Abstract
Two new compounds, the 6-oxo oleanane-type triterpenoid uncarilic acid, and its 5,6-secotriterpenoid derivative, secouncarilic acid, were isolated from the hooks and stems of Uucaria sessilifructus together with seven known ursane-type triterpenoids. Uncarilic acid is the second 6-oxo oleanane-type triterpenoid ever reported, while secouncarilic acid is the first oleanane-type 5,6-secotriterpenoid. A plausible biosynthetic pathway from uncarilic acid to secouncarilic acid was also postulated. The inhibitory activities of all the nine compounds against LPS-induced nitric oxide production in RAW264.7 macrophages were evaluated.
1. Introduction
Uncaria (Rubiaceae) is a genus of 34 species mainly distributed in the tropical regions such as southern Asia, Africa and South America [1]. As one of the sources of the Chinese drug “Gou-teng”, Uucaria sessilifructus Roxb. has been used by the Chinese people for the treatment of hypertension, headache and fever [2], and by the Red-headed Yao people in Jinping of Yunnan Province of China to treat fear, neurotic disorders, high blood pressure, giddiness, bellyache, hysteritis, rheumatoid arthritis, arthritis, hemiplegia, sciatica, injuries from falls, and ulcers [3]. Aside from alkaloids and flavonoids, species of the genus Uncaria also contain a variety of pentacyclic triterpenoids, typically derived from ursolic, oleanolic, or quinovic acid [4,5]. In U. sessilifructus, a total of fifteen pentacyclic or tetracyclic oxindole alkaloids were identified prior to Philipson’s 1978 review of Uncaria alkaloids [6]. The chemical composition of its volatile oil was also reported [7]. Herein, the non-alkaloid components from the hooks and stems of U. sessilifructus were investigated for the first time. As a result, two new oleanane-type triterpenoids named uncarilic acid (1) and secouncarilic acid (2) were isolated together with seven ursane-type triterpenoids 3–9 and their inhibitory activities against nitric oxide production in LPS-activated RAW264.7 macrophages were measured. A plausible biosynthetic pathway from 1 to 2 was also postulated.
2. Results and Discussion
Compound 1 was obtained as a white amorphous powder. Its molecular formula was deduced to be C30H46O5 from the HREI-MS (m/z 486.3345, [M]+; calcd. for 486.3356) and confirmed by 13C-NMR and DEPT spectra (Table 1). The IR spectrum of 1 exhibited characteristic bands at 3,441 (OH), 1702 (C=O), 1,630 (olefinic C=C) cm−1. The 1H-NMR of 1 recorded at 500 MHz exhibited seven singlet methyls at δ 0.80, 0.91, 0.93, 0.97, 1.01, 1.18 and 1.43, one broad singlet at δ 3.13, signals assignable to two methine protons bearing a hydroxyl group at δ 3.11 (dd, J = 4.0, 11.2 Hz) and 3.27 (br d, J = 2.9 Hz) and one signal of an olefinic proton at δ 5.35 (br t). In the 13C-NMR spectrum, signals corresponding to 28 of the 30 carbons were easily recognized as seven methyl carbons, eight sp3 methylenes, five sp3 methines (two oxygenated), five sp3 quaternary carbons, two sp2 carbons of a trisubstituted olefin (δ 144.6 and 124.2), and one ketone carbon (δ 215.9). The missing signals for the remaining two carbons urged us to conduct 2D NMR experiments. In the HSQC spectrum, a carbon signal at δC 49.3 that was buried in the solvent residue signals was detected through its correlation with the proton signal at δH 2.34, The signal was further assigned to C-9 on the basis of the HMBC correlations H-9/C-25and H-7/C-9,H3-26/C-9 (at 600/150 MHz in CD3OD). Further observation of the carbon signal at δ 48.1 in the 13C-NMR spectrum recorded in CDCl3 (at 125 MHz) also supported this assignment. Although not very strong, the observation of correlations between a weak carbon signal at δ 184.6 (C-28) and H2-16 in the HMBC spectrum (at 600/150 MHz in CD3OD) suggested the presence of a carboxylic acid group at C-17. The above data of 1 were quite similar to those of 3β,19α,23-trihydroxy-6-oxo- olean-12-en-28-oic acid (1a) [8], the distinct difference being the replacement of the 23-hydroxymethyl by a tertiary methyl and the absence of a 28-carboxylic group. The HMBC correlations from the two methyl signals at δH 1.01 (CH3-23) and 1.18 (CH3-24) to the oxymethine carbon at δ 79.2 (C-3), the quaternary carbon at δ 38.6 (C-4), and the methine carbon at δ 66.5 (C-5) and the cross-peaks between the two methyls also supported attachment of the two methyls at C-4. Furthermore, HMBC correlations from H-5 (δ 2.26) and H2-7 (δ 2.59 and 1.80, each d) to the ketone carbon (δ 215.9) indicated that the ketone was located at C-6. The α-orientation of H-3 is also supported by its ROESY correlations with H-5.
