Simultaneous Determination of Three Furanocoumarins by UPLC/MS/MS: Application to Pharmacokinetic Study of Angelica dahurica Radix after Oral Administration to Normal and Experimental Colitis-Induced Rats
Abstract
:1. Introduction
2. Results and Discussion
2.1. UPLC/MS/MS Analysis and Method Validation
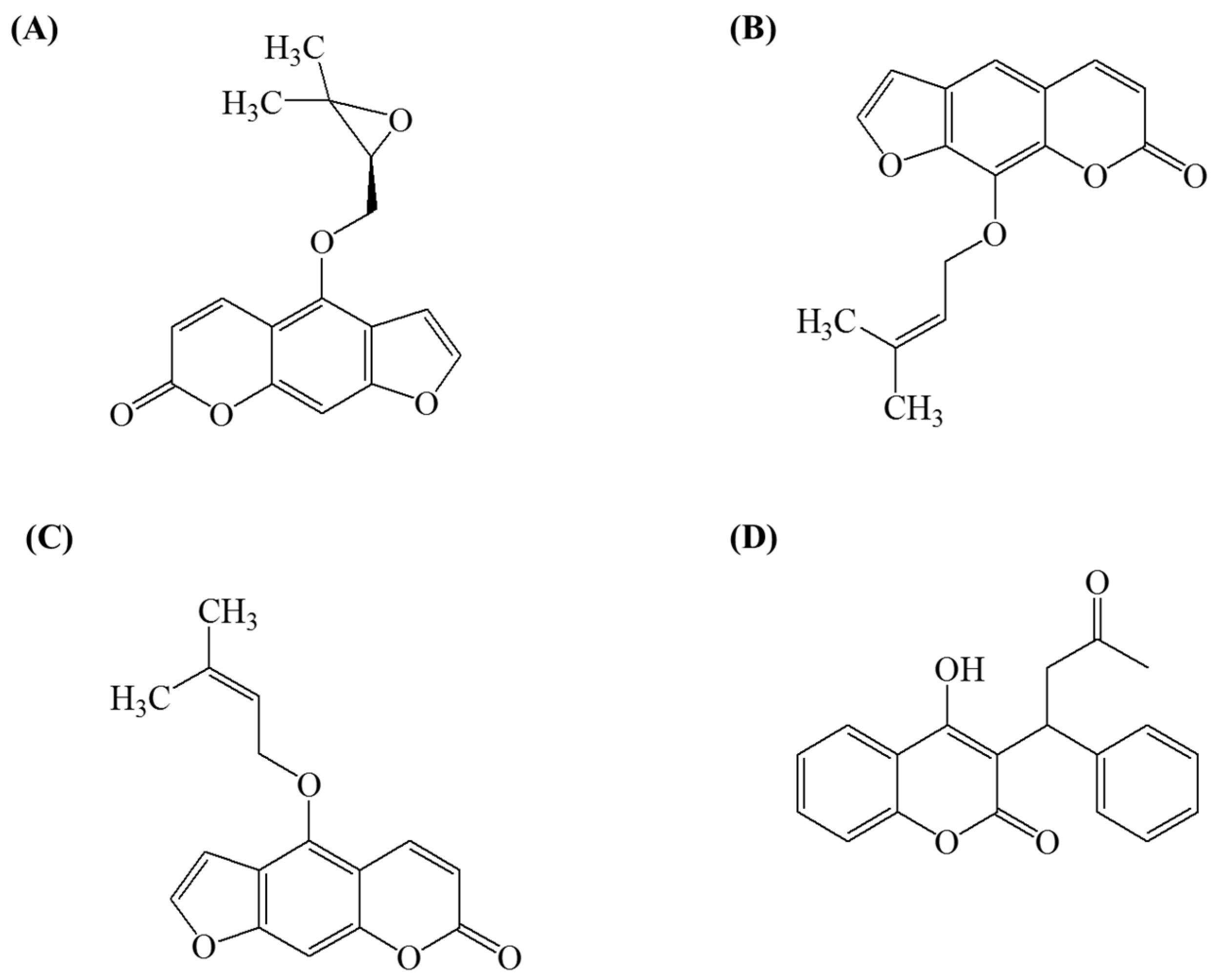
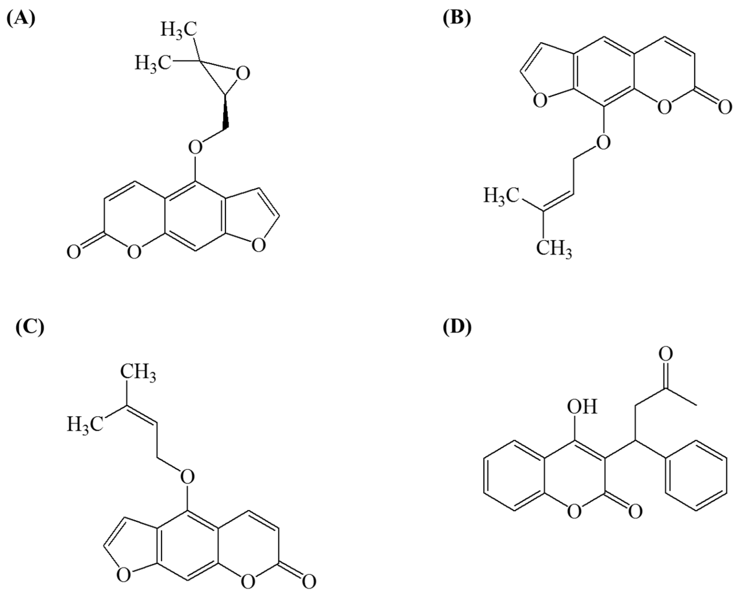
2.1.1. Identification, Selectivity and Linearity
2.1.2. Accuracy, Precision, Recovery, Matrix Effects and Stability
2.2. Application of the Analytical Method in Pharmacokinetic Study
2.2.1. Induction of Experimental Colitis
2.2.2. Pharmacokinetics of ADR in Normal and Colitis-Induced Rats
3. Materials and Methods
3.1. Materials
3.2. UPLC-MS/MS Analysis and Method Validation
3.3. Animal Experiments
3.4. Data Analysis
4. Conclusions
Acknowledgments
Author Contributions
Conflicts of Interest
References
- Lee, K.; Shin, M.S.; Ham, I.; Choi, H.Y. Investigation of the mechanisms of Angelica dahurica root extract-induced vasorelaxation in isolated rat aortic rings. BMC Complement. Altern. Med. 2015, 15, 395. [Google Scholar] [CrossRef] [PubMed]
- Liu, C.; Tseng, A.; Yang, S. Chinese Herbal Medicine: Modern Applications of Traditional Formulas; CRC Press (Taylor & Francis Group): Boca Raton, FL, USA, 2004; p. 446. [Google Scholar]
- Wei, W.; Wu, X.W.; Deng, G.G.; Yang, X.W. Anti-inflammatory coumarins with short- and long-chain hydrophobic groups from roots of Angelica dahurica cv. Hangbaizhi. Phytochemistry 2016, 123, 58–68. [Google Scholar] [CrossRef] [PubMed]
- Zhao, A.H.; Zhang, Y.B.; Yang, X.W. Simultaneous determination and pharmacokinetics of sixteen Angelicae dahurica coumarins in vivo by LC-ESI-MS/MS following oral delivery in rats. Phytomedicine 2016, 23, 1029–1036. [Google Scholar] [CrossRef] [PubMed]
- Kang, S.W.; Kim, C.Y.; Song, D.G.; Pan, C.H.; Cha, K.H.; Lee, D.U.; Um, B.H. Rapid identification of furanocoumarins in Angelica dahurica using the online LC-MMR-MS and their nitric oxide inhibitory activity in RAW 264.7 cells. Phytochem. Anal. 2010, 21, 322–327. [Google Scholar] [CrossRef] [PubMed]
