Abstract
The original goal of this research was to study stereochemistry of selenium dihalides addition to cycloalkenes and properties of obtained products. Remarkable alkene-to-alkene and alkene-to-alkyne transfer reactions of selenium dibromide and PhSeBr were discovered during this research. The adducts of selenium dibromide with alkenes or cycloalkenes easily exchange SeBr2 with other unsaturated compounds, including acetylenes, at room temperature, in acetonitrile. Similar alkene-to-alkene and alkene-to-alkyne transfer reactions of the PhSeBr adducts with alkenes or cycloalkenes take place. The supposed reaction pathway includes the selenium group transfer from seleniranium species to alkenes or alkynes. It was found that the efficient SeBr2 and PhSeBr transfer reagents are Se(CH2CH2Br)2 and PhSeCH2CH2Br, which liberate ethylene, leading to a shift in equilibrium. The regioselective and stereoselective synthesis of bis(E-2-bromovinyl) selenides and unsymmetrical E-2-bromovinyl selenides was developed based on the SeBr2 and PhSeBr transfer reactions which proceeded with higher selectivity compared to analogous addition reactions of SeBr2 and PhSeBr to alkynes under the same conditions.
1. Introduction
Selenium is an essential trace element nutrient that functions as cofactor for glutathione peroxidase and certain forms of thioredoxin reductase in humans [1,2,3,4]. Organoselenium compounds exhibit various biological activities, including antitumor, antibacterial, antifungal, anti-inflammatory, and glutathione peroxidase-like actions [1,2,3,4,5,6,7,8,9]. Selenium-containing reagents and organoselenium compounds play an important role in modern organic synthesis [7,8,9,10,11,12,13,14]. Application of novel selenium-containing reagents which allow carrying out regioselective and stereoselective introduction of the selenium atom into organic molecules is an important function.
Efficient electrophilic selenium-containing reagents, selenium dichloride and dibromide, were first introduced in synthesis of organoselenium compounds in 2003 [15,16]. It has been demonstrated that selenium dichloride [17] and dibromide [15] (generated in situ from elemental selenium and sulfuryl chloride or bromine) can be successfully used for selective introduction of the selenium atom into organic molecules [15,16]. Since then, novel chemistry of selenium dihalides has been intensively developed [18,19,20,21,22,23,24,25,26,27,28,29,30,31,32,33,34,35,36,37,38,39,40,41,42,43,44,45,46,47,48,49,50,51,52,53,54,55].
The addition of selenium dichloride and dibromide to double bonds was studied in the reactions with divinyl sulfide [29,30,31], divinyl selenide [32,33,34,35,36], and divinyl sulfone [37,38,39,40,41], affording novel heterocyclic compounds. The transannular addition of selenium dihalides to cis,cis-cycloocta-1,5-diene gave 2,6-dihalo-9-selenabicyclo[3.3.1]nonanes in high yields [42,43,44]. The reactions of selenium dichloride with allyl and propargyl phenyl ethers afforded annulated products in high yields [45,46,47].
Recently we studied the addition of selenium halides to 1-alkenes 1a–1c [48,49]. It has been found that the reactions led to anti-Markovnikov adducts, bis(1-haloalk-2-yl) selenides 2a–2c and 3a–3c (kinetic products), which underwent rearrangement to thermodynamically stable Markovnikov adducts, bis(2-haloalkyl) selenides 4a–4c and 5a–5c (Scheme 1). The rearrangement was supposed to proceed via intermediate seleniranium species.
Scheme 1.
The reactions of selenium dihalides with 1-alkenes.
Stereoselectivity of the addition of selenium halides to unsaturated compounds has been basically studied for acetylenes [45,50,51,52,53,54,55,56]. The reactions of selenium dichloride and dibromide with acetylene occurred stereoselectively as anti-addition affording (E,E)-bis(2-halovinyl) selenides in high yields [50]. The addition of selenium dihalides to mono-substituted acetylenes, as a rule, proceeded in a regioselective and stereoselective mode, giving anti-Markovnikov products with (E)-stereochemistry [45,51,52].
In spite of sufficient progress in application of selenium dihalides in synthesis of organoselenium compounds [18,19,20,21,22,23,24,25,26,27,28,29,30,31,32,33,34,35,36,37,38,39,40,41,42,43,44,45,46,47,48,49,50,51,52,53,54,55], the stereochemistry of the addition of these novel electrophilic reagents to the double bond was not examined and required careful studying. Besides, the reactions of selenium dichloride and dibromide with cycloalkenes were not described in the literature. However, studying these reactions may make it possible to determine syn or anti process takes place on the addition of selenium dihalides to the double bond. We endeavored to study these reactions and stereochemistry of the addition.
2. Results and Discussion
We found that reactions of selenium dihalides with cycloalkenes 6a,b proceeded stereoselectively as anti-addition giving hitherto unknown trans,trans-bis(2-halocycloalkyl) selenides 7a,b and 8a,b in quantitative yields (Scheme 2).
Scheme 2.
Synthesis of compounds 7a,b and 8a,b and halogenated products 9a,b and 10a,b.
Favorable conditions for efficient chemoselective and stereoselective reaction consist in addition of selenium dichloride or dibromide to a solution of cycloalkenes 6a,b at −78 °C in methylene chloride or chloroform. These reactions can be carried out at room temperature; however, the selectivity was decreased in this case, and the formation of some by-products in 2–5% yields was observed.
The reliable evidence of the anti-addition could be obtained by X-ray studying the adducts of selenium dihalides with cycloalkenes. However, the selenides 7a,b and 8a,b are liquid substances. In order to obtain crystals suitable for X-ray analysis, the halogenation of selenides 7a,b and 8a,b, with bromine and sulfuryl chloride, was carried out. We found that the halogenation reaction occurred efficiently in hexane at 0 °C. Under these conditions, the reaction was accompanied by precipitation of the target products, which can be easily isolated.
Using this method, we obtained trans,trans-dihalo[bis(2-halocycloalkyl)]-λ4-selanes 9a,b and 10a,b in 96–99% yields (Scheme 2). The materials suitable for single-crystal X-ray diffraction were obtained from selanes 9a and 10a. The X-ray analysis of selanes 9a and 10a exhibited trans,trans-configuration (Figure 1). The structural assignment of trans,trans-configuration of selenides 7a,b and 8a,b was also proved by NMR spectroscopy, including NOESY experiments (see Supplementary Materials), which indicated trans-disposition of the protons in the group SeCH-CHCl (no cross-peaks between these protons were observed in 1H 2D NOESY spectra). Each of compounds 7a,b, 8a,b, 9a,b, and 10a,b has trans,trans-configuration and consist of two diastereomers (Scheme 2), which manifest in the NMR spectra. In the 13C-NMR spectra of these compounds, every carbon atom appears as two close signals which correspond to two diastereomers.
Figure 1.
ORTEP molecular structure of selanes 9a and 10a (50% thermal ellipsoid probability).
We failed to obtain pure products from the reaction of selenium dihalides and cyclooctene. We supposed that equilibrium may take place between starting compounds and the product in the reaction of selenium dibromide with cyclooctene or other alkenes. The reaction with cyclooctene was carried out in chloroform or methylene chloride, using a 1:2 ratio of the reagents, at room temperature. However, some amount of cyclooctene always remained in the reaction mixture, and the reaction was not accomplished to the end. Adding acetonitrile to the reaction mixture increased conversion and led to halogenation of the double bond, accompanied by the elemental selenium precipitation (Scheme 3). The selenium precipitation led to the shift of the equilibrium, and the formation of 1,2-dibromocyclooctane (11) (~40% yield) was observed. It was noted in [57] that the adduct of PhSeCl with cyclooctene was found to be relatively unstable and suffered decomposition over the course of several hours at room temperature.
Scheme 3.
The reaction of selenium dibromide with cyclooctene.
The anchimeric assistance effect, also known as neighboring-group participation, is usually considered mainly as a factor accelerating the rate of nucleophilic substitution reaction. In the present study, we are facing the new property of this effect, consisting in discovery of remarkable selenium dibromide and organylselenenylbromide transfer reactions.
Mixing compounds 5a–5c or 8a,b (or their solutions) with alkene or alkyne leads to the formation of new adducts of selenium dibromide. Possible options of the alkene-to-alkene transfer reactions of selenium dibromide are presented in the Scheme 4.
Scheme 4.
The alkene-to-alkene transfer reactions of selenium dibromide.
The selenides 5a–5c and 8a,b are believed to exist in equilibrium with seleniranium cations and the transfer reactions proceed via these intermediate species. The driving force for the generation of seleniranium cations is high anchimeric assistance effect of the selenium atom. It was found that this effect is more than one order of magnitude greater than the effect of the sulfur atom [42]. The anchimeric assistance effects of selenium and sulfur atoms have been quantitatively estimated based on the determination of the absolute and relative rates of nucleophilic substitution of chlorine in 2,6-dichloro-9-selena- and -thiabicyclo[3.3.1]nonanes obtained by the transannular addition of selenium or sulfur dichloride to cis,cis-1,5-cyclooctadiene [42].
