Negative-Pressure Cavitation Extraction of Four Main Vinca Alkaloids from Catharanthus roseus Leaves
Abstract
:1. Introduction

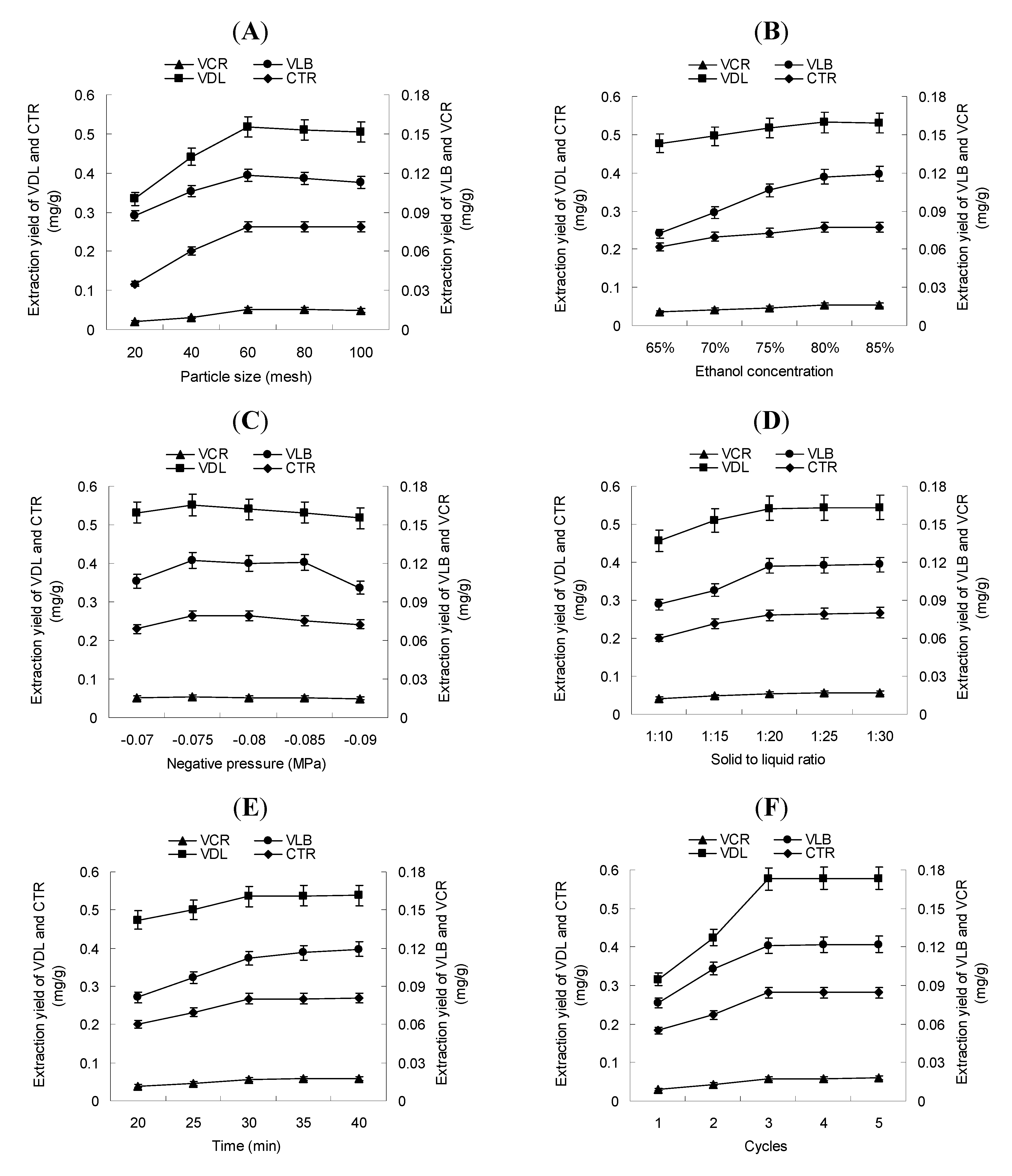
2. Results and Discussion
2.1. Effect of Particle Size and Ethanol Concentration

2.2. Effect of Negative Pressure and Solid to Liquid Ratio
2.3. Effect of Extraction Time and Extraction Cycle
2.4. Comparison of Different Extraction Methods
| Yield (mg/g) | ME | HRE | USE | NPCE |
|---|---|---|---|---|
| VDL | 0.5069 ± 0.0242 | 0.5138 ± 0.0253 | 0.5767 ± 0.0280 | 0.5783 ± 0.0278 |
| CTR | 0.2271 ± 0.0112 | 0.2316 ± 0.0115 | 0.2811 ± 0.0134 | 0.2843 ± 0.0132 |
| VCR | 0.0098 ± 0.0004 | 0.0116 ± 0.0005 | 0.0162 ± 0.0006 | 0.0181 ± 0.0007 |
| VLB | 0.0603 ± 0.0028 | 0.0982 ± 0.0041 | 0.1140 ± 0.0050 | 0.1263 ± 0.0058 |
3. Experimental
3.1. Plant Material
3.2. Chemicals and Reagents
3.3. Extraction Procedures
3.3.1. Negative Pressure Cavitation Extraction (NPCE)
3.3.2. Conventional Extraction Procedures
3.4. RP-HPLC Analysis

| Retention Time (min) | Peak maxima (nm) | Identity | Peak maxima (nm) in literature [ 24] |
|---|---|---|---|
| 9.0 | 213, 251, 305 | VDL | 214, 254, 306 |
| 11.9 | 223, 283 | CTR | 226, 282 |
| 13.2 | 220, 256, 297 | VCR | 222, 256, 298 |
| 20.2 | 215, 265 | VLB | 214, 266 |
3.5. Statistical Analysis
4. Conclusions
Acknowledgments
References
- Noble, R.L. The discovery of the vinca alkaloids-chemotherapeutic agents against cancer. Biochem. Cell Biol. 1990, 68, 1344–1351. [Google Scholar] [CrossRef]
- Zu, Y.G.; Luo, M.; Mu, F.S.; Fu, Y.J.; Wang, L. Advances on alkaloids in Catharanthus roseus and their pharmacological activities. Nat. Prod. Res. Dev. 2006, 18, 325–329. [Google Scholar]
- Van der Heijden, R.; Jacobs, D.I.; Snoeijer, W.; Hallard, D.; Verpoorte, R. The Catharanthus alkaloids: pharmacognosy and biotechnology. Curr. Med. Chem. 2004, 5, 607–628. [Google Scholar]
- Sertel, S.; Zu, Y.G.; Fu, Y.J.; Rebacz, B.; Kon-kimalla, B.; Plinkert, P.K.; Krämer, A.; Gertsch, J.; Efferth, T. Molecular docking and pharmacogenomics of vinca alkaloids and their monomeric precursors, vindoline and catharanthine. Biochem. Pharm. 2011, 81, 723–735. [Google Scholar]
