Development of an Ionic Liquid-Based Microwave-Assisted Method for the Extraction and Determination of Taxifolin in Different Parts of Larix gmelinii
Abstract
:1. Introduction

2. Results and Discussion
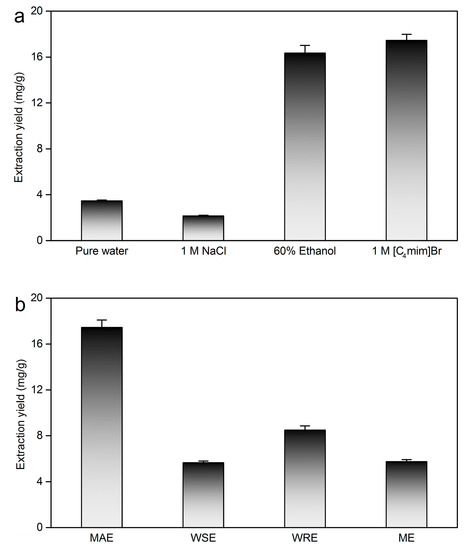
2.1. Screening of the Ionic Liquid-Based Extraction Solvents
2.1.1. Influence of the Anion
2.1.2. Influence of Cation

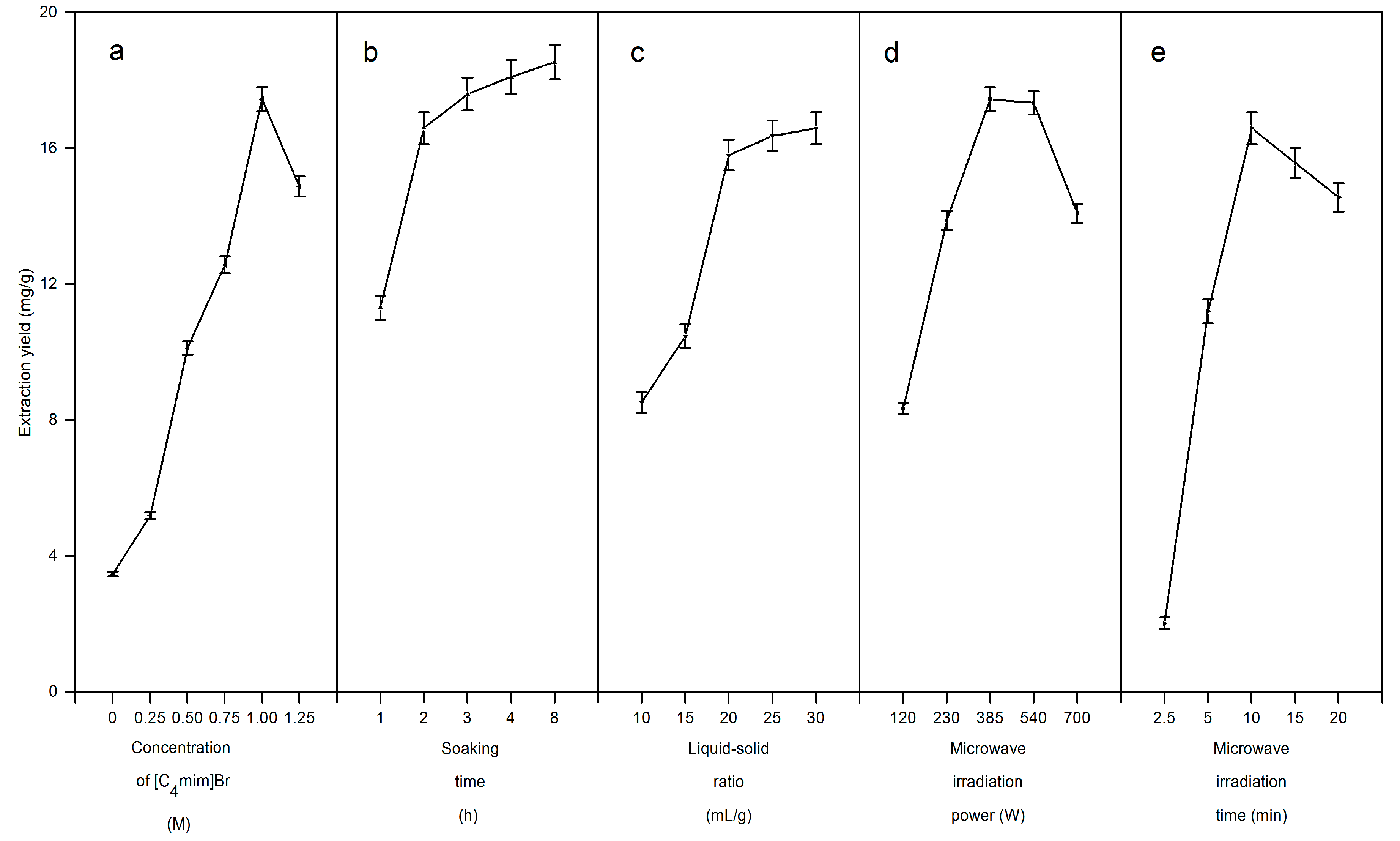
2.2. Optimization of Single Factor Extraction Conditions
2.2.1. Influence of [C4mim]Br Concentration

2.2.2. Influence of Soaking Time
2.2.3. Influence of Liquid-Solid Ratio
2.2.4. Influence of Microwave Irradiation Power
2.2.5. Influence of Microwave Irradiation Time
2.3. Further Optimization by Response Surface Methodology (RSM)
| Run | Factor X1 | Factor X2 | Factor X3 | Response | |
|---|---|---|---|---|---|
| Microwave Irradiation Time (min) | Liquid-Solid Ratio (mL/g) | Microwave Irradiation Power (W) | Actual Extraction Yield (mg/g) | Predicted Extraction Yield(mg/g) | |
| 1 | 10 (0) | 15 (−1) | 540 (1) | 16.69 | 16.68 |
| 2 | 10 (0) | 15 (−1) | 230 (−1) | 14.47 | 14.16 |
| 3 | 10 (0) | 25 (1) | 230 (−1) | 16.05 | 16.06 |
| 4 | 15 (1) | 25 (1) | 385 (0) | 18.47 | 17.96 |
| 5 | 5 (−1) | 25 (1) | 385 (0) | 16.89 | 16.83 |
| 6 | 15 (1) | 20 (0) | 230 (−1) | 15.26 | 15.50 |
| 7 | 15 (1) | 15 (−1) | 385 (0) | 18.37 | 18.44 |
| 8 | 15 (1) | 20 (0) | 540 (1) | 15.95 | 15.90 |
| 9 | 5 (−1) | 15 (−1) | 385 (0) | 15.80 | 16.06 |
| 10 | 10 (0) | 20 (0) | 385 (0) | 18.47 | 18.21 |
| 11 | 5 (−1) | 20 (0) | 540 (1) | 14.75 | 14.51 |
| 12 | 10 (0) | 20 (0) | 385 (0) | 18.18 | 17.96 |
| 13 | 10 (0) | 20 (0) | 385 (0) | 17.48 | 17.96 |
| 14 | 10 (0) | 20 (0) | 385 (0) | 17.63 | 17.96 |
| 15 | 10 (0) | 20 (0) | 385 (0) | 18.02 | 17.96 |
| 16 | 10 (0) | 25 (1) | 540 (1) | 15.01 | 15.32 |
| 17 | 5 (−1) | 20 (0) | 230 (−1) | 13.08 | 13.13 |
| Source | Sum of Squares | Degree of Freedom | Mean Square | F-Value | p-Value |
|---|---|---|---|---|---|
| Model b | 41.39 | 9 | 4.60 | 29.21 | <0.0001 |
| X1 | 7.08 | 1 | 7.08 | 44.97 | 0.0003 |
| X2 | 0.15 | 1 | 0.15 | 0.94 | 0.3637 |
| X3 | 1.58 | 1 | 1.58 | 10.02 | 0.0158 |
| X1 X2 | 0.25 | 1 | 0.25 | 1.58 | 0.2494 |
| X1 X3 | 0.24 | 1 | 0.24 | 1.53 | 0.2561 |
| X2 X3 | 2.67 | 1 | 2.67 | 16.93 | 0.0045 |
| X12 | 1.97 | 1 | 1.97 | 12.50 | 0.0095 |
| X22 | 0.051 | 1 | 0.051 | 0.33 | 0.5860 |
| X32 | 26.60 | 1 | 26.60 | 168.95 | <0.0001 |
| Residual | 1.10 | 7 | 0.16 | ||
| Lack of fit | 0.45 | 3 | 0.15 | 0.93 | 0.5024 |
| Pure error | 0.65 | 4 | 0.16 | ||
| Cor total | 42.49 | 16 |