We found that a useful reagent to carry out the selenium dibromide transfer reaction is bis(2-bromoethyl) selenide (12). The reactions of selenide 12 with 1-alkenes 1a,c or cyclohexene (a 1:2 molar ratio of selenide 12 and the alkene) were monitored by NMR spectroscopy (Scheme 5). The reagents were mixed in CDCl3 solution and closed NMR tubes were left at room temperature. The 1H and 13C-NMR spectra of the samples were recorded at regular intervals. In the case of cyclohexene, a molar ratio of the compounds 12:13:8b was 34:51:15 after 10 days. The appearance of the intensive signal of ethylene (5.36 ppm) is noteworthy. The complete conversion of 12 was observed after ~1 month with the formation of compounds 13 and 8b in approximately equimolar ratio. The reaction of selenide 12 with 1-hexene was faster. The molar ratio of the compounds 12:14a:5a was 18:50:32 after four days, and the complete conversion of 12 was observed after two weeks.
Scheme 5.
The 1H-NMR monitoring of the alkene-to-alkene transfer reactions of SeBr2.
Alkynes were involved in the selenium dibromide transfer reactions. The reactions of selenide 12 with 1-hexyne and 3-hexyne (a 1:2 molar ratio of selenide 12 and the alkyne) were also monitored by NMR spectroscopy at room temperature, using CDCl3 solutions in closed NMR tubes (Scheme 6). The reactions led to unsymmetrical selenides 15a,b and 16a,b. The complete conversion of selenide 12 was observed after ~15 days in the reaction with 3-hexyne (~90% yield of selenide 16a). For the same period of time, the conversion of compound 12 was 60% (~55% yield of selenide 15a) in the reaction with 1-hexyne.
Scheme 6.
Synthesis of unsymmetrical selenides 15a,b and 16a,b.
We found that the transfer reactions are considerably accelerated by using acetonitrile as a solvent. Acetonitrile is a polar aprotic solvent with a high dielectric constant (~38), exhibiting the ability to accelerate ionic reactions. The reactions of selenide 12 with terminal (1-hexyne and 1-heptyne) and internal (3-hexyne and 4-octyne) alkynes were carried out in acetonitrile in closed flasks, using a 1:3 molar ratio of selenide 12 and the alkyne (Scheme 6). The complete conversion of selenide 12 and the formation of products 16a,b in 91–93% yield were observed in the reactions with internal alkynes (3-hexyne or 4-octyne) after overnight stirring (14 h) at room temperature. In the case of terminal alkynes (1-hexyne and 1-heptyne), the reactions gave compound 15a,b in 90–92% yield after 30 h of stirring at room temperature.
With the goal to purify the product, selenide 16b was subjected to column chromatography (Al2O3, hexane → hexane/chloroform 4:1). However, instead of compound 16b, hydroxyl derivative 17 was isolated in 70% yield (Scheme 7). Obviously, the bromine atom in compound 16b was substituted by the hydroxyl group due to traces of moisture on the alumina. It is worth noting that the bromine atom in the 2-bromoethylselenide group is very reactive with respect to nucleophilic substitution due to high anchimeric assistance effect of the selenium atom [42].
Scheme 7.
Synthesis of compounds 17 and 18.
Taking into account that selenides containing 2-bromoethyl moiety may decompose on purification by column chromatography, the bromine atom was substituted by methoxy group in compound 15a by reaction with methanol in the presence of NaHCO3 at room temperature (Scheme 7). The target product, (1E)-1-bromo-2-[(2-methoxyethyl)selanyl]hex-1-ene (18), was isolated in 71% yield by column chromatography (Al2O3, hexane → hexane/chloroform 9:1). The reactions (Scheme 6 and Scheme 7) demonstrate the possibility for selective preparation of unsymmetrical selenides of the type 15a,b–18 based on selenium dibromide transfer reactions.
The reaction of selenide 12 with 4-octyne (a 1:2 molar ratio) was also monitored by NMR spectroscopy at room temperature, using CD3CN solution in a closed NMR tube. The decrease of the content of starting selenide 12 with proportional increasing the contents of compound 16b and bis[(E)-2-bromo-1-propyl-1-pentenyl] selenide (19b) was observed. The formation of symmetrical selenide 19b occurred by the reaction of compound 16b with 4-octyne. After 145 h, the molar ratio of the compounds 12:16b:19b was 34:51:15 (see Supplementary Materials).
When the reactions were carried out in open-air flasks, there was a better possibility for ethylene evolution compared to closed NMR tubes, and the reactions proceeded faster in the open-air flasks. The use of excess alkyne with respect to bis(2-bromoethyl) selenide was also useful for shifting the equilibrium. When the reaction of selenide 12 with 4-octyne (a 1:3.3 molar ratio) was carried out in a closed flask in acetonitrile at room temperature, pure selenide 19b was obtained in quantitative yield in 90 h (Figure 2).
Figure 2.
The 1H-NMR monitoring of the 16b and 19b formation from selenide 12 in MeCN.
When the flasks were equipped with a tube containing drying agent (CaCl2) in order to allow ethylene releasing without moisture access in the flask, the complete conversion of 12 in the reaction with internal alkynes was observed after overnight stirring, and pure divinyl selenides 19a,b were obtained in quantitative yields (Scheme 8).
Scheme 8.
The alkene-to-alkyne transfer reactions of selenium dibromide.
In the case of 1-hexyne, 40 h stirring at room temperature was required in order to complete the reaction and to produce selenide 20 in a quantitative yield (Scheme 8). The reaction occurred in a regioselective and stereoselective mode affording anti-Markovnikov product of (E,E)-stereochemistry.
The fastest version of these reactions consisted in carrying out the process with inert gas bubbling (argon or nitrogen) into the mixture, in order to remove ethylene. The reactions of selenide 12 with excess internal alkynes (3-hexyne and 4-octyne) in acetonitrile were accomplished in 1 h, and the reaction with 1-hexyne was completed in 2 h at room temperature. However, the yields (90–96%) and purity (90–95%) of the crude products 19a,b and 20 were slightly lower compared to those achieved by reactions proceeding in flasks (Scheme 8).
We also studied the direct reactions of selenium dibromide with 3-hexyne and 4-octyne under the same conditions as in Scheme 8. These reactions proceeded in acetonitrile faster than the reactions of compound 12 with 3-hexyne and 4-octyne but less selectively and the formation of some by-products was observed. Changing acetonitrile for methylene chloride as a solvent and decreasing temperature of the reaction to 0 °C allowed to increase the selectivity of the reactions of selenium dibromide with 3-hexyne and 4-octyne and to obtain pure products 19a,b in near quantitative yields.
We supposed that similar transfer reactions may also occur with addition products of organylselenenyl bromides to alkenes. We obtained 2-bromoethyl, 2-bromocyclopentyl and 2-bromocyclohexyl phenyl selenides 21–23 by addition of phenylselenenyl bromide to ethylene, cyclopentene and cyclohexene (Scheme 9) and studied the PhSeBr transfer reactions of these reagents with some alkenes, cycloalkenes, and alkynes. Indeed, compounds 21–23 participated in the phenylselenenyl bromide transfer reactions, which proceeded smoothly at room temperature in acetonitrile. Preliminary results demonstrate that the PhSeBr transfer reactions occur faster compared to the SeBr2 transfer reactions with the same alkenes or alkynes under the same conditions.
Scheme 9.
Synthesis of compounds 21–23.
The reactions of selenide 21 with excess 1-hexyne, 3-hexyne, and 4-octyne were carried out by stirring the reagents in acetonitrile overnight at room temperature in the flasks equipped with a tube containing a drying agent (CaCl2). The reactions proceeded in a stereoselective mode, as anti-addition giving products with (E)-stereochemistry 24 and 25a,b in quantitative yields (Scheme 10). The regioselective formation of anti-Markovnikov adduct 24 was observed in the reaction with 1-hexyne. The addition of PhSeBr to 1-hexyne under the same conditions in acetonitrile was less selective compared to the PhSeBr transfer reaction giving some by-products (5–7%) along with the target compound 24.
Scheme 10.
The alkene-to-alkyne transfer reactions of PhSeBr.
Surprisingly, adduct 22 can also serve as the efficient PhSeBr transfer reagent liberating cyclopentene (bp 44 °C), which is evaporated during 40 h stirring (Scheme 10).
The alkene-to-alkene PhSeBr transfer reactions also occurred easily at room temperature in acetonitrile. Examples of the alkene-to-alkene PhSeBr transfer (the reactions of selenide 21 with cycloalkenes and 1-hexene) are presented in Scheme 11. The reactions (Scheme 10 and Scheme 11) proceeded very fast (~1 h) when inert gas (argon or nitrogen) was slowly bubbled into the mixture in order to remove ethylene.
Scheme 11.
The alkene-to-alkene transfer reactions of PhSeBr.
