Three-Phase Partitioning for the Extraction and Purification of Polysaccharides from the Immunomodulatory Medicinal Mushroom Inonotus obliquus
Abstract
:1. Introduction
2. Results and Discussion
2.1. Optimization of TPP Conditions
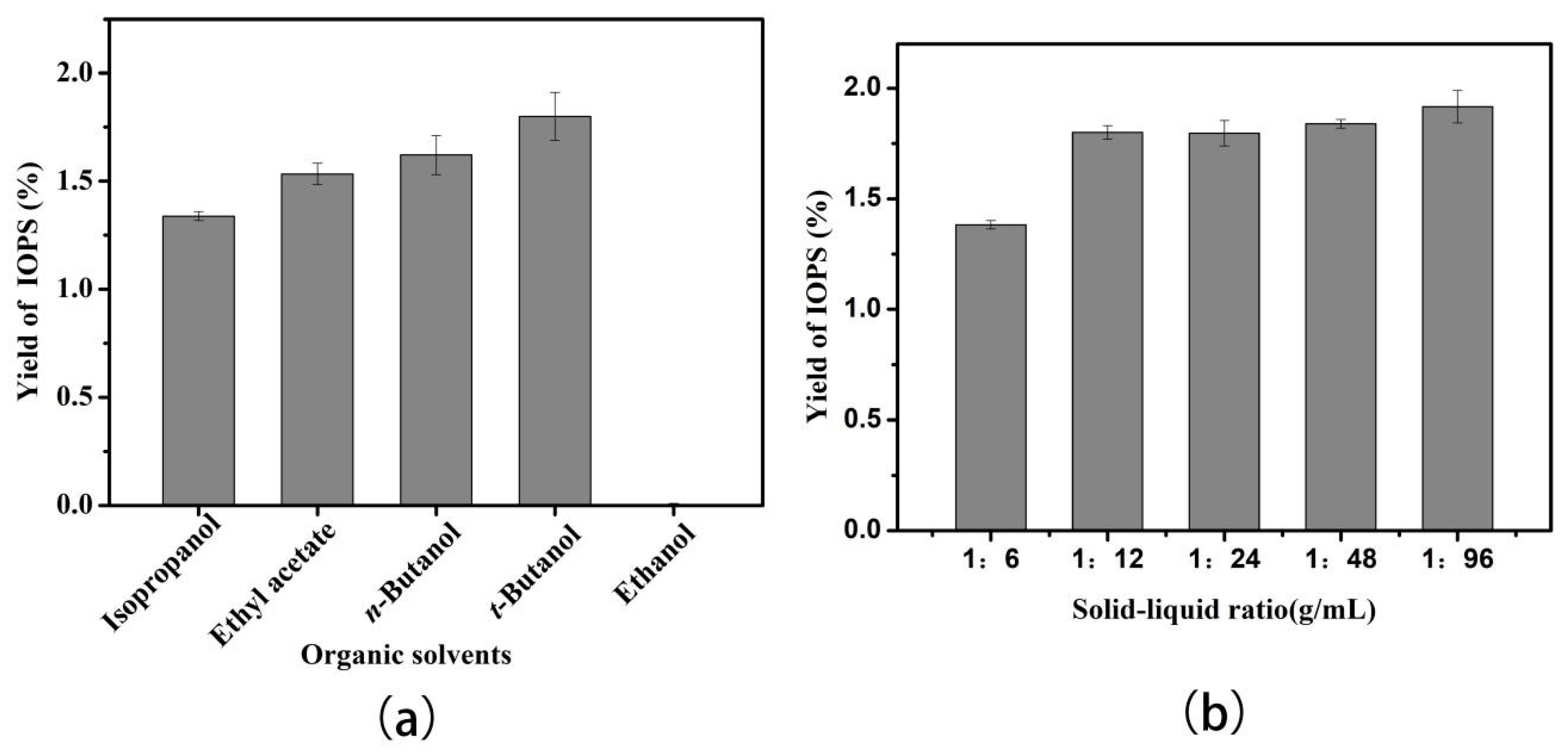
2.1.1. Effect of Organic Solvent and Solid-Liquid Ratio on the Extraction Process
2.1.2. Effects of Amount of t-Butanol, Mass Fraction of (NH4)2SO4, Temperature, pH and Time on the Extraction Process
2.2. Optimization of TPP Extraction Parameters by RSM
2.3. Physicochemical Properties and Bioactivities of IOPS In Vitro
2.3.1. Characterization of the Physicochemical Properties of IOPS
2.3.2. Antioxidant and Immunological Activities of IOPS In Vitro
3. Materials and Methods
3.1. Materials and Chemicals
3.2. Sample Pretreatment
3.3. TPP
3.4. Optimization of TPP Conditions by Response Surface Methodology (RSM)
3.5. Preliminary Study on the Polysaccharide Composition of IOPS
3.6. In Vitro Antioxidant Activity
3.6.1. The DPPH Assay
3.6.2. Ferric Reducing Ability of Plasma (FRAP) Assay
3.6.3. Trolox Equivalent Antioxidant Capacity (TEAC) Assay
3.7. H. Determination of Nitric Oxide (NO) Released by RAW264.7 Macrophages
3.8. Statistical Analysis
4. Conclusions
Author Contributions
Funding
Conflicts of Interest
References
- Kirk, P.; Cannon, P.F. Dictionary of Fungi; Cannon, P.F., Minter, D., Minter, D.W., Stalpers, J.A., Eds.; CAB International: Oxfordshire, UK, 2013. [Google Scholar]
- Song, F.Q.; Liu, Y.; Kong, X.S.; Chang, W.; Song, G. Progress on understanding the anticancer mechanisms of medicinal mushroom: Inonotus obliquus. Asian Pac. J. Cancer Prev. 2013, 14, 1571–1578. [Google Scholar] [CrossRef] [PubMed]
- Taji, S.; Yamada, T.; Wada, S.I.; Tokuda, H.; Tanaka, R. Lanostane-type triterpenoids from the sclerotia of Inonotus obliquus possessing anti-tumor promoting activity. Eur. J. Med. Chem. 2008, 43, 2373–2379. [Google Scholar] [CrossRef] [PubMed]
- Cui, Y.; Kim, D.S.; Park, K.C. Antioxidant effect of Inonotus obliquus. J. Ethnopharmacol. 2005, 96, 79–85. [Google Scholar] [CrossRef] [PubMed]
- Staniszewska, J.; Szymański, M.; Ignatowicz, E. Antitumor and immunomodulatory activity of Inonotus obliquus. Herba Pol. 2017, 63, 48–58. [Google Scholar] [CrossRef]
- Yan, G.H.; Jin, G.Y.; Li, L.C.; Qin, X.Z.; Zheng, C.J.; Li, G.Z. Protective effects and mechanism of Inonotus obliquus on asthmatic mice. J. Chin. Mater. Med. 2011, 36, 1067–1070. [Google Scholar]
- Wei, W.; Zhong-Guang, Z.; Xu, L. Research progress of Inonotus obliquus relative with medicine. China Med. Equip. 2017, 14, 140–145. [Google Scholar]
