Next Article in Journal
The Emission of the Floral Scent of Four Osmanthus fragrans Cultivars in Response to Different Temperatures
Previous Article in Journal
Low-Dose Endotoxin Induces Late Preconditioning, Increases Peroxynitrite Formation, and Activates STAT3 in the Rat Heart
Previous Article in Special Issue
The Nitrilimine–Alkene Cycloaddition Regioselectivity Rationalized by Density Functional Theory Reactivity Indices
 
 
Due to scheduled maintenance work on our servers, there may be short service disruptions on this website between 11:00 and 12:00 CEST on March 28th.
Font Type:
Arial Georgia Verdana
Font Size:
Aa Aa Aa
Line Spacing:
Column Width:
Background:
Article

Theoretical Reactivity Study of Indol-4-Ones and Their Correlation with Antifungal Activity

by
María De los Ángeles Zermeño-Macías
1,
Marco Martín González-Chávez
2,*,
Francisco Méndez
3,*,
Rodolfo González-Chávez
2 and
Arlette Richaud
3
1
Posgrado en Ciencias Farmacobiológicas, Universidad Autónoma de San Luis Potosí, 78210 San Luis Potosí, Mexico
2
Facultad de Ciencias Químicas, Universidad Autónoma de San Luis Potosí, Av. Dr. Manuel Nava No. 6 Zona Universitaria, 78210 San Luis Potosí, Mexico
3
Departamento de Química, División de Ciencias Básicas e Ingeniería, Universidad Autónoma Metropolitana, Unidad Iztapalapa, 09340 Ciudad de México, Mexico
*
Authors to whom correspondence should be addressed.
Molecules 2017, 22(3), 427; https://doi.org/10.3390/molecules22030427
Submission received: 1 January 2017 / Accepted: 2 March 2017 / Published: 8 March 2017

Abstract

:
Chemical reactivity descriptors of indol-4-ones obtained via density functional theory (DFT) and hard–soft acid–base (HSAB) principle were calculated to prove their contribution in antifungal activity. Simple linear regression was made for global and local reactivity indexes. Results with global descriptors showed a strong relationship between antifungal activity vs. softness (S) (r = 0.98) for series I (6, 7ag), and for series II (8ag) vs. chemical potential (µ), electronegativity (χ) and electrophilicity (ω) (r = 0.86), p < 0.05. Condensed reactivity descriptors sk+, ωk for different fragments had strong relationships for series I and II (r = 0.98 and r = 0.92). Multiple linear regression was statistically significant for S (r = 0.98), η (r = 0.91), and µ/ω (r = 0.91) in series I. Molecular electrostatic potential maps (MEP) showed negative charge accumulation around oxygen of carbonyl group and positive accumulation around nitrogen. Fukui function isosurfaces showed that carbons around nitrogen are susceptible to electrophilic attack, whereas the carbon atoms of the carbonyl and phenyl groups are susceptible to nucleophilic attack for both series. The above suggest that global softness in conjunction with softness and electrophilicity of molecular fragments in enaminone systems and pyrrole rings contribute to antifungal activity of indol-4-ones.

Graphical Abstract

1. Introduction

Azole antifungal compounds have been used as therapeutic options for the treatment of systemic fungal infections. Mostly triazoles (fluconazole, etc.) and imidazoles (ketoconazole, etc.) [1,2] are used effectively against yeast and filamentous fungi. However, some etiologic agents have developed resistance by different mechanisms; moreover, azole compounds also present toxicity or side effects [2,3,4,5]. Consequently, some studies to discover new antifungal agents have been done [3,6].
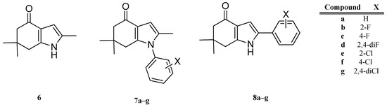
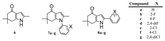
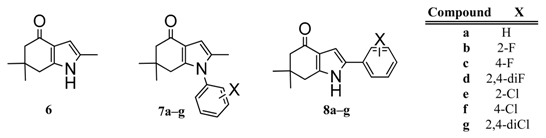
Recently, González et al. designed and synthesized a series of novel indol-4-one derivatives with 1- and 2-(2,4-substituted phenyl) side chains (Figure 1). These compounds were tested in vitro against eight human pathogenic filamentous fungus and yeast strains by determination of the minimal inhibitory concentration (MIC); as MIC decreased, the antifungal activity increased. Based on their results, they reported activity against Candida tropicalis, Candida guilliermondii and Candida parapsilosis at MIC values of 0.0316 mM (8 µg·mL−1) for compounds 8ag; and MIC values of 0.1014 mM (31.25 µg·mL−1) against Aspergillus fumigatus (Table 1) for compounds 7ag. A change in the position of the halophenyl regioisomers from N-1 to C-2 increased the antifungal activity. It was the first report about antifungal activity for these indol-4-one derivatives.
Density functional theory (DFT) and the hard–soft acid–base principle (HSAB) have been used to study the biological activity of some biomolecules. Fukui functions were used for understanding the reactivity of nitrogenous bases of DNA and RNA [7,8]; chemical hardness was used to study the dopamine drug–receptor interactions [9]; the relationship between different biological activity and chemical reactivity indices, such as electrophilicity, hardness, and electronegativity was used for testosterone derivatives and their biological activity [10,11]; the dipolar moment, ionization potential, electronic affinity, electronegativity, electrophilicity, and others showed the inhibitory activity of carbonic anhydrase [12]; quantum chemical descriptors were used to study protoporphyrinogen oxidase inhibitors [13,14]; Fukui functions, softness, and electrostatic potential were useful for an antituberculotic drug design [15]; hardness, electronegativity, softness and electrophilicity has been applied to study the toxicity in specific species [16]; different descriptors were used to study mosquito repellent [17]; parameters such as dipolar moment were used to study chemical radioactivity protector [18]; ionization potential and charge were used to study antioxidants [19]; other activities and chemical reactivity parameters have been used in the study of nonnucleoside HIV-1 reverse transcriptase inhibitors [20], histone deacetylase inhibitors [21], and anti-HIV-1 integrase [22]; anti-HIV activity vs. electronegativity, hardness, chemical power, and electrophilicity was evaluated [23,24]; and others [25,26]. Within the above lies the importance of understanding the biological activity in a particular molecular set [27] and therefore for rational drug design.
In this work we made a DFT-HSAB reactivity study of the indol-4-one derivatives 68 to understand which molecular fragments are essential for antifungal activity. The development of new antifungal drugs can be based on obtaining good relationships between DFT-HSAB reactivity descriptors and antifungal activity. Based on the biological activity results reported by González et al. [6], we classified the indol-4-one derivatives 68 into two series according to the structure and biological activity. Series I includes compounds 6 and 7ag, while series II includes compounds 8ag.

