Facile Creation of 3-Substituted-3-Hydroxy-2-Oxindoles by Arginine-Catalyzed Aldol Reactions of α,β-Unsaturated Ketones with Isatins
Abstract
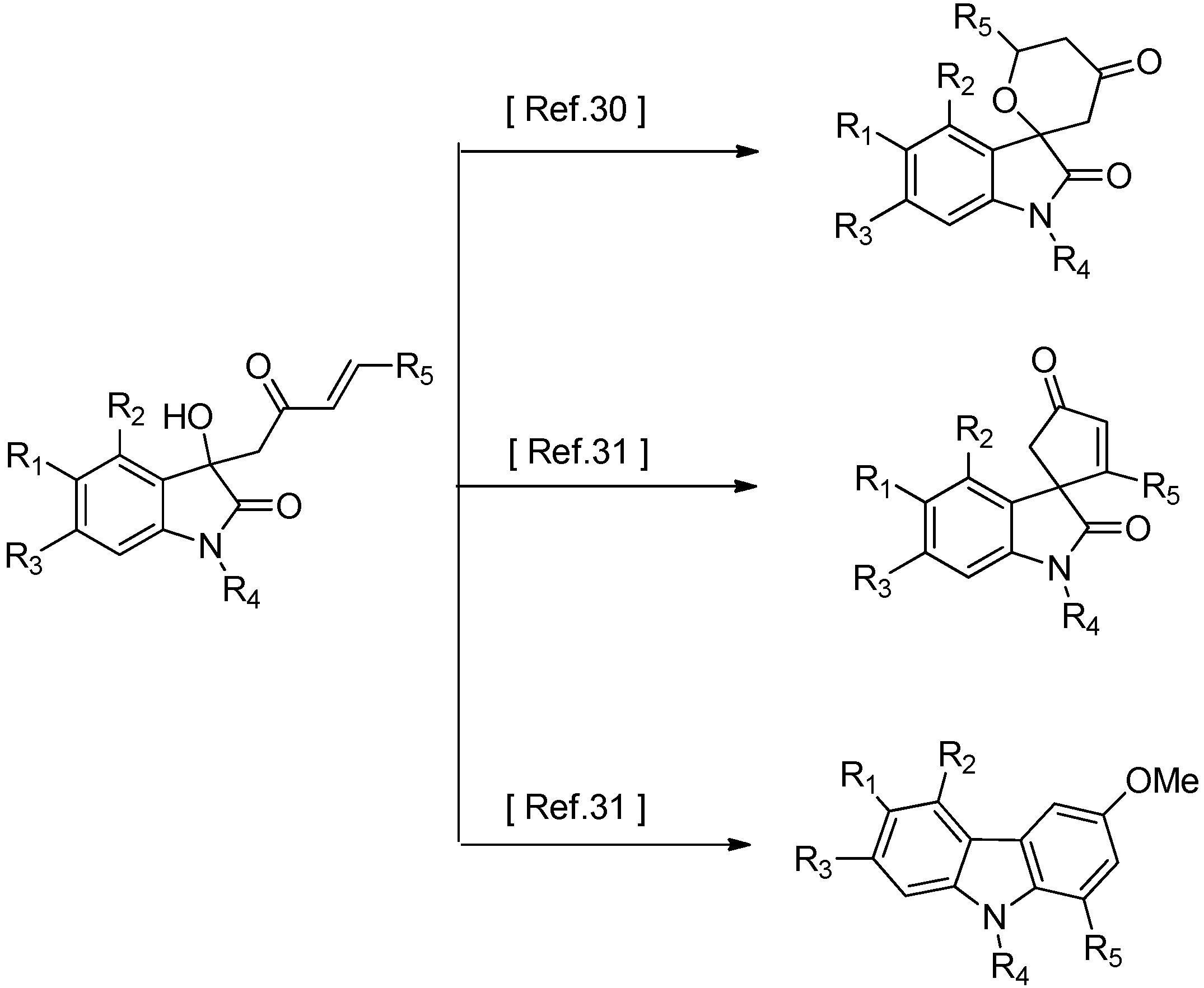
:1. Introduction



2. Results and Discussion
| Entry | Catalyst | Solvent | Time/h | Yield (%) b |
|---|---|---|---|---|
| 1 | Proline | MeOH | 24 | N.D c |
| 2 | Phenylalanine | MeOH | 24 | N.D |
| 3 | Leucine | MeOH | 24 | N.D |
| 4 | Tyrosine | MeOH | 24 | N.D |
| 5 | Tyrosine methyl ester | MeOH | 24 | N.D |
| 6 | Histidine | MeOH | 24 | N.D |
| 7 | Arginine | MeOH | 24 | 88 |
| 8 | Tryptophan | MeOH | 24 | N.D |
| 9 | Boc-Arginine | MeOH | 24 | N.D |
| 10 d | Arginine | MeOH | 24 | 79 |
| 11 e | Arginine | MeOH | 24 | 91 |
| 12 f | Arginine | MeOH | 24 | 76 |
| 13 g | Arginine | MeOH | 24 | 44 |
| 14 e,h | Arginine | MeOH | 12 | 49 |
| 15 e,h | Arginine | MeOH | 24 | 52 |
| 16 e | Arginine | MeOH | 12 | 55 |
| 17 e | Arginine | MeOH | 48 | 98 |

| Entry | 1 | 2 | 3 | Yield (%) b |
|---|---|---|---|---|
| 1 | R1 = R2 = R3 = R4 = H | R5 = Ph | 3a | 98 |
| 2 | R1 = R2 = R3 = R4 = H | R5 = 4-MeO-C6H4 | 3b | 95 |
| 3 | R1 = R2 = R3 = R4 = H | R5 = 4-F-C6H4 | 3c | 87 |
| 4 | R1 = R2 = R3 = R4 = H | R5 = 4-Cl-C6H4 | 3d | 80 |
| 5 | R1 = R2 = R3 = R4 = H | R5 = 4-Br-C6H4 | 3e | 82 |
| 6 | R1 = R2 = R3 = R4 = H | R5 = 4-NO2-C6H4 | 3f | 75 |
| 7 | R1 = R2 = R3 = R4 = H | R5 = 3-CF3-C6H4 | 3g | 86 |
| 8 | R1 = R2 = R3 = R4 = H | R5 = 3-Br-C6H4 | 3h | 85 |
| 9 | R1 = R2 = R3 = R4 = H | R5 = 3-Cl-C6H4 | 3i | 82 |
| 10 | R1 = R2 = R3 = R4 = H | R5 = 3-MeO-C6H4 | 3j | 96 |
| 11 | R1 = R2 = R3 = R4 = H | R5 = 2-F-C6H4 | 3k | 92 |
| 12 | R1 = R2 = R3 = R4 = H | R5 = 3,4-diCl-C6H4 | 3l | 73 |
| 13 | R1 = R2 = R3 = R4 = H | R5 = 2-Naphthyl | 3m | 81 |
| 14 | R1 = R2 = R3 = R4 = H | R5 = 2-Furyl | 3n | 88 |
| 15 | R1 = R2 = R3 = R4 = H | R5 = Propyl | 3o | 67 |
| 16 | R1 = R2 = R3 = H, R4 = CH2Ph | R5 = Ph | 3p | 99 |
| 17 | R1 = Me, R2 = R3 = R4 = H | R5 = Ph | 3q | 60 |
| 18 | R1 = Br, R2 = R3 = R4 = H | R5 = Ph | 3r | 99 |
| 19 | R3 = Cl, R1 = R2 = R4 = H | R5 = Ph | 3s | 93 |
| 20 | R2 = Cl, R1 = R3 = R4 = H | R5 = Ph | 3t | 92 |

3. Experimental
3.1. General
3.2. Experimental Procedures
3.3. Spectral Data
4. Conclusions
Acknowledgments
Conflicts of Interest
References and Notes
- Peddibhotla, S. 3-Substituted-3-hydroxy-2-oxindole, an emerging new scaffold for drug discovery with potential anti-cancer and other biological activities. Curr. Bioact. Compd. 2009, 5, 20–38. [Google Scholar] [CrossRef]
- Zhang, H.P.; Kamano, Y.; Ichihara, Y.; Kizu, H.; Komiyama, K.; ltokawa, H.; Pettit, G.R. Isolation and structure of convolutamydines B–D from marine bryozoan Amathia convoluta. Tetrahedron 1995, 51, 5523–5528. [Google Scholar] [CrossRef]