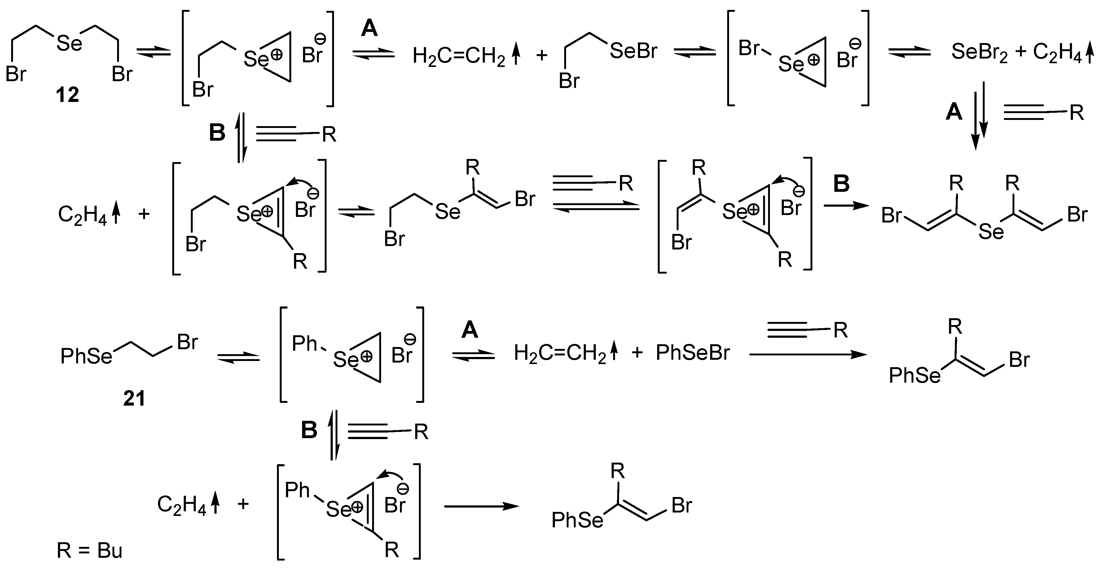
Two possible pathways of the SeBr2 or PhSeBr transfer reactions can be discussed. If the selenides containing the 2-bromoethyl moiety exist in some equilibrium with the starting compounds, generated SeBr2 or PhSeBr may add to other unsaturated compound (pathway A is depicted in Scheme 12 on the example of compounds 12, 21, and 1-hexyne). Another reaction pathway is based on the assumption that the intermediates involved in the transfer reactions are seleniranium species (pathway B, Scheme 12).
Scheme 12.
The possible pathways (A and B) of the alkene-to-alkyne transfer reactions of SeBr2 and PhSeBr on the example of reactions of compounds 12 and 21 with 1-hexyne.
Seleniranium species have been discussed for a long time as reactive intermediates in addition reactions of selenium-centered electrophiles to the double bond [57,58,59,60,61,62,63,64,65,66,67,68,69,70,71,72,73,74]. Some of them have been detected or isolated [57,58,59,71,72,73,74]. Recently, Poleschner and Seppelt isolated and fully characterized series of moderately stable seleniranium and telluriranium salts [73]. The seleniranium ions have been found to play a key role in the process of chirality transfer in asymmetric synthesis reactions studied by Wirth, Santi, Back, and others [60,61,62,63,64,65,66,67]. Wirth and co-workers have postulated facile alkene-to-alkene transfer of selenenium cations in the asymmetric reactions [60,63]. In the reports of Russian scientists [58,59], the enthalpic barrier for seleniranium ion–alkene transfer has been computationally evaluated and found to be considerably lower compared to that of thiiranium ion–alkene transfer. Denmark and co-workers have experimentally observed direct selenium group transfer from phenyl- and butylseleniranium ions to alkenes [57]. The transfer occurred instantaneously at low temperature (−70 °C) in these experiments. We think that the SeBr2 and PhSeBr transfer reactions are more likely to follow the pathway B, taking into account the ease of the selenium group transfer from seleniranium species to unsaturated bonds. Regiochemistry and stereochemistry of the SeBr2 and PhSeBr transfer reactions are determined by the formation of seleniranium species. For example, in the case of monosubstituted acetylene (e.g., 1-hexyne), the attack of bromide anion occurs at the unsubstituted carbon atom of the seleniranium cation leading to anti-Markovnikov products (Scheme 12, pathway B). The formation of seleniranium species also determines the reaction course as anti-addition.
3. Materials and Methods
3.1. General Information
X-ray diffraction experiments were carried out on a Bruker D8 Venture Photon 100 CMOS diffractometer with Mo-Kα radiation (λ = 0.71073 Å). X-ray crystallographic data for compounds 9a (CCDC 1965943) and 10a (CCDC 1502244) are shown in Supplementary Materials. These data can be obtained free of charge via http://www.ccdc.cam.ac.uk/conts/retrieving.html. We recorded 1H (400.1 MHz) and 13C (100.6 MHz) NMR spectra on a Bruker DPX-400 spectrometer, in 5–10% solution in CDCl3. Of note, 1H and 13C chemical shifts (δ) are reported in parts per million (ppm), relative to the residual solvent peak of CDCl3 (δ = 7.27 and 77.00 ppm in 1H- and 13C-NMR, respectively). Mass spectra were recorded on a Shimadzu GCMS-QP5050A, with electron impact (EI) ionization, at 70 eV. Elemental analysis was performed on a Thermo Flash EA 1112 Elemental Analyzer (USA).
3.2. Synthesis of Compounds 7a,b–10a,b
trans,trans-Bis(2-chlorocyclopentyl) selenide (7a). Typical Procedure. A solution of selenium dichloride (2.5 mmol) in CH2Cl2 (20 mL) was added dropwise to a cooled (−78 °C) solution of cyclopentene (0.347 g, 5.1 mmol) in CH2Cl2 (30 mL). The mixture was stirred at −78 °C for 4 h and 1 h at room temperature. The solvent was removed on a rotary evaporator. The residue was dried in vacuum, giving the product as a yellowish oil. Yield: 0.715 g (quantitative). 1H-NMR (400.1 MHz, CDCl3): δ 1.70–1.92 (m, 4H, CH2), 1.98–2.17 (m, 4H, CH2), 2.41–2.55 (m, 4H, CH2), 3.58–3.64 (m, 2H, CHSe), 4.41–4.48 (m, 2H, CHCl). 13C-NMR (100.6 MHz, CDCl3): δ 22.25, 22.30 (CH2), 31.27, 31.61 (CH2), 34.81, 34.91 (CH2), 47.03 (CHSe, 1JC-Se = 69 Hz), 47.41 (CHSe, 1JC-Se = 65 Hz), 66.42, 66.60 (CHCl). Anal. Calcd for C10H16Cl2Se: C, 41.98; H, 5.64; Cl, 24.78; Se, 27.60. Found, %: C, 42.25; H, 5.83; Cl, 25.08; Se, 27.29.
trans,trans-Bis(2-chlorocyclohexyl) selenide (7b) was obtained as a yellowish oil (0.785 g) in quantitative yield from selenium dichloride and cyclohexene under the same conditions as compound 7a. 1H-NMR (400.1 MHz, CDCl3): δ 1.44–1.47 (m, 4H, CH2), 1.57–1.81 (m, 8H, CH2), 2.24–2.38 (m, 4H, CH2), 3.25–3.30 (m, 2H, CHSe), 4.23–4.30 (m, 2H, CHCl). 13C-NMR (100.6 MHz, CDCl3): 22.03 (CH2), 22.26 (CH2), 23.58 (CH2), 23.90 (CH2), 30.35 (CH2), 33.07 (CH2), 45.92 (CHSe, 1JC-Se = 66 Hz) 46.53 (CHSe, 1JC-Se = 69 Hz), 63.86 (CHCl), 64.45 (CHCl). Anal. Calcd for C12H20Cl2Se: C, 45.88; H, 6.42; Cl, 22.57; Se, 25.13. Found, %: C, 46.15; H, 6.61; Cl, 22.87; Se, 24.89.
trans,trans-Bis(2-bromocyclopentyl) selenide (8a) was obtained as a light yellow oil (0.938 g) in quantitative yield from selenium dibromide and cyclopentene under the same conditions as compound 7a. 1H-NMR (400.1 MHz, CDCl3): δ 1.76–1.91 (m, 4H, CH2), 1.96–2.07 (m, 2H, CH2), 2.11–2.18 (m, 2H, CH2), 2.43–2.59 (m, 4H, CH2), 3.67–3.77 (m, 2H, CHSe), 4.43–4.54 (m, 2H, CHBr). 13C-NMR (100.6 MHz, CDCl3): δ 22.39 (CH2), 22.45 (CH2), 31.22 (CH2), 31.53 (CH2), 35.27 (CH2), 35.41 (CH2), 47.74 (CHSe, 1JCSe = 67 Hz) 48.16 (CHSe, 1JCSe = 64 Hz), 57.18 (CHBr), 57.22 (CHBr). Anal. Calcd for C10H16Br2Se: C, 32.03; H, 4.30; Br, 42.62; Se, 21.08. Found, %: C, 31.85; H, 4.12; Br, 42.98; Se, 20.73.