| Index Mark a | Taxifolin |
|---|---|
| Standard deviation | 0.40 |
| Mean | 16.51 |
| Coefficient of variation % | 2.40 |
| Press | 8.28 |
| R2 | 0.9741 |
| Adjust R2 | 0.9407 |
| Predicted R2 | 0.8052 |
| Adequacy precision | 17.440 |

2.4. Method Validation
2.4.1. Stability
| Initial Concentration (mg/mL) | Recovered Concentration after MAE (mg/mL) | RSD% ( n = 3) | Recovery (%) | Recovered Concentration after 7 Days (mg/mL) | RSD% ( n = 3) | Recovery (%) |
|---|---|---|---|---|---|---|
| 4.13 | 4.08 | 1.06 | 98.79 | 3.97 | 1.03 | 96.13 |
| 8.27 | 8.19 | 1.00 | 99.03 | 8.03 | 1.07 | 97.10 |
| 16.66 | 16.54 | 1.02 | 99.28 | 16.46 | 1.05 | 98.80 |
2.4.2. Recovery
| Sample | Taxifoin Content of the Sample (mg) | Mass of Added Taxifolin Standard (mg) | Mass of the Sample Analyzed with Added Taxifolin Standard (mg) | Recovery (%) |
|---|---|---|---|---|
| 1 | 18.67 | 10 | 28.61 | 99.79 |
| 2 | 18.67 | 20 | 38.04 | 98.37 |
| 3 | 18.67 | 30 | 48.43 | 99.51 |
| Average | 99.22 |
2.4.3. Repeatability
2.5. Comparison of ILMAE with the Reference Solvent and Traditional Methods

2.6. Application and Benefits of the Proposal Approach for Extraction of Taxifolin
2.7. Actual Sample Determination




2.7.1. Taxifolin Content in Bark, Sapwood and Heartwood
2.7.2. Taxifolin Content in Roots, Branches and Needles
2.7.3. Influence of Tree Age
2.7.4. Influence of Orientation
2.7.5. Influence of Seasons
3. Experimental Section
3.1. Chemicals and Reagents
3.2. Materials
3.3. Apparatus
3.4. HPLC Analysis and Quantification

3.5. Ionic Liquids Based Microwave-Assisted Extraction
3.6. Optimization ILMAE by RSM
3.7. Method Validation
3.8. Reference and Conventional Extraction Methods
3.9. Statistical Analysis
4. Conclusions
Acknowledgments
Author Contributions
Conflicts of Interest
References
- Yang, L.; Sun, X.; Yang, F.; Zhao, C.; Zhang, L.; Zu, Y. Application of ionic liquids in the microwave-assisted extraction of proanthocyanidins from Larix gmelinii bark. Int. J. Mol. Sci. 2012, 13, 5163–5178. [Google Scholar]
- Wang, Y.; Zu, Y.; Long, J.; Fu, Y.; Li, S.; Zhang, D.; Li, J.; Wink, M.; Efferth, T. Enzymatic water extraction of taxifolin from wood sawdust of Larix gmelinii (Rupr.) Rupr and evaluation of its antioxidant activity. Food Chem 2011, 126, 1178–1185. [Google Scholar]
- Dushkin, A.V.; Chistyachenko, Y.S.; Tolstikova, T.G.; Khvostov, M.V.; Polyakov, N.E.; Lyakhov, N.Z.; Tolstikov, G.A. Pharmacological and physicochemical properties of mechanochemically synthesized supramolecular complexes of acetylsalicylic acid and polysaccharide arabinogalactan from lrches Larix sibirica and Larix gmelinii. Dokl. Biochem. Biophys. 2013, 451, 180–182. [Google Scholar]
