Abstract
Chemical investigation on the soft coral Sarcophyton ehrenbergi collected from the Xisha Islands of the South China Sea have led to the isolation of eight cembranoids including five new ones, sarcophytonoxides A–E (1–5). The structures of new cembranoids (1–5) were determined by spectroscopic analysis and comparison of the NMR data with those of related analogues. The cytotoxicities of compounds 1–8 against human ovarian cancer cell line A2780 were also evaluated.
1. Introduction
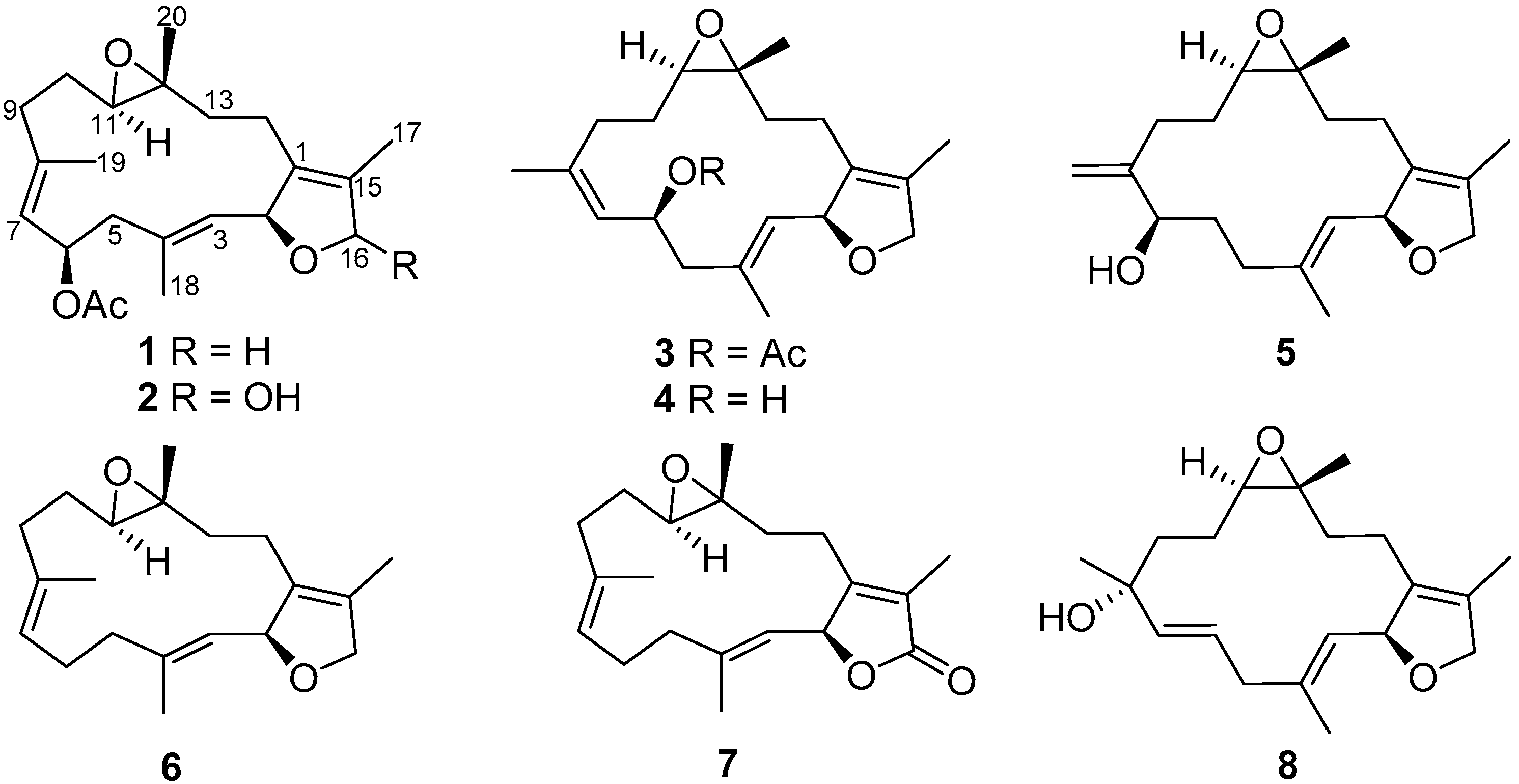
Our previous chemical investigations on soft corals belonging to the genus Sarcophyton (Alcyoniidae), collected off the waters of the South China Sea, have obtained a series of marine natural products, including prostaglandin derivatives [1], sarsolenane-, capnosane- and cembrane-type diterpenoids [2,3,4]. These chemical components, especially cembranes, possessed various bioactivities such as anti-protozoal [5], cytotoxic [6,7], antiviral [8], and anti-inflammatory [9,10] properties, which have motivated natural product researchers to search for potential drug leads. In the course of our ongoing work, five new cembrane-type dierpenoids, sarcophytonoxides A–E (1–5), together with three known ones (Figure 1), were isolated from Sarcophyton ehrenbergi (Figure S1), a soft coral sample collected from North Reef (Beijiao) in the Xisha Islands of the South China Sea. In this paper, we focus on the isolation, structure elucidation, and cytotoxic activities of compounds 1–8.