trans,trans-Bis(2-bromocyclohexyl) selenide (8b) was obtained as a light yellow oil (1.008 g) in quantitative yield from selenium dibromide and cyclohexene under the same conditions as compound 7a. 1H-NMR (400.1 MHz, CDCl3): δ 1.49–1.57 (m, 6H, CH2), 1.74–1.79 (m, 4H, CH2), 1.89–1.93 (m, 2H, CH2), 2.29–2.43 (m, 4H, CH2), 3.38–3.41 (m, 2H, CHSe), 4.53–4.58 (m, 2H, CHBr). 13C-NMR (100.6 MHz, CDCl3): δ 22.41 (CH2), 23.36 (CH2), 23.57 (CH2), 30.37 (CH2), 32.90 (CH2), 46.65 (CHSe, 1JCSe = 66 Hz), 47.07 (CHSe, 1JCSe = 67 Hz), 57.73 (CHBr), 58.06 (CHBr). Anal. Calcd for C12H20Br2Se: C, 35.76; H, 5.00; Br, 39.65; Se, 19.59. Found, %: C, 35.48; H, 4.85; Br, 40.03; Se, 19.82.
trans,trans-Dichloro[bis(2-chlorocyclopentyl)]-λ4-selane (9a). A solution of sulfuryl chloride (0.27 g, 2 mmol) in hexane (10 mL) was added to a cooled to −0 °C solution of selenide 7a (0.572 g, 2 mmol) in hexane (15 mL) and the mixture was stirred at −0 °C for 8 h and allowed to warm to room temperature. The precipitate was filtered off and dried in vacuum to give the product as a white powder, mp = 114–115 °C. Yield: 0.685 g (96%). The crystals suitable for single-crystal X-ray diffraction were obtained by recrystallization from chloroform. 1H-NMR (400.1 MHz, CDCl3): δ 1.98–2.03 (m, 6H, CH2), 2.38–2.42 (m, 4H, CH2), 2.63–2.70 (m, 2H, CH2), 4.59–4.68 (m, 2H, CHSe), 4.98–4.99 (m, 2H, CHCl). 13C-NMR (100.6 MHz, CDCl3): δ 23.20 (CH2), 29.49 (CH2), 29.65 (CH2), 36.54 (CH2), 36.71 (CH2), 60.29 (CHCl), 60.35 (CHCl), 77.51 (CHSe), 78.07 (CHSe). Anal. Calcd for C10H16Cl4Se: C, 35.64; H, 4.52; Cl, 39.72; Se, 22.12. Found, %: C, 35.36; H, 4.33; Cl, 40.05; Se, 21.81.
trans,trans-Dichloro[bis(2-chlorocyclohexyl)]-λ4-selane (9b) was obtained in 96% yield under the same conditions as compound 9a as a white powder (0.739 g), mp = 133–135 °C. 1H-NMR (400.1 MHz, CDCl3): δ 1.39–1.49 (m, 4H, CH2), 1.76–1.84 (m, 3H, CH2), 1.85–1.93 (m, 3H, CH2), 2.04–2.16 (m, 1H, CH2), 2.29–2.33 (m, 1H, CH2), 2.40–2.44 (m, 2H, CH2), 2.47–2.55 (m, 1H, CH2), 2.85–2.88 (m, 1H, CH2), 4.24–4.36 (m, 2H, CHSe), 4.50–4.63 (m, 2H, CHCl). 13C-NMR (100.6 MHz, CDCl3): δ 25.22, 25.39 (CH2), 25.75, 25.97 (CH2), 30.24, 30.41 (CH2), 38.23, 38.60 (CH2), 58.67 (CHCl), 79.03 (CHSe). Anal. Calcd for C12H20Cl4Se: C, 37.43; H, 5.24; Cl, 36.83; Se, 20.51. Found, %: C, 37.34; H, 5.41; Cl, 37.18; Se, 20.87.
trans,trans-Dibromo[bis(2-bromocyclopentyl)]-λ4-selane (10a). A solution of bromine (0.32 g, 2 mmol) in hexane (10 mL) was added to a cooled to 0 °C solution of selenide 10a (0.75 g, 2 mmol) in hexane (15 mL), and the mixture was stirred at 0 °C for 4 h and allowed to warm to room temperature. The precipitate was filtered off and dried in vacuum, to give the product as a yellow powder, mp = 101–102 °C. Yield: 1.06 g (99%). The crystals suitable for single-crystal X-ray diffraction were obtained by recrystallization from chloroform. 1H-NMR (400.1 MHz, CDCl3): 2.03–2.06 (m, 4H, CH2), 2.21–2.23 (m, 2H, CH2), 2.46–2.54 (m, 4H, CH2), 2.70–2.73 (m, 2H, CH2), 4.65–4.74 (m, 2H, CHSe), 5.07–5.08 (m, 2H, CHBr). 13C-NMR (100.6 MHz, CDCl3): δ 23.71 (CH2), 23.80 (CH2), 30.66 (CH2), 30.95 (CH2), 37.73 (CH2), 38.00 (CH2), 50.50 (CHBr), 50.53 (CHBr), 75.34 (CHSe), 76.06 (CHSe). Anal. Calcd for C10H16Br4Se: C, 22.46; H, 3.02; Br, 59.76; Se, 14.76. Found, %: C, 22.18; H, 2.87; Br, 60.13; Se, 15.05.
trans,trans-Dibromo[bis(2-bromocyclohexyl)]-λ4-selane (10b) was obtained in 98% yield under the same conditions as compound 10a as a yellow powder (1.103 g), mp = 95–96 °C. 1H-NMR (400.1 MHz, CDCl3): δ 1.44–1.57 (m, 4H, CH2), 1.75–1.84 (m, 2H, CH2), 1.90–1.98 (m, 2H, CH2), 2.02–2.11 (m, 2H, CH2), 2.17–2.27 (m, 2H, CH2), 2.31–2.35 (m, 2H, CH2), 2.51–2.58 (m, 2H, CH2), 2.66–2.76 (m, 2H, CH2), 2.92–2.95 (m, 2H, CH2), 4.23–4.38 (m, 2H, CHSe), 4.75–4.87 (m, 2H, CHBr). 13C-NMR (100.6 MHz, CDCl3): δ 25.00 (CH2), 26.10 (CH2), 31.84, 31.96 (CH2), 39.18, 39.66 (CH2), 53.21, 55.37 (CHBr), 72.95, 75.41 (CHSe). Anal. Calcd for C12H20Br4Se: C, 25.61; H, 3.58; Br, 56.78; Se, 14.03. Found, %: C, 25.33; H, 3.39; Br, 57.19; Se, 13.82.
3.3. Synthesis of Compounds 17–26
(4E)-4-Bromo-5-[(2-hydroxyethyl)selanyl]oct-4-ene (17). A solution of 4-octyne (0.11 g, 1 mmol) in MeCN (1 mL) was added to a solution of selenide 12 (0.1 g, 0.34 mmol) in MeCN (1.5 mL), and the mixture was stirred in a 200 mL round-bottomed closed flask overnight (14 h) at room temperature. The solvent was removed by a rotary evaporator. The residue contained compounds 16b (0.117 g, 91% yield) and 19b in a 20:1 molar ratio (the NMR data). The residue was subjected to column chromatography (Al2O3, hexane → hexane/chloroform 4:1). Instead of compound 16b, hydroxyl derivative 17 (0.068 g, 70% yield based on compound 16b) was isolated as a colorless oil. 1H-NMR (400 MHz, CDCl3): δ 3.78–3.75 (m, 2H), 2.91–2.84 (m, 4H), 2.53–2.49 (m, 2H), 1.65–1.54 (m, 4H), 0.98–0.92 (m, 6H). 13C-NMR (100.6 MHz, CDCl3): δ: 129.50, 126.83, 61.62, 43.21, 40.32, 30.03, 21.88, 21.36, 13.52, 13.01. MS (EI): m/z (%) 314 (20) [M+·], 207 (9), 149 (9), 109 (50), 67 (100), 41 (64). Anal. Calcd. For C10H19BrOSe (314.12): C, 38.24; H, 6.10; Br, 25.44; Se, 25.14%. Found, %: C, 38.52; H, 5.98; Br, 25.19; Se, 24.87%.
(1E)-1-Bromo-2-[(2-methoxyethyl)selanyl]hex-1-ene (18). A solution of 1-hexyne (0.082 g, 1 mmol) in MeCN (1 mL) was added to a solution of selenide 12 (0.1 g, 0.34 mmol) in MeCN (1.5 mL), and the mixture was stirred in a 200 mL round-bottomed closed flask for 30 h at room temperature. The solvent was removed by a rotary evaporator. The residue contained compounds 15a (0.107 g, 90% yield) and unconverted selenide 12 in a 9:1 molar ratio (the NMR data). The residue was dissolved in chloroform (1 mL) and methanol (0.3 mL) and NaHCO3 (0.084 g, 1 mmol) were added. The mixture was stirred for 24 h at room temperature and then filtered; solvents were removed by a rotary evaporator. The residue was subjected to column chromatography (Al2O3, hexane → hexane/chloroform 9:1), giving compound 18 (0.065 g, 71% yield based on compound 15a) as a colorless oil. 1H-NMR (400 MHz, CDCl3): δ 6.33 (s, 1H) 3.63–3.59 (m, 2H), 3.38 s, 2.90–2.87 (m, 2H), 2.48–2.44 (m, 2H), 1.55–1.51 (m, 2H), 1.41–1.35 (m, 2H), 0.97–0.93 (m, 3H). 13C-NMR (100 MHz, CDCl3): δ 134.56, 103.64, 71.71, 58.67, 35.17, 29.81, 25.44, 22.16, 13.93. MS (EI): m/z (%) = 300 (20) [M+·], 242(10), 202 (22), 163 (33), 108 (21), 79 (57), 59 (100). Anal. Calcd. for C9H17BrOSe (300.09): C, 36.02; H, 5.71; Br, 26.63; Se, 26.31%. Found, %: C, 35.75; H, 5.56; Br, 26.39; Se, 26.11%.