Table 1.
1H- and 13C-NMR of 1 and 2.
| No. | 1 | 2 | |||||
|---|---|---|---|---|---|---|---|
| δH, mult. (J in Hz) | δC, mult. | δH, mult. (J in Hz) | δC, mult. | ||||
| 500MHz
in CD3OD | 125 MHz in CD3OD | 150 MHz in CD3OD | 150 MHz in CDCl3 | 500 MHz
in CD3OD | 125 MHz in CD3OD | ||
| 1 | α 1.31, β 1.71 m | 40.0 t | 40.2 t | 38.9 t | α 2.09 dd (15.1, 8.9), β 1.22 m | 32.9 t | |
| 2 | α 1.57, β 1.63 a | 27.4 t | 27.6 t | 26.8 t | α 2.26, β 1.68 a | 26.2 t | |
| 3 | 3.11 dd (4.0, 11.2) | 79.2 d | 79.3 d | 78.9 d | 4.94 t (9.1) | 69.3 d | |
| 4 | 38.6 s | 38.8 s | 37.6 s | 56.9 s | |||
| 5 | 2.26 s | 66.5 d | 66.6 d | 65.5 d | 220.9 s | ||
| 6 | 215.9 s | 216.0 s | 212.7 s | 177.1 s | |||
| 7 | α 2.59, β 1.80 d (12.4) | 52.1 t | 52.2 t | 50.9 t | α 2.52, β 2.30 d (19.1) | 42.2 t | |
| 8 | 47.9 s | 48.1 s | 46.6 s | 45.2 s | |||
| 9 | 2.34 dd (7.3, 10.4) | 49.3a | 49.3 d c | 48.1 d | 3.49 dd (6.5, 10.9) | 37.4 d | |
| 10 | 44.4 s | 44.6 s | 42.3 s | 52.8 s | |||
| 11 | α 2.08, β 1.99 m | 25.1 t | 25.2 t | 24.2 t | α 2.29, β 2.19 a | 27.3 t | |
| 12 | 5.35 br t (3.5) | 124.2d | 124.4 d | 124.8 d | 5.47 br t (3.6) | 125.4 d | |
| 13 | 144.6 s | 144.7 s | 142.2 s | 144.8 s | |||
| 14 | 43.0 s | 43.1 s | 41.8 s | 46.3 s | |||
| 15 | α 0.88, β 1.68 a | 29.5 t | 29.7 t | 28.1 t | α 1.05 m, β 1.67 a | 31.1 t | |
| 16 | α 2.25, β 1.62 a | 28.6 t | 28.7 t | 27.7 t | α 2.16, β 1.65 a | 29.1 t | |
| 17 | 46.5 a | 47.2 s | 45.3 s | 47.2 d | |||
| 18 | 3.13 br s | 45.5 d | 45.6 d | 43.6 d | 3.16 br s | 46.7 d | |
| 19 | 3.27 br d (2.9) | 82.7 d | 82.4 d | 81.8 d | 3.28 d (3.7) | 82.4 d | |
| 20 | 36.1 s | 36.3 s | 34.9 s | 36.2 s | |||
| 21 | α 1.74, β 0.98 a | 29.6 t | 29.7 t | 28.1 t | α 1.70, β 0.99 a | 29.9 t | |
| 22 | α 1.60, β 1.76 a | 34.1 t | 34.3 | 32.5 t | α 1.61 dt (13.0, 3.4) | 33.9 t | |
| β 1.78 td (13.0, 3.4) | |||||||
| 23 | 1.01 s | 28.0 q | 28.1 q | 27.4 q | α 4.04 d (9.8) | 75.2 t | |
| β 4.52 d (9.8) | |||||||
| 24 | 1.18 s | 16.0 q | 16.2 q | 15.3 q | 1.01 s | 14.3 q | |
| 26 | 0.80 s | 18.2 q | 18.3 q | 17.4 q | 0.92 s | 21.1 q | |
| 27 | 1.43 s | 25.8 q | 25.9 q | 25.8 q | 1.45 s | 26.5 q | |
| 28 | ND | 184.6 s a | ND b | 184.0 s | |||
| 29 | 0.93 s | 28.8 q | 29.0 q | 27.7 q | 0.94 s | 28.7 q | |
| 30 | 0.97 s | 25.2 q | 25.3 q | 24.5 q | 0.98 s | 25.4 q | |
a Assignments based on 2D experiments. b Not detected. c overlapped.