Figure 1.
The structures of compounds 1–8 isolated from Sarcophyton ehrenbergi.
2. Results and Discussion
The frozen bodies of S. ehrenbergi were extracted by acetone to yield a black residue, which was suspended in water and successively partitioned with petroleum ether (PE) and EtOAc. The EtOAc partition was chromatographed over Sephadex LH-20, silica column, and semipreparative HPLC to obtain eight cembranoids (1–8) (Figure 1).
A sodiated molecular ion peak at m/z 383.2206 [M + Na]+ (calcd for C22H32O4Na+, 383.2193) observed in the HRESIMS in conjunction with the 13C-NMR data corresponded to a molecular formula of C22H32O4 with seven degrees of unsaturation for sarcophytonoxide A (1). The IR spectrum showed bands at 1729 and 1665 cm−1 for carbonyl group and double bonds absorptions. The resonances in the 1H-NMR spectrum (Table 1) for the five methyls (δH 1.97, 1.84, 1.67, 1.65, and 1.26 (each 3H, s)) were all singlet signals, indicative of quaternary methyls. The resonances at δH 2.31 (dd, J = 11.3 and 2.3 Hz) and δC 61.8 (CH) and 61.4 (C) suggested the presence of an epoxy. The 13C-NMR spectrum (Table 2) of 1 showed 22 carbon signals, which were classified from the DEPT and HSQC spectra into five methyls (an acetyl methyl), six methylenes (one oxygenated), five methines (two olefinic and three oxygenated ones), and six quaternary carbons (one oxygenated quaternary carbon, one ester carbonyl carbon, and four olefinic quaternary ones). It was obvious from comparison of the aforementioned data with those of (2S*,11R*,12R*)-isosarcophytoxide (6) [11] and from analysis of the 2D NMR correlations of 1 that sarcophytonoxide A was a cembrane diterpenoid characterized by an epoxide, a dihydrofuran, three olefin bonds, and an acetyl group.
Table 1.
1H-NMR spectroscopic data of 1–5 in CD3COCD3 (400 MHz, δ in ppm, J in Hz).
Table 2.
13C-NMR spectroscopic data of 1–5 in CD3COCD3 (100 MHz, δ in ppm, J in Hz).
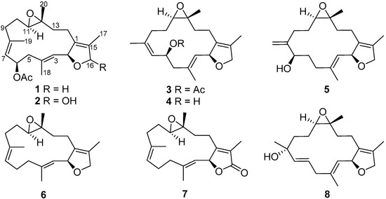
The 1H-1H COSY spectrum exhibited four partial structures (Figure 2), C-2 to C-3, C-5 to C-7, C-9 to C-11, and C-13 to C-14. Based on the HMBC correlations (Figure 2) of H3-18 to C-3, C-4, and C-5, H3-19 to C-7, C-8, and C-9, H3-20 to C-11, C-12, and C-13, H3-17 to C-1, C-15, and C-16, and H2-14 to C-2 and C-15, these fragments and quaternary carbons were connected to form a carbon skeleton of cembrane-type diterpenoid with 14-membered macrocycle fused with a dihydrofuran at C-1 and C-2 and with an epoxy at C-11 and C-12, and substituted by three symmetrically disposed methyl groups at positions C-4, C-8, and C-12. The acetyl group was located at C-6 by the HMBC correlation of H-6 (δH 5.79) to the acetyl carbonyl carbon (δC 170.2). The geometry of two trisubstituted-double bonds and the configurations at four chiral centers were assigned by analysis of its NOESY data. The E-configurations for both Δ3,4 and Δ 7,8 were determined by the NOESY correlations of H-2/H3-18 and H-6/H3-19, respectively. NOESY correlations shown in Figure 3 assigned H-2, H-6, and H-11 as α-oriented, while CH3-20 was the β-orientation. Thus, in a relative sense, C-2, C-6, C-11, and C-12 in sarcophytonoxide A (1) were assigned the S*, R*, R*, and R* configurations, respectively.
