Novel Anti-Aging Benzoquinone Derivatives from Onosma bracteatum Wall
Abstract
:1. Introduction
2. Results
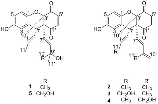
2.1. Isolation
2.2. Structure Elucidation
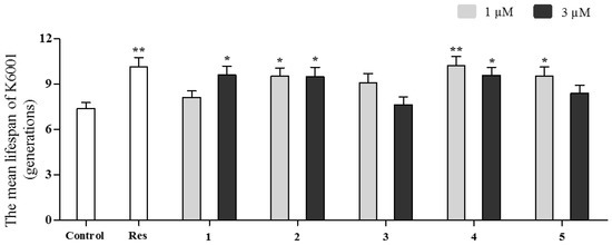
2.3. Anti-Aging Activity in K6001 Yeast Strain
3. Discussion
4. Materials and Methods
4.1. General
4.2. Plant Material
4.3. Extraction and Isolation
4.4. Lifespan Assay
4.5. Statistical Analysis
5. Conclusions
Supplementary Materials
Author Contributions
Funding
Acknowledgments
Conflicts of Interest
References
- Lopez-Otin, C.; Blasco, M.A.; Partridge, L.; Serrano, M.; Kroemer, G. The hallmarks of aging. Cell 2013, 153, 1194–1217. [Google Scholar] [CrossRef] [PubMed]
- Waltenberger, B.; Halabalaki, M.; Schwaiger, S.; Adamopoulos, N.; Allouche, N.; Fiebich, B.L.; Hermans, N.; Durr, P.J.; Kesternich, V.; Pieters, L.; et al. Novel natural products for healthy ageing from the mediterranean diet and food plants of other global sources-The MediHealth project. Molecules 2018, 23, 1097. [Google Scholar] [CrossRef] [PubMed]
- Rizvi, S.I.; Jha, R. Strategies for the discovery of anti-aging compounds. Exp. Opin. Drug Discov. 2011, 6, 89–102. [Google Scholar] [CrossRef] [PubMed]
- Weng, Y.; Xiang, L.; Matsuura, A.; Zhang, Y.; Huang, Q.; Qi, J. Ganodermasides A and B, two novel anti-aging ergosterols from spores of a medicinal mushroom Ganoderma lucidum on yeast via UTH1 gene. Bioorg. Med. Chem. 2010, 18, 999–1002. [Google Scholar] [CrossRef] [PubMed]
- Cao, X.; Sun, Y.; Lin, Y.; Pan, Y.; Farooq, U.; Xiang, L.; Qi, J. Antiaging of cucurbitane glycosides from fruits of Momordica charantia L. Oxid. Med. Cell. Longev. 2018, 2018, 1538632. [Google Scholar] [CrossRef] [PubMed]
- Sun, Y.; Lin, Y.; Cao, X.; Xiang, L.; Qi, J. Sterols from Mytilidae show anti-aging and neuroprotective effects via anti-oxidative activity. Int. J. Mol. Sci. 2014, 15, 21660–21673. [Google Scholar] [CrossRef] [PubMed]
- Linford, N.J.; Bilgir, C.; Ro, J.; Pletcher, S.D. Measurement of lifespan in Drosophila melanogaster. J. Vis. Exp. 2013, 71, e50068. [Google Scholar]
- Vanhooren, V.; Libert, C. The mouse as a model organism in aging research: usefulness, pitfalls and possibilities. Ageing Res. Rev. 2013, 12, 8–21. [Google Scholar] [CrossRef] [PubMed]
- Lin, K.; Dorman, J.B.; Rodan, A.; Kenyon, C. daf-16: An HNF-3/forkhead family member that can function to double the life-span of Caenorhabditis elegans. Science 1997, 278, 1319–1322. [Google Scholar] [CrossRef] [PubMed]
- Zimmermann, A.; Hofer, S.; Pendl, T.; Kainz, K.; Madeo, F.; Carmona-Gutierrez, D. Yeast as a tool to identify anti-aging compounds. FEMS Yeast Res. 2018, 18, foy020. [Google Scholar] [CrossRef] [PubMed]
- Jarolim, S.; Millen, J.; Heeren, G.; Laun, P.; Goldfarb, D.S.; Breitenbach, M. A novel assay for replicative lifespan in Saccharomyces cerevisiae. FEMS Yeast Res. 2004, 5, 169–177. [Google Scholar] [CrossRef] [PubMed]
- Kumar, N.; Kumar, R.; Kishore, K. Onosma L.: A review of phytochemistry and ethnopharmacology. Pharmacogn. Rev. 2013, 7, 140–151. [Google Scholar] [CrossRef] [PubMed]
- Dandiya, P.C.; Arora, R.B. A phytochemical and pharmacological study of Onosma bracteatum Wall. J. Am. Pharm. Assoc. 1957, 46, 111–114. [Google Scholar] [CrossRef]
- Walter, C.; Shinwari, Z.K.; Afzal, I.; Malik, R.N. Antibacterial activity in herbal products used in Pakistan. Pak. J. Bot. 2011, 43, 155–162. [Google Scholar]
- Imran, H.; Rahman, A.U.; Sohail, T.; Taqvi, S.I.H.; Yaqeen, Z. Onosma bracteatum wall: A potent analgesic agent. Bangladesh J. Med. Sci. 2018, 17, 36–41. [Google Scholar] [CrossRef]