- Koziol, E.; Skalicka-Wozniak, K. Imperatorin-pharmacological meaning and analytical clues: Profound investigation. Phytochem. Rev. 2016, 15, 627–649. [Google Scholar] [CrossRef] [PubMed]
- Ranjbar, S.; Shokoohinia, Y.; Ghobadi, S.; Bijari, N.; Gholamzadeh, S.; Moradi, N.; Ashrafi-Kooshk, M.R.; Aghaei, A.; Khodarahmi, R. Studies of the Interaction between Isoimperatorin and Human Serum Albumin by Multispectroscopic Method: Identification of Possible Binding Site of the Compound Using Esterase Activity of the Protein. Sci. World J. 2013, 2013, 305081. [Google Scholar] [CrossRef] [PubMed]
- Fujioka, T.; Furumi, K.; Fujii, H.; Okabe, H.; Mihashi, K.; Nakano, Y.; Matsunaga, H.; Katano, M.; Mori, M. Antiproliferative constituents from umbelliferae plants. V. A new furanocoumarin and falcarindiol furanocoumarin ethers from the root of Angelica japonica. Chem. Pharm. Bull. (Tokyo) 1999, 47, 96–100. [Google Scholar] [CrossRef] [PubMed]
- Choi, J.S.; Shin, H.Y.; Kwon, K.S.; Shin, S.; Choung, S.Y.; Kwon, Y.S.; Lee, J.W.; Choi, B.H.; Lee, C.K. Effects of oxypeucedanin on global gene expression and MAPK signaling pathway in mouse neuroblastoma Neuro-2A cells. Planta Med. 2011, 77, 1512–1518. [Google Scholar] [CrossRef] [PubMed]
- Ishihara, K.; Kushida, H.; Yuzurihara, M.; Wakui, Y.; Yanagisawa, T.; Kamei, H.; Ohmori, S.; Kitada, M. Interaction of drugs and Chinese herbs: Pharmacokinetic changes of tolbutamide and diazepam caused by extract of Angelica dahurica. J. Pharm. Pharmacol. 2000, 52, 1023–1029. [Google Scholar] [CrossRef] [PubMed]
- Zhao, G.; Peng, C.; Du, W.; Wang, S. Pharmacokinetic study of eight coumarins of Radix Angelicae Dahuricae in rats by gas chromatography-mass spectrometry. Fitoterapia 2013, 89, 250–256. [Google Scholar] [CrossRef] [PubMed]
- Chen, L.; Jian, Y.; Wei, N.; Yuan, M.; Zhuang, X.; Li, H. Separation and simultaneous quantification of nine furanocoumarins from Radix Angelicae dahuricae using liquid chromatography with tandem mass spectrometry for bioavailability determination in rats. J. Sep. Sci. 2015, 38, 4216–4224. [Google Scholar] [CrossRef] [PubMed]