- Wickens, A.P. Ageing and the free radical theory. Respir. Physiol 2001, 128, 379–391. [Google Scholar] [CrossRef]
- Huili, Z.; Song, Y.; Wei, K.; Ru, X.; Yu, L.I.; Hongsheng, L. Effect on cancer cell proliferation of polysaccharide extracted from Inonotus obliquus fruit bodies using ultrasound. Acta Edulis Fungi 2007, 10, 1–24. [Google Scholar]
- Dennison, C.; Lovrien, R. Three Phase Partitioning: Concentration and Purification of Proteins. Protein Expr. Purif. 1997, 11, 149. [Google Scholar] [CrossRef] [PubMed]
- Roy, I.; Sharma, A.; Gupta, M.N. Three-phase partitioning for simultaneous renaturation and partial purification of Aspergillus niger xylanase. BBA Proteins Proteom. 2004, 1698, 107–110. [Google Scholar] [CrossRef] [PubMed]
- Bayraktar, H.; Onal, S. Concentration and purification of alpha-galactosidase from watermelon (Citrullus vulgaris) by three phase partitioning. Sep. Purif. Technol. 2013, 118, 835–841. [Google Scholar] [CrossRef]
- Li, Z.; Jiang, F.; Li, Y.; Zhang, X.; Tan, T. Simultaneously concentrating and pretreating of microalgae Chlorella spp. by three-phase partitioning. Bioresour. Technol. 2013, 149, 286–291. [Google Scholar] [CrossRef] [PubMed]
- Sharma, A.; Gupta, M.N. Purification of pectinases by three-phase partitioning. Biotechnol. Lett. 2001, 23, 1625–1627. [Google Scholar] [CrossRef]
- Kulkarni, N.G.; Kar, J.R.; Singhal, R.S. Extraction of flaxseed oil: A comparative study of three-Phase partitioning and supercritical carbon dioxide using response surface methodology. Food Bioprocess Technol. 2017, 10, 940–948. [Google Scholar] [CrossRef]
- Mondal, K.; Sharma, A.; Gupta, M.N. Three phase partitioning of starch and its structural consequences. Carbohydr. Polym. 2004, 56, 355–359. [Google Scholar] [CrossRef]
- Sharma, A.; Mondal, K.; Gupta, M.N. Some studies on characterization of three phase partitioned chitosan. Carbohydr. Polym. 2003, 52, 433–438. [Google Scholar] [CrossRef]
- Sharma, A.; Gupta, M.N. Three phase partitioning of carbohydrate polymers: separation and purification of alginates. Carbohydr. Polym. 2002, 48, 391–395. [Google Scholar] [CrossRef]
- De Oliveira Coimbra, C.G.; Lopes, C.E.; Calazans, G.M.T. Three-phase partitioning of hydrolyzed levan. Bioresour. Technol. 2010, 101, 4725–4728. [Google Scholar] [CrossRef] [PubMed]
- Tan, Z.J.; Wang, C.Y.; Yi, Y.J.; Wang, H.Y.; Zhou, W.L.; Tan, S.Y.; Li, F.F. Three phase partitioning for simultaneous purification of aloe polysaccharide and protein using a single-step extraction. Process Biochem. 2015, 50, 482–486. [Google Scholar] [CrossRef]