- Khuzhaev, V.U.; Zhalolov, I.; Turguniv, K.K.; Tashkhodzhaev, B.; Levkovich, M.G.; Arpova, S.F.; Shashkov, A.S. Alkaloids from Arundo donax. XVII. structure of the dimeric indole alkaloid arundaphine. Chem. Nat. Compd. 2004, 40, 269–272. [Google Scholar] [CrossRef]
- Rasmussen, H.B.; MacLeod, J.K. Total synthesis of donaxaridine. J. Nat. Prod. 1997, 60, 1152–1154. [Google Scholar] [CrossRef]
- Suchý, M.; Kutschy, P.; Monde, K.; Goto, H.; Harada, N.; Takasugi, M.; Dzurilla, M.; Balentová, E. Synthesis, absolute configuration, and enantiomeric dnrichment of a ruciferous oxindole phytoalexin, (S)-(−)-Spirobrassinin, and its oxazoline analog. J. Org. Chem. 2001, 66, 3940–3947. [Google Scholar] [CrossRef]
- Tang, Y.Q.; Sattler, I.; Thiericke, R.; Grabley, S.; Feng, X.Z. Maremycins C and D, new diketopiperazines, and maremycins E and F, novel polycyclic spiro-Indole metabolites isolated from Streptomyces sp. Eur. J. Org. Chem. 2001, 2001, 261–267. [Google Scholar]
- Kagata, T.; Saito, S.; Shigemori, H.; Ohsaki, A.; Ishiyama, H.; Kubota, T.; Kobayashi, J. Paratunamides A–D, oxindole alkaloids from Cinnamodendron axillare. J. Nat. Prod. 2006, 69, 1517–1521. [Google Scholar] [CrossRef]
- Suzuki, H.; Morita, H.; Shiro, M.; Kobayashi, J. Celogentin K, a new cyclic peptide from the seeds of Celosia argentea and X-ray structure of moroidin. Tetrahedron 2004, 60, 2489–2495. [Google Scholar] [CrossRef]
- Koguchi, Y.; Kohno, J.; Nishio, M.; Takahashi, K.; Okuda, T.; Ohnuki, T.; Komatsubara, S. TMC-95A, B, C, and D, novel proteasome inhibitors produced by Apiospora montagnei Sacc. TC 1093. Taxonomy, production, isolation, and biological activities. J. Antibiot. 2000, 53, 105–109. [Google Scholar] [CrossRef]
- Carle, J.S.; Christophersen, C. Marine alkaloids. 3. Bromo-substituted alkaloids from the marine bryozoan Flustra foliacea, flustramine C and flustraminol A and B. J. Org. Chem. 1981, 46, 3440–3443. [Google Scholar] [CrossRef]
- Jimenez, J.I.; Huber, U.; Moore, R.E.; Patterson, G.M.L. Oxidized Welwitindolinones from Terrestrial Fischerella spp. J. Nat. Prod. 1999, 62, 569–572. [Google Scholar] [CrossRef]
- Kitajima, M.; Mori, I.; Arai, K.; Kogure, N.; Takayama, H. Two new tryptamine-derived alkaloids from Chimonanthus praecox f. concolor. Tetrahedron Lett. 2006, 47, 3199–3202. [Google Scholar] [CrossRef]
- Lee, S.; Hartwig, J.F. Improved catalysts for the palladium-catalyzed synthesis of oxindoles by amide α-arylation. rate acceleration, use of aryl chloride substrates, and a new carbene ligand for asymmetric transformations. J. Org. Chem. 2001, 66, 3402–3415. [Google Scholar] [CrossRef]