- Yoshida, T.; Zhe, X.J.; Okuda, T. Taxifolin apioside and davuriciin M1, a hydrolysable tannin from Rosa davurica. Phytochemistry 1989, 28, 2177–2181. [Google Scholar]
- Sun, T.; Deng, A.; Li, Z.; Qin, H. Flavanoids from the leaves of Engelhardtia roxburghiana. Chin. Pharm. J. 2012, 47, 1617–1620. [Google Scholar]
- Abouzid, S.; Ahmed, O.M. Silymarin flavonolignans: Structure-activity relationship and biosynthesis. Stud. Nat. Prod. Chem. 2013, 40, 469–484. [Google Scholar]
- An, S.M.; Kim, H.J.; Kim, J.E.; Boo, Y.C. Flavonoids, taxifolin and luteolin attenuate cellular melanogenesis despite increasing tyrosinase protein levels. Phytother. Res. 2008, 22, 1200–1207. [Google Scholar]
- Ma, C.; Yang, L.; Wang, W.; Yang, F.; Zhao, C.; Zu, Y. Extraction of dihydroquercetin from Larix gmelinii with ultrasound-assisted and microwave-assisted alternant digestion. Int. J. Mol. Sci. 2012, 13, 8789–8804. [Google Scholar]
- Sun, X.; Chen, R.; Yang, Z.; Sun, G.; Wang, M.; Ma, X.; Yang, L.; Sun, X. Taxifolin prevents diabetic cardiomyopathy in vivo and in vitro by inhibition of oxidative stress and cell apoptosis. Food Chem. Toxicol. 2014, 63, 221–232. [Google Scholar]
- Zhang, Z.R.; al Zaharna, M.; Wong, M.M.; Chiu, S.; Cheung, H. Taxifolin enhances andrographolide-induced mitotic arrest and apoptosis in human prostate cancer cells via spindle assembly checkpoint activation. PLoS One 2013, 8, 1–16. [Google Scholar]
- Oi, N.; Chen, H.; Kim, M.O.; Lubet, R.A.; Bode, A.M.; Dong, Z. Taxifolin suppresses UV-induced skin carcinogenesis by targeting EGFR and PI3K. Cancer Prev. Res. 2012, 5, 1103–1114. [Google Scholar]
- Verma, S.; Singh, A.; Mishra, A. Taxifolin acts as type I inhibitor for VEGFR-2 kinase: Stability evaluation by molecular dynamic simulation. J. Appl. Pharm. Sci. 2012, 2, 41–46. [Google Scholar]
- Gundampati, R.K.; Jagannadham, M.V. Molecular docking based inhibition of trypanothione reductase activity by taxifolin novel target for antileishmanial activity. J. Appl. Pharm. Sci. 2012, 2, 133–166. [Google Scholar]
- El-Adawi, H.; Abdel-Fattah, Y.; El-Wahab, A.A. Application of numerical modeling for optimization of selective hot water extraction of taxifolin from “milk thistle” seeds. Afr. J. Biotechnol. 2011, 10, 9804–9811. [Google Scholar]
- Wallace, S.N.; Carrier, D.J.; Clausen, E.C. Extraction of nutraceuticals from milk thistle: Part II. Extraction with organic solvents. Appl. Biochem. Biotechnol. 2003, 108, 891–904. [Google Scholar]