2. Theoretical Methods

The geometries of the molecules 6, 7ag and 8ag (Figure 1) were fully optimized at the B3LYP/6-311+G (d,p) level of theory using the Gaussian 09 program package [28]. For all stationary points, vibrational analyses were carried out. The ionization potential I = EN−1 − EN and the electronic affinity A = EN − EN + 1 were calculated at the geometry of the neutral species using the respective vertical energies EN, EN + 1, and EN − 1 of the systems with N, N + 1 and N − 1 electrons. The global reactivity indexes, chemical potential μ = 1 2 ( I + A ) , electronegativity χ = µ , hardness η = 1 2 ( I A ) , softness S = 1 / η and electrophilicity ω = χ 2 2 η [29,30,31], were calculated.
The local Fukui functions for nucleophilic f + ( r ) , electrophilic f ( r ) , and radical f 0 ( r ) attacks were calculated using Equations (1)–(3) [32].
f + ( r ) = ρ N + 1 ( r ) ρ N ( r )    Nucleophilic   attack
f ( r ) = ρ N ( r ) ρ N 1 ( r )    Electrophilic   attack
f 0 ( r ) = 1 2 [ ρ N + 1 ( r ) ρ N 1 ( r ) ]    Radical   attack
where ρ N + 1 ( r ) , ρ N ( r ) and ρ N 1 ( r ) are the electronic densities for the systems with N + 1, N and N − 1 electrons, respectively, calculated with the geometry of the neutral species.
The condensed Fukui functions were calculated using the charge of each atom q k instead of the electron density ρ   ( r ) (Equations (4)–(6)) [32,33,34,35]. The Hirshfeld population analysis scheme was used for the systems with N, N − 1 and N + 1 number of electrons. The condensed softness s k + = S f k + , s k o = S f k o and s k = S f k and condensed electrophilicity indexes ω k + = S ω k + , ω k o = ω f k o , ω k = ω f k were obtained. The local Fukui function isosurfaces were plotted with GaussView 5.0 [36].
Condensed Fukui functions:
f k + = q k ( N + 1 ) q k ( N )    Nucleophilic   attack
f k = q k ( N ) q k ( N 1 )    Electrophilic   attack
f k 0 = 1 2 ( q k ( N + 1 ) q k ( N 1 ) )    Radical   attack
where q k is the electronic population value of kth atom in the molecule.

3. Structure-Activity Relationship (SAR) Statistical Procedure

A simple and multiple regression analysis were made for the antifungal activities and the global and condensed reactivity indexes for each series of compounds. The Pearson and Determination Coefficients were obtained using SAS software [37] considering p < 0.05 as a significant value; the analysis was made for each time of testing: 24 and 48 h for yeast; and 48 and 72 h for filamentous fungus.