- Bassotti, G.; Antonelli, E.; Villanacci, V.; Salemme, M.; Coppola, M.; Annese, V. Gastrointestinal motility disorders in inflammatory bowel diseases. World J. Gastroenterol. 2014, 20, 37–44. [Google Scholar] [CrossRef] [PubMed]
- Qin, H.Y.; Xiao, H.T.; Wu, J.C.; Berman, B.M.; Sung, J.J.; Bian, Z.X. Key factors in developing the trinitrobenzene sulfonic acid-induced post-inflammatory irritable bowel syndrome model in rats. World J. Gastroenterol. 2012, 18, 2481–2492. [Google Scholar] [CrossRef] [PubMed]
- Randhawa, P.K.; Singh, K.; Singh, N.; Jaggi, A.S. A review on chemical-induced inflammatory bowel disease models in rodents. Korean J. Physiol. Pharmacol. 2014, 18, 279–288. [Google Scholar] [CrossRef] [PubMed]
- Arab, H.H.; Al-Shorbagy, M.Y.; Abdallah, D.M.; Nassar, N.N. Telmisartan attenuates colon inflammation, oxidative perturbations and apoptosis in a rat model of experimental inflammatory bowel disease. PLoS ONE 2014, 9, e97193. [Google Scholar]
- Ploemen, J.P.H.T.M.; Kramer, H.; Krajnc, E.I.; Martin, I. The use of toxicokinetic data in preclinical safety assessment: A toxicologic pathologist perspective. Toxicol. Pathol. 2007, 35, 834–837. [Google Scholar] [CrossRef] [PubMed]
- Cai, H.D.; Su, S.L.; Li, Y.; Zhu, Z.; Guo, J.; Zhu, Y.; Guo, S.; Qian, D.; Duan, J. Simultaneous Determination of Four Tanshinones by UPLC-TQ/MS and Their Pharmacokinetic Application after Administration of Single Ethanol Extract of Danshen Combined with Water Extract in Normal and Adenine-Induced Chronic Renal Failure Rats. Molecules 2016, 21, 1630. [Google Scholar] [CrossRef] [PubMed]
- Quigley, E.M. Review article: Gastric emptying in functional gastrointestinal disorders. Aliment. Pharmacol. Ther. 2004, 20, 56–60. [Google Scholar] [CrossRef] [PubMed]
- Pallotta, N.; Pezzotti, P.; Calabrese, E.; Baccini, F.; Corazziari, E. Relationship between gastrointestinal and extra-gastrointestinal symptoms and delayed gastric emptying in functional dyspeptic patients. World J. Gastroenterol. 2005, 11, 4375–4381. [Google Scholar] [CrossRef] [PubMed]
