Polyethylene Glycol (PEG-400): An Efficient and Recyclable Reaction Medium for the Synthesis of Pyrazolo[3,4-b]pyridin-6(7H)-one Derivatives
Abstract
:1. Introduction
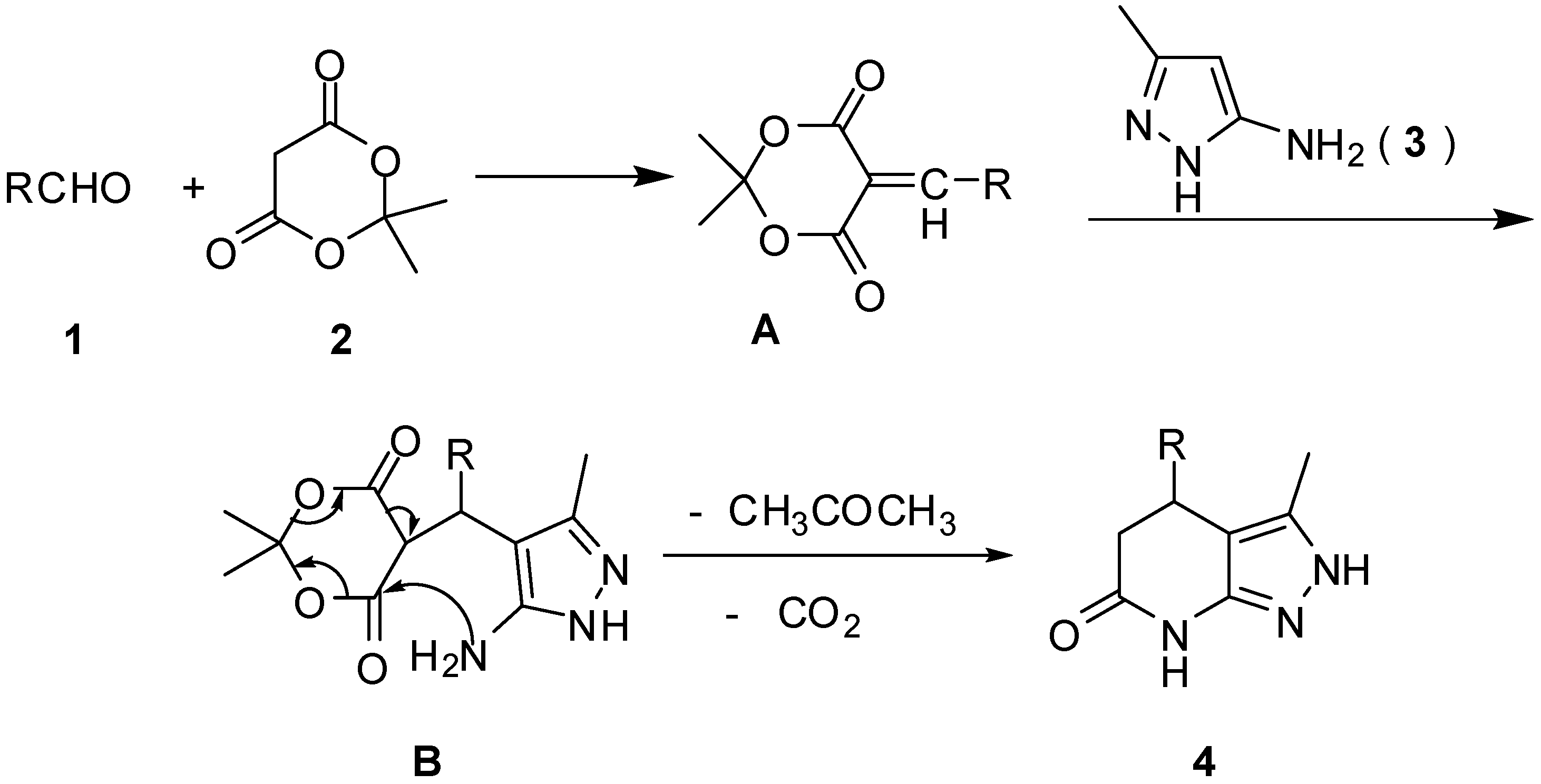
2. Results and Discussion

| Entry | Product | R | Isolated Yield (%) |
|---|---|---|---|
| 1 | 4a | 4-CH3C6H4 | 88 |
| 2 | 4b | 3-CH3C6H4 | 93 |
| 3 | 4c | 4-CH3OC6H4 | 89 |
| 4 | 4d | 3-CH3OC6H4 | 84 |
| 5 | 4e | 4-BrC6H4 | 88 |
| 6 | 4f | 3-BrC6H4 | 92 |
| 7 | 4g | 2-CH3C6H4 | 89 |
| 8 | 4h | 3-ClC6H4 | 90 |
| 9 | 4i | n-propyl | 86 |
| Run | Yield (%) |
|---|---|
| 1 | 93 |
| 2 | 89 |
| 3 | 82 |
| 4 | 76 |
| 5 | 70 |


3. Experimental
3.1. General Information
3.2. General Procedure for the Synthesis of Pyrazolo[3,4-b]pyridine-6(7H)-ones 4 in Aqueous Media
4. Conclusions
Acknowledgments
Conflicts of Interest
References
- Dress, B.E.; Chakravarty, L.; Prestwich, G.D.; Dorman, G.; Kavecz, M.; Lukacs, A.; Urge, L.; Darvas, F.; Rzepecki, P.W.; Ferguson, C.G. Compounds having inhibitive activity of phosphatidylinositol 3-kinase and methods of use thereof. W.O. Patent 016,245, 2005. Chem. Abstr. 2005, 142, 261534. [Google Scholar]
- Kung, D.W. S.; Fuller, G. Pyrazolo[3,4-b]pyridin-6-ones as GSK-3 inhibitors. U.S. Patent 266,815, 2004. Chem. Abstr. 2005, 142, 266815. [Google Scholar]
- Hoehn, H. 1,4,5,7-Tetrahydropyrazolo[3,4-b]pyridin-6-ones. U.S. Patent 3,935,222, 1976. Chem. Abstr. 1976, 85, 21351. [Google Scholar]
- Quiroga, J.; Hormanza, A.; Insuasty, B. Reaction of 5-amino-1-aryl-3-methylpyrazoles with benzylidene derivatives of meldrum’s acid: Synthesis and characterization of pyrazolo[3,4-b]pyridinones. J. Heterocycl. Chem. 1998, 35, 409–412. [Google Scholar] [CrossRef]
- Martinez-Teipel, B.; Teixido, J.; Pascual, R.; Mora, M.; Pujola, J.; Fujimoto, T.; Borrell, I.I.; Michelotti, E.L. 2-Methoxy-6-oxo-1,4,5,6-tetrahydropyridine-3-carbonitriles: Versatile starting materials for the synthesis of libraries with diverse heterocyclic scaffolds. J. Comb. Chem. 2005, 7, 436–448. [Google Scholar]
- Rodrigues-Santos, C.E.; Echevarria, A. Convenient syntheses of pyrazolo[3,4-b]pyridin-6-ones using either microwave or ultrasound irradiation. Tetrahedron Lett. 2011, 52, 336–340. [Google Scholar] [CrossRef]
- Shi, C.L.; Chen, H.; Shi, D.Q. An efficient one-pot synthesis of pyrazolo[3,4-b]pyridinone derivatives catalyzed by L-proline. J. Heterocycl. Chem. 2011, 48, 351–354. [Google Scholar] [CrossRef]
- Bienayme, H.; Hulme, C.; Oddon, G.; Schmitt, P. Maximizing synthetic efficiency: Multi-component transformations lead the way. Chem-Eur. J. 2000, 6, 3321–3329. [Google Scholar] [CrossRef]
