salicylic Acid Biosynthesis in Plants. Front. Plant Sci. 2020, 11, 338. [Google Scholar] [CrossRef]
- Kousar, B.; Bano, A.; Khan, N. PGPR Modulation of Secondary Metabolites in Tomato Infested with Spodoptera litura. Agronomy 2020, 10, 778. [Google Scholar] [CrossRef]
- Kundu, A.; Mishra, S.; Vadassery, J. Spodoptera litura-mediated chemical defense is differentially modulated in older and younger systemic leaves of Solanum lycopersicum. Planta 2018, 248, 981–997. [Google Scholar] [CrossRef] [PubMed]
- López-Gresa, M.P.; Payá, C.; Rodrigo, I.; Bellés, J.M.; Barceló, S.; Hae Choi, Y.; Verpoorte, R.; Lisón, P. Effect of Benzothiadiazole on the Metabolome of Tomato Plants Infected by Citrus Exocortis Viroid. Viruses 2019, 11, 437. [Google Scholar] [CrossRef] [PubMed]
- Shi, C.; Zhang, X.; Sun, Y.; Yang, M.; Song, K.; Zheng, Z.; Chen, Y.; Liu, X.; Jia, Z.; Dong, R.; et al. Antimicrobial Activity of Ferulic Acid against Cronobacter sakazakii and Possible Mechanism of Action. Foodborne Pathog. Dis. 2016, 13, 196–204. [Google Scholar] [CrossRef]
- Lima, V.N.; Oliveira-Tintino, C.D.M.; Santos, E.S.; Morais, L.P.; Tintino, S.R.; Freitas, T.S.; Geraldo, Y.S.; Pereira, R.L.S.; Cruz, R.P.; Menezes, I.R.A.; et al. Antimicrobial and enhancement of the antibiotic activity by phenolic compounds: Gallic acid, caffeic acid and pyrogallol. Microb. Pathog. 2016, 99, 56–61. [Google Scholar] [CrossRef]
- González-Hernández, A.I.; Llorens, E.; Agustí-Brisach, C.; Vicedo, B.; Yuste, T.; Cerveró, A.; Ledó, C.; García-Agustín, P.; Lapeña, L. Elucidating the mechanism of action of copper heptagluconate on the plant immune system against Pseudomonas syringae in tomato (Solanum lycopersicum L): Effect of Cu-heptagluconate against Pseudomonas syringae in tomato. Pest. Manag. Sci. 2018, 74, 2601–2607. [Google Scholar] [CrossRef] [PubMed]
- Aksoy, H.M.; Kaya, Y.; Ozturk, M.; Secgin, Z.; Onder, H.; Okumus, A. Pseudomonas putida—Induced response in phenolic profile of tomato seedlings (Solanum lycopersicum L.) infected by Clavibacter michiganensis subsp. michiganensis. Biol. Control 2017, 105, 6–12. [Google Scholar] [CrossRef]
- Scalschi, L.; Llorens, E.; García-Agustín, P.; Vicedo, B. Role of Jasmonic Acid Pathway in Tomato Plant-Pseudomonas syringae Interaction. Plants 2020, 9, 136. [Google Scholar] [CrossRef] [PubMed]



| Total Phenolics (µg/mL) | Young Plants | Old Plants | |
|---|---|---|---|
| Young Leaves | Young Leaves | Old Leaves | |
| Control | 27 ± 6 (a) | 20 ± 6 (a) | 44 ± 14 (a) |
| Infected | 48 ± 4 (a) | 35 ± 8 (a) | 70 ± 15 (a) |
| Peak Area (kCounts × s) | Young Plants | Old Plants | |
|---|---|---|---|
| Young Leaves | Young Leaves | Old Leaves | |
| Control | 687 ± 76 (a) | 1372 ± 26 (a) | 1090 ± 49 (a) |
| Infected | 3661 ± 123 (b) | 1867 ± 89 (a) | 1438 ± 44 (a) |
| Analyte | [M − H]− (m/z) |
|---|---|
| Benzoic acid | 121.0295 |
| Caffeic acid | 179.0350 |
| Ferulic acid 4-hydroxybenzoic acid | 193.0506 |
| 137.0244 | |
| Syringic acid | 197.0455 |
Publisher’s Note: MDPI stays neutral with regard to jurisdictional claims in published maps and institutional affiliations. |
© 2020 by the authors. Licensee MDPI, Basel, Switzerland. This article is an open access article distributed under the terms and conditions of the Creative Commons Attribution (CC BY) license (http://creativecommons.org/licenses/by/4.0/).
Share and Cite
Dadáková, K.; Heinrichová, T.; Lochman, J.; Kašparovský, T. Production of Defense Phenolics in Tomato Leaves of Different Age. Molecules 2020, 25, 4952. https://doi.org/10.3390/molecules25214952
Dadáková K, Heinrichová T, Lochman J, Kašparovský T. Production of Defense Phenolics in Tomato Leaves of Different Age. Molecules. 2020; 25(21):4952. https://doi.org/10.3390/molecules25214952
Chicago/Turabian StyleDadáková, Kateřina, Tereza Heinrichová, Jan Lochman, and Tomáš Kašparovský. 2020. "Production of Defense Phenolics in Tomato Leaves of Different Age" Molecules 25, no. 21: 4952. https://doi.org/10.3390/molecules25214952
APA StyleDadáková, K., Heinrichová, T., Lochman, J., & Kašparovský, T. (2020). Production of Defense Phenolics in Tomato Leaves of Different Age. Molecules, 25(21), 4952. https://doi.org/10.3390/molecules25214952