Figure 2.
The 1H-1H COSY and selected HMBC correlations of compounds 1–5.
Figure 3.
Key NOESY correlations of compounds 1 and 3–5.
Compound 2 was assigned the molecular formula C22H32O5, 16 mass units more than that of 1, by the analysis of the HRESIMS and NMR data. The 1H- and 13C-NMR data (Table 1 and Table 2) of 2 closely matched those of 1; however, 2 contained resonances for a hemiacetal group (δH 5.78 (1H, s) and δC 114.8 (CH)) instead of the signals of the oxygenated methylene group present in 1. Both Δ3,4 and Δ7,8 were assigned as E-configuration, and the configurations at C-2, C-6, C-11, and C-12 were determined to be the same as 1 by analysis of the NOESY spectrum of 2. Thus, the structure of 2 was deduced as shown and named sarcophytonoxide B.
The same molecular formula as that of 1, C22H32O4, was assigned to sarcophytonoxide C (3) based on the ion peak at m/z 383.2204 [M + Na]+ (calcd for C22H32O4Na+, 383.2193) and the 13C-NMR data. Comparison of the 1H- and 13C-NMR data of 3 with those of 1 (see Table 1 and Table 2) showed that 3 was very similar to sarcophytonoxide A (1). The main differences were the carbon chemical shifts of C-19 (δC 22.7 in 3, δC 15.1 in 1, Δδ = +7.6 ppm), C-6 (δC 72.4 in 3, δC 68.3 in 1, Δδ = +4.1 ppm), C-7 (δC 131.3 in 3, δC 125.1 in 1, Δδ = +6.0 ppm), and C-9 (δC 29.2 in 3, δC 37.2 in 1, Δδ = −8.0 ppm), which may be due to the configuration of 7,8-double bond or the C-6 chiral center. The key NOESY cross-peak of H-7/H3-19 confirmed the Z-configuration of Δ7,8. The E-configuration for Δ3,4 was determined by the NOESY correlation of H-2/H3-18. Moreover, the configurations of C-2, C-6, C-11, and C-12 were deduced to be the S*, S*, R*, and R*, respectively, by analysis of its NOESY correlations (Figure 3). Therefore, the structure of 3 was deduced as shown and named sarcophytonoxide C.
The HRESIMS of compound 4 showed a sodiated molecular ion peak at m/z 341.2102 [M + Na]+ (calcd for C20H30O3Na+, 341.2087), corresponding to a molecular formula of C20H30O3. Detail analysis of its 1D NMR (see Table 1 and Table 2) and MS data with those of 3 suggested that the acetyl group in 3 was replaced by a hydroxyl group in 4, which indicated that 4 was a deacetylated derivative of 3. On the basis of the NOESY correlations (Figure 3), the relative configurations of 4 were determined as the same as 3. Hence, the structure of 4 was well established and named as sarcophytonoxide D.
Sarcophytonoxide E (5) had the molecular formula C22H32O4 with seven degrees of unsaturation based on the [M + Na]+ at m/z 383.2208 (calcd for C22H32O4Na+, 383.2193) in its HREIMS. The 1D NMR data (Table 1 and Table 2) displayed signals for four methyl groups including an acetyl methyl, an exocyclic double bond (δH 5.11 and 5.01 (each 1H, s); δC 151.3 (C) and 112.7 (CH2)), a trisubstituted double bond, a tetrasubstituted double bond, an epoxy group (δH 2.49 (1H, dd, J = 8.8 and 2.8 Hz); δC 63.2 (CH) and 61.8 (C)), an oxygenated methyl (δH 4.40 (2H, m); δC 78.5 (CH2)), two oxygenated methines, and six methylenes. The collective data implied that 5 was homologous to sarcophytonoxides A–D (1–4). Comparison of the 1D NMR data of 5 with those of sarcophytonoxide C showed that the main differences were the presence of an exocyclic double bond and the location of the acetyl group. Analysis of its 2D NMR data (Figure 2) confirmed the exocyclic double bond at C-9 and C-19, and the acetyl group linked at C-7. An E-configuration for the 3,4-double bond was determined by the NOESY correlation of H-2/H3-18. The key NOESY correlations of H-2/ H-13α, H-13α/H-11, H-11/H-7, and H3-20/H-14 (Figure 3) assigned the S*, R*, R*, and R* configurations for C-2, C-7, C-11, and C-12, respectively. Thus, the structure of 5 was established as shown, and named sarcophytonoxide E.