4. Results and Discussion

4.1. Global Reactivity Parameters

Table 2 shows the values of the calculated global chemical reactivity parameters for the 15 indol-4-ones compounds. The chemical reactivity values vary with the molecular structure and the substituent. According to the structural homology, the analyzed compounds were divided into two series: series I that includes compounds 6 and 7ag (N-1 substitution with phenyl moieties) and series II that includes compounds 8a to 8g (C-2 substitution with phenyl moieties). Table 2 shows that for series I compound 6 has the highest hardness value (4.18 eV) and 7g has the lowest hardness value (3.80 eV); the difference is 0.38 eV. In contrast, for series II the highest hardness value (3.84 eV) corresponds to compound 8c and the lowest value (3.73 eV) to 8f and the difference is 0.11 eV. According to the maximum hardness principle, compounds 7g and 8f (8g and 8d also) are more reactive than 6 and 8c, respectively. The electronegativity equalization principle assures in the course of a chemical reaction energetic stabilization through equalization of middle HOMO-LUMO levels among ligand and receptor active molecular structures [38]. Table 2 reflects that compounds 7g in series I and 8g in series II present the highest electronegativity values (3.90 eV and 3.87 eV, respectively). The electrophilicity index ω value for the same compounds (7g 2.00 eV and 8g 2.01 eV), reflects the ability of 7g and 8g to behave as the stronger electrophiles on each series. The relative change between the maximum and minimum values of ω in the Series I of Table 2max − ωminmax) = 0.21 is larger than the corresponding change of 0.17 for series II. This indicates that the capacity of series I to accept electrons (electrophilic character) is more sensitive to the specific substituent than series II.
Simple linear regression of the minimum inhibitory concentration (MIC) vs. global reactivity parameters for both series was obtained (Table 3 and Table 4). The Pearson coefficient was positive and the relationships were directly proportional: when the antifungal activity decreased, the global reactivity values increased. Then, when the global reactivity of those 15 indol-4-ones decreases, the higher antifungal activity is obtained. The best statistically significant relationships (the Pearson coefficient p < 0.05) between both variables were obtained for yeast in series I: global hardness for C. glabrata 48 h (rη = 0.98), C. krusei 24 h (rη = 0.95), C. tropicalis 24 h (rη = 0.95), C. guilliermondii 24 (rη = 0.96) and 48 h (rη = 0.94), and fungi: A. fumigatus 72 h (rη = 0.79) (Table 3. This means a strong linear relationship between hardness and biological activity (96%, r2 values until 0.96), with only 4% of variance of activity left to explain after taking into account the hardness in a linear way. For series II, global electronegativity and global electrophilicity index had a higher Pearson coefficient for C. albicans 48 h and C. glabrata 24 h (rχ,ω = 0.98) and C. tropicalis 48 h (rχ = 0.82 and rω = 0.80) (Table 4). This shows the same tendency as series I, with electronegativity and electrophilicity.
The relationship was strong for almost all cases, except for C. parapsilosis where the relationship did not have statistical significance.
Pearson coefficient in simple linear regression for series I had the following hierarchy from higher to lower values: η > ω > χ while χ = ω > η for series II. This could be related to results obtained by Putz et al. [24], where they report values of monolinear correlation of activity of uracil derivatives (anti-HIV action) vs. chemical reactivity indices, and the tendency shown was η > ω > χ, which is not the tendency one may expect obeying the established hierarchy for chemical binding scenario given by Putz [39], according which a chemical reaction/interaction is triggered by the electronegativity difference, followed by chemical hardness and electrophilicity: χ > η > ω, due to chemical–biological interactions. The higher Pearson coefficient presented by Putz is 0.67 for hardness, lower than the calculated value of the same parameter, 0.98. Although a different pharmacological activity is evaluated, it is possible to see the relation that can exist with these electronic properties of systems.
Stachowicz et al. evaluated thioamides derivatives and their activity against C. albicans and correlated their activity vs. hardness, softness, and electrophilicity, with r values around 0.72 to 0.93 [40]. These results coincide with those obtained by us with r values around 0.73 to 0.98; the chemical structure for thioamides are similar to indol-4-ones, =only in the presence of N-heterocyclic system of five members, and this similarity could be responsible for similar correlations between biological activities and chemical reactivity parameters.
Different biological activities have been correlated with chemical reactivity parameters: hardness, softness, chemical potential, electronegativity, electrophilicity, and other electronic parameters looking for any relationship between electronic parameters and biological activity. Examples of studies with different parameters are: for testosterone derivatives rω = 0.42–0.94 [10,11]; carbonic anhydrase inhibitory rχ,µ,S,εLUMO = 0.92 [12]; anti HIV-1 integrase rLogP,χ = 0.93 [22]; anti-HIV activity with uracil derivatives rχ = 0.24, rη = 0.65, rω = 0.65, rω,χ = 0.69, and rω,η = 0.68, [24]; etc. Although our analysis of antifungal activity does not match with those described above, the obtained values of r are better.
Multiple lineal regression for global reactivity indexes indicated that both hardness and softness are significant variables for series I (see Table 5). The relationship was strong for C. guilliermondii 24 h (r = 0.99) and 48 h (r = 0.99). Hardness and electrophilicity as well as hardness and chemical potential had strong relationship for fungi, and are indicated specifically for A. fumigatus 48 h (rη,s = 0.91) and 72 h (rη,µ = 0.91). For series II, there is no statistically significance (p > 0.05) linking two or more descriptors.

4.2. Local and Fragment Reactivity Parameters

The local Fukui function is related with the frontier controlled soft–soft interactions. Figure 2 shows the isosurface plot of the Fukui function for an electrophilic attack f ( r ) , and the positive values are shown in purple. For series I, the carbon atoms neighboring the nitrogen atom of the pyrrole ring are susceptible to be attacked by a soft electrophile followed by the oxygen atom of the carbonyl group and the vinylic carbon atoms of the pirrolic ring. For compounds in series II, the Fukui function shows the same reactive sites than series I. In addition, the carbon atom in the para-position of the phenyl ring is susceptible for electrophilic attack.
Figure 3 shows the Fukui function for nucleophilic attack f + ( r ) , and the regions in purple color are positive values and show the most favorable sites for the attack of a soft nucleophile. For series I, the carbonyl and phenyl carbon atoms are prone to nucleophilic attack. For series II, these regions are the carbonyl group and carbon atoms from vinyl and phenyl ring.
The local Fukui function is localized within the carbonyl, pyrrole and phenyl moieties. In order to understand which molecular fragments are responsible for antifungal activity, the softness and electrophilicity were calculated for different fragments of compounds 6, 7ag and 8ag. Table 6 shows the ID of the analyzed fragment, microorganisms, experimental time of testing, fragment chemical reactivity parameter, statistical correlation coefficient (r) for MIC and softness and electrophilicity fragments, and the atoms (marked in orange) considered in the fragment for series I and II. The basic fragment ID a (g and i) is related with the oxygen atom, fragment ID b (f and h) includes the carbon atom to gets the carbonyl group, fragment ID c includes carbon and nitrogen atoms from pyrrole ring and ipso- and ortho-carbon atoms of the phenyl ring, fragment ID d includes meta and para-carbon atoms of the phenyl ring, and so on. For Aspergillus niger in series I, high correlation values were obtained for sk [fragment a = g (oxygen atom, r = 0.90, 48 h) and fragment b = f (carbonyl group, r = 0.93, 48 h)] and sk+ [fragment c (r = 0.98, 72 h) and fragment d (r = 0.95, 48 h)]. As we can observe for Aspergillus niger, the addition of the pyrrole and phenyl fragments to the carbonyl group increases the correlation coefficient for series I (the time of testing more representative for this species was 72 h). For A. fumigatus, linear regressions for sk+ (or sk0) includes the carbonyl group r = 0.83 (or r = 0.82) and the oxygen atom r = 0.81 (or r = 0.80). The more significant time of testing was 48 h.
For series II, C. albicans has the higher correlation values for ωk; the addition of carbon atom to oxygen atom to obtain the carbonyl group keeps the correlation for ωk (see fragments m, r = 0.92 and n, r = 0.92). Fragments that include the nitrogen atom of the pyrrole ring do not increase the correlation value when increasing the number of carbon atoms of the phenyl ring (j, k and l, r = 0.75). The addition of the pyrrole ring, ipso carbon atom, and the meta-C atom from the phenyl ring, improves the correlation (q, r = 0.86). For other species, linear regressions with higher r were found when oxygen was included in ωk0: C. krusei 48 h (r = 0.78), C. tropicalis 24 h (r = 0.78), C. guilliermondii 48 h (r = 0.76), and C. parapsilosis 24 h (r = 0.78).
Additionally, the Parr functions [41,42] were calculated for electrophilic P(r) and nucleophilic P+(r) attacks. They had similar tendency than Fukui functions (See Tables S1 and S2).