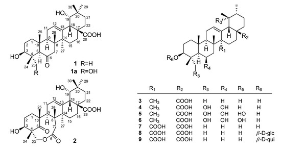
The remaining 2D NMR (COSY, HSQC, HMBC and ROESY) data were consistent with the structure depicted in Figure 1 for 1. These 1D and 2D observations, when combined with the molecular formula C30H46O5, suggested the presence of a 28-carboxylic group. Compound 1 was therefore determined to be 3β, 19α-dihydroxy-6-oxo-olean-12-en-28-oic acid, and named uncarilic acid.
Figure 1.
The chemical structures of compounds 1−9.
Figure 1.
The chemical structures of compounds 1−9.

Compound 2 was obtained as a white powder. Its molecular formula was deduced to be C30H44O7 from the HREI-MS peak at m/z 516.3096 ([M]+; calcd. for 516.3087) and confirmed by 13C-NMR and DEPT data (Table 1). The IR spectrum of 2 exhibited characteristic bands at 3,441 (OH), 1,701 (C=O) and 1,628 (olefinic C=C) cm−1. The 1H-NMR of 2 exhibited six singlet methyls at δ 0.92, 0.94, 0.98, 1.01, 1.08 and 1.45, one broad singlet at δ 3.16, signals assignable to two methine protons bearing a hydroxyl group at δ 3.28 (br d, J = 3.7 Hz) and 4.94 (t, J = 9.4 Hz), two pairs of doublets with large coupling constants due to two methylenes at δ 4.04, 4.52 (each 1H, d, J = 9.8 Hz) and δ 2.52, 2.30 (each 1H, d, J = 19.1 Hz), and one signal of an olefinic proton at δ 5.47 (br t). In the 13C-NMR spectrum (CD3OD), the thirty carbons were resolved as six methyls (δ 28.7, 26.5, 25.4, 21.4, 21.1, 14.3), nine sp3 methylenes (δ 75.2, 42.2, 33.9, 32.9, 31.1, 29.9, 29.1, 27.3, 26.2), four sp3 methines (two oxygenated at δ 82.4 and 69.3), six sp3 quaternary carbons, two sp2 carbons of a trisubstituted olefin (δ 144.8 and 125.4), a carboxyl (δ 184.0), a carbonyl (δ 220.9), and an ester (δ 177.1). Comparison of the above data to those of 3β,19α,23-trihydroxy-6-oxo-olean-12-en-28-oic acid (1a) [8] showed that compound 2 differed from 1a mainly in the absence of the CH-5 and presence of an ester group, which suggested that compound 2 was possibly a 3β,19α,23-trihydroxy oleanane-type triterpenoid acid with variations occurring around C-5. The HMBC correlations (Figure 2a) from H2-1, H-9, H3-24 and H3-25 to the carbonyl carbon (δC 220.9) indicated that the ketone unit was located at C-5 rather than C-6 (as in 1a), while HMBC correlations from H2-23 to C-3, C-4, C-5 and C-24 indicated that the oxymethylene (δH 4.04, 4.52; δC 75.2) were C-23. The HMBC correlations from H2-23 and H2-7 to the ester carbonyl (δC 177.1) indicated that CH2-7 was connected to CH2-23 via the C-6 ester group. Thus a nine-membered keto-lactone ring, oxonane-2,7-dione, drawn with a red bond was established. Further analysis of the remaining 2D-NMR data suggested that compound 2 had the planar structure as depicted in Figure 2a. The stereochemistry of 2 was determined by ROESY correlation analysis (Figure 2b). H-3α is supported by its correlations with H-9 and H-2α. The oxymethylene (CH2-23) at C-4 was α-oriented as it correlated with H-3. The remaining 2D NMR data were consistent with the structure depicted in Figure 1 for compound 2, which was named secouncarilic acid.