- Armstrong, J.G.; Dyke, R.W.; Fouts, P.J. Vinblastine sulfate treatment of hodgkin’s disease during a pregnancy. Science 1964, 143, 703. [Google Scholar]
- Evans, A.E.; Farber, S.; Brunet, S.; Mariano, P.J. Vincristine in the treatment of acute leukemia in children. Cancer 1963, 16, 1302–1306. [Google Scholar] [CrossRef]
- Jordan, M.A.; Wilson, L. Microtubules as a target for anticancer drugs. Nat. Rev. Cancer 2004, 4, 253–265. [Google Scholar] [CrossRef]
- Zu, Y.G.; Fu, Y.J.; Luo, M.; Mu, F.S. Structure modification for reduced toxicity derivatives and anticancer activity of vinblastine (in Chinese). Chem. Online 2004, 67, w027. [Google Scholar]
- Renault, J.H.; Nuzillard, J.M.; Le Crouérour, G.; Thépenier, P.; Zèches-Hanrot, M.; Le Men-Olivier, L. Isolation of indole alkaloids from Catharanthus roseus by centrifugal partition chromatography in the pH-zone refining mode. J. Chromatogr. A 1999, 849, 421–431. [Google Scholar] [CrossRef]
- Choi, Y.H.; Yoo, K.P.; Kim, J. Supercritical fluid extraction and liquid chromatography-electrospray mass analysis of vinblastine from Catharanthus roseus. Chem. Pharm. Bull. 2002, 50, 1294–1296. [Google Scholar] [CrossRef]
- Zu, Y.G.; Luo, M.; Mu, F.S.; Fu, Y.J. Research on ultrasound-assisted extraction process of vinblastine from Catharanthus roseus. Chin. Trad. Herbal Drugs 2007, 38, 1348–1349. [Google Scholar]
- Verma, A.; Laakso, I.; Seppänen-Laakso, T.; Huhtikangas, A.; Riekkola, M.L. A simplified procedure for indole alkaloid extraction from Catharanthus roseus combined with a semi-synthetic production process for vinblastine. Molecules 2007, 12, 1307–1315. [Google Scholar] [CrossRef]
- Mu, F.S.; Luo, M.; Fu, Y.J.; Tian, H.; Zu, Y.G. Optimization of microwave assisted extraction process of vinblastine by orthogonalmethod. Chem. Eng. 2008, 36, 62–65. [Google Scholar]
- Li, S.M.; Fu, Y.J.; Zu, Y.G.; Zu, B.S.; Wang, Y.; Efferth, T. Determination of paclitaxel and its analogues in the needles of Taxus species by using negative pressure cavitation extraction followed by HPLC-MS-MS. J. Sep. Sci. 2009, 32, 3958–3966. [Google Scholar] [CrossRef]