4.3. MEP and Dipole Moment

Figure 4 shows the molecular electrostatic potential (MEP) for compounds 6, 7ag and 8ag. The MEP is a useful descriptor for understanding which sites in the molecules have affinity to a proton (charge controlled hard-hard interactions [43]) and the relative polarity of the molecule [44,45,46,47,48,49,50,51,52]. Regions in red color indicate higher negative charge, higher electron density, and higher affinity to a proton. Regions in blue color indicate more positive charge, a low electron density and a low affinity to a proton. For series I and II, the red region is located near the oxygen atom from carbonyl group, and the blue region is located near the nitrogen atom for both series, and the phenyl group for series I. In general, compounds in series I show a higher dipolar moment than compounds of series II as we can observe in Table 7. The dipole moment was calculated for all of the 15 indol-4-ones at the B3LYP/6-311+G (d, p) level of theory. The dipole moment follows the trend: 7b > 7e > 7a > 8b > 6 > 7d = 8a > 7g > 8f > 8c > 7c > 7f > 8e > 8g > 8d. For series I, compound 7b shows the highest value (7.26 D), and, for series II, compound 8b has the highest value (6.69 D). Both compounds present a 2-fluor substitution in the aromatic ring. This can suggest that there is a correlation between the relative polarity of the compounds 6, 7ag and 8ag and the kind of interactions that these compounds can have with the active site of the receptor to antifungal activity.

5. Conclusions

Hardness, electronegativity, and electrophilicity of indol-4-ones were the chemical reactivity parameters that had a higher correlation with antifungal activity. Hardness was the index that had higher correlation for series I, and chemical potential, electronegativity, and electrophilicity had higher correlation with antifungal activity for series II.
Fukui function for electrophilic attack had the higher correlation with molecular fragments around both pyrrole and carbonyl groups, suggesting that nature of the reactivity operative between the electrophilic sites of the indol-4-ones and the biologically active site in the studied fungi.
The strongest correlation with biological activity was found with C. albicans, C. glabrata, and A. fumigatus.
The molecular electrostatic potential and the dipole moment calculated for compounds 6, 7ag and 8ag suggest that there is a correlation between the relative polarity of the compounds and the kind of interactions that these compounds can have with the active site of the receptor, as has been suggested by González et al.

Supplementary Materials

Supplementary materials are available online.

Acknowledgments

We thank CONACYT (Grants 389176 and 291061) for student financial support for M.A. Zermeño-Macías and we thank Brent E. Handy PhD for editing English language and style.

Author Contributions

M.M.G.-C. and F.M. have designed the work. M.-d.A.Z.-M. has performed all calculations and has written the first draft of the manuscript. R.G.-C. performed some molecule optimization. A.R. helped in preparing manuscript and reviewed some of the theoretical calculations. All authors have reviewed this manuscript.

Conflicts of Interest

The authors declare no conflict of interest.