- Shibata, N.; Tarui, T.; Doi, Y.; Kirk, K.L. Synthesis of fluorogypsetin and fluorobrevianamide E by a novel fluorination-cyclization of cyclo-L-Trp-L-AAs. Angew. Chem. Int. Ed. 2001, 40, 4461–4463. [Google Scholar] [CrossRef]
- Shibata, N.; Suzuki, E.; Asahi, T.; Shiro, M. Enantioselective fluorination mediated by cinchona alkaloid derivatives/selectfluor combinations: Reaction scope and structural information for N-fluorocinchona alkaloids. J. Am. Chem. Soc. 2001, 123, 7001–7009. [Google Scholar] [CrossRef]
- Funabashi, K.; Jachmann, M.; Kanai, M.; Shibasaki, M. Multicenter strategy for the development of catalytic enantioselective nucleophilic alkylation of ketones: Me2Zn addition to α-ketoesters. Angew. Chem. Int. Ed. 2003, 42, 5489–5492. [Google Scholar] [CrossRef]
- Hamashima, Y.; Suzuki, T.; Takano, H.; Shimura, Y.; Sodeoka, M. Catalytic enantioselective fluorination of oxindoles. J. Am. Chem. Soc. 2005, 127, 10164–10165. [Google Scholar] [CrossRef]
- Shintani, R.; Inoue, M.; Hayashi, T. Rhodium-catalyzed asymmetric addition of aryl- and alkenylboronic acids to isatins. Angew. Chem. Int. Ed. 2006, 45, 3353–3356. [Google Scholar] [CrossRef]
- Nakamura, T.; Shirokawa, S.; Hosokawa, S.; Nakazaki, A.; Kobayashi, S. Enantioselective total synthesis of convolutamydines B and E. Org. Lett. 2006, 8, 677–679. [Google Scholar] [CrossRef]
- Guo, X.; Huang, H.X.; Yang, L.P.; Hu, W.H. Trapping of oxonium ylide with isatins: Efficient and stereoselective construction of adjacent quaternary carbon centers. Org. Lett. 2007, 9, 4721–4723. [Google Scholar] [CrossRef]
- Malkov, A.V.; Kabeshov, M.A.; Bella, M.; Kysilka, O.; Malyshev, D.A.; Pluháčková, K.; Kočovský, P. Vicinal amino alcohols as organocatalysts in asymmetric cross-aldol reaction of ketones: Application in the synthesis of convolutamydine A. Org. Lett. 2007, 9, 5473–5476. [Google Scholar] [CrossRef]
- Chen, J.R.; Liu, X.P.; Zhu, X.Y.; Li, L.; Qiao, Y.F.; Zhang, J.M.; Xiao, W.J. Organocatalytic asymmetric aldol reaction of ketones with isatins: Straightforward stereoselective synthesis of 3-alkyl-3-hydroxyindolin-2-ones. Tetrahedron 2007, 63, 10437–10444. [Google Scholar] [CrossRef]
- Angelici, G.; Corrêa, R.J.; Garden, S.J.; Tomasini, C. Water influences the enantioselectivity in the proline or prolinamide-catalyzed aldol addition of acetone to isatins. Tetrahedron Lett. 2009, 50, 814–817. [Google Scholar] [CrossRef]
- Hara, N.; Nakamura, S.; Shibata, N.; Toru, T. Enantioselective aldol reaction using recyclable montmorillonite-entrapped N-(2-thiophenesulfonyl) prolinamide. Adv. Synth. Catal. 2010, 352, 1621–1624. [Google Scholar] [CrossRef]