- Zhang, D.Y.; Zu, Y.G.; Fu, Y.J.; Luo, M.; Gu, C.B.; Wang, W.; Yao, X.H. Negative pressure cavitation extraction and antioxidant activity of biochanin A and genistein from the leaves of Dalbergia odorifera T. Chen. Sep. Purif. Technol. 2011, 83, 91–99. [Google Scholar] [CrossRef]
- Zhao, B.S.; Fu, Y.J.; Wang, W.; Zu, Y.G.; Gu, C.B.; Luo, M.; Efferth, T. Enhanced extraction of isoflavonoids from Radix Astragali by incubation pretreatment combined with negative pressure cavitation and its antioxidant activity. Innovat. Food Sci. Emerg. Tech. 2011, 12, 577–585. [Google Scholar] [CrossRef]
- Dong, L.L.; Fu, Y.J.; Zu, Y.G.; Li, J.; Li, X.J.; Efferth, T. Negative pressure cavitation accelerated processing for extraction of main bioactive flavonoids from Radix Scutellariae. Chem. Eng. Process. 2011, 50, 780–789. [Google Scholar] [CrossRef]
- Zhang, D.Y.; Zu, Y.G.; Fu, Y.J.; Luo, M.; Wang, W.; Gu, C.B.; Zhao, C.J.; Jiao, J.; Efferth, T. Enzyme pretreatment and negative pressure cavitation extraction of genistein and apigenin from the roots of pigeon pea [Cajanus cajan (L.) Millsp.] and the evaluation of antioxidant activity. Ind. Crop. Prod. 2010, 37, 311–320. [Google Scholar]
- Wang, W.; Li, N.; Luo, M.; Zu, Y.; Efferth, T. Antibacterial activity and anticancer activity of Rosmarinus officinalis L. essential oil compared to that of its main components. Molecules 2012, 17, 2704–2713. [Google Scholar] [CrossRef]
- Liu, W.; Fu, Y.J.; Zu, Y.G.; Kong, Y.; Zhang, L.; Zu, B.S.; Efferth, T. Negative-pressure cavitation extraction for the determination of flavonoids in pigeon pea leaves by liquid chromatography-tandem mass spectrometry. J. Chromatogr. A 2009, 1216, 3841–3850. [Google Scholar] [CrossRef]
- Zhang, D.Y.; Zhang, S.; Zu, Y.G.; Fu, Y.J.; Kong, Y.; Gao, Y.; Zhao, J.T.; Efferth, T. Negative pressure cavitation extraction and antioxidant activity of genistein and genistin from the roots of pigeon pea [Cajanus cajan (L.) Millsp.]. Sep. Purif. Technol. 2010, 74, 261–270. [Google Scholar]