References

  1. Nucci, M.; Queiroz-Telles, F.; Tobón, A.M.; Restrepo, A.; Colombo, A.L. Epidemiology of opportunistic fungal infections in Latin America. Clin. Infect. Dis. 2010, 51, 561–570. [Google Scholar] [CrossRef] [PubMed]
  2. Becher, R.; Wirsel, S.G.R. Fungal cytochrome P450 sterol 14α-demethylase (CYP51) and azole resistance in plant and human pathogens. Appl. Microbiol. Biotechnol. 2012, 95, 825–840. [Google Scholar] [CrossRef] [PubMed]
  3. Kathiravan, M.K.; Salake, A.B.; Chothe, A.S.; Dudhe, P.B.; Watode, R.P.; Mukta, M.S.; Gadhwe, S. The biology and chemistry of antifungal agents: A review. Bioorg. Med. Chem. 2012, 20, 5678–5698. [Google Scholar] [CrossRef] [PubMed]
  4. Vandeputte, P.; Ferrari, S.; Coste, A.T. Antifungal resistance and new strategies to control fungal infections. Int. J. Microbiol. 2012. [Google Scholar] [CrossRef] [PubMed]
  5. Ghannoum, M.A.; Rice, L.B. Antifungal agents: mode of action, mechanisms of resistance, and correlation of these mechanisms with bacterial resistance. Clin. Microbiol. Rev. 1999, 12, 501–517. [Google Scholar] [PubMed]
  6. González-Chávez, R.; Martínez, R.; Torre-Bouscoulet, M.E.; Gallo, M.; González-Chávez, M.M. De novo design of non-coordinating indolones as potential inhibitors for lanosterol 14-α-demethylase (CYP51). Chem. Pharm. Bull. 2014, 62, 16–24. [Google Scholar] [CrossRef] [PubMed]
  7. Popa, M.V. La cuantificación de los sitios activos en las bases de DNA y RNA utilizando las funciones Fukui condensadas. Rev. Mex. Fis. 2007, 53, 241–253. [Google Scholar]
  8. Mineva, T.; Russo, N. Atomic Fukui indices and orbital hardnesses of adenine, thymine, uracil, guanine and cytosine from density functional computations. J. Mol. Struct. Theochem. 2010, 943, 71–76. [Google Scholar] [CrossRef]
  9. Aliste, M.P. Theoretical study of dopamine. Application of the HSAB principle to the study of drug-receptor interactions. J. Mol. Struct. THEOCHEM 2000, 507, 1–10. [Google Scholar] [CrossRef]
  10. Parthasarathi, R.; Subramanian, V.; Roy, D.R.; Chattaraj, P.K. Electrophilicity index as a possible descriptor of biological activity. Bioorg. Med. Chem. 2004, 12, 5533–5543. [Google Scholar] [CrossRef] [PubMed]
  11. Singh, P.P.; Srivastava, H.K.; Pasha, F.A. DFT-based QSAR study of testosterone and its derivatives. Bioorg. Med. Chem. 2004, 12, 171–177. [Google Scholar] [CrossRef] [PubMed]
  12. Eroglu, E.; Türkmen, H. A DFT-based quantum theoretic QSAR study of aromatic and heterocyclic sulfonamides as carbonic anhydrase inhibitors against isozyme, CA-II. J. Mol. Graph. Model. 2007, 26, 701–708. [Google Scholar] [CrossRef] [PubMed]
  13. Zhang, L.; Wan, J.; Yang, G. A DFT-based QSARs study of protoporphyrinogen oxidase inhibitors: Phenyl triazolinones. Bioorg. Med. Chem. 2004, 12, 6183–6191. [Google Scholar] [CrossRef] [PubMed]
  14. Zhang, L.; Hao, G.F.; Tan, Y.; Xi, Z.; Huang, M.Z.; Yang, G.F. Bioactive conformation analysis of cyclic imides as protoporphyrinogen oxidase inhibitor by combining DFT calculations, QSAR and molecular dynamic simulations. Bioorg. Med. Chem. 2009, 17, 4935–4942. [Google Scholar] [CrossRef] [PubMed]
  15. Van Damme, S.; Bultinck, P. 3D QSAR based on conceptual DFT molecular fields: Antituberculotic activity. J. Mol. Struct. THEOCHEM 2010, 943, 83–89. [Google Scholar] [CrossRef]
  16. Zhu, M.; Ge, F.; Zhu, R.; Wang, X.; Zheng, X. A DFT-based QSAR study of the toxicity of quaternary ammonium compounds on Chlorella vulgaris. Chemosphere 2010, 80, 46–52. [Google Scholar] [CrossRef] [PubMed]
  17. Song, J.; Wang, Z.; Findlater, A.; Han, Z.; Jiang, Z.; Chen, J.; Zheng, W.; Hyde, S. Terpenoid mosquito repellents: A combined DFT and QSAR study. Bioorg. Med. Chem. Lett. 2013, 23, 1245–1248. [Google Scholar] [CrossRef] [PubMed]
  18. Prouillac, C.; Vicendo, P.; Garrigues, J.C.; Poteau, R.; Rima, G. Evaluation of new thiadiazoles and benzothiazoles as potential radioprotectors: Free radical scavenging activity in vitro and theoretical studies (QSAR, DFT). Free Radic. Biol. Med. 2009, 46, 1139–1148. [Google Scholar] [CrossRef] [PubMed]
  19. Reis, M.; Lobato, B.; Lameira, J.; Santos, A.S.; Alves, C.N. A theoretical study of phenolic compounds with antioxidant properties. Eur. J. Med. Chem. 2007, 42, 440–446. [Google Scholar] [CrossRef] [PubMed]
  20. Masuda, N.; Yamamoto, O.; Fujii, M.; Ohgami, T.; Fujiyasu, J.; Kontani, T.; Moritomo, A.; Orita, M.; Kurihara, H.; Koga, H.; et al. Studies of nonnucleoside HIV-1 reverse transcriptase inhibitors. Part 1: Design and synthesis of thiazolidenebenzenesulfonamides. Bioorg. Med. Chem. 2004, 12, 6171–6182. [Google Scholar] [CrossRef] [PubMed]
  21. Vanommeslaeghe, K.; Loverix, S.; Geerlings, P.; Tourwé, D. DFT-based ranking of zinc-binding groups in histone deacetylase inhibitors. Bioorg. Med. Chem. 2005, 13, 6070–6082. [Google Scholar] [CrossRef] [PubMed]
  22. Lameira, J.; Alves, C.N.; Moliner, V.; Silla, E. A density functional study of flavonoid compounds with anti-HIV activity. Eur. J. Med. Chem. 2006, 41, 616–623. [Google Scholar] [CrossRef] [PubMed]
  23. Lameira, J.; Medeiros, I.G.; Reis, M.; Santos, A.S.; Alves, C.N. Structure-activity relationship study of flavone compounds with anti-HIV-1 integrase activity: A density functional theory study. Bioorg. Med. Chem. 2006, 14, 7105–7112. [Google Scholar] [CrossRef] [PubMed]
  24. Putz, M.V.; Dudaş, N.A. Variational principles for mechanistic quantitative structure-activity relationship (QSAR) studies: Application on uracil derivatives’ anti-HIV action. Struct. Chem. 2013, 24, 1873–1893. [Google Scholar] [CrossRef]
  25. Thanikaivelan, P.; Subramanian, V.; Rao, J.R.; Nair, B.U. Application of quantum chemical descriptor in quantitative structure activity and structure property relationship. Chem. Phys. Lett. 2000, 323, 59–70. [Google Scholar] [CrossRef]
  26. Maynard, T.; Huang, M.; Rice, W.G.; Covell, D.G. Reactivity of the HIV-1 nucleocapsid protein p7 zinc finger domains from the perspective of density-functional theory. Proc. Natl. Acad. Sci. USA 1998, 95, 11578–11583. [Google Scholar] [CrossRef] [PubMed]
  27. Morales-Bayuelo, A. Analyzing the substitution effect on the CoMFA results within the framework of density functional theory (DFT). J. Mol. Model. 2016, 22, 164. [Google Scholar] [CrossRef] [PubMed]
  28. Frisch, M.J.; Trucks, G.W.; Schlegel, H.B.; Scuseria, G.E.; Robb, M.A.; Cheeseman, J.R.; Scalmani, G.; Barone, V.; Mennucci, B.; Petersson, G.A.; et al. Gaussian 09, Revision D.01. Gaussian, Inc.: Wallingford, CT, USA, 2009. [Google Scholar]
  29. Pearson, G. Hard and Soft Acids and Bases. J. Am. Chem. Soc. 1963, 85, 3533–3539. [Google Scholar] [CrossRef]
  30. Parr, R.G.; Donnelly, R.A.; Levy, M.; Palke, W.E. Electronegativity: The density functional viewpoint. J. Chem. Phys. 1978, 68, 3801–3807. [Google Scholar] [CrossRef]