Figure 2.
1H-1H-COSY and selected HMBC correlations of 2 (a); Selected key ROESY correlations of 2 (b).
Figure 2.
1H-1H-COSY and selected HMBC correlations of 2 (a); Selected key ROESY correlations of 2 (b).

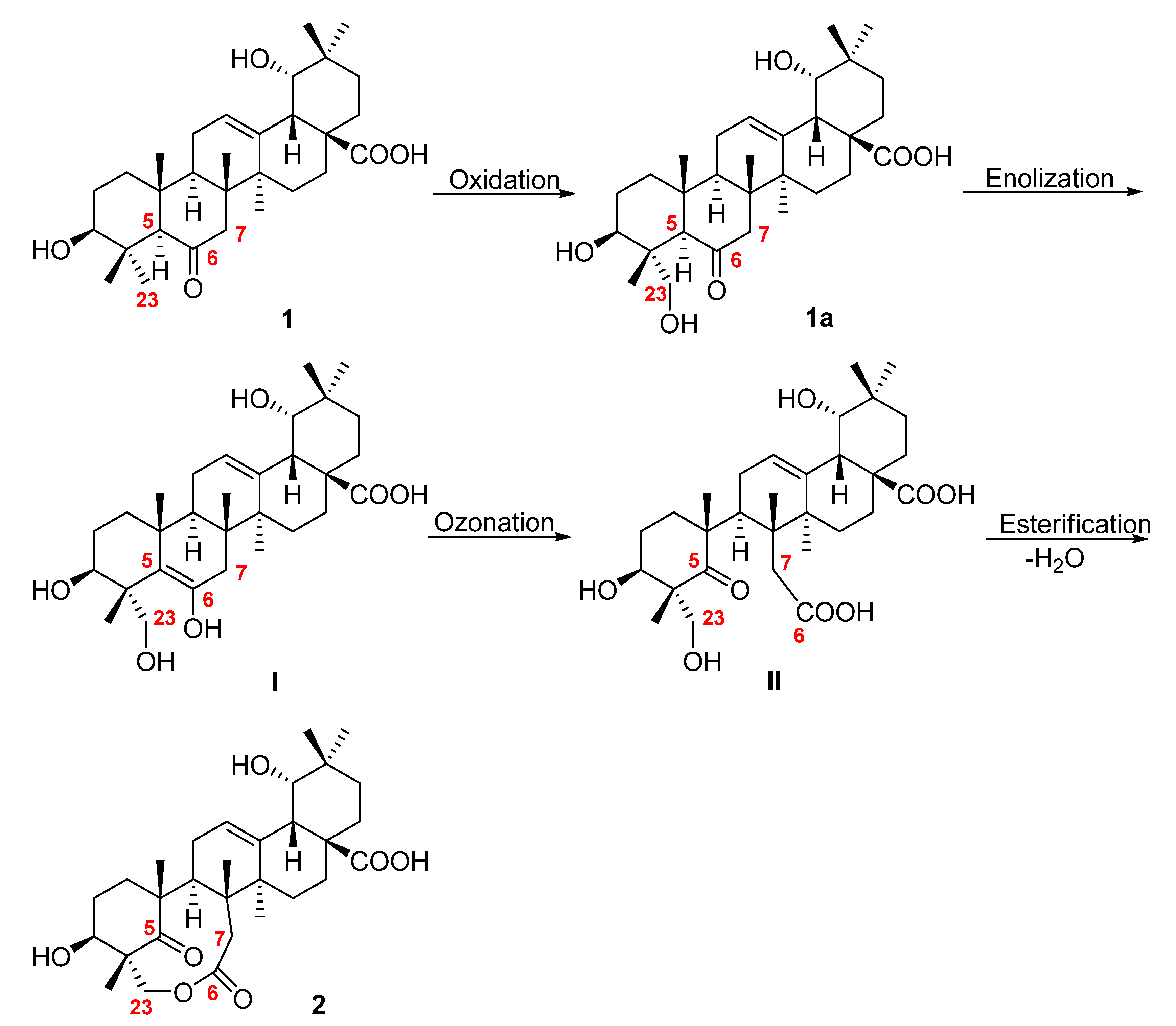
Scheme 1.
