Synthesis of Gentiooligosaccharides of Genistein and Glycitein and Their Radical Scavenging and Anti-Allergic Activity
Abstract
:1. Introduction
2. Results and Discussion
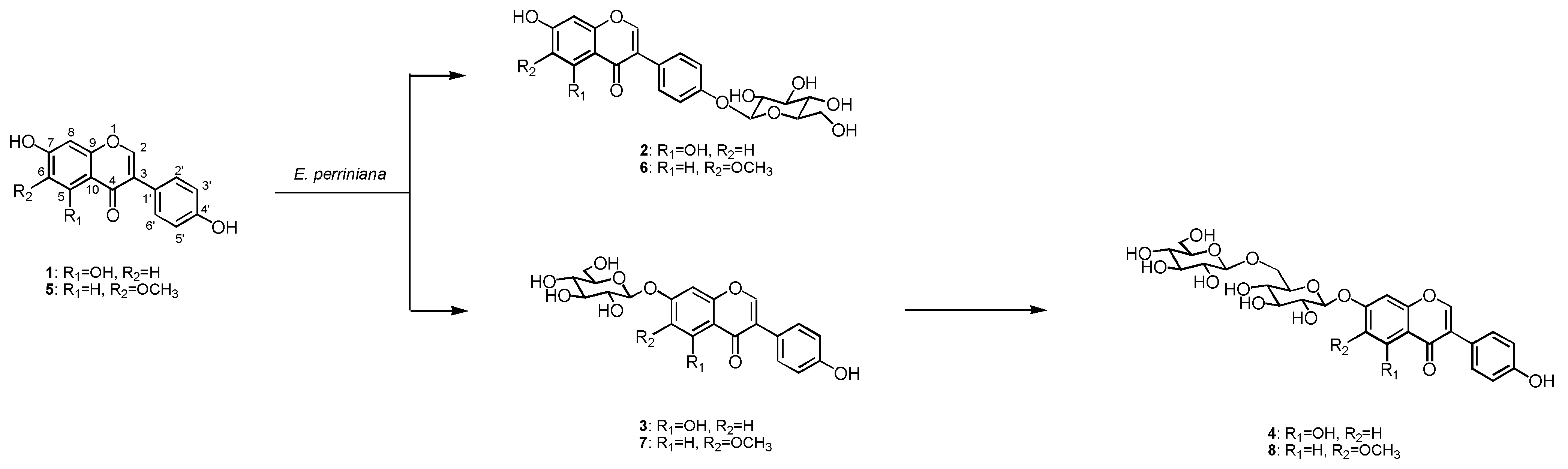
2.1. Glycosylation of Genistein (1) and Glycitein (5) by Cultured Cells of E. perriniana

2.2. Radical Scavenging Activity of β-Glycosides of Genistein and Glycitein
| Compound | IC50 (μM) | |
|---|---|---|
| DPPH free-radical scavenging | Superoxide-radical scavenging | |
| 2 | 52 | 751 |
| 3 | 49 | 704 |
| 4 | >200 | >1000 |
| 6 | 55 | 764 |
| 7 | 51 | 708 |
| 8 | 162 | >1000 |
| Vitamin C | 35 | 698 |
2.3. Anti-Allergic Activity of β-Glycosides of Genistein and Glycitein
| Compound | IgE level a |
|---|---|
| None | 401.7 |
| 1 | 145.1 |
| 2 | 452.2 |
| 3 | 168.5 |
| 4 | 466.2 |
| 5 | 135.9 |
| 6 | 383.8 |
| 7 | 151.0 |
| 8 | 256.6 |
| Hydrocortisone | 342.0 |
3. Experimental Section
3.1. General
3.2. Cultured Cells and Culture Conditions
3.3. Production of β-Glycosides of Genistein and Glycitein by E. perriniana
3.4. DPPH Radical Scavenging Activity
3.5. Superoxide-Radical Scavenging Activity
3.6. Suppressive Action on IgE Antibody Formation
4. Conclusions
Acknowledgments
Conflict of Interest
References and Notes
- Adlercreutz, H.; Goldin, B.R.; Gorbach, S.L.; Höckerstedt, K.A.V.; Watanabe, S. Soybean phytoestrogen intake and cancer risk. J. Nutr. 1995, 125, 757–770. [Google Scholar]
- Barnes, S. Evolution of the health benefits of soy isoflavones. Proc. Soc. Exp. Biol. Med. 1998, 217, 386–392. [Google Scholar