- Yanez, J.A.; Remsberg, C.M.; Sayre, C.L.; Forrest, M.L.; Davies, N.M. Flip-flop pharmacokinetics—Delivering a reversal of disposition: Challenges and opportunities during drug development. Ther. Deliv. 2011, 2, 643–672. [Google Scholar] [CrossRef] [PubMed]
- De Schepper, H.U.; de Man, J.G.; van Nassauw, L.; Timmermans, J.P.; Herman, A.G.; Pelckmans, P.A.; de Winter, B.Y. Acute distal colitis impairs gastric emptying in rats via an extrinsic neuronal reflex pathway involving the pelvic nerve. Gut 2007, 56, 195–202. [Google Scholar] [CrossRef] [PubMed]
- Masubuchi, Y.; Enoki, K.; Horie, T. Down-regulation of hepatic cytochrome P450 enzymes in rats with trinitrobenzene sulfonic acid-induced colitis. Drug Metab. Dispos. 2008, 36, 597–603. [Google Scholar] [CrossRef] [PubMed]
- Zhang, J.; Zhang, M.; Fu, S.; Li, T.; Wang, S.; Zhao, M.M.; Ding, W.J.; Wang, C.Y.; Wang, Q. Simultaneous determination of imperatorin and its metabolite xanthotoxol in rat plasma by using HPLC-ESI-MS coupled with hollow fiber liquid phase microextraction. J. Chromatogr. B 2014, 945, 185–192. [Google Scholar] [CrossRef] [PubMed]
- Song, G.; Jin, M.; Du, Y.; Cao, L.; Xu, H. UPLC-QTOF-MS/MS based screening and identification of the metabolites in rat bile after oral administration of imperatorin. J. Chromatogr. B Anal. Technol. Biomed. Life Sci. 2016, 1022, 21–29. [Google Scholar] [CrossRef] [PubMed]
- Chen, T.L.; Zhang, Y.B.; Xu, W.; Kang, T.G.; Yang, X.W. Biotransformation of isoimperatorin by rat liver microsomes and its quantification by LC-MS/MS method. Fitoterapia 2014, 93, 88–97. [Google Scholar] [CrossRef] [PubMed]
- Jeong, Y.H.; Oh, Y.C.; Cho, W.K.; Lee, B.; Ma, J.Y. Anti-Inflammatory Effects of Melandrii Herba Ethanol Extract via Inhibition of NF-kappaB and MAPK Signaling Pathways and Induction of HO-1 in RAW 264.7 Cells and Mouse Primary Macrophages. Molecules 2016, 21, 818. [Google Scholar] [CrossRef] [PubMed]
- Zhou, W.; Tam, K.Y.; Meng, M.; Shan, J.; Wang, S.; Ju, W.; Cai, B.; Di, L. Pharmacokinetics screening for multi-components absorbed in the rat plasma after oral administration of traditional Chinese medicine Flos Lonicerae Japonicae-Fructus Forsythiae herb couple by sequential negative and positive ionization ultra-high-performance liquid chromatography/tandem triple quadrupole mass spectrometric detection. J. Chromatogr. A 2015, 1376, 84–97. [Google Scholar] [PubMed]
