Metabolites Produced by the Endophytic Fungus Aspergillus fumigatus from the Stem of Erythrophloeum fordii Oliv.
Abstract
:1. Introduction

2. Results and Discussion
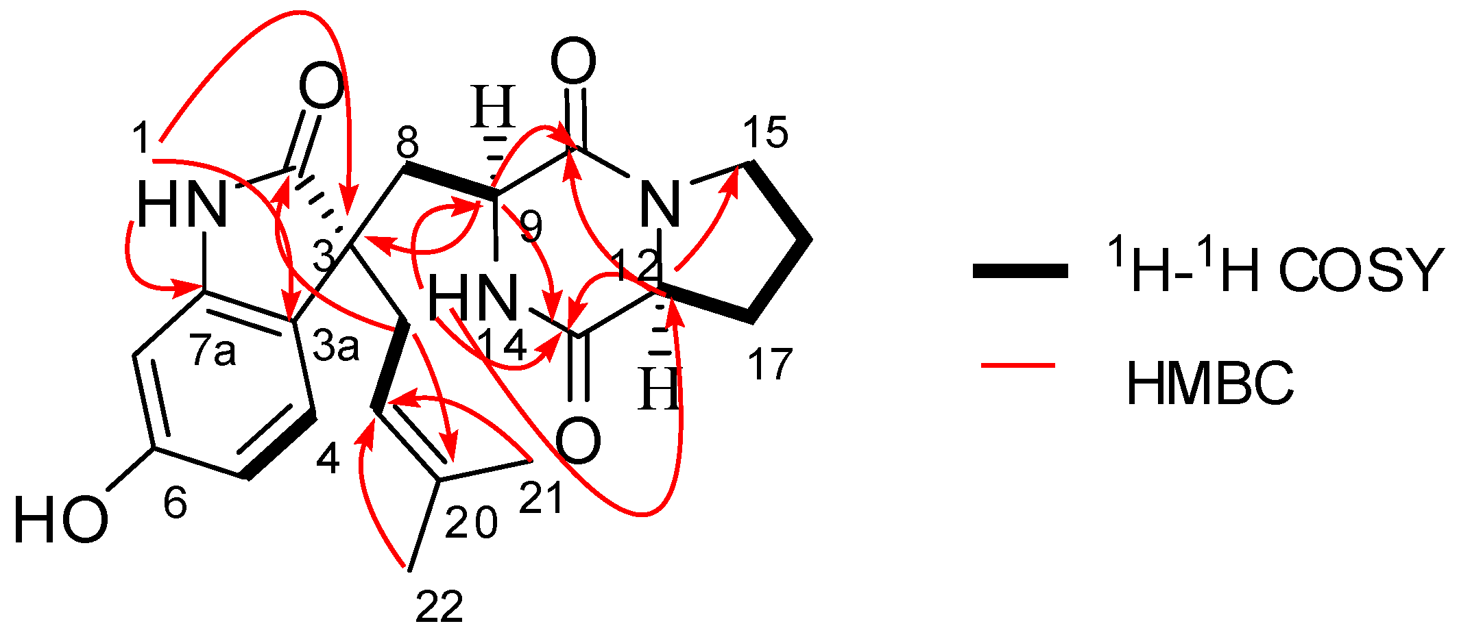
| Position | δC | δH (J in Hz) | HMBC |
|---|---|---|---|
| 1 (NH) | 11.96 s | C-2, C-3, C-3a, C-7a | |
| 2 | 184.0 | ||
| 3 | 52.8 | ||
| 3a | 122.3 | ||
| 4 | 125.6 | 7.41 d (8.1) | C-3, C-5, C-6, C-3a, C-7a |
| 5 | 109.8 | 6.94 dd (8.1, 2.2) | C-4, C-6, C-7, C-3a |
| 6 | 159.8 | ||
| 7 | 99.2 | 6.91 d (2.2) | C-5, C-6, C-3a, C-7a |
| 7a | 144.7 | ||
| 8 | 36.4 | 3.62 dd (15.0, 1.9) 2.50 dd (15.0, 8.4) | C-2, C-3, C-18, C-9, C-10 |
| 9 | 53.3 | 4.06 dd (8.4, 1.9) | C-3, C-8, C-10, C-13 |
| 10 | 170.6 | ||
| 12 | 59.2 | 3.87 t (8.2) | C-10, C-13, C-15, C-16, C-17 |
| 13 | 166.1 | ||
| 14 (NH) | 7.81 s | C-9, C-10, C-12, C-13 | |
| 15 | 45.9 | 3.50 dt (11.3, 8.1) 3.37 m | C-10, C-12, C-17 |
| 16 | 23.2 | 1.63 m 1.53 m | C-12, C-15, C-17 |
| 17 | 28.4 | 2.10 m | C-12, C-14, C-15, C-16 |
| 18 | 38.2 | 2.84 dd (14.1, 7.1) 2.78 dd (14.1, 7.1) | C-2, C-3, C-4, C-8, C-20 |
| 19 | 118.9 | 5.27 dd (7.1, 7.1) | C-3, C-18, C-20, C-21, C-22 |
| 20 | 135.9 | ||
| 21 | 26.1 | 1.51 s | C-19, C-20, C-22 |
| 22 | 18.3 | 1.56 s | C-19, C-21, C-22 |


3. Experimental Section
3.1. General Information
3.2. Fungal Material
3.3. Extraction and Isolation
3.4. Product Characterization
3.5. Absolute Configuration of 1
3.6. In Vitro Anti-Inflammatory Activity Assays
4. Conclusions
Supplementary Materials
Acknowledgments
Author Contributions
Conflicts of Interest
References
- Zhang, H.W.; Song, Y.C.; Tan, R.X. Biology and chemistry of endophytes. Nat. Prod. Rep. 2006, 23, 753–771. [Google Scholar] [CrossRef] [PubMed]
- Schueffler, A.; Anke, T. Fungal natural products in research and development. Nat. Prod. Rep. 2014, 31, 1425–1448. [Google Scholar] [CrossRef] [PubMed]
- China Flora Editing Group of China Science Academy. Leguminosae sp. In Leguminosae sp., Flora Reipublicae Popularis Sinicae; Science Press: Beijing, China, 1997; Volume 39, pp. 117–119. [Google Scholar]
- Qu, J.; Wang, Y.H.; Li, J.B.; Yu, S.S.; Liu, Y.B. Rapid structural determination of new trace cassaine-type diterpenoid amides in fractions Erythrophleum fordii by liquid chromatography-diode-array detection-electrospray ionization tandem mass spectrometry and liquid chromatography-nuclear magnetic resonance. Rapid Commun. Mass Spectrom. 2007, 21, 2109–2119. [Google Scholar] [PubMed]
- Li, X.J.; Zhang, Q.; Zhang, A.L.; Gao, J.M. Metabolites from Aspergillus fumigatus, an endophytic fungus associated with melia azedarach, and their antifungal, antifeedant, and toxic activities. J. Agric. Food Chem. 2012, 60, 3424–3431. [Google Scholar] [CrossRef] [PubMed]
- Zhang, M.; Wang, W.L.; Fang, Y.C.; Zhu, T.J.; Gu, Q.Q.; Zhu, W.M. Cytotoxic alkaloids and antibiotic nordammarane triterpenoids from the marine-derived fungus Aspergillus sydowi. J. Nat. Prod. 2008, 71, 985–989. [Google Scholar] [CrossRef] [PubMed]