- Kong, Y.; Wei, Z.F.; Fu, Y.J.; Gu, C.B.; Zhao, C.J.; Yao, X.H.; Efferth, T. Negative-pressure cavitation extraction of cajaninstilbene acid and pinostrobin from pigeon pea [Cajanus cajan (L.) Millsp.] leaves and evaluation of antioxidant activity. Food Chem. 2011, 128, 596–605. [Google Scholar]
- Dong, L.L.; Fu, Y.J.; Zu, Y.G.; Luo, M.; Wang, W.; Li, X.J.; Li, J. Application of cavitation system to accelerate the endogenous enzymatic hydrolysis of baicalin and wogonoside in Radix Scutellariae. Food Chem. 2012, 131, 1422–1429. [Google Scholar] [CrossRef]
- Hisiger, S.; Jolicoeur, M. Analysis of Catharanthus roseus alkaloids by HPLC. Phytochem. Rev. 2007, 6, 207–234. [Google Scholar] [CrossRef]
- Luo, M.; Fu, Y.J.; Zu, Y.G.; Shi, Q.; Mu, F.S.; Li, Q.Y. Rapid determination of 4 vinca alkaloids by reversed phase high performance liquid chromatography. Chin. J. Anal. Chem. 2005, 33, 87–89. [Google Scholar]
- Sample Availability: Samples of the VDL, CTR, VCR, VLB are available from the authors.
© 2012 by the authors; licensee MDPI, Basel, Switzerland. This article is an open-access article distributed under the terms and conditions of the Creative Commons Attribution license (http://creativecommons.org/licenses/by/3.0/).
Share and Cite
Mu, F.; Yang, L.; Wang, W.; Luo, M.; Fu, Y.; Guo, X.; Zu, Y. Negative-Pressure Cavitation Extraction of Four Main Vinca Alkaloids from Catharanthus roseus Leaves. Molecules 2012, 17, 8742-8752. https://doi.org/10.3390/molecules17088742
Mu F, Yang L, Wang W, Luo M, Fu Y, Guo X, Zu Y. Negative-Pressure Cavitation Extraction of Four Main Vinca Alkaloids from Catharanthus roseus Leaves. Molecules. 2012; 17(8):8742-8752. https://doi.org/10.3390/molecules17088742
Chicago/Turabian StyleMu, Fansong, Liuqing Yang, Wei Wang, Meng Luo, Yujie Fu, Xiaorui Guo, and Yuangang Zu. 2012. "Negative-Pressure Cavitation Extraction of Four Main Vinca Alkaloids from Catharanthus roseus Leaves" Molecules 17, no. 8: 8742-8752. https://doi.org/10.3390/molecules17088742
APA StyleMu, F., Yang, L., Wang, W., Luo, M., Fu, Y., Guo, X., & Zu, Y. (2012). Negative-Pressure Cavitation Extraction of Four Main Vinca Alkaloids from Catharanthus roseus Leaves. Molecules, 17(8), 8742-8752. https://doi.org/10.3390/molecules17088742