Bis(E-2-bromo-1-ethyl-1-butenyl) selenide (19a). A solution of 3-hexyne (0.14 g, 1.7 mmol) in MeCN (1 mL) was added to a solution of selenide 12 (0.1 g, 0.34 mmol) in MeCN (1 mL). The mixture was stirred in a 100 mL round-bottomed flask equipped with a tube containing a drying agent (CaCl2) overnight (18 h) at room temperature. The solvent was removed by a rotary evaporator, and the residue was dried in vacuum, giving compound 19a (0.137 g) as a light-yellow oil in quantitative yield. 1H-NMR (400 MHz, CDCl3): δ 2.85 (q, J = 7.3 Hz, 4H), 2.41 (q, J = 7.3 Hz, 4H), 1.12 (t, J = 7.3 Hz, 6H), 1.07 (t, J = 7.3 Hz, 6H). 13C NMR (100 MHz, CDCl3): δ 129.84 (1JC-Se = 108.7 Hz), 129.49, 35.06 (2JC-Se = 10.6 Hz), 32.57, 13.42, 12.00. Anal. Calcd. For C12H20Br2Se (403.06): C, 35.76; H, 5.00; Br, 39.65; Se, 19.59%. Found: C, 36.04; H, 4.87; Br, 39.42; Se, 19.87%.
Bis(E-2-bromo-1-propyl-1-pentenyl) selenide (19b) was obtained in quantitative yield as a light-yellow oil (0.156 g) from 4-octyne and selenide 12 in acetonitrile under the same conditions as compound 19a. 1H-NMR (400 MHz, CDCl3): δ 2.83 (t, J = 7.5 Hz, 4H), 2.38 (t, J = 7.5 Hz, 4H), 1.64–1.53 (m, 8H), 0.95–0.90 (m, 12H). 13C-NMR (100 MHz, CDCl3): δ 129.79, 128.38, 43.04, 40.79, 21.89, 21.10, 13.56, 12.95. Anal. Calcd. For C16H28Br2Se (459.16): C, 41.85; H, 6.15; Br, 34.80; Se, 17.20%. Found: C, 42.14; H, 5.98; Br, 35.07; Se, 17.03%.
Bis[(1E)-1-bromohex-1-en-2-yl] selenide (20). A solution of 1-hexyne (0.137 g, 1.67 mmol) in MeCN (1 mL) was added to a solution of selenide 12 (0.065 g, 0.22 mmol) in MeCN (1 mL). The mixture was stirred in a 100 mL round-bottomed flask equipped with a tube containing a drying agent (CaCl2) for 40 h at room temperature. The solvent was removed by a rotary evaporator, and the residue was dried in vacuum, giving compound 20 (0.089 g) as a light-yellow oil in quantitative yield. 1H-NMR (400 MHz, CDCl3): δ 6.45 (s, 2H), 2.46–2.42 (m, 4H), 1.56–1.48 (m, 4H), 1.41–1.32 (m, 4H), 0.96–0.93 (m, 6H). 13C NMR (100 MHz, CDCl3): δ 134.97, 107.40, 34.77, 29.68, 22.12, 13.90. Anal. Calcd. for C12H20Br2Se (403.06): C, 35.76; H, 5.00; Br, 39.65; Se, 19.59%. Found, %: C, 35.91; H, 4.89; Br, 39.42; Se, 19.33%.
2-Bromoethyl phenyl selenide (21). Dry ethylene was bubbled to a flask containing CH2Cl2 (10 mL) with stirring for 10 min at room temperature. A solution of PhSeBr [(4 mmol), prepared from Ph2Se2 (0.624 g, 2 mmol) and bromine (0.320 g, 2 mmol) in CH2Cl2 (15 mL)] was added dropwise to the flask for 30 min with stirring. The ethylene bubbling (~30 mL/min) was continued during the PhSeBr addition and 40 min after the addition. The mixture was stirred additionally for 1 h at room temperature and filtered. The solvent was removed in vacuum, giving selenide 21 (1.046 g, 99% yield) as a light-yellow oil. 1H-NMR (400 MHz, CDCl3): δ 7.56–7.53 (m, 2H), 7.32–7.30 (m, 3H), 3.59–3.55 (m, 2H), 3.30–3.26 (m, 2H). 13C-NMR (100 MHz, CDCl3): δ 133.25, 129.20, 128.11, 127,57, 30.58, 28.55. Anal. Calcd. for C8H9BrSe (264.02): C, 36.39; H, 3.44; Br, 30.26; Se, 29.91%.
2-Bromocyclopentyl phenyl selenide (22). A solution of PhSeBr [(2 mmol), prepared from Ph2Se2 (0.312 g, 1 mmol) and bromine (0.16 g, 1 mmol) in CH2Cl2 (10 mL)] was added dropwise to a solution of cyclopentene (0.15 g, 2.2 mmol) in CH2Cl2 (10 mL), at such a rate that discoloration of the reaction mixture occurred after each drop. The mixture was stirred for 1 h at room temperature, and the solvent was removed on a rotary evaporator. The residue was dried in vacuum, giving the product as a light-yellow oil. Yield: 0.608 g (quantitative). 1H-NMR (400 MHz, CDCl3): δ 1.80–1.89 (m, 2H, CH2), 2.02–2.17 (m, 2H, CH2), 2.51–2.59 (m, 2H, CH2), 4.08–4.10 (m, 1H, CHSe), 4.50–4.51 (m, 1H, CHBr), 7.32–7.33 (m, 3H, CHAr), 7.57 (m, 2H, CHAr). 13C-NMR (100.6 MHz, CDCl3): δ 22.30 (CH2), 29.93 (CH2), 34.80 (CH2), 50.40 (CHSe, 1JC-Se = 65 Hz), 58.58 (CHBr), 127.49 (CHAr), 129.19 (CHAr), 131.36 (CHAr), 133.40 (CHAr). Anal. Calcd for C11H13BrSe: C, 43.45; H, 4.31; Br, 26.28; Se, 25.97. Found, %: C, 43.67; H, 4.49; Br, 26.48; Se, 26.21.
2-Bromocyclohexyl phenyl selenide (23) was obtained in quantitative yield as a light-yellow oil (0.636 g) from PhSeBr and cyclohexene in CH2Cl2 under the same conditions as compound 22. 1H-NMR (400.1 MHz, CDCl3): δ 1.52–1.67 (m, 3H, CH2), 1.81–1.85 (m, 2H, CH2), 1.96–1.97 (m, 1H, CH2), 2.39–2.47 (m, 2H, CH2), 3.73–3.74 (m, 1H, CHSe), 4.55 (m, 1H, CHBr), 7.27–7.33 (m, 3H, CHAr), 7.61–7.63 (m, 2H, CHAr). 13C-NMR (100.6 MHz, CDCl3): δ 22.32 (CH2), 22.38 (CH2), 23.14 (CH2), 29.05 (CH2), 29.08 (CH2), 29.09 (CH2), 32.30 (CH2), 32.33 (CH2), 48.90 (CHSe, 1JC,Se 64 Hz), 56.57 (CHBr), 127.57 (CHAr), 128.92 (CHAr), 131.16 (CHAr), 134.35 (CHAr). Anal. Calcd for C12H15BrSe: C, 45.31; H, 4.75; Br, 25.12; Se, 24.82. Found, %: C, 43.05; H, 4.93; Br, 24.86; Se, 25.09.
(1E)-1-Bromohex-1-en-2-yl phenyl selenide (24). A solution of 1-hexyne (0.091 g, 1.1 mmol) in MeCN (1 mL) was added to a solution of selenide 21 (0.073 g, 0.28 mmol) in MeCN (1 mL). The mixture was stirred in a 100 mL round-bottomed flask equipped with a tube containing a drying agent (CaCl2) for 30 h at room temperature. The solvent was removed by a rotary evaporator, and the residue was dried in vacuum, giving compound 24 (0.089 g) as a light-yellow oil in quantitative yield. 1H-NMR (400 MHz, CDCl3): δ 7.52–7.50 (m, 2H), 7.32–7.27 (m, 3H), 6.39 (s, 1H), 2.45–2.41 (m, 2H), 1.58–1.51 (m, 2H), 1.37–1.30 (m, 2H), 0.93–0.89 (m, 3H). 13C-NMR (100 MHz, CDCl3): δ 136.59, 133.58, 129.38, 129.02, 127.91, 105.98, 34.69, 29.78, 22.08, 13.88. Anal. Calcd. for C12H15BrSe (318.11): C, 45.31; H, 4.75; Br, 25.12; Se, 24.82%. Found, %: C, 45.17; H, 4.58; Br, 24.85; Se, 25.09%.