- Zhang, Y.; Huo, M.R.; Zhou, J.P.; Xie, S.F. PKSolver: An add-in program for pharmacokinetic and pharmacodynamic data analysis in Microsoft Excel. Comput. Methods Programs Biomed. 2010, 99, 306–314. [Google Scholar] [CrossRef] [PubMed]
- Sample Availability: Samples of the compounds are not available from the authors.





| Component | Range (ng/mL) | Linear Regression Equation | Correlation Coefficient | LLOQ (ng/mL) |
|---|---|---|---|---|
| Oxypeucedanin | 1.0–200 | y = 0.0444x − 0.0381 | 0.9996 | 1.0 |
| Imperatorin | 1.0–200 | y = 0.0857x + 0.0136 | 0.9994 | 1.0 |
| Isoimperatorin | 1.0–200 | y = 0.0431x − 0.0295 | 0.9995 | 1.0 |
| Components | Nominal Concentration (ng/mL) | Intra-Day (n = 6) | Inter-Day (n = 6) | ||||
|---|---|---|---|---|---|---|---|
| Measured Concentration (ng/mL) | RE (%) | RSD (%) | Measured Concentration(ng/mL) | RE (%) | RSD (%) | ||
| Oxypeucedanin | 2 | 2.1 ± 0.2 | 6.8 | 9.4 | 2.1 ± 0.2 | 6.8 | 8.1 |
| 50 | 49.8 ± 1.7 | −0.7 | 3.4 | 49.1 ± 2.6 | −3.7 | 5.3 | |
| 150 | 152.4 ± 6.5 | 1.6 | 4.3 | 149.1 ± 1.9 | −0.2 | 1.3 | |
| Imperatorin | 2 | 1.9 ± 0.2 | −6.9 | 8.3 | 1.9 ± 0.2 | −4.9 | 8.7 |
| 50 | 49.4 ± 1.9 | −2.2 | 3.9 | 49.9 ± 2.3 | −0.5 | 4.5 | |
| 150 | 149.1 ± 5.7 | −0.6 | 3.8 | 151.7 ± 4.7 | 1.2 | 3.1 | |
| Isoimperatorin | 2 | 1.9 ± 0.1 | −5.1 | 7.0 | 2.0 ± 0.1 | −4.1 | 4.4 |
| 50 | 50.3 ± 1.8 | 1.0 | 3.6 | 48.6 ± 1.3 | −5.6 | 2.8 | |
| 150 | 150.2 ± 3.0 | 0.1 | 1.9 | 151.4 ± 2.7 | 0.9 | 1.8 | |
| Components/Nominal Concentration (ng/mL) | Recovery (%) | Matrix (%) | Stability (%) | ||
|---|---|---|---|---|---|
| Free-Thaw Cycles | At −70 °C for 30 Days | At Room Temperature for 24 h | |||
| Oxypeucedanin | |||||
| 2 | 97.4 ± 7.9 | 100.2 ± 6.7 | 94.4 ± 6.4 | 97.7 ± 6.3 | 94.7 ± 7.6 |
| 50 | 84.6 ± 7.6 | 99.9 ± 2.2 | 99.9 ± 4.3 | 98.0 ± 0.8 | 97.8 ± 3.6 |
| 150 | 77.6 ± 7.4 | 100.8 ± 2.1 | 95.0 ± 8.8 | 99.6 ± 1.4 | 97.8 ± 6.6 |