Plausible biogenetic route of 1 to 2.
Scheme 1.
Plausible biogenetic route of 1 to 2.

The structures of the seven ursane-type triterpenoids, ursolic acid (3) [9], 3β,6β,19α-trihydroxyurs-12-en-28-oic acid (4) [10], 3β,6β,19α-trihydroxy-23-oxo-urs-12-en-28-oic acid (5) [10], 3β,6β,19α,23- tetrahydroxyurs-12-en-28-oic acid (6) [11], quinovic acid (7) [9], cinchonaglycoside C (8) [12] and 3-O-[β-D-quinovopyranosyl] quinovic acid (9) [13] were determined by comparing their spectroscopic data to those reported in the literature. To the best of our knowledge, this is the first report of non-alkaloids isolated from Uucaria sessilifructus Roxb. These oleanane- and ursane-type triterpenoids are also of chemotaxonomic significance as ursane- or oleanane-type triterpenoids were reported to be the characteristic metabolites of the genus Uncaria [4,5]. In addition, uncarilic acid is the second 6-oxo oleanane-type triterpenoid ever reported, while secouncarilic acid is the first oleanane-type 5,6-secotriterpenoid. As show in Scheme 1, the biogenetic origin of secouncarilic acid (2) could be traced back to uncarilic acid (1). Oxidation of the CH3-23 of 1 to a hydroxymethyl produced 1a, enolization of the carbonyl-6 of which followed by ozonation of the newly generated intermediate I would yield II. In the final step, esterification between the 23-hydroxy and the 6-carboxylic group of II would occur to give 2.
Compounds 1–9 were evaluated for their inhibitory activities against nitric oxide production in LPS-activated RAW264.7 macrophages according to the method [14]. Results showed all the compounds tested did not show any obvious inhibitory activity (IC50 > 25 μM).
3. Experimental
3.1. General
Optical rotations were measured on a Perkin-Elmer 24173 polarimeter. IR spectra were measured using a Bruker Tensor 27 instrument with KBr disc; HREI-MS were carried out on an AutoSpec Premier P776 spectrometer. 1D and 2D-NMR spectra were recorded on a Bruker DRX-500 and Bruker Avance III 600 spectrometer with TMS as internal standard. Silica gel (200–300 mesh, Qingdao Marine Chemical, Qingdao, P.R. China) was used for column chromatography. Semi-preparative HPLC was performed on an XTerra prep RP-18 (10 μm, Waters Corp., Wexford, Ireland) column (10 × 250 mm) eluted with MeOH/H2O from 50:50 to 90:10 for 15 min at a flow rate of 4 mL/min; the detector used was PDA (200–400 nm) at 33 °C. Fractions were monitored by TLC, and spots were visualized by spraying TLC plates with 10% sulfuric acid in ethanol and heating at 110 °C for 5–10 min.
3.2. Plant Material
The hooks and stems of Uucaria sessilifructus were collected in Xishuangbanna, Yunnan Province, China, in August, 2011 and authenticated by one of the authors (Y-K Xu) of the Xishuangbanna Tropical Botanical Garden. Voucher specimens of the U. sessilifructus (No. 143757) have been deposited in the Herbarium of the Xishuangbanna Tropical Botanical Garden, Chinese Academy of Sciences.