  31. Parr, R.G.; Szentpály, L.V.; Liu, S. Electrophilicity Index. J. Am. Chem. Soc. 1999, 121, 1922–1924. [Google Scholar] [CrossRef]
  32. Parr, R.G.; Yang, W. Density functional approach to the frontier-electron theory of chemical reactivity. J. Am. Chem. Soc. 1984, 106, 4049–4050. [Google Scholar] [CrossRef]
  33. Yang, W.; Mortier, W.J. The use of global and local molecular parameters for the analysis of the gas-phase basicity of amines. J. Am. Chem. Soc. 1986, 108, 5708–5711. [Google Scholar] [CrossRef] [PubMed]
  34. Gázquez, J.L.; Méndez, F. The Hard and Soft Acids and Bases Principle: An Atoms in Molecules Viewpoint. J. Phys. Chem. 1994, 101, 4591–4593. [Google Scholar] [CrossRef]
  35. Méndez, F.; Gázquez, J.L. The Fukui function of an atom in a molecule: A criterion to characterize the reactive sites of chemical species. Proc. Indian Acad. Sci. (Chem. Sci.) 1994, 106, 183–193. [Google Scholar]
  36. Dennington, R.; Keith, T.; Millam, J. GaussView, Version 5. Semichem Inc.: Shawnee Mission, KS, USA, 2009. [Google Scholar]
  37. SAS software, V. 8.0, SAS Institute Inc.: Cary, NC, USA, 1999.
  38. Putz, M.V.; Dudaş, N.A. Determining chemical reactivity driving biological activity from SMILES transformations: The bonding mechanism of anti-HIV pyrimidines. Molecules 2013, 18, 9061–9116. [Google Scholar] [CrossRef] [PubMed]
  39. Putz, M.V. Quantum parabolic effects of electronegativity and chemical hardness on carbon p-systems. In Carbon Bonding and Structures: Advances in Physics and Chemistry; Balaban, A.T., Randic, M., Eds.; Springer: London, UK, 2011; Volume 5, pp. 1–32. [Google Scholar]
  40. Stachowicz, J.; Krajewska-Kułak, E.; Łukaszuk, C.; Niewiadomy, A. Relationship between Antifungal Activity against Candida albicans and Electron Parameters of Selected N-Heterocyclic Thioamides. Indian J. Pharm. Sci. 2014, 76, 287–298. [Google Scholar] [PubMed]
  41. Domingo, L.R.; Pérez, P.; Sáez, J.A. Understanding the local reactivity in polar organic reactions through electrophilic and nucleophilic Parr functions. RSC Adv. 2013, 3, 1486. [Google Scholar] [CrossRef]
  42. Domingo, L.R.; Ríos-Gutiérrez, M.; Pérez, P. Applications of the conceptual density functional theory indices to organic chemistry reactivity. Molecules 2016, 21, 748. [Google Scholar] [CrossRef] [PubMed]
  43. Chatarraj, P.J. Chemical reactivity and selectivity: Local HSAB principle vs. frontier orbital theory. J. Phys. Chem. A 2001, 105, 511–513. [Google Scholar] [CrossRef]
  44. Scrocco, E.; Tomasi, J. Electronic Molecular Structure, Reactivity and Intermolecular Forces: An Euristic Interpretation by Means of Electrostatic Molecular Potentials. Adv. Quantum Chem. 1979, 11, 115–193. [Google Scholar]
  45. Luque, F.J.; López, J.M.; Orozco, M. Perspective on “Electrostatic interactions of a solute with a continuum. A direct utilization of ab initio molecular potentials for the prevision of solvent effects.”. Theor. Chem. Acc. 2000, 103, 343–345. [Google Scholar]
  46. Okulik, N.; Jubert, A.H. Theoretical Analysis of the Reactive Sites of Non-steroidal Anti-inflammatory Drugs. Internet Electron. J. Mol. Des. 2005, 4, 17–30. [Google Scholar]
  47. Al-Wabli, R.I.; Resmi, K.S.; Mary, Y.S.; Panicker, C.Y.; Attia, M.A.; El-Emam, A.A.; van Alsenoy, C. Vibrational spectroscopic studies, Fukui functions, HOMO-LUMO, NLO, NBO analysis and molecular docking study of (E)-1-(1,3-benzodioxol-5-yl)-4,4-dimethylpent-1-en-3-one, a potential precursor to bioactive agents. J. Mol. Struct. 2016, 1123, 375–383. [Google Scholar] [CrossRef]
  48. Politzer, P.; Murray, J.S. Relationships of Electrostatic Potentials to Intrinsic Molecular Properties. In Molecular Electrostatic Potentials: Concepts and Applications, 1st ed.; Murray, J.S., Sen, K., Eds.; Elsevier Science: Amsterdam, The Netherlands, 1996; Volume 3, pp. 649–660. [Google Scholar]
  49. Alkorta, I.; Perez, J.J.; Villar, H.O. Molecular polarization maps as a tool for studies of intermolecular interactions and chemical reactivity. J. Mol. Graph. 1994, 12, 3–13. [Google Scholar] [CrossRef]
  50. Luque, F.J.; Orozco, M.; Bhadane, P.K.; Gadre, S.R. SCRF calculation of the effect of water on the topology of the molecular electrostatic potential. J. Phys. Chem. 1993, 97, 9380–9384. [Google Scholar] [CrossRef]
  51. Sponer, J.; Hobza, P. DNA base amino groups and their role in molecular interactions: Ab initio and preliminary density functional theory calculations. Int. J. Quantum Chem. 1996, 57, 959–970. [Google Scholar] [CrossRef]
  52. Reed, A.E.; Weinstock, R.B.; Weinhold, F. Natural population analysis. J. Chem. Phys. 1985, 83, 735. [Google Scholar] [CrossRef]
  • Sample Availability: Not Available.
Figure 1. Indol-4-ones 6, 7ag and 8ag designed, synthetized and tested by Gonzalez et al. [6].
Figure 1. Indol-4-ones 6, 7ag and 8ag designed, synthetized and tested by Gonzalez et al. [6].
Figure 2. Fukui function isosurface plots for an electrophilic attack f ( r ) of series I and II of compounds 6, 7ag, and 8ag. In purple (positive values) are the favorable sites for an electrophilic attack; cutting value 0.01 a.u.
Figure 2. Fukui function isosurface plots for an electrophilic attack f ( r ) of series I and II of compounds 6, 7ag, and 8ag. In purple (positive values) are the favorable sites for an electrophilic attack; cutting value 0.01 a.u.
Figure 3. Fukui function isosurface plots for a nucleophilic attack f + ( r ) of series I (6, 7ag) and II (8ag) of compounds. In purple color (positive values) are the favorable sites for a nucleophilic attack; cutting value 0.01 a.u.
Figure 3. Fukui function isosurface plots for a nucleophilic attack f + ( r ) of series I (6, 7ag) and II (8ag) of compounds. In purple color (positive values) are the favorable sites for a nucleophilic attack; cutting value 0.01 a.u.
Figure 4. Molecular electrostatic potential maps from series I (6, 7ag) and II (8ag). This chart shows regions with negative values (red), and positive values (blue). The color code is different range depending of the structure; units are given in a.u. for each scale.
Figure 4. Molecular electrostatic potential maps from series I (6, 7ag) and II (8ag). This chart shows regions with negative values (red), and positive values (blue). The color code is different range depending of the structure; units are given in a.u. for each scale.
Table 1. MIC in vitro of 6, 7ag and 8ag against yeast and filamentous fungus.
Table 1. MIC in vitro of 6, 7ag and 8ag against yeast and filamentous fungus.
CompoundXC. albicansC. glabrataC. kruseiC. tropicalisC. guilliermondiiC. parapsilosisA. nigerA. fumigatus
24 h48 h24 h48 h24 h48 h24 h48 h24 h48 h24 h48 h48h h72 h48 h72 h