(3E)-4-Bromohex-3-en-3-yl phenyl selenide (25a). A solution of 3-hexyne (0.091 g, 1.1 mmol) in MeCN (1 mL) was added to a solution of selenide 21 (0.1 g, 0.38 mmol) in MeCN (1 mL). The mixture was stirred in a 100 mL round-bottomed flask equipped with a tube containing a drying agent (CaCl2) overnight (14 h) at room temperature. The solvent was removed by a rotary evaporator, and the residue was dried in vacuum, giving compound 25a (0.12 g) as a light-yellow oil in quantitative yield. 1H-NMR (400 MHz, CDCl3): δ 7.43–7.41 (m, 2H), 7.29–7.27 (m, 3H), 2.95–2.89 (m, 2H), 2.50–2.45 (m, 2H), 1.16–1.12 (m, 3H), 1.07–1.03 (m, 3H). 13C NMR (100 MHz, CDCl3): δ 131.99, 130.64, 130.62, 129.83, 129.23, 127.08, 35.37, 32.69, 13.48, 12.34. Anal. Calcd. for C12H15BrSe (318.11): C, 45.31; H, 4.75; Br, 25.12; Se, 24.82%. Found, %: C, 45.58; H, 4.61; Br, 25.31; Se, 25.11%.
(4E)-5-Bromooct-4-en-4-yl phenyl selenide (25b) was obtained in quantitative yield as a light-yellow oil (0.131 g) from 4-octyne and selenide 21 in acetonitrile under the same conditions as compound 25a. 1H-NMR (400 MHz, CDCl3): δ 7.43–7.41 (m, 2H), 7.29–7.27 (m, 3H), 2.93–2.89 (m, 2H), 2.45–2.41 (m, 2H), 1.67–1.53 (m, 4H), 0.96–0.92 (m, 3H), 0.90–0.86 (m, 3H). 13C-NMR (100 MHz, CDCl3): δ 132.11, 130.59, 129.50, 129.20, 129.15, 127.07, 43.30, 40.66, 21.86, 21.28, 13.44, 13.00. Anal. Calcd. for C14H19BrSe (346.16): C, 48.58; H, 5.53; Br, 23.08; Se, 22.81%. Found: C, 48.34; H, 5.38; Br, 22.81; Se, 23.04%.
The experiment under Ar. A solution of 4-octyne (0.11 g, 1 mmol) in MeCN (1 mL) was added to a solution of selenide 21 (0.066 g, 0.25 mmol) in MeCN (1 mL), and argon was bubbled into the mixture for 1 h. The solvent was removed by a rotary evaporator and the residue was dried in vacuum, giving compound 25b (0.084 g, 97% yield) as a light-yellow oil (~95% purity).
2-Bromohexyl phenyl selenide (26). A solution of 1-hexene (0.185 g, 2.2 mmol) in MeCN (1 mL) was added to a solution of selenide 21 (0.074 g, 0.28 mmol) in MeCN (1.5 mL), and the mixture was stirred in a 200 mL round-bottomed closed flask for 24 h at room temperature. The solvent was removed by a rotary evaporator. The residue (0.089 g) was dried in vacuum, giving the product 25 (~92% purity) as a light-yellow oil. Yield: 92%. 1H-NMR (400 MHz, CDCl3): δ 7.55–7.53 (m, 2H), 7.31–7.27 (m, 3H), 4.21–4.14 (m, 1H), 3.58–3.53 (m, 1H), 3.35–3.29 (m, 1H), 2.16–2.08 (m, 1H), 1.84–1.75 (m, 1H), 1.54–1.27(m, 4H), 0.93–0.89 (m, 3H). 13C-NMR (100 MHz, CDCl3): δ 133.21, 129.26, 128.10, 127.49, 55.34, 36.97, 36.35, 29.26, 21.94, 13.87.
4. Conclusions
Remarkable alkene-to-alkene and alkene-to-alkyne transfer reactions of selenium dibromide and PhSeBr have been discovered. The compounds containing the 2-bromoethylselanyl moiety easily exchange SeBr2 or RSeBr with alkenes, cycloalkenes, and alkynes at room temperature. The efficient SeBr2 and PhSeBr transfer reagents are bis(2-bromoethyl) selenide and 2-bromoethyl phenyl selenide, which liberate ethylene, leading to a shift in equilibrium. The favorable conditions include the use of acetonitrile as a solvent and removing the formed alkene (e.g., ethylene or cyclopentene). The regioselective and stereoselective synthesis of E-2-bromovinyl selenides 15–20, 24, and 25a,b in up to quantitative yields was developed based on the SeBr2 and PhSeBr transfer reactions, which proceeded with higher selectivity compared to analogous addition reactions of SeBr2 and PhSeBr to alkynes under the same conditions. High selectivity, quantitative yields, mild-reaction conditions, and very simple work-up procedures are important features of this approach.
The reactions of selenium dihalides with cycloalkenes proceed stereoselectively as anti-addition, affording hitherto unknown trans,trans-bis(2-halocycloalkyl) selenides 7a,b and 8a,b in quantitative yields (Scheme 2). The reliable evidence of the anti-addition has been obtained by X-ray analysis of dihalo[bis(2-halocycloalkyl)]-λ4-selanes 9a and 10a, as well as by NMR spectroscopy studies of selenides 7a,b and 8a,b.
Supplementary Materials
The following are available online, synthesis of compounds 12–16a,b and monitoring data, Figure S1, examples of 1H- and 13C-NMR spectra of the obtained compounds, X-ray crystallographic data of compounds 9a and 10a.
Author Contributions
Conceptualization and the paper preparation, V.A.P.; methodology and data curation, M.V.M. (Maxim V. Musalov); research experiments, E.O.K. and A.G.K.; supervision, S.V.A.; investigation, V.A.Y. and M.V.M. (Maria V. Musalova); X-ray studies, T.N.B.; NMR experiments, A.I.A. All authors have read and agreed to the published version of the manuscript.
Funding
This research was funded by Russian Science Foundation, grant number 18-13-00372.
Acknowledgments
The authors thank Baikal Analytical Center SB RAS for providing the instrumental equipment for structural investigations.
Conflicts of Interest
The authors declare no conflict of interest.
References
- Braga, A.L.; Rafique, J. Synthesis of biologically relevant small molecules containing selenium. Part B. Anti-infective and anticancer compounds. In Patai’s Chemistry of Functional Groups. Organic Selenium and Tellurium Compounds; Rappoport, Z., Ed.; John Wiley and Sons: Chichester, UK, 2013; Volume 4, pp. 1053–1117. [Google Scholar]
- Gladyshev, V.N.; Hatfield, D.L. Selenocysteine-Containing Proteins in Mammals. J. Biomed. Sci. 1999, 6, 151–160. [Google Scholar] [CrossRef] [PubMed]
- Nogueira, C.W.; Zeni, G.; Rocha, J.B.T. Organoselenium and Organotellurium Compounds: Toxicology and Pharmacology. Chem. Rev. 2004, 104, 6255–6286. [Google Scholar] [CrossRef] [PubMed]
- Mugesh, G.; du Mont, W.W.; Sies, H. Chemistry of Biologically Important Synthetic Organoselenium Compounds. Chem. Rev. 2001, 101, 2125–2180. [Google Scholar] [CrossRef] [PubMed]
- Tiekink, E.R.T. Therapeutic potential of selenium and tellurium compounds: Opportunities yet unrealized. Dalton Trans. 2012, 41, 6390–6395. [Google Scholar] [CrossRef]
- Potapov, V.A. Organic diselenides, ditellurides, polyselenides and polytellurides. Synthesis and reactions. In Patai’s Chemistry of Functional Groups. Organic Selenium and Tellurium Compounds; Rappoport, Z., Ed.; John Wiley and Sons: Chichester, UK, 2013; Volume 4, pp. 765–843. [Google Scholar]
- Organoselenium Chemistry: Synthesis and Reactions; Wirth, T., Ed.; Wiley-VCH: Weinheim, Germany, 2012. [Google Scholar]
- Organoselenium Chemistry: Between Synthesis and Biochemistry; Santi, C., Ed.; Bentham Science Publishers: Sharjah, UAE, 2014. [Google Scholar]
- Selenium and Tellurium Chemistry. From Small Molecules to Biomolecules and Materials; Woollins, J.D., Laitinen, R.S., Eds.; Springer: Heidelberg, Germany, 2011. [Google Scholar]
- Wirth, T. Organoselenium Chemistry—Modern Developments in Organic Synthesis, Topics in Current Chemistry; 208; Springer: Heidelberg, Germany, 2000. [Google Scholar]
- Nicolaou, K.C.; Petasi, N.A. Selenium in Natural Products Synthesis; CIS: Philadelphia, PA, USA, 1984. [Google Scholar]