- Yan, J.K.; Wang, Y.Y.; Qiu, W.Y.; Shao, N. Three-phase partitioning for efficient extraction and separation of polysaccharides from Corbicula fluminea. Carbohydr. Polym. 2017, 163, 10–19. [Google Scholar] [CrossRef] [PubMed]
- Wang, Y.Y.; Qiu, W.Y.; Wang, Z.B.; Ma, H.L.; Yan, J.K. Extraction and characterization of anti-oxidative polysaccharide-protein complexes from Corbicula fluminea through three-phase partitioning. RSC Adv. 2017, 7, 11067–11075. [Google Scholar] [CrossRef]
- Wei, S.H.; Qian, W.; Meng, N.; Zhu, B.; Zhou, Q.; Li, Q. Preparation of β-Glucosidase from Bitter Almond by Three-phase Partitioning. Fine Chem. 2016, 33, 530–535. [Google Scholar]
- Narayan, A.V.; Madhusudhan, M.C.; Raghavarao, K.S. Extraction and purification of Ipomoea peroxidase employing three-phase partitioning. Appl. Biochem. Biotechnol. 2008, 151, 263–272. [Google Scholar] [CrossRef] [PubMed]
- Garg, R.; Thorat, B.N. Nattokinase purification by three phase partitioning and impact of t-butanol on freeze drying. Sep. Purif. Technol. 2014, 131, 19–26. [Google Scholar] [CrossRef]
- Yan, J.K.; Wang, Y.Y.; Qiu, W.Y.; Wang, Z.B.; Ma, H. Ultrasound synergized with three-phase partitioning for extraction and separation of Corbicula fluminea polysaccharides and possible relevant mechanisms. Ultrason. Sonochem. 2017, 40, 128–134. [Google Scholar] [CrossRef] [PubMed]
- Gagaoua, M.; Boucherba, N.; Bouanane-Darenfed, A.; Ziane, F.; Nait-Rabah, S.; Hafid, K.; Boudechicha, H.R. Three-phase partitioning as an efficient method for the purification and recovery of ficin from Mediterranean fig (Ficus carica L.) latex. Sep. Purif. Technol. 2014, 132, 461–467. [Google Scholar] [CrossRef]
- Mondal, K.; Sharma, A.; Gupta, M.N. Macroaffinity ligand-facilitated three-phase partitioning for purification of glucoamylase and pullulanase using alginate. Protein Expr. Purif. 2003, 28, 190–195. [Google Scholar] [CrossRef]
- Kunamneni, A.; Singh, S. Response surface optimization of enzymatic hydrolysis of maize starch for higher glucose production. Biochem. Eng. J. 2006, 27, 179–190. [Google Scholar] [CrossRef]
- Coimbra, M.A.; Fernando, G.; António, S.B.; Delgadillo, I. Fourier transform infrared spectroscopy and chemometric analysis of white wine polysaccharide extracts. J. Agric. Food Chem. 2002, 50, 3405–3411. [Google Scholar] [CrossRef] [PubMed]
- Zhang, J.S.; Tang, Q.J.; Zhou, C.Y.; Jia, W.; Silva, L.D.; Nguyen, L.D.; Reutter, W.; Fan, F. GLIS, a bioactive proteoglycan fraction from Ganoderma lucidum, displays anti-tumour activity by increasing both humoral and cellular immune response. Life Sci. 2010, 87, 628–637. [Google Scholar] [CrossRef] [PubMed]