- Bloch, P.; Tamm, C.; Bollinger, P.; Petcher, T.J.; Weber, H.P. Pseurotin, A new metabolite of Pseudeurotium ovalis STOLKH having an unusual hetero-spirocyclic system. Helv. Chim. Acta 1976, 59, 133–137. [Google Scholar] [CrossRef] [PubMed]
- Li, Y.; Li, X.F.; Kim, D.S.; Choi, H.D.; Son, B.W. Indolyl alkaloid derivatives, Nb-acetyltryptamine and oxaline from a marine-derived fungus. Arch. Pharm. Res. 2003, 26, 21–23. [Google Scholar] [CrossRef] [PubMed]
- Grande, H.J.; van Schagen, C.; Jarbandhan, G.T.; Jarbandhan, T.; Müller, F. An 1H-NMR spectroscopic study of alloxazines and isoalloxazines. Helv. Chim. Acta 1977, 60, 348–366. [Google Scholar] [CrossRef]
- Cui, C.B.; Kakeya, H.; Osada, H. Novel mammalian cell cycle inhibitor, spirotryprostatins A and B, produced by Aspergillus fumigatus, which inhibit mammalian cell cycle at G2/M Phase. Tetrahedron 1996, 52, 12651–12666. [Google Scholar] [CrossRef]
- Marfey, P. Determination of d-amino acids. II. Use of a bifunctional reagent, 1,5-difluoro-2,4-dinitrobenzene. Carlsberg Res. Commun. 1984, 49, 591–596. [Google Scholar] [CrossRef]
- Sacco, R.E.; Waters, W.R.; Rudolph, K.M.; Drew, M.L. Comparative nitric oxide production by LPS-stimulated monocyte-derived macrophages from Ovis canadensis and Ovis aries. Comp. Immunol. Microbiol. Infect. Dis. 2006, 29, 1–11. [Google Scholar] [CrossRef] [PubMed]
- Mencherini, T.; Cau, A.; Bianco, G.; Della Loggia, R.; Aquino, R.P.; Autore, G. An extract of Apium graveolens var. dulce leaves: Structure of the major constituent, apiin, and its anti-inflammatory properties. Pharm. Pharmacol. 2006, 59, 891–897. [Google Scholar] [CrossRef] [PubMed]
- Sample Availability: Samples of the compounds 1−6 are available from the authors.
© 2015 by the authors. Licensee MDPI, Basel, Switzerland. This article is an open access article distributed under the terms and conditions of the Creative Commons Attribution license ( http://creativecommons.org/licenses/by/4.0/).
Share and Cite
Shi, Y.-S.; Zhang, Y.; Chen, X.-Z.; Zhang, N.; Liu, Y.-B. Metabolites Produced by the Endophytic Fungus Aspergillus fumigatus from the Stem of Erythrophloeum fordii Oliv. Molecules 2015, 20, 10793-10799. https://doi.org/10.3390/molecules200610793
Shi Y-S, Zhang Y, Chen X-Z, Zhang N, Liu Y-B. Metabolites Produced by the Endophytic Fungus Aspergillus fumigatus from the Stem of Erythrophloeum fordii Oliv. Molecules. 2015; 20(6):10793-10799. https://doi.org/10.3390/molecules200610793
Chicago/Turabian StyleShi, Yu-Sheng, Yan Zhang, Xiao-Zhong Chen, Ning Zhang, and Yun-Bao Liu. 2015. "Metabolites Produced by the Endophytic Fungus Aspergillus fumigatus from the Stem of Erythrophloeum fordii Oliv." Molecules 20, no. 6: 10793-10799. https://doi.org/10.3390/molecules200610793
APA StyleShi, Y.-S., Zhang, Y., Chen, X.-Z., Zhang, N., & Liu, Y.-B. (2015). Metabolites Produced by the Endophytic Fungus Aspergillus fumigatus from the Stem of Erythrophloeum fordii Oliv. Molecules, 20(6), 10793-10799. https://doi.org/10.3390/molecules200610793