- Wallace, S.N.; Carrier, D.J.; Clausen, E.C. Batch solvent extraction of flavanolignans from milk thistle (Silybum marianum L. Gaertner). Phytochem. Anal. 2005, 16, 7–16. [Google Scholar]
- Ma, C.; Liu, T.; Yang, L.; Zu, Y.; Chen, X.; Zhang, L.; Zhang, Y.; Zhao, C. Ionic liquid-based microwave-assisted extraction of essential oil and biphenyl cyclooctene lignans from Schisandra chinensis Baill fruits. J. Chromatogr. A 2011, 1218, 8573–8580. [Google Scholar]
- Yao, H.; Du, X.; Yang, L.; Yang, F.; Zhao, C.; Zhang, L.; Zu, Y. Microwave-assisted method for simultaneous extraction and hydrolysis for determination of flavonol glycosides in Ginkgo foliage using Brönsted acidic ionic-liquid [HO3S(CH2)4mim]HSO4 aqueous solutions. Int. J. Mol. Sci. 2012, 13, 8775–8788. [Google Scholar]
- Liu, Y.; Yang, L.; Zu, Y.; Zhao, C.; Zhang, L.; Zhang, Y.; Zhang, Z.; Wang, W. Development of an ionic liquid-based microwave-assisted method for simultaneous extraction and distillation for determination of proanthocyanidins and essential oil in Cortex cinnamomi. Food Chem. 2012, 135, 2514–2521. [Google Scholar]
- Mason, T.J.; Chemat, F.; Vinatoru, M. The extraction of natural products using ultrasound or microwaves. Curr. Org. Chem. 2011, 2, 237–247. [Google Scholar]
- Li, Y.; Fabiano-Tixier, A.S.; Vian, M.A.; Chemat, F. Solvent free microwave extraction of bioactive compounds provides a tool for green analytical chemistry. Trends Anal. Chem. 2013, 47, 1–11. [Google Scholar]
- Ma, C.; Liu, T.; Yang, L.; Zu, Y.; Wang, S.; Zhang, R. Study on ionic liquid-based ultrasonic-assisted extraction of biphenyl cyclooctene lignans from the fruit of Schisandra chinensis Baill. Anal. Chim. Acta 2011, 689, 110–116. [Google Scholar]
- Yang, L.; Liu, Y.; Zu, Y.; Zhao, C.; Zhang, L.; Chen, X.; Zhang, Z. Optimize the process of ionic liquid-based ultrasonic-assisted extraction of aesculin and aesculetin from Cortex Fraxini by response surface methodology. Chem. Eng. J. 2011, 175, 539–547. [Google Scholar]
- Yang, L.; Li, L.; Liu, T.; Zu, Y.; Yang, F.; Zhao, C.; Zhang, L.; Chen, X.; Zhang, Z. Development of sample preparation method for isoliquiritigenin, liquiritin, and glycyrrhizic acid analysis in licorice by ionic liquids-ultrasound based extraction and high-performance liquid chromatography detection. Food Chem. 2013, 138, 173–179. [Google Scholar]