- Tietze, L.F.; Modi, A. Multicomponent domino reactions for the synthesis of biologically active natural products and drugs. Med. Res. Rev. 2000, 20, 304–322. [Google Scholar] [CrossRef]
- Dömling, A.; Ugi, I. Multicomponent reactions with isocyanides. Angew. Chem. Int. Ed. 2000, 39, 3168–3210. [Google Scholar] [CrossRef]
- Zhu, J. Recent developments in the isonitrile-based multicomponent synthesis of heterocycles. Eur. J. Org. Chem. 2003, 1133–1144. [Google Scholar] [CrossRef]
- Orru, R.V.A.; de Greef, M. Recent advances in solution-phase multicomponent methodology for the synthesis of heterocyclic compounds. Synthesis 2003, 10, 1471–1499. [Google Scholar] [CrossRef]
- Nair, V.; Rajesh, C.; Vinod, A.V.; Bindu, S.; Sreekanth, A.R.; Mathen, J.S.; Balagopal, L. Strategies for heterocyclic construction via novel multicomponent reactions based on isocyanides and nucleophilic carbenes. Account. Chem. Res. 2003, 36, 899–907. [Google Scholar] [CrossRef]
- Simon, C.; Constantieux, T.; Rodriguez, J. Utilisation of 1,3-dicarbonyl derivatives in multicomponent reactions. Eur. J. Org. Chem. 2004, 4957–4980. [Google Scholar]
- Ramon, D.J.; Yus, M. Asymmetric multicomponent reactions (AMCRs): The new frontier. Angew. Chem. Int. Ed. 2005, 44, 1602–1634. [Google Scholar]
- Nair, V.; Vinod, A.U.; Rajesh, C. A novel synthesis of 2-aminopyrroles using a three-component reaction. J. Org. Chem. 2001, 66, 4427–4429. [Google Scholar] [CrossRef]
- List, B.; Castello, C. A novel proline-catalyzed three-component reaction of ketones, aldehydes, and Meldrum’s acid. Synlett 2001, 11, 1687–1689. [Google Scholar] [CrossRef]
- Shestopalov, A.M.; Emeliyanova, Y.M.; Shestiopolov, A.A.; Rodinovskaya, L.A.; Niazimbe tova, Z.I.; Evans, D.H. One-step synthesis of substituted 6-amino-5-cyanospiro-4-(piperidine-4')-2H,4H-dihydropyrazolo[3,4-b]pyrans. Org. Lett. 2002, 4, 423–425. [Google Scholar] [CrossRef]
- Bertozzi, F.; Gustafsson, M.; Olsson, R. A novel metal iodide promoted three-component synthesis of substituted pyrrolidines. Org. Lett. 2002, 4, 3147–3150. [Google Scholar] [CrossRef]
- Yuan, Y.; Li, X.; Ding, K. Acid-free aza Diels-Alder reaction of Danishefsky’s diene with imines. Org. Lett. 2002, 4, 3309–3311. [Google Scholar] [CrossRef]
- Cheng, J.F.; Chen, M.; Arthenius, T.; Nadzen, A. A convenient solution and solid-phase synthesis of Δ5–2-oxopiperazines via N-acyliminium ions cyclization. Tetrahedron Lett. 2002, 43, 6293–6295. [Google Scholar]
- Huma, H.Z.S.; Halder, R.; Kalra, S.S.; Das, J.; Iqbal, J. Cu(I)-catalyzed three component coupling protocol for the synthesis of quinoline derivatives. Tetrahedron Lett. 2002, 43, 6485–6488. [Google Scholar]