- Guo, Q.S.; Bhanushali, M.; Zhao, C.G. Quinidine Thiourea-catalyzed aldol reaction of unactivated ketones: Highly enantioselective synthesis of 3-alkyl-3-hydroxyindolin-2-ones. Angew. Chem. Int. Ed. 2010, 49, 9460–9464. [Google Scholar] [CrossRef]
- Raj, M.; Veerasamy, N.; Singh, V.K. Highly enantioselective synthesis of 3-cycloalkanone-3-hydroxy-2-oxindoles, potential anticonvulsants. Tetrahedron Lett. 2010, 51, 2157–2159. [Google Scholar] [CrossRef]
- Allu, S.; Molleti, N.; Panem, R.; Singh, V.K. Enantioselective organocatalytic aldol reaction of unactivated ketones with isatins. Tetrahedron Lett. 2011, 52, 4080–4083. [Google Scholar] [CrossRef]
- Kinsella, M.; Duggan, P.G.; Lennon, C.M. Screening of simple N-aryl and N-heteroaryl pyrrolidine amide organocatalysts for the enantioselective aldol reaction of acetone with isatin. Tetrahedron Asymmetry 2011, 22, 1423–1433. [Google Scholar] [CrossRef]
- Liu, G.G.; Zhao, H.; Lan, Y.B.; Wu, B.; Huang, X.F.; Chen, J.; Tao, J.C.; Wang, X.W. Asymmetric cross aldol addition of isatins with α,β-unsaturated ketones catalyzed by a bifunctional Brønsted acid–Brønsted base organocatalyst. Tetrahedron 2012, 68, 3843–3850. [Google Scholar] [CrossRef]
- Cui, H.L.; Tanaka, F. Catalytic enantioselective formal hetero-Diels-Alder reactions of enones with isatins to give spirooxindole tetrahydropyranones. Chem. Eur. J. 2013, 19, 6213–6216. [Google Scholar] [CrossRef]
- Beccalli, E.M.; Marchesini, A.; Pilati, T. Synthesis of the carbazole alkaloids hyellazole and 6-chlorohyellazole and related derivatives. J. Chem. Soc. Perkin Trans. 1994, 1, 579–587. [Google Scholar] [CrossRef]
- Peng, Y.Y.; Wang, Q.; He, J.Q.; Cheng, J.P. Arginine catalyzed direct aldol reactions in pure water: An environmentally friendly reaction system. Chin. J. Chem. 2008, 26, 1454–1460. [Google Scholar] [CrossRef]
- Ma, J.A. Recent developments in the catalytic asymmetric synthesis of α- and β-amino acids. Angew. Chem. Int. Ed. 2003, 42, 4290–4299. [Google Scholar] [CrossRef]
- Maruoka, K.; Ooi, T. Enantioselective amino acid synthesis by chiral phase-transfer catalysis. Chem. Rev. 2003, 103, 3013–3028. [Google Scholar] [CrossRef]
- Plaquevent, J.C.; Levillain, J.; Guillen, F.; Malhiac, C.; Gaumont, A.C. Ionic liquids: New targets and media for α-amino acid and peptide chemistry. Chem. Rev. 2008, 108, 5035–5060. [Google Scholar] [CrossRef]
- List, B.; Lerner, R.A.; Barbas, C.F., III. Proline-catalyzed direct asymmetric aldol reactions. J. Am. Chem. Soc. 2000, 122, 2395–2396. [Google Scholar] [CrossRef]