6 1.41052.82102.82105.64202.82105.64201.41055.64201.41052.82100.04510.35260.70521.41050.70521.4105
7aH0.24671.97360.98683.94730.98683.94730.49343.94730.49340.49340.03160.24670.24670.49340.24670.4934
7b2-F0.23041.84280.46073.68560.92143.68560.46073.68560.46070.46070.05900.23040.23040.23040.11520.4607
7c4-F0.23041.84280.46073.68560.92143.68560.46073.68560.46070.46070.05900.92140.46070.92140.23040.9214
7d2,4-diF0.43210.86410.86413.45640.43210.86410.21600.43210.43210.43210.05530.21600.21600.43210.43210.8641
7e2-Cl0.43440.86870.86873.47480.43440.86870.21720.43440.43440.43440.10860.10860.21720.86870.10860.4344
7f4-Cl0.43440.86870.86873.47480.43440.86870.21720.43440.43440.43440.05560.21540.4344>0.86870.43440.8687
7g2,4-diCl0.38790.77580.77583.10340.38790.77580.19400.38790.38790.38790.09700.7758>0.7758>0.77580.38790.3879
8aH0.52231.04470.52234.17870.52231.04450.26120.52230.26120.52230.06691.0447>1.0447>1.04471.04471.0447
8b2-F0.48580.97160.48580.97160.48580.97160.24290.48580.24290.24290.06220.2410>0.9716>0.97160.97160.9716
8c4-F0.24290.97160.48580.97160.24290.48580.12140.24290.12140.24290.06220.2410>0.9716>0.9716>0.9716>0.9716
8d2,4-diF0.22700.90810.45410.90810.22700.45410.11350.22700.11350.22700.05810.9081>0.9081>0.9081>0.9081>0.9081
8e2-Cl0.22830.91320.45660.91320.22830.45660.11420.22830.11420.11420.11420.9132>0.9132>0.9132>0.9132>0.9132
8f4-Cl0.22830.91320.45660.91320.22830.45660.11420.22830.11420.11420.05840.2265>0.9132>0.9132>0.9132>0.9132
8g2,4-diCl0.20280.81120.40560.81120.20280.40560.10140.10140.10140.10140.10140.2012>0.8112>0.8112>0.8112>0.8112
This table was modified and taken from González et al. paper [6], the MIC values were changed from µg·mL−1 to mM.
Table 2. Global reactivity descriptors for the 15 compounds indol-4-ones 6, 7ag and 8ag.
Table 2. Global reactivity descriptors for the 15 compounds indol-4-ones 6, 7ag and 8ag.
Compoundη (eV)χ (eV)ω (eV)
64.183.631.58
7a3.923.651.70
7b3.893.741.80
7c3.913.771.82
7d3.913.811.86
7e3.893.711.76
7f3.853.841.92
7g3.803.902.00
8a3.823.571.67
8b3.803.671.77
8c3.843.641.72
8d3.743.771.90
8e3.783.731.84
8f3.733.721.85
8g3.743.872.01
Table 3. Pearson coefficient for each simple lineal regression for series I: Compounds 6 and 7ag.
Table 3. Pearson coefficient for each simple lineal regression for series I: Compounds 6 and 7ag.
MicroorganismTime of Testing (h)η (eV)χ (eV)ω (eV)
rprprp
C. albicans240.870.00480.430.28680.600.1124
480.820.01280.770.02460.830.0099
C. glabrata240.900.00220.550.16020.700.0550
480.980.000020.740.03580.860.0055
C. krusei240.950.00030.690.05720.820.0126
480.760.02830.750.03020.800.0166
C. tropicalis240.950.00030.690.05720.820.0126
480.740.03630.750.03310.790.0199
C. guilliermondii240.960.00020.610.11090.760.0285
480.940.00040.570.13930.730.0396
C. parapsilosis240.460.25710.410.31450.460.2544
480.150.72420.390.34190.330.4221
A. niger480.750.05000.250.58750.470.2899
720.780.06500.490.32360.680.1398
A. fumigatus480.610.10620.010.97970.220.6061
720.790.01910.290.48930.490.2188
h = hours, η = hardness, χ = electronegativity, and ω = electrophilicity index. In gray color is indicated the values that are statically significant p < 0.05.
Table 4. Pearson coefficient for simple lineal regression for series II: Compounds 8ag.
Table 4. Pearson coefficient for simple lineal regression for series II: Compounds 8ag.
MicroorganismTime of Testing (h)η (eV)χ (eV)ω (eV)
rprprp
C. albicans240.540.21550.710.07310.700.0821
480.780.04060.980.000060.980.0002
C. glabrata240.780.04060.980.000060.980.0002
480.440.31730.660.10600.630.1285
C. krusei240.540.21550.710.07310.700.0821
480.540.21550.710.07310.700.0821
C. tropicalis240.540.21550.710.07310.700.0821
480.580.16730.820.02500.800.0315
C. guilliermondii240.540.21550.710.07310.700.0821
480.610.14880.780.04000.760.0472
C. parapsilosis240.140.77120.490.25940.440.3164
480.130.77740.270.55460.25470.5814
h = hours, η = hardness, χ = electronegativity, and ω = electrophilicity index. In gray color is indicated the values that are statically significant p < 0.05.
Table 5. Multiple regression analysis for series I: Compounds 6 and 7ag.
Table 5. Multiple regression analysis for series I: Compounds 6 and 7ag.
MicroorganismTime of Testing (h)rr2pSignificant Indexes
C. albicans240.970.940.00070η, S
480.830.700.01000ω
C. glabrata240.970.940.00100η, S
480.980.96<0.0001η
C. krusei240.950.910.00030η
480.800.640.01660ω
C. tropicalis240.950.910.00030η
480.790.620.02000ω
C. guilliermondii240.990.99<0.0001η, S
480.990.99<0.0001η, S
C. parapsilosis240.720.510.60230No variable
480.490.240.89800No variable
A. niger480.750.570.05070η
720.780.610.06480η
A. fumigatus480.910.840.01080η, ω
720.910.830.01140η, µ
Table 6. Chemical reactivity criterions by fragment for series I (fragment ID: a–i) and series II (fragment ID: j–z).
Table 6. Chemical reactivity criterions by fragment for series I (fragment ID: a–i) and series II (fragment ID: j–z).
IDMicroorganismTime of Testing (h)Fragment Chemical ParameterrAtoms Considered in the Fragment (Marked in Orange)
aAspergillus fumigatus48sk+0.81
ωk+0.77
bAspergillus fumigatus48sk+0.83
ωk+0.79
cAspergillus niger72sk+0.98
ωk+0.89
dAspergillus niger72sk+0.95
ωk+0.91
eAspergillus niger72sk+0.88
fAspergillus niger48sk0.93
72sk0.85
Aspergillus fumigatus48sk0.75
gAspergillus niger48sk0.90
72sk0.83
Aspergillus fumigatus48sk0.74
hAspergillus fumigatus48sk00.82
ωk00.72
iAspergillus fumigatus48sk00.80
jCandida albicans48ωk+0.75
Candida glabrata24 0.75
kCandida albicans48ωk+0.75
Candida glabrata24 0.75
lCandida albicans48ωk+0.75
Candida glabrata24 0.75
mCandida albicans48ωk0.92
Candida glabrata24ωk0.92
Candida parapsilosis24sk0.78
nCandida albicans48ωk0.92
Candida glabrata24ωk0.92
Candida parapsilosis24sk0.77
oCandida albicans48sk0.83
Candida glabrata24 0.83
Candida tropicalis48 0.77
pCandida parapsilosis24sk0.76
ωk0.76
qCandida albicans48ωk0.86
Candida glabrata24 0.86
rCandida albicans48sk0.80
Candida glabrata24 0.80
sCandida albicans48sk0.76
Candida glabrata24 0.76
tCandida albicans48sk0.79
Candida glabrata24 0.79
uCandida albicans48ωk0.86
Candida glabrata24 0.86
vCandida albicans48sk0.79
Candida glabrata24 0.79
wCandida albicans48ωk0.86
Candida glabrata24 0.86
xCandida albicans48ωk0.83
Candida glabrata24 0.83
yCandida albicans48sk0.76
Candida glabrata24 0.76
zCandida albicans24ωk00.78
Candida krusei24ωk00.78
48ωk00.78
Candida tropicalis24ωk00.78
48ωk00.76
Candida guilliermondii24ωk00.78
Candidad parapsilosis48sk00.74
Table 7. Dipole Moment of indol-4-one; series I compounds 6 and 7ag and series II compounds 8ag.
Table 7. Dipole Moment of indol-4-one; series I compounds 6 and 7ag and series II compounds 8ag.
Compoundµ (D)
65.98
7a6.70
7b7.26
7c4.86
7d5.49
7e7.25
7f4.73
7g5.40
8a5.49
8b6.69
8c5.30
8d4.00
8e4.47
8f5.31
8g4.41