- Bora, U.; Saikia, A.; Boruah, R.C. A novel microwave-mediated one-pot synthesis of indolizines via a three-component reactio. Org. Lett. 2003, 5, 435–438. [Google Scholar] [CrossRef]
- Dallinger, D.; Gorobets, N.Y.; Kappe, C.O. High-throughput synthesis of N3-acylated dihydropyrimidines combining microwave-assisted synthesis and scavenging techniques. Org. Lett. 2003, 5, 1205–1208. [Google Scholar] [CrossRef]
- Roshan, A.A.; Mamaghani, M.; Mahmoodi, N.O.; Shirini, F. An efficient regioselective sonochemical synthesis of novel 4-aryl-3-methyl-4,5-dihydro-1H-pyrazolo[3,4-b]pyridin-6(7H)-ones. Chin. Chem. Lett. 2012, 23, 399–402. [Google Scholar] [CrossRef]
- Breslow, R.; Maitra, U. On the origin of product selectivity in aqueous diels-alder reactions. Tetrahedron Lett. 1984, 25, 1239–1240. [Google Scholar] [CrossRef]
- Ponaras, A.A. A new variant of the Claisen rearrangement capable of creating the bond between two quaternary centers. J. Org. Chem. 1983, 48, 3866–3868. [Google Scholar] [CrossRef]
- Coates, R.M.; Rogers, B.D.; Hobbs, S.J.; Peck, D.R.; Curran, D.P. Synthesis and Claisen rearrangement of alkoxyallyl enol ethers. Evidence for a dipolar transition state. J. Am. Chem. Soc. 1987, 109, 1160–1170. [Google Scholar] [CrossRef]
- Mattes, H.; Benezra, C. Reformatsky-type reactions in aqueous media. Use ofbronometryl-acrylic acid for the synthesis of α-methylene-γ-butyrolactones. Tetrahedron Lett. 1985, 26, 5697–5698. [Google Scholar] [CrossRef]
- Zhou, J.Y.; Lu, G.D.; Wu, S.H. A new approach for the synthesis of alpha-methylene-gamma-butyrolactones from alpha-bromomethylacrylicacids (or esters). Synth. Commun. 1992, 22, 481–487. [Google Scholar] [CrossRef]
- Delair, P.; Luche, J.L. A new sonochemical carbonyl cross-coupling reaction. J. Chem. Soc. Chem. Commun. 1989, 398–399. [Google Scholar] [CrossRef]
- Brelow, R.; Maitra, U.; Rideout, D.C. Selective diels-alder reactions in aqueous solutions and suspensions. Tetrahedron Lett. 1983, 24, 1901–1904. [Google Scholar]
- Tan, X.H.; Hou, Y.Q.; Huang, C.; Liu, L.; Guo, Q.X. SnCl2-mediated carbonyl allylation in fully aqueous media. Tetrahedron 2004, 60, 6129–6136. [Google Scholar]
- Copley, S.D.; Khowles, J.R. The conformational equilibrium of chorismate in solution: Implications for the mechanism of the non-enzymic and the enzyme-catalyzed rearrangement of chorismate to prephenate. J. Am. Chem. Soc. 1987, 109, 5008–5013. [Google Scholar] [CrossRef]
- Khosropour, A.R.; Khodaei, M.M.; Kookhazadeh, M. A mild, efficient and environmentally friendly method for the regio- and chemoselective synthesis of enaminones using Bi(TFA)3 as a reusable catalyst in aqueous media. Tetrahedron Lett. 2004, 45, 1725–1728. [Google Scholar] [CrossRef]