- List, B. Proline-catalyzed asymmetric reactions. Tetrahedron 2002, 58, 5573–5590. [Google Scholar] [CrossRef]
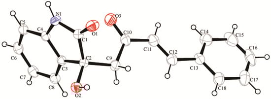
- Crystallographic data of 3a reported in this manuscript have been deposited with Cambridge Crystallographic Data Centre as supplementary publication No. CCDC-936278. Copies of the data can be obtained free of charge via www.ccdc.cam.ac.uk/conts/retrieving.html (or from the Cambridge Crystallographic Data Centre, 12, Union Road, Cambridge, CB21EZ, UK; fax: +441223 336033; or deposit@ccdc.cam.ac.uk).
- Kim, J.; Jung, S.; Park, S.; Park, S. Amino-acid-mediated epoxidation of α,β-unsaturated ketones by hydrogen peroxide in aqueous media. Tetahedron Lett. 2011, 52, 2866–2868. [Google Scholar] [CrossRef]
- Rahmati, A.; Vakili, K. l-Histidine and l-arginine promote Knoevenagel reaction in water. Amino Acids 2010, 39, 911–916. [Google Scholar]
- Yu, Z.P.; Liu, X.H.; Zhou, L.; Lin, L.L.; Feng, X.M. Bifunctional guanidine via an amino Amide skeleton for asymmetric michael reactions of β-ketoesters with nitroolefins: A concise synthesis of bicyclic β-amino acids. Angew. Chem. Int. Ed. 2009, 48, 5195–5198. [Google Scholar] [CrossRef]
- Sample Availability: Samples of all the compounds are available from the authors.
© 2013 by the authors; licensee MDPI, Basel, Switzerland. This article is an open access article distributed under the terms and conditions of the Creative Commons Attribution license (http://creativecommons.org/licenses/by/3.0/).
Share and Cite
Yan, T.; Wang, X.; Sun, H.; Liu, J.; Xie, Y. Facile Creation of 3-Substituted-3-Hydroxy-2-Oxindoles by Arginine-Catalyzed Aldol Reactions of α,β-Unsaturated Ketones with Isatins. Molecules 2013, 18, 14505-14518. https://doi.org/10.3390/molecules181214505
Yan T, Wang X, Sun H, Liu J, Xie Y. Facile Creation of 3-Substituted-3-Hydroxy-2-Oxindoles by Arginine-Catalyzed Aldol Reactions of α,β-Unsaturated Ketones with Isatins. Molecules. 2013; 18(12):14505-14518. https://doi.org/10.3390/molecules181214505
Chicago/Turabian StyleYan, Tingting, Xiaoyan Wang, Hongbao Sun, Jie Liu, and Yongmei Xie. 2013. "Facile Creation of 3-Substituted-3-Hydroxy-2-Oxindoles by Arginine-Catalyzed Aldol Reactions of α,β-Unsaturated Ketones with Isatins" Molecules 18, no. 12: 14505-14518. https://doi.org/10.3390/molecules181214505
APA StyleYan, T., Wang, X., Sun, H., Liu, J., & Xie, Y. (2013). Facile Creation of 3-Substituted-3-Hydroxy-2-Oxindoles by Arginine-Catalyzed Aldol Reactions of α,β-Unsaturated Ketones with Isatins. Molecules, 18(12), 14505-14518. https://doi.org/10.3390/molecules181214505