- Paulmier, C. Selenium Reagents and Intermediates in Organic Synthesis; Pergamon: Oxford, UK, 1986. [Google Scholar]
- Back, T.G. Organoselenium Chemistry: A Practical Approach; Oxford University Press: Oxford, UK, 1999. [Google Scholar]
- Potapov, V.A.; Trofimov, B.A. 1-(Organosulfanyl)-, 1-(organoselanyl)-, and 1-(organotellanyl)alk-1-ynes. Sci. Synth. 2005, 24, 957–1005. [Google Scholar] [CrossRef]
- Potapov, V.A.; Amosova, S.V.; Belozerova, O.V.; Albanov, A.I.; Yarosh, O.G.; Voronkov, M.G. Synthesis of 3,6-dihalo-4,4-dimethyl-1,4-selenasilafulvenes. Chem. Heterocycl. Compd. 2003, 39, 549–550. [Google Scholar] [CrossRef]
- Potapov, V.A.; Amosova, S.V. New Methods for Preparation of Organoselenium and Organotellurium Compounds from Elemental Chalcogens. Russ. J. Org. Chem. 2003, 39, 1373–1380. [Google Scholar] [CrossRef]
- Maaninen, A.; Chivers, T.; Parvez, M.; Pietikäinen, J.; Laitinen, R.S. Syntheses of THF Solutions of SeX2 (X = Cl, Br) and a New Route to Selenium Sulfides SenS8-n (n = 1–5): X-ray Crystal Structures of SeCl2(tht)2 and SeCl2·tmtu. Inorg. Chem. 1999, 38, 4093–4097. [Google Scholar] [CrossRef]
- Braverman, S.; Cherkinsky, M.; Kalendar, Y.; Jana, R.; Sprecher, M.; Goldberg, I. Synthesis of water-soluble vinyl selenides and their high glutathione peroxidase (GPx)-like antioxidant activity. Synthesis 2014, 46, 119–125. [Google Scholar] [CrossRef]
- Sarbu, L.G.; Hopf, H.; Jones, P.G.; Birsa, L.M. Selenium halide-induced bridge formation in [2.2]paracyclophanes. Beilstein J. Org. Chem. 2014, 10, 2550–2555. [Google Scholar] [CrossRef]
- Arsenyan, P. A simple method for the preparation of selenopheno[3,2-b] and [2,3-b]thiophenes. Tetrahedron Lett. 2014, 55, 2527–2529. [Google Scholar] [CrossRef]
- Potapov, V.A.; Musalov, M.V.; Musalova, M.V.; Amosova, S.V. Regioselective Synthesis of Bis[(2,3-dihydro-1-benzofuran-2-yl)methyl]selenide. Russ. J. Org. Chem. 2014, 50, 1702–1703. [Google Scholar]
- Arsenyan, P.; Petrenko, A.; Belyakov, S. Improved conditions for the synthesis and transformations of aminomethyl selenophenothiophenes. Tetrahedron 2015, 71, 2226–2233. [Google Scholar] [CrossRef]
- Musalov, M.V.; Musalova, M.V.; Potapov, V.A.; Albanov, A.I.; Amosova, S.V. Methoxyselenation of Cyclopentene with Selenium Dibromide. Russ. J. Org. Chem. 2015, 51, 1662–1663. [Google Scholar] [CrossRef]
- Musalov, M.V.; Musalova, M.V.; Potapov, V.A.; Amosova, S.V. Effective Synthesis of 2,2′-[Selanediylbis(cycloalkyl)] Diacetates. Russ. J. Org. Chem. 2016, 52, 1207–1208. [Google Scholar] [CrossRef]
- Potapov, V.A.; Musalov, M.V.; Kurkutov, E.O.; Musalova, M.V.; Albanov, A.I.; Amosova, S.V. Synthesis of New Functionalized Organoselenium Compounds by Heterocyclization of Selenium Dihalides with Pent-4-en-1-ol. Russ. J. Org. Chem. 2016, 52, 339–342. [Google Scholar] [CrossRef]
- Volkova, Y.M.; Makarov, A.Y.; Zikirin, S.B.; Genaev, A.M.; Bagryanskaya, I.Y.; Zibarev, A.V. 3,1,2,4-Benzothiaselenadiazine and related heterocycles. Mendeleev Commun. 2017, 27, 19–22. [Google Scholar] [CrossRef]
- Potapov, V.A.; Musalov, M.V.; Musalova, M.V.; Amosova, S.V. Recent Advances in Organochalcogen Synthesis Based on Reactions of Chalcogen Halides with Alkynes and Alkenes. Curr. Org. Chem. 2016, 20, 136–145. [Google Scholar] [CrossRef]
- Musalov, M.V.; Potapov, V.A. Selenium dihalides: New possibilities for the synthesis of selenium-containing heterocycles. Chem. Heterocycl. Comp. 2017, 53, 150–152. [Google Scholar] [CrossRef]
- Amosova, S.V.; Penzik, M.V.; Albanov, A.I.; Potapov, V.A. The reaction of selenium dichloride with divinyl sulfide. J. Organomet. Chem. 2009, 694, 3369–3372. [Google Scholar] [CrossRef]
- Amosova, S.V.; Penzik, M.V.; Albanov, A.I.; Potapov, V.A. Addition of selenium dibromide to divinyl sulfide: Spontaneous rearrangement of 2,6-dibromo-1,4-thiaselenane to 5-bromo-2-bromomethyl-1,3-thiaselenolane. Tetrahedron Lett. 2009, 50, 306–308. [Google Scholar] [CrossRef]
- Amosova, S.V.; Penzik, M.V.; Albanov, A.I.; Potapov, V.A. Synthesis of 2,6-Dichloro-1,4-thiaselenane from Divinyl Sulfide and Selenium Dichloride. Russ. J. Org. Chem. 2009, 45, 1271–1272. [Google Scholar] [CrossRef]
- Potapov, V.A.; Amosova, S.V.; Volkova, K.A.; Penzik, M.V.; Albanov, A.I. Reactions of selenium dichloride and dibromide with divinyl selenide: Synthesis of novel selenium heterocycles and rearrangement of 2,6-dihalo-1,4-diselenanes. Tetrahedron Lett. 2010, 51, 89–92. [Google Scholar] [CrossRef]
- Potapov, V.A.; Shagun, V.A.; Penzik, M.V.; Amosova, S.V. Quantum chemical studies of the reaction of selenium dichloride with divinyl sulfide and comparison with experimental results. J. Organomet. Chem. 2010, 695, 1603–1609. [Google Scholar] [CrossRef]
- Potapov, V.A.; Volkova, K.A.; Penzik, M.V.; Albanov, A.I.; Amosova, S.V. Expedient Procedure for Preparation of 2-Chloromethyl-1,3-diselenol. Russ. J. Gen. Chem. 2009, 79, 1225. [Google Scholar] [CrossRef]
- Potapov, V.A.; Volkova, K.A.; Penzik, M.V.; Albanov, A.I.; Amosova, S.V. Reaction of Selenium Dichloride with Divinyl Selenide. Russ. J. Org. Chem. 2008, 44, 1556–1557. [Google Scholar] [CrossRef]
- Potapov, V.A.; Volkova, K.A.; Penzik, M.V.; Albanov, A.I.; Amosova, S.V. Synthesis of 4-Bromo-2-bromomethyl-1,3-diselenolane from Selenium Dibromide and Divinyl Selenide. Russ. J. Gen. Chem. 2008, 78, 1990–1991. [Google Scholar] [CrossRef]
- Potapov, V.A.; Kurkutov, E.O.; Musalov, M.V.; Amosova, S.V. Reactions of selenium dichloride and dibromide with divinyl sulfone: Synthesis of novel four- and five-membered selenium heterocycles. Tetrahedron Lett. 2010, 51, 5258. [Google Scholar] [CrossRef]
- Potapov, V.A.; Kurkutov, E.O.; Albanov, A.I.; Amosova, S.V. Regio- and Stereoselective Addition of Selenium Dibromide to Divinyl Sulfone. Russ. J. Org. Chem. 2008, 44, 1547–1548. [Google Scholar] [CrossRef]
- Potapov, V.A.; Kurkutov, E.O.; Amosova, S.V. Synthesis of a New Four-Membered Heterocycle by Reaction of Selenium Dichloride with Divinyl Sulfone. Russ. J. Org. Chem. 2010, 46, 1099–1100. [Google Scholar] [CrossRef]
- Potapov, V.A.; Kurkutov, E.O.; Amosova, S.V. Stereoselective Synthesis of 5-Bromo-2-bromomethyl-1,3-thiaselenolane 1,1-Dioxide by Addition of Selenium Dibromide to Divinyl Sulfone. Russ. J. Gen. Chem. 2010, 80, 1220–1221. [Google Scholar] [CrossRef]
- Rusakov, Y.Y.; Krivdin, L.B.; Potapov, V.A.; Penzik, M.V.; Amosova, S.V. Conformational analysis and diastereotopic assignments in the series of selenium-containing heterocycles by means of 77Se-1H spin-spin coupling constants: A combined theoretical and experimental study. Magn. Reson. Chem. 2011, 49, 389–398. [Google Scholar] [CrossRef] [PubMed]
- Accurso, A.A.; Cho, S.-H.; Amin, A.; Potapov, V.A.; Amosova, S.V.; Finn, M.G. Thia-, Aza-, and Selena[3.3.1]bicyclononane Dichlorides: Rates vs Internal Nucleophile in Anchimeric Assistance. J. Org. Chem. 2011, 76, 4392–4395. [Google Scholar] [CrossRef] [PubMed]
- Potapov, V.A.; Amosova, S.V.; Abramova, E.V.; Musalov, M.V.; Lyssenko, K.A.; Finn, M.G. 2,6-Dihalo-9-selenabicyclo[3.3.1]nonanes and their complexes with selenium dihalides: Synthesis and structural characterization. New J. Chem. 2015, 39, 8055–8059. [Google Scholar] [CrossRef]