- Zhang, Z.H.; Yin, L.; Wang, Y.M.; Liu, J.Y.; Li, Y. Indium tribromide in poly(ethylene glycol) (PEG): a novel and efficient recycle system for chemoselective deprotection of 1,1-diacetates. Green Chem. 2004, 6, 563–565. [Google Scholar]
- Fulwa, V.K.; Manivannan, V. Synthesis of 3-substituted imidazo[1,5-a]pyridines having 1-(N-picolinamidin-2-yl) group. Tetrahedron 2012, 68, 3927–3931. [Google Scholar] [CrossRef]
- Nagarapu, L.; Mallepalli, R.; Kumar, U.N.; Venkateswarlu, P.; Bantu, R.; Yeramanchi, L. Synthesis of α1-oxindole-α-hydroxyphosphonates under catalyst-free conditions using polyethylene glycol (PEG-400) as an efficient and recyclable reaction medium. Tetrahedron Lett. 2012, 53, 1699–1700. [Google Scholar]
- Reddy, B.S.; Naidu, A.; Dubey, P.K. PEG-600-mediated, green and efficient, tandem syntheses of N-subtituted-2- styrylquinazolin-4-ones. Green Chem. Lett. Rev. 2013, 6, 254–261. [Google Scholar] [CrossRef]
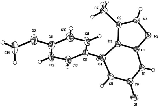
- Crystallographic data for the structure of 4c (CCDC-967181) have been deposited at the Cambridge Crystallographic Data Centre. Copies of available material can be obtained free of charge on application to CCDC, 12 Union Road, Cambridge CB2 1EZ, UK [fax: +44 (1223)336033; email: deposit@ccdc.cam.ac.uk].
- Sample Availability: Samples of the compounds 4 are available from the authors.
© 2013 by the authors; licensee MDPI, Basel, Switzerland. This article is an open access article distributed under the terms and conditions of the Creative Commons Attribution license (http://creativecommons.org/licenses/by/3.0/).
Share and Cite
Zhong, X.; Dou, G.; Wang, D. Polyethylene Glycol (PEG-400): An Efficient and Recyclable Reaction Medium for the Synthesis of Pyrazolo[3,4-b]pyridin-6(7H)-one Derivatives. Molecules 2013, 18, 13139-13147. https://doi.org/10.3390/molecules181113139
Zhong X, Dou G, Wang D. Polyethylene Glycol (PEG-400): An Efficient and Recyclable Reaction Medium for the Synthesis of Pyrazolo[3,4-b]pyridin-6(7H)-one Derivatives. Molecules. 2013; 18(11):13139-13147. https://doi.org/10.3390/molecules181113139
Chicago/Turabian StyleZhong, Xiaoxing, Guolan Dou, and Deming Wang. 2013. "Polyethylene Glycol (PEG-400): An Efficient and Recyclable Reaction Medium for the Synthesis of Pyrazolo[3,4-b]pyridin-6(7H)-one Derivatives" Molecules 18, no. 11: 13139-13147. https://doi.org/10.3390/molecules181113139
APA StyleZhong, X., Dou, G., & Wang, D. (2013). Polyethylene Glycol (PEG-400): An Efficient and Recyclable Reaction Medium for the Synthesis of Pyrazolo[3,4-b]pyridin-6(7H)-one Derivatives. Molecules, 18(11), 13139-13147. https://doi.org/10.3390/molecules181113139