The known compounds, (2S*,11R*,12R*)-isosarcophytoxide (6) [11], (+)-isosarcophine (7) [12], and 8-hydroxyisosarcophytoxide-6-ene (8) [12], were identified by comparison of their NMR and MS data with those in the literature.
All of the cembranoids from S. ehrenbergi were evaluated for their inhibitory activities against human ovarian cancer cell line A2780 using MTT method [13]. The results showed that all compounds were inactive (IC50 > 25 µM) against A2780 cells.
3. Materials and Methods
3.1. General
Optical rotations were measured on a Perkin-Elmer 341 polarimeter (Perkin-Elmer, Waltham, MA, USA). IR spectra were recorded on a Bruker Tensor 37 infrared spectrophotometer (Bruker, Karlsruhe, Germany). 1D and 2D NMR spectra (400 MHz for 1H and 100 MHz for 13C, respectively) were measured on a Bruker AM-400 spectrometer (Bruker) at 25 °C. ESIMS spectra were performed on a Finnigan LCQ Deca instrument (Bruker), and HRESIMS was measured on a Waters Micromass Q-TOF spectrometer (Waters, Milford, MA, USA). HPLC was performed with a YMC-pack ODS-A column (250 mm × 10 mm, S-5 µm, 12 nm) (YMC, Tokyo, Japan) or a Phenomenex Lux cellulose-2 chiral column (250 mm × 10 mm, 5 µm) (Phenomenex, Torrance, CA, USA) under Shimadzu LC-20 AT equipped with a SPD-M20A PDA detector (Shimadzu, Kyoto, Japan). Column chromatography (CC) was performed on silica gel (300–400 mesh, Qingdao Haiyang Chemical Co., Ltd., Qingdao, China), C18 reversed-phase silica gel (12 nm, S-50 µm, YMC Co., Ltd., Tokyo, Japan), and Sephadex LH-20 gel (Amersham Biosciences, Uppsala, Sweden) For RP-HPLC and CC, the analytical grade solvents (Guangzhou Chemical Reagents Company, Ltd., Guangzhou, China) were employed.
3.2. Animal Material
The soft coral S. ehrenbergi (specimen No. RSH201410) was collected by hand, using scuba from North Reef (Beijiao) in the Xisha Islands of the South China Sea, in October 2014, at a water depth of 4–5 m, and stored in a freezer until extraction. A voucher specimen identified by Cheng-Qi Fan, East China Sea Fisheries Research Institute, Chinese Academy of Fishery Sciences, was deposited at the School of Pharmaceutical Sciences, Sun Yat-sen University.
3.3. Extraction and Isolation
The frozen bodies of S. ehrenbergi (600 g, wet weight) were chopped and exhaustively extracted with acetone (1 L × 3) at room temperature. The combined acetone extracts were concentrated in vacuo to a black residue (7 g), which was suspended in water (120 mL) and then partitioned with petroleum ether (3 × 200 mL) and EtOAc (3 × 200 mL), respectively. The dried EtOAc extract (1.2 g) was chromatographed over Sephadex LH-20 eluted with EtOH to give three fractions (Fr. I–III). Fr. I (827 mg) was subjected to gravity chromatography in a silica gel column using PE/acetone gradient (80:1→3:1) separated into seven fractions (Fr. Ia–Ig). Fr. Ib (297 mg) was purified on a semipreparative reversed-phase (RP) HPLC system equipped with a YMC column (MeCN/H2O, 70:30, 3 mL/min) to give 7 (33 mg, tR 8.7 min) and 6 (131 mg, tR 14.5 min). Fr. Id (226 mg) was subjected to RP-HPLC (MeCN/H2O, 70:30, 3 mL/min) to afford 5 (22 mg, tR 10.8 min), 8 (17 mg, tR 13.2 min), and a mixture (tR 17.8 min). Further purification of the mixture (105 mg) on HPLC equipped with a chiral-phase column (Phenomenex Lux, cellulose-2, MeCN/H2O, 75:25, 3 mL/min) yielded 3 (24 mg, tR 15.0 min) and 1 (28 mg, tR 18.6 min). Fr. Ie (68 mg) was subjected to further purification by RP-HPLC (MeCN/H2O, 60:40, 3 mL/min) to give 4 (13 mg, tR 11.9 min). Fr. If (46 mg) was chromatographed over RP-HPLC (MeCN/H2O, 60:40, 3 mL/min) to give 2 (11 mg, tR 14.7 min).