3.3. Extraction and Isolation
The air-dried and powdered hooks and stems of U. sessilifructus (9.0 kg) were extracted three times (each for 6 days) with 95% ethanol in water at room temperature. The extract was filtered and concentrated under reduced pressure until only H2O remained. The remaining solution was adjusted to pH 3 using 10% H2SO4 and then extract with EtOAc to give EtOAc and water extracts after concentration. The EtOAc extract (310 g) was then subjected to silica gel column chromatography (CC) eluted with petroleum ether/EtOAc (from 50:1 to 0:1) through EtOAc/MeOH (from 10:1 to 3:1) to yield five major fractions (1–5). Fraction 3 (5.8 g) was subjected to silica gel CC (CHCl3/MeOH, 50:1→10:1) to give 3 (29 mg) and 4 (8 mg). Fraction 4 (28.4 g) was subjected to silica gel CC (CHCl3/MeOH, 20:1→3:1) to give 5 (11 mg), 6 (23 mg) and three major fractions (Fr. 1-1–Fr. 1-3). Fraction 1-2 (3.0 g) was purified by semi-preparative HPLC (MeOH/H2O, 50/50→90/10; flow rate: 4 mL/min) to give 1 (12 mg), 2 (7 mg) and 7 (17 mg), fraction 1–3 (2.2 g) was purified by semi-preparative HPLC (MeOH/H2O, 60/40→90/10; flow rate: 4 mL/min) to give 8 (16 mg) and 9 (13 mg).
3.4. Spectral Data
Uuncarilic acid (1). White amorphous powder;
+19.7 (MeOH; c 0.18); IR (KBr) νmax (cm−1): 3441, 2932, 2871, 1702, 1630, 1562, 1554, 1458, 1392, 1283, 1253, 1207, 1171, 1156, 1134, 1109, 1090, 1051, 1031, 986; HREI-MS (m/z 486.3345, [M]+; calcd. for 486.3356); 1H- and 13C-NMR data: see Table 1.
+19.7 (MeOH; c 0.18); IR (KBr) νmax (cm−1): 3441, 2932, 2871, 1702, 1630, 1562, 1554, 1458, 1392, 1283, 1253, 1207, 1171, 1156, 1134, 1109, 1090, 1051, 1031, 986; HREI-MS (m/z 486.3345, [M]+; calcd. for 486.3356); 1H- and 13C-NMR data: see Table 1. Secouncarilic acid (2). White amorphous powder;
+34.8 (MeOH; c 0.19); IR (KBr) νmax (cm−1): 3441, 2937, 2876, 1720, 1701, 1655, 1628, 1457, 1385, 1347, 1302, 1258, 1233, 1209, 1165, 1134, 1070, 1048, 1014, 982; HREI-MS (m/z 516.3096, [M]+; calcd. for 516.3087); 1H- and 13C-NMR data: see Table 1.
+34.8 (MeOH; c 0.19); IR (KBr) νmax (cm−1): 3441, 2937, 2876, 1720, 1701, 1655, 1628, 1457, 1385, 1347, 1302, 1258, 1233, 1209, 1165, 1134, 1070, 1048, 1014, 982; HREI-MS (m/z 516.3096, [M]+; calcd. for 516.3087); 1H- and 13C-NMR data: see Table 1.3.5. Inhibition of NO Production in LPS-Stimulated RAW 264.7 Macrophage Cell Line
The assay was performed according to a previously described method [13]. Each compound was dissolved in DMSO and further diluted in the medium to produce different concentrations with a maximum concentration of 25 μM. The absorbance was measured at 570 nm with a 2104 Envision Multilabel Plate Reader (Perkin-Elmer Life Sciences, Inc., Boston, MA, USA). Cytotoxicity was determined with the MTT assay. MG-132 (Sigma-Aldrich, Foster City, CA USA) was used as the positive control.
4. Conclusions
In summary, one new 6-oxo oleanane-type triterpenoid, uncarilic acid, and its 5,6-secotriterpenoid derivative, secouncarilic acid, together with seven ursane-type triterpenoids, including four ursolic acid derivatives and three quinovic acid derivatives, were isolated from the hooks and stems of Uucaria sessilifructus. Secouncarilic acid is the first oleanane-type 5,6-secotriterpenoid, while uncarilic acid is the second 6-oxo oleanane-type triterpenoid ever reported. A plausible biogenetic route from uncarilic acid to secouncarilic acid was also postulated. None of the nine compounds exhibited significant inhibitory activities against nitric oxide production in LPS-activated RAW264.7 macrophages.