- Menghani, E.; Sudhanshu, R.N.; Mittal, S. Free radical scavenging capacity and antioxidant activity of Onosma bracteatum. Int. J. Pharm. Res. Dev. 2011, 4, 16–20. [Google Scholar]
- Yamamura, S.; Simpol, L.R.; Ozawa, K.; Ohtani, K.; Otsuka, H.; Kasai, R.; Yamasaki, K.; Padolina, W.G. Antiallergic dimeric prenylbenzoquinones from Ehretia microphylla. Phytochemistry 1995, 39, 105–110. [Google Scholar] [CrossRef]
- Mehta, G.; Khan, T.B. A biomimetic total synthesis of allomicrophyllone: protective Diels–Alder reaction as a stratagem. Tetrahedron Lett. 2010, 51, 6590–6593. [Google Scholar] [CrossRef]
- Chien, Y.C.; Lin, C.H.; Chiang, M.Y.; Chang, H.S.; Liao, C.H.; Chen, I.S.; Peng, C.F.; Tsai, I.L. Secondary metabolites from the root of Ehretia longiflora and their biological activities. Phytochemistry 2012, 80, 50–57. [Google Scholar] [CrossRef] [PubMed]
Sample Availability: Samples of the compounds are not available from the authors. |




| Proton | 3 | 4 | 5 |
|---|---|---|---|
| 3 | 6.57 (1H, d, J =2.9) | 6.60 (1H, d, J = 2.8) | 6.59 (1H, d, J = 2.70) |
| 5 | 6.53 (1H, m) | 6.53 (1H, m) | 6.55 (1H, m) |
| 6 | 6.61 (1H, d, J = 8.6) | 6.62 (1H, d, J = 8.7) | 6.63 (1H, d, J = 8.6) |
| 7 | 3.83 (1H, d, J = 6.3) | 3.95 (1H, d, J = 6.3) | 3.78 (1H, d, J = 6.2) |
| 8 | 5.64 (1H, d, J = 6.3) | 5.95 (1H, d, J = 5.9) | 5.6 (1H, m) |
| 10 | 2.52 (1H, d, J = 19.2) 2.78 (1H, d, J = 19.2) | 2.63 (1H, d, J = 19.2) 2.84 (1H, d, J = 19.1) | 2.51 (1H, d, J = 19.2) 2.73 (1H, d, J = 19.1) |
| 11 | 1.69 (3H, s) | 4.05 (2H, s) | 1.69 (3H, s) |
| 5′ | 6.85 (1H, d, J = 10.5) | 6.85 (1H, d, J = 10.5) | 6.89 (1H, d, J = 10.4) |
| 6′ | 6.52 (1H, m) | 6.52 (1H, d, J = 10.5) | 6.52 (1H, d, J = 10.4) |
| 7′ | 5.68 (1H, d, J = 16.5) | 5.49 (1H, d, J = 16.1) | 5.80 (1H, d, J = 15.9) |
| 8′ | 6.18 (1H, d, J = 16.5) | 6.26 (1H, d, J = 16.0) | 5.62 (1H, d, J = 15.9) |
| 10′ | 5.13 (1H, s) 5.31 (1H, s) | 4.98 (1H, s) 5.05 (1H, s) | 3.41 (2H, m) |
| 11′ | 4.20 (2H, s) | 1.72 (3H, s) | 1.16 (3H, s) |
| No | 3 | 4 | 5 |
|---|---|---|---|
| 1 | 144.9 | 145.0 | 144.9 |
| 2 | 127.5 | 126.9 | 127.8 |
| 3 | 114.3 | 114.5 | 114.2 |
| 4 | 150.0 | 150.1 | 150.2 |
| 5 | 114.9 | 115.1 | 115.1 |
| 6 | 117.6 | 117.7 | 117.8 |
| 7 | 39.3 | 38.9 | 39.2 |
| 8 | 122.5 | 122.9 | 122.3 |
| 9 | 131.9 | 135.1 | 132.0 |
| 10 | 36.2 | 32.2 | 36.1 |
| 11 | 22.7 | 65.8 | 22.7 |
| 1′ | 195.4 | 195.1 | 195.0 |
| 2′ | 55.4 | 55.5 | 55.2 |
| 3′ | 80.6 | 80.5 | 80.6 |
| 4′ | 193.1 | 192.9 | 192.9 |
| 5′ | 139.4 | 139.2 | 140.0 |
| 6′ | 138.7 | 138.8 | 138.5 |
| 7′ | 124.6 | 123.5 | 125.3 |
| 8′ | 134.0 | 137.7 | 139.4 |
| 9′ | 143.8 | 140.7 | 73.5 |
| 10′ | 118.2 | 119.7 | 69.7 |
| 11′ | 62.9 | 18.3 | 24.0 |
© 2019 by the authors. Licensee MDPI, Basel, Switzerland. This article is an open access article distributed under the terms and conditions of the Creative Commons Attribution (CC BY) license (http://creativecommons.org/licenses/by/4.0/).
Share and Cite
Farooq, U.; Pan, Y.; Disasa, D.; Qi, J. Novel Anti-Aging Benzoquinone Derivatives from Onosma bracteatum Wall. Molecules 2019, 24, 1428. https://doi.org/10.3390/molecules24071428
Farooq U, Pan Y, Disasa D, Qi J. Novel Anti-Aging Benzoquinone Derivatives from Onosma bracteatum Wall. Molecules. 2019; 24(7):1428. https://doi.org/10.3390/molecules24071428
Chicago/Turabian StyleFarooq, Umer, Yanjun Pan, Dejene Disasa, and Jianhua Qi. 2019. "Novel Anti-Aging Benzoquinone Derivatives from Onosma bracteatum Wall" Molecules 24, no. 7: 1428. https://doi.org/10.3390/molecules24071428
APA StyleFarooq, U., Pan, Y., Disasa, D., & Qi, J. (2019). Novel Anti-Aging Benzoquinone Derivatives from Onosma bracteatum Wall. Molecules, 24(7), 1428. https://doi.org/10.3390/molecules24071428