3.4. Bioactivity Assays
The isolated cembrane-type diterpenoids were tested in vitro for their cytotoxicity against human ovarian cancer cell line A2780 using the MTT assay [13]. In brief, A2780 cells in the log phase of their growth cycle were seeded in 96-well plates with 5.0 × 103 cells/well in a volume of 100 µL. The cells were grown in a humidified 5% CO2 atmosphere at 37 °C overnight. Then the test compounds in complete growth medium (100 µL) were added to the wells in triplicate. After incubation for 48 h at 37 °C, a 20 μL aliquot of MTT solution (5 mg/mL) was added to each well. Incubation was continued for another 3 h, the supernatant was removed, and 100 µL of dimethyl sulfoxide (DMSO) was added. Finally, absorbance in each well was measured at 570 nm on a TECAN infinite M200 pro multimode reader. The 50% inhibitory concentration (IC50) was obtained by nonlinear regression analysis of logistic curves.
Sarcophytonoxide A (1): Colorless oil; −36.8 (c 0.5, MeOH); IR (KBr) νmax 1729, 1665, 1440, 1371, 1241, 1039, 1017, 948 cm−1; 1H- and 13C-NMR data, see Table 1 and Table 2; ESIMS m/z 383 [M + Na]+, HRESIMS m/z 383.2206 [M + Na]+ (calcd for C22H32O4Na+, 383.2193).
Sarcophytonoxide B (2): Colorless oil; −12.5 (c 0.5, MeOH); IR (KBr) νmax 3453, 1731, 1668, 1439, 1373, 1244, 1020, 950 cm−1; 1H- and 13C-NMR data, see Table 1 and Table 2; ESIMS m/z 399 [M + Na]+, HRESIMS m/z 399.2158 [M + Na]+ (calcd for C22H32O5Na+, 399.2142).
Sarcophytonoxide C (3): Colorless oil; −50.7 (c 0.5, MeOH); IR (KBr) νmax 1730, 1663, 1445, 1371, 1237, 1040, 942 cm−1; 1H- and 13C-NMR data, see Table 1 and Table 2; ESIMS m/z 383 [M + Na]+, HRESIMS m/z 383.2204 [M + Na]+ (calcd for C22H32O4Na+, 383.2193).
4. Conclusions
Soft corals from the South China Sea belonging to the genus Sarcophyton, a number of cembrane-type diterpenoids, were isolated by our research group. In our continuing search for marine natural product from the soft corals of Sarcophyton sp., five new cembranoids, sarcophytonoxides A–E (1–5), along with three known ones, (2S*,11R*,12R*)-isosarcophytoxide (6), (+)-isosarcophine (7), and 8-hydroxyisosarcophytoxide-6-ene (8), were obtained from the soft coral S. ehrenbergi collected from the Xisha Islands of the South China Sea. The cytotoxicity assay results showed that all cembranoids were inactive (IC50 > 25 µM) against A2780 cells.
Supplementary Materials
Supplementary materials can be accessed at: http://www.mdpi.com/1420-3049/21/5/587/s1.
Acknowledgments
The authors thank the Science and Technology Planning Project of Guangdong Province (No. 2013B021100009), the National Natural Science Foundation of China (Nos. 81402813 and 81573302), and the Guangdong Natural Science Funds for Distinguished Young Scholars (No. 2014A030306047) for providing financial support to this work.
Author Contributions
G.H.T. and S.Y. designed the experiments; Z.H.S. performed the experiments; Y.H.Z. analyzed the data; G.H.T. wrote the paper. All authors discussed, edited and approved the final version of manuscript.
Conflicts of Interest
The authors declare no conflict of interest.