- Yang, L.; Ge, H.; Wang, W.; Zu, Y.; Yang, F.; Zhao, C.; Zhang, L.; Zhang, Y. Development of sample preparation method for eleutheroside B and E analysis in Acanthopanax senticosus by ionic liquids-ultrasound based extraction and high-performance liquid chromatography detection. Food Chem. 2013, 141, 2426–2433. [Google Scholar]
- Sun, X.; Jin, Z.; Yang, L.; Hao, J.; Zu, Y.; Wang, W.; Liu, W. Ultrasonic-assisted extraction of procyanidins using ionic liquid solution from Larix gmelinii bark. J. Chem. 2013, 2013. [Google Scholar] [CrossRef]
- Wang, S.; Yang, L.; Zu, Y.; Zhao, C.; Sun, X.; Zhang, L.; Zhang, Z. Design and performance evaluation of ionic-liquids-based microwave-assisted environmentally friendly extraction technique for camptothecin and 10-hydroxycamptothecin from samara of Camptotheca acuminate. Ind. Eng. Chem. Res. 2011, 50, 13620–13627. [Google Scholar]
- Ma, C.; Wang, S.; Yang, L.; Zu, Y. Ionic liquid-aqueous solution ultrasonic-assisted extraction of camptothecin and 10-hydroxycamptothecin from Camptotheca acuminata samara. Chem. Eng. Process 2012, 57–58, 59–64. [Google Scholar]
- Yang, L.; Wang, H.; Zu, Y.; Zhao, C.; Zhang, L.; Chen, X.; Zhang, Z. Ultrasound-assisted extraction of the three terpenoid indole alkaloids vindoline, catharanthine and vinblastine from Catharanthus roseus using ionic liquid solution. Chem. Eng. J. 2011, 172, 705–712. [Google Scholar]
- Zu, G.; Zhang, R.; Yang, L.; Ma, C.; Zu, Y.; Wang, W.; Zhao, C. Ultrasound assisted extraction of carnosic acid and rosmarinic acid using ionic liquid solution from Rosmarinus officinalis. Int. J. Mol. Sci. 2012, 13, 11027–11043. [Google Scholar]
- Liu, T.; Sui, X.; Zhang, R.; Yang, L.; Zu, Y.; Zhang, L.; Zhang, Y.; Zhang, Z. Application of ionic liquids based microwave-assisted simultaneous extraction of carnosic acid, rosmarinic acid and essential oil from Rosmarinus officinalis. J. Chromatogr. A 2011, 1218, 8480–8489. [Google Scholar]
- Chen, F.; Hou, K.; Li, S.; Zu, Y.; Yang, L. Extraction and chromatographic determination of shikimic acid in Chinese conifer needles with 1-benzyl-3-methylimidazolium bromide ionic liquid aqueous solutions. J. Anal. Methods Chem 2014, 2014. [Google Scholar] [CrossRef]
- Henderson, L.C.; Byrne, N. Rapid and efficient protic ionic liquid-mediated pinacol rearrangements under microwave irradiation. Green Chem. 2011, 13, 813–816. [Google Scholar]
- Chemat, F.; Abert-Vian, M.; Cravotto, G. Green extraction of natural products: Concept and principles. Int. J. Mol. Sci. 2012, 13, 8615–8627. [Google Scholar]