- Sharma, A.; Sharma, S.; Gupta, M.N. Purification of alkaline phosphatase from chicken intestine by three-phase partitioning and use of phenyl-Sepharose 6B in the batch mode. Bioseparation 2000, 9, 155–161. [Google Scholar] [CrossRef] [PubMed]
- Zhang, M.; Cui, S.W.; Cheung, P.C.K.; Wang, Q. Antitumor polysaccharides from mushrooms: a review on their isolation process, structural characteristics and antitumor activity. Trends Food Sci. Technol. 2007, 18, 4–19. [Google Scholar] [CrossRef]
- Yang, R.Z.; Zhang, J.S.; Tang, Q.J.; Pan, Y.J. High performance anion exchange chromatography method to determine the monosaccharide composition of polysaccharide. Edible Fungi China 2005, 24, 42–44. [Google Scholar]
- Davis, R.; Mauer, L.J. Fourier transform infrared (FT-IR) spectroscopy: a rapid tool for detection and analysis of foodborne pathogenic bacteria. Curr. Res. 2010, 203, 9–15. [Google Scholar]
- Bondet, V.; Brand-Williams, W.; Berset, C. Kinetics and mechanisms of antioxidant activity using the DPPH free radical method. Food Sci. Technol. 1997, 30, 609–615. [Google Scholar]
- Benzie, I.F.; Strain, J.J. The ferric reducing ability of plasma (FRAP) as a measure of “antioxidant power”: The FRAP assay. J. Anal. Biochem. 1996, 239, 70–76. [Google Scholar] [CrossRef] [PubMed]
- Koleva, I.I.; Niederländer, H.A.G.; Van Beek, T.A. Application of ABTS radical cation for selective on-line detection of radical scavengers in HPLC eluates. Anal. Chem. 2001, 73, 3373. [Google Scholar] [CrossRef] [PubMed]
- Wu, N.; Wen, Z.S.; Xiang, X.W.; Huang, Y.N.; Gao, Y.; Qu, Y.L. Immunostimulative activity of low molecular weight chitosans in RAW 264.7 macrophages. Mar. Drugs 2015, 13, 6210–6225. [Google Scholar] [CrossRef] [PubMed]
- Avanzati, B.; Catalã, A. Partial purification of fatty-acid binding protein by ammonium sulphate fractionation. Arch. Int. Physiol. 1983, 91, 103–108. [Google Scholar] [CrossRef] [PubMed]
- Ling, H.; Jieping, H.; Xuehong, S.; Weizeng, F. Application of ammonium sulfate in water treatment process. Water Technol. 2013, 7, 48–50. [Google Scholar]
- Jia, W.; Feng, J.; Zhang, J.S.; Lin, C.C.; Wang, W.H.; Chen, H.G. Structural characteristics of the novel polysaccharide FVPA1 from winter culinary-medicinal mushroom, Flammulina velutipes (Agaricomycetes), capable of enhancing natural killer cell activity against K562 tumor cells. Int. J. Med. Mushrooms 2017, 19, 535–546. [Google Scholar] [CrossRef] [PubMed]