| Imperatorin | |||||
| 2 | 84.9 ± 9.8 | 91.8 ± 7.6 | 97.4 ± 7.1 | 99.0 ± 6.4 | 97.6 ± 7.8 |
| 50 | 83.4 ± 3.7 | 92.3 ± 2.0 | 100.2 ± 3.3 | 101.0 ± 3.7 | 100.9 ± 5.0 |
| 150 | 79.8 ± 4.2 | 85.2 ± 3.1 | 101.1 ± 3.8 | 94.9 ± 9.7 | 101.6 ± 1.6 |
| Isoimperatorin | |||||
| 2 | 85.3 ± 12.2 | 94.9 ± 12.9 | 101.2 ± 4.6 | 98.3 ± 6.5 | 95.9 ± 7.4 |
| 50 | 75.6 ± 4.7 | 96.2 ± 6.9 | 98.8 ± 3.3 | 98.6 ± 3.6 | 100.3 ± 5.2 |
| 150 | 70.3 ± 7.6 | 94.6 ± 7.7 | 95.6 ± 9.2 | 97.1 ± 6.3 | 97.5 ± 7.2 |
| Methods | LC/MS/MS [4] | LC/MS/MS [12] | GC-MS [11] | UPLC-MS/MS (This Work) |
|---|---|---|---|---|
| LLOQ (ng/mL) | ||||
| Oxypeucedanin | 1.16 | 5.00 | 7.00 | 1.00 |
| Imperatorin | 0.14 | 5.00 | 1.00 | |
| Isoimperatorin | 0.14 | 4.00 | 10.00 | 1.00 |
| Plasma sample amount (μL) | 300 | 50 | 200 | 50 |
| Run time (min) | 27.0 | 5.5 | 50.0 | 6.0 |
| Flow rate (mL/min) | 1.0 | 0.3 | 1.2 | 0.3 |
| Parameters | Normal | TNBS-Treated | ||
|---|---|---|---|---|
| 0.5 g/kg | 1.0 g/kg | 0.5 g/kg | 1.0 g/kg | |
| Oxypeucedanin | ||||
| t1/2 (min) | 78.1 ± 7.5 | 73.5 ± 7.8 | 91.9 ± 44.8 | 72.9 ± 7.7 |
| Tmax (min) | 43.2 ± 11.2 | 49.1 ± 11.0 | 54.0 ± 22.8 | 42.4 ± 14.3 |
| Cmax (ng/mL) | 38.5 ± 1.6 | 101.2 ± 21.2 | 29.0 ± 4.0 * | 61.2 ± 11.9 * |
| AUC0→∞ (min·ng/mL) | 5753.4 ± 649.8 | 10,866.7 ± 1720.6 | 7745.0 ± 1576.0 | 13,126.2 ± 2382.3 |
| MRT (min) | 125.9 ± 13.6 | 118.9 ± 11.0 | 203.7 ± 54.2 * | 175.7 ± 7.8 * |
| Imperatorin | ||||
| t1/2 (min) | 59.5 ± 7.2 | 61.5 ± 6.8 | 65.2 ± 11.5 | 56.1 ± 13.9 |
| Tmax (min) | 54.0 ± 7.7 | 72.0 ± 6.7 | 113.7 ± 13.4 * | 127.1 ± 18.4 * |
| Cmax (ng/mL) | 94.5 ± 19.7 | 201.4 ± 18.8 | 27.7 ± 6.3 * | 118.5 ± 32.5 * |
| AUC0→∞ (min·ng/mL) | 11,860.3 ± 2832.5 | 23,889.0 ± 4003.1 | 5196.0 ± 1349.7 | 24,845.0 ± 6485.8 |
| MRT (min) | 121.1 ± 10.4 | 127.6 ± 11.5 | 172.6 ± 12.8 * | 187.6 ± 9.5 * |
| Isoimperatorin | ||||
| t1/2 (min) | 63.8 ± 21.9 | 78.1 ± 2.4 | 88.0 ± 12.9 | 68.6 ± 24.2 |
| Tmax (min) | 72.0 ± 6.7 | 67.5 ± 6.3 | 120.0 ± 16.7 * | 144.0 ± 16.3 * |
| Cmax (ng/mL) | 72.1 ± 12.4 | 128.8 ± 8.7 | 21.1 ± 4.9 * | 71.3 ± 16.2 * |