- Huddleston, J.G.; Visser, A.E.; Reichert, W.M.; Willauer, H.D.; Broker, G.A.; Rogers, R.D. Characterization and comparison of hydrophilic and hydrophobic room temperature ionic liquids incorporating the imidazolium cation. Green Chem. 2001, 3, 156–164. [Google Scholar]
- Yang, L.; Ma, C.; Huang, J.; Sun, Z.; Liu, T.; Zu, Y. Comparison of dihyroquercetin extraction methods from Larix gmelini. For. Eng. 2009, 5, 6–11. [Google Scholar]
- Wang, P.; Liang, K. Research on extracting technique of dihydroquercetin from the stalk of Rosa davurica Pall. Sci. Technol. Food Ind. 2008, 3, 196–198. [Google Scholar]
- Lou, Z.; Wang, H.; Zhu, S.; Chen, S.; Zhang, M.; Wang, Z. Ionic liquids based simultaneous ultrasonic and microwave assisted extraction of phenolic compounds from burdock leaves. Anal. Chim. Acta 2012, 716, 28–33. [Google Scholar]
- Routray, W.; Orsat, V. Microwave-assisted extraction of flavonoids: A review. Food Bioprocess Technol. 2012, 5, 409–424. [Google Scholar]
- Chaturvedi, O.P.; Singh, J.S. Total biomass and biomass production of Pinus roxburghii trees growing in all aged natural forests. Can. J. For. Res. 1982, 12, 632–640. [Google Scholar]
- Sample Availability: Not available.
© 2014 by the authors. Licensee MDPI, Basel, Switzerland. This article is an open access article distributed under the terms and conditions of the Creative Commons Attribution license ( http://creativecommons.org/licenses/by/4.0/).
Share and Cite
Liu, Z.; Jia, J.; Chen, F.; Yang, F.; Zu, Y.; Yang, L. Development of an Ionic Liquid-Based Microwave-Assisted Method for the Extraction and Determination of Taxifolin in Different Parts of Larix gmelinii. Molecules 2014, 19, 19471-19490. https://doi.org/10.3390/molecules191219471
Liu Z, Jia J, Chen F, Yang F, Zu Y, Yang L. Development of an Ionic Liquid-Based Microwave-Assisted Method for the Extraction and Determination of Taxifolin in Different Parts of Larix gmelinii. Molecules. 2014; 19(12):19471-19490. https://doi.org/10.3390/molecules191219471
Chicago/Turabian StyleLiu, Zaizhi, Jia Jia, Fengli Chen, Fengjian Yang, Yuangang Zu, and Lei Yang. 2014. "Development of an Ionic Liquid-Based Microwave-Assisted Method for the Extraction and Determination of Taxifolin in Different Parts of Larix gmelinii" Molecules 19, no. 12: 19471-19490. https://doi.org/10.3390/molecules191219471
APA StyleLiu, Z., Jia, J., Chen, F., Yang, F., Zu, Y., & Yang, L. (2014). Development of an Ionic Liquid-Based Microwave-Assisted Method for the Extraction and Determination of Taxifolin in Different Parts of Larix gmelinii. Molecules, 19(12), 19471-19490. https://doi.org/10.3390/molecules191219471