References
- Cheng, Z.B.; Deng, Y.L.; Fan, C.Q.; Han, Q.H.; Lin, S.L.; Tang, G.H.; Luo, H.B.; Yin, S. Prostaglandin derivatives: Nonaromatic phosphodiesterase-4 inhibitors from the soft coral Sarcophyton ehrenbergi. J. Nat. Prod. 2014, 77, 1928–1936. [Google Scholar] [CrossRef] [PubMed]
- Liu, X.; Zhang, J.; Liu, Q.; Tang, G.; Wang, H.; Fan, C.; Yin, S. Bioactive cembranoids from the South China Sea soft coral Sarcophyton elegans. Molecules 2015, 20, 13324–13335. [Google Scholar] [CrossRef] [PubMed]
- Zhu, J.Y.; Li, W.; Bao, J.M.; Zhang, J.S.; Yin, S.; Tang, G.H. Diterpenoids from the South China Sea soft coral Sarcophyton solidum. Biochem. Syst. Ecol. 2015, 62, 6–10. [Google Scholar] [CrossRef]
- Cheng, Z.B.; Liao, Q.; Chen, Y.; Fan, C.Q.; Huang, Z.Y.; Xu, X.J.; Yin, S. Four new cembranoids from the soft coral Sarcophyton sp. Magn. Reson. Chem. 2014, 52, 515–520. [Google Scholar] [CrossRef] [PubMed]
- Thao, N.P.; Luyen, B.T.; Brun, R.; Kaiser, M.; van Kiem, P.; van Minh, C.; Schmidt, T.J.; Kang, J.S.; Kim, Y.H. Anti-protozoal activities of cembrane-type diterpenes from Vietnamese soft corals. Molecules 2015, 20, 12459–12468. [Google Scholar] [CrossRef] [PubMed]
- Hsiao, T.H.; Cheng, C.H.; Wu, T.Y.; Lu, M.C.; Chen, W.F.; Wen, Z.H.; Dai, C.F.; Wu, Y.C.; Sung, P.J. New cembranoid diterpenes from the cultured octocoral Nephthea columnaris. Molecules 2015, 20, 13205–13215. [Google Scholar] [CrossRef] [PubMed]
- Elkhateeb, A.; El-Beih, A.A.; Gamal-Eldeen, A.M.; Alhammady, M.A.; Ohta, S.; Pare, P.W.; Hegazy, M.E. New terpenes from the Egyptian soft coral Sarcophyton ehrenbergi. Mar. Drugs 2014, 12, 1977–1986. [Google Scholar] [CrossRef] [PubMed]
- Wang, S.K.; Hsieh, M.K.; Duh, C.Y. New diterpenoids from soft coral Sarcophyton ehrenbergi. Mar. Drugs 2013, 11, 4318–4327. [Google Scholar] [CrossRef] [PubMed]
- Lin, W.Y.; Chen, B.W.; Huang, C.Y.; Wen, Z.H.; Sung, P.J.; Su, J.H.; Dai, C.F.; Sheu, J.H. Bioactive Cembranoids, Sarcocrassocolides P–R, from the Dongsha Atoll Soft Coral Sarcophyton crassocaule. Mar. Drugs 2014, 12, 840–850. [Google Scholar] [CrossRef] [PubMed]
- Cuong, N.X.; Thao, N.P.; Luyen, B.T.T.; Ngan, N.T.T.; Thuy, D.T.T.; Song, S.B.; Nam, N.H.; Kiem, P.V.; Kim, Y.H.; Minh, C.V. Cembranoid diterpenes from the soft coral Lobophytum crassum and their anti-inflammatory activities. Chem. Pharm. Bull. 2014, 62, 203–208. [Google Scholar] [CrossRef] [PubMed]
- Konig, G.M.; Wright, A.D. New cembranoid diterpenes from the soft coral Sarcophyton ehrenbergi. J. Nat. Prod. 1998, 61, 494–496. [Google Scholar] [CrossRef]
- Kusumi, T.; Yamada, K.; Ishitsuka, M.O.; Fujita, Y.; Kakisawa, H. New cembranoids from the Okinawan soft coral Sinularia mayi. Chem. Lett. 1990, 19, 1315–1318. [Google Scholar] [CrossRef]
- Mosmann, T. Rapid colorimetric assay for cellular growth and survival: Application to proliferation and cytotoxicity assays. J. Immunol. Methods 1983, 65, 55–63. [Google Scholar] [CrossRef]
- Sample Availability: Samples of the compounds 1–8 are available from the authors.
© 2016 by the authors. Licensee MDPI, Basel, Switzerland. This article is an open access article distributed under the terms and conditions of the Creative Commons Attribution (CC-BY) license ( http://creativecommons.org/licenses/by/4.0/).