| AUC0→∞ (min·ng/mL) | 9445.4 ± 2157.1 | 17,778.9 ± 2519.3 | 4197.9 ± 919.7 | 17,881.7 ± 4111.3 |
| MRT (min) | 143.2 ± 21.5 | 145.2 ± 11.6 | 204.3 ± 15.2 * | 225.3 ± 33.5 * |
| Components | Chemical Formula | Precursor ion [M + H]+ | Production | Normalize Collision Energy | |
|---|---|---|---|---|---|
| Calculated | Measured | ||||
| Oxypeucedanin | C16H14O5 | 287.09140 | 287.09088 | 203.03345 | 35 |
| Imperatorin | C16H14O4 | 271.09649 | 271.09573 | 203.03336 | 20 |
| Isoimperatorin | C16H14O4 | 271.09649 | 271.09619 | 203.03336 | 20 |
| Wafarin (IS) | C19H16O4 | 309.11214 | 309.25220 | 251.06992 | 50 |
© 2017 by the authors. Licensee MDPI, Basel, Switzerland. This article is an open access article distributed under the terms and conditions of the Creative Commons Attribution (CC BY) license ( http://creativecommons.org/licenses/by/4.0/).
Share and Cite
Hwang, Y.-H.; Yang, H.J.; Ma, J.Y. Simultaneous Determination of Three Furanocoumarins by UPLC/MS/MS: Application to Pharmacokinetic Study of Angelica dahurica Radix after Oral Administration to Normal and Experimental Colitis-Induced Rats. Molecules 2017, 22, 416. https://doi.org/10.3390/molecules22030416
Hwang Y-H, Yang HJ, Ma JY. Simultaneous Determination of Three Furanocoumarins by UPLC/MS/MS: Application to Pharmacokinetic Study of Angelica dahurica Radix after Oral Administration to Normal and Experimental Colitis-Induced Rats. Molecules. 2017; 22(3):416. https://doi.org/10.3390/molecules22030416
Chicago/Turabian StyleHwang, Youn-Hwan, Hye Jin Yang, and Jin Yeul Ma. 2017. "Simultaneous Determination of Three Furanocoumarins by UPLC/MS/MS: Application to Pharmacokinetic Study of Angelica dahurica Radix after Oral Administration to Normal and Experimental Colitis-Induced Rats" Molecules 22, no. 3: 416. https://doi.org/10.3390/molecules22030416
APA StyleHwang, Y.-H., Yang, H. J., & Ma, J. Y. (2017). Simultaneous Determination of Three Furanocoumarins by UPLC/MS/MS: Application to Pharmacokinetic Study of Angelica dahurica Radix after Oral Administration to Normal and Experimental Colitis-Induced Rats. Molecules, 22(3), 416. https://doi.org/10.3390/molecules22030416