Share and Cite

MDPI and ACS Style

Zermeño-Macías, M.D.l.Á.; González-Chávez, M.M.; Méndez, F.; González-Chávez, R.; Richaud, A. Theoretical Reactivity Study of Indol-4-Ones and Their Correlation with Antifungal Activity. Molecules 2017, 22, 427. https://doi.org/10.3390/molecules22030427

AMA Style

Zermeño-Macías MDlÁ, González-Chávez MM, Méndez F, González-Chávez R, Richaud A. Theoretical Reactivity Study of Indol-4-Ones and Their Correlation with Antifungal Activity. Molecules. 2017; 22(3):427. https://doi.org/10.3390/molecules22030427

Chicago/Turabian Style

Zermeño-Macías, María De los Ángeles, Marco Martín González-Chávez, Francisco Méndez, Rodolfo González-Chávez, and Arlette Richaud. 2017. "Theoretical Reactivity Study of Indol-4-Ones and Their Correlation with Antifungal Activity" Molecules 22, no. 3: 427. https://doi.org/10.3390/molecules22030427

APA Style

Zermeño-Macías, M. D. l. Á., González-Chávez, M. M., Méndez, F., González-Chávez, R., & Richaud, A. (2017). Theoretical Reactivity Study of Indol-4-Ones and Their Correlation with Antifungal Activity. Molecules, 22(3), 427. https://doi.org/10.3390/molecules22030427

Article Metrics

Back to TopTop