- Abramova, E.V.; Sterkhova, I.V.; Molokeev, M.S.; Potapov, V.A.; Amosova, S.V. First coordination compounds of SeBr2 with selenium ligands: X-ray structural determination. Mendeleev Commun. 2016, 26, 532–534. [Google Scholar] [CrossRef]
- Potapov, V.A.; Musalov, M.V.; Amosova, S.V. Reactions of selenium dichloride and dibromide with unsaturated ethers. Annulation of 2,3-dihydro-1,4-oxaselenine to the benzene ring. Tetrahedron Lett. 2011, 52, 4606–4610. [Google Scholar] [CrossRef]
- Musalov, M.V.; Potapov, V.A.; Amosova, S.V. Reaction of selenium dichloride with allyl phenyl ether. Russ. J. Org. Chem. 2011, 47, 948–949. [Google Scholar] [CrossRef]
- Musalov, M.V.; Potapov, V.A.; Musalova, M.V.; Amosova, S.V. Annulation of phenyl propargyl ether with selenium dichloride. Russ. Chem. Bull. Int. Ed. 2010, 60, 767–768. [Google Scholar] [CrossRef]
- Musalov, M.V.; Potapov, V.A.; Kurkutov, E.O.; Musalova, M.V.; Khabibulina, A.G.; Amosova, S.V. Regioselective syntheses of bis-(2-haloalkyl) selenides and dihalo[bis-(2-haloalkyl)]-λ4-selanes from selenium dihalides and 1-alkenes, and the methoxyselenenylation reaction. Archivoc 2017, iii, 365–376. [Google Scholar]
- Kurkutov, E.O.; Musalov, M.V.; Potapov, V.A.; Larina, L.I.; Amosova, S.V. Rearrangements in methanolysis of bis(2-bromoalkyl)selenides. Russ. J. Org. Chem. 2016, 52, 186–191. [Google Scholar] [CrossRef]
- Musalov, M.V.; Potapov, V.A.; Musalova, M.V.; Amosova, S.V. Stereoselective synthesis of (E,E)-bis(2-halovinyl) selenides and its derivatives based on selenium halides and acetylene. Tetrahedron 2012, 68, 10567–10572. [Google Scholar] [CrossRef]
- Amosova, S.V.; Musalov, M.V.; Martynov, A.V.; Potapov, V.A. Regio- and Stereoselective Addition of Selenium Dihalogenides to Propargyl Halogenides. Russ. J. Gen. Chem. 2011, 81, 1239–1240. [Google Scholar] [CrossRef]
- Musalov, M.V.; Martynov, A.V.; Amosova, S.V.; Potapov, V.A. Stereo- and Regioselective Reaction of Selenium Dichloride and Dibromide with Ethynyl(trimethyl)silane. Russ. J. Org. Chem. 2012, 48, 1571–1573. [Google Scholar] [CrossRef]
- Potapov, V.A.; Musalov, M.V.; Musalova, M.V.; Rusakov, Y.Y.; Khabibulina, A.G.; Rusakova, I.L.; Amosova, S.V. Stereoselective synthesis of E-2-halovinyl tellanes, ditellanes and selenides based on tellurium tetrahalides, selenium dihalides and internal alkynes. J. Organomet. Chem. 2018, 867, 300–305. [Google Scholar] [CrossRef]
- Musalov, M.V.; Potapov, V.A.; Amosova, S.V. Reaction of selenium dichloride with trimethylpropargylsilane. Russ. Chem. Bull. Int. Ed. 2011, 60, 769–770. [Google Scholar] [CrossRef]
- Musalov, M.V.; Potapov, V.A.; Amosova, S.V. Reaction of Diselenium Dichloride with Acetylene. Russ. J. Org. Chem. 2011, 47, 1115–1116. [Google Scholar] [CrossRef]
- Musalov, M.V.; Potapov, V.A.; Amosova, S.V. Reaction of Selenium Tetrabromide with Acetylene. Russ. J. Gen. Chem. 2011, 81, 1241–1242. [Google Scholar] [CrossRef]
- Denmark, S.E.; Collins, W.R.; Cullen, M.D. Observation of Direct Sulfenium and Selenenium Group Transfer from Thiiranium and Seleniranium Ions to Alkenes. J. Am. Chem. Soc. 2009, 131, 3490–3492. [Google Scholar] [CrossRef]
- Borodkin, G.; Chernyak, E.I.; Shakirov, M.M.; Shubin, V.G. On the possibility of nonclassical interaction between episulfonium and episelenonium cycles and the double bond: 1,2,3,3,4,5,6,6-octamethyl-1,4-cyclohexadiene complexes with ArE+ (E = S, Se) electrophilic agents. Russ. J. Org. Chem. 1997, 33, 418–419. [Google Scholar]
- Borodkin, G.; Chernyak, E.I.; Shakirov, M.M.; Shubin, V.G. Possibility of nonclassic reaction between episulfonium and episelenonium cycles and a double bond: P-complexes of 1,2,3,3,4,5,6,6-octamethyl-1,4-cyclohexadiene with cations of RE+ type (E = S, Se). Russ. J. Org. Chem. 1998, 34, 1563–1568. [Google Scholar]
- Wirth, T.; Fragale, G.; Spichty, M. Mechanistic Course of the Asymmetric Methoxyselenenylation Reaction. J. Am. Chem. Soc. 1998, 120, 3376–3381. [Google Scholar] [CrossRef]
- Santi, C.; Fragale, G.; Wirth, T. Synthesis of a new chiral nitrogen containing diselenide as a precursor for selenium electrophiles. Tetrahedron Asymmetry 1998, 9, 3625–3628. [Google Scholar] [CrossRef]
- Back, T.G.; Moussa, Z. New Chiral Auxiliaries for Highly Stereoselective Asymmetric Methoxyselenenylations. Org. Lett. 2000, 2, 3007–3009. [Google Scholar] [CrossRef] [PubMed]
- Uehlin, L.; Fragale, G.; Wirth, T. New and Efficient Chiral Selenium Electrophiles. Chem. Eur. J. 2002, 8, 1125–1133. [Google Scholar] [CrossRef]
- Denmark, S.E.; Edwards, M.G. On the Mechanism of the Selenolactonization Reaction with Selenenyl Halides. J. Org. Chem. 2006, 71, 7293–7306. [Google Scholar] [CrossRef] [PubMed]
- Saito, M.; Nakayama, J. Product class 24: Seleniranes and derivatives. Sci. Synth. 2007, 39, 1023–1032. [Google Scholar]
- Santi, C.; Santoro, S.; Tomassini, C.; Pascolini, F.; Testaferri, L.; Tiecco, M. Enantioselective methoxyselenenylation of α,β-unsaturated aldehydes. Synlett 2009, 5, 743–746. [Google Scholar] [CrossRef]
- Denmark, S.E.; Kalyani, D.; Collins, W.R. Preparative and mechanistic studies toward the rational development of catalytic, enantioselective selenoetherification reactions. J. Am. Chem. Soc. 2010, 132, 15752–15765. [Google Scholar] [CrossRef]
- Santi, C.; Santoro, S.; Battistelli, B. Organoselenium compounds as catalysts in nature and laboratory. Curr. Org. Chem. 2010, 14, 2442–2462. [Google Scholar] [CrossRef]
- Sancineto, L.; Mangiavacchi, F.; Tidei, C.; Bagnoli, L.; Marini, F.; Gioiello, A.; Scianowski, J.; Santi, C. Selenium-Catalyzed Oxacyclization of Alkenoic Acids and Alkenols. Asian J. Org. Chem. 2017, 6, 988–992. [Google Scholar] [CrossRef]
- Fiorito, S.; Epifano, F.; Preziuso, F.; Taddeo, V.A.; Santi, C.; Genovese, S. New insights into the seleniranium ion promoted cyclization of prenyl and propenylbenzene aryl ethers. Tetrahedron Lett. 2017, 58, 371–374. [Google Scholar] [CrossRef]
- Poleschner, H.; Seppelt, K. Selenirenium and Tellurirenium Ions. Angew. Chem. Int. Ed. 2008, 47, 6461–6464. [Google Scholar] [CrossRef] [PubMed]
- Poleschner, H.; Seppelt, K. XeF2/Fluoride Acceptors as Versatile One-Electron Oxidants. Angew. Chem. Int. Ed. 2013, 52, 12838–12842. [Google Scholar] [CrossRef] [PubMed]
- Poleschner, H.; Seppelt, K. Seleniranium and Telluriranium Salts. Chem. Eur. J. 2018, 24, 17155–17161. [Google Scholar] [CrossRef]
- Bock, J.; Daniliuc, C.G.; Bergander, K.; Mueck-Lichtenfeld, C.; Hennecke, U. Synthesis, structural characterization, and synthetic application of stable seleniranium ions. Org. Biomol. Chem. 2019, 17, 3181–3185. [Google Scholar] [CrossRef]
Sample Availability: Samples of the compounds are not available from the authors. |
© 2020 by the authors. Licensee MDPI, Basel, Switzerland. This article is an open access article distributed under the terms and conditions of the Creative Commons Attribution (CC BY) license (http://creativecommons.org/licenses/by/4.0/).