Supplementary Materials
Supplementary materials can be accessed at: http://www.mdpi.com/1420-3049/18/8/9727/s1.
Acknowledgments
Financial support from the Chinese Academy of Sciences (KSCX2-YW-R-172) and Ethnobotanical Investigation of Plants for Industrialization in Southwest China (SQ2012FY4910027) are gratefully acknowledged.
Conflicts of Interest
The authors declare no conflict of interest.
References
- Risdale, C.E. A revision of Mitragyna and Uncaria (Rubiaceae). Blumea 1978, 24, 43–100. [Google Scholar]
- Chinese Pharmacopoeia Commission, Part I. Chinese Pharmacopoeia, 2010 ed.; Chemical Industry Press: Beijing, China, 2010; p. 240.
- Long, C.L.; Li, R. Ethnobotanical studies on medicinal plants used by the Red-headed Yao People in Jinping, Yunnan Province, China. J. Ethnopharmacol. 2004, 90, 389–395. [Google Scholar] [CrossRef]
- Heitzman, M.E.; Neto, C.C.; Winiarz, E.; Vaisberg, A.J.; Hammond, G.B. Ethnobotany, phytochemistry and pharmacology of Uncaria (Rubiaceae). Phytochemistry 2005, 66, 5–29. [Google Scholar] [CrossRef]
- Laus, G. Advances in chemistry and bioactivity of the genus Uncaria. Phytother Res 2004, 18, 259–274. [Google Scholar] [CrossRef]
- Phillipson, J.D.; Hemingway, S.R.; Ridsdale, C.E. Alkaloids of Uncaria. Part V. Their occurrence and chemotaxonomy. Lloydia 1978, 41, 503–570. [Google Scholar]
- Wang, D.M.; Huang, L.F. Composition of volatile oil from the leaves of Uncaria sessilifructus Roxb. J. App. Pharm. Sci. 2012, 2, 50–53. [Google Scholar]
- Kitajima, M.; Hashimoto, K.; Sandoval, M.; Aimi, N.; Takayama, H. New oleanan-type triterpene and cincholic acid glycosides from Peruvian “Uña de Gato” (Uncaria tomentosa). Chem. Pharm. Bull. 2004, 52, 1258–1261. [Google Scholar] [CrossRef]
- Tapondjou, L.A.; Lontsi, D.; Sondengam, B.L.; Choudhary, M.I.; Park, H.J.; Choi, J.W.; Lee, K.T. Structure-activity relationship of triterpenoids isolated from Mitragyna stipulosa on cytotoxicity. Arch. Pharm. Res. 2002, 25, 270–274. [Google Scholar] [CrossRef]
- Aquino, R.; De Simone, F.; Vincieri, F.F.; Pizza, C.; Gaćs-Baitz, E. New polyhydroxylated triterpenes from Uncaria tomentosa. J. Nat. Prod. 1990, 53, 559–564. [Google Scholar] [CrossRef]
- Ma, M.X.; Yang, C.R.; Zhang, Y.J. Complete assignments of 1H and 13C NMR spectral data for three polyhydroxylated 12-ursen-type triterpenoids from Dischidia esquirolii. Magn. Reson. Chem. 2008, 46, 571–575. [Google Scholar] [CrossRef]
- Pöllmann, K.; Gagel, S.; Elgamal, M.H.A.; Shaker, K.H.; Seifert, K. Triterpenoid saponins from the roots of Zygophyllum species. Phytochemistry 1997, 44, 485–489. [Google Scholar] [CrossRef]
- Ahmad, V.U.; Uddin, G.S.; Bano, S. Saponins from Zygophyllum propinquum. J. Nat. Prod. 1990, 53, 1193–1197. [Google Scholar] [CrossRef]
- Dirsch, V.M.; Stuppner, H.; Vollmar, A.M. The Griess assay: Suitable for a bio-guided fractionation of anti-inflammatory plant extracts? Planta Med. 1998, 64, 423–426. [Google Scholar] [CrossRef]
- Sample Availability: Samples of the compounds 1–9 are available from the authors.
© 2013 by the authors; licensee MDPI, Basel, Switzerland. This article is an open access article distributed under the terms and conditions of the Creative Commons Attribution license (http://creativecommons.org/licenses/by/3.0/).