Sample Availability: Samples of the compounds are not available from the authors. |








| Source of Variance | Sum of Squares | DF a | Mean Square | F-Value | p-Value |
|---|---|---|---|---|---|
| Model | 0.439876 | 9 | 0.0488751 | 32.91013 | <0.0001 |
| A | 0.00045 | 1 | 0.00045 | 0.303008 | 0.5991 |
| B | 0.000616 | 1 | 0.0006157 | 0.414602 | 0.5402 |
| C | 0.001964 | 1 | 0.0019641 | 1.322553 | 0.2879 |
| AB | 0.000324 | 1 | 0.000324 | 0.218166 | 0.6546 |
| AC | 0.0004 | 1 | 0.0004 | 0.269341 | 0.6198 |
| BC | 0.0003 | 1 | 0.0003001 | 0.20209 | 0.6666 |
| A2 | 0.067558 | 1 | 0.0675583 | 45.49052 | 0.0003 |
| B2 | 0.250931 | 1 | 0.2509311 | 168.9649 | <0.0001 |
| C2 | 0.076877 | 1 | 0.076877 | 51.76525 | 0.0002 |
| Residual | 0.010396 | 7 | 0.0014851 | ||
| Lack of fit | 0.000821 | 3 | 0.0002737 | 0.114326 | 0.9471 |
| Pure error | 0.009575 | 4 | 0.0023937 | ||
| Cor. total | 0.450271 | 16 | |||
| R2 = 0.9769 | R2adj = 0.94722 | CV = 1.96 |
© 2019 by the authors. Licensee MDPI, Basel, Switzerland. This article is an open access article distributed under the terms and conditions of the Creative Commons Attribution (CC BY) license (http://creativecommons.org/licenses/by/4.0/).
Share and Cite
Liu, Z.; Yu, D.; Li, L.; Liu, X.; Zhang, H.; Sun, W.; Lin, C.-C.; Chen, J.; Chen, Z.; Wang, W.; et al. Three-Phase Partitioning for the Extraction and Purification of Polysaccharides from the Immunomodulatory Medicinal Mushroom Inonotus obliquus. Molecules 2019, 24, 403. https://doi.org/10.3390/molecules24030403
Liu Z, Yu D, Li L, Liu X, Zhang H, Sun W, Lin C-C, Chen J, Chen Z, Wang W, et al. Three-Phase Partitioning for the Extraction and Purification of Polysaccharides from the Immunomodulatory Medicinal Mushroom Inonotus obliquus. Molecules. 2019; 24(3):403. https://doi.org/10.3390/molecules24030403
Chicago/Turabian StyleLiu, Zhendong, Dongsheng Yu, Liang Li, Xiaoxiao Liu, Henan Zhang, Wenbo Sun, Chi-Chung Lin, Jiafu Chen, Zhi Chen, Wenhan Wang, and et al. 2019. "Three-Phase Partitioning for the Extraction and Purification of Polysaccharides from the Immunomodulatory Medicinal Mushroom Inonotus obliquus" Molecules 24, no. 3: 403. https://doi.org/10.3390/molecules24030403
APA StyleLiu, Z., Yu, D., Li, L., Liu, X., Zhang, H., Sun, W., Lin, C.-C., Chen, J., Chen, Z., Wang, W., & Jia, W. (2019). Three-Phase Partitioning for the Extraction and Purification of Polysaccharides from the Immunomodulatory Medicinal Mushroom Inonotus obliquus. Molecules, 24(3), 403. https://doi.org/10.3390/molecules24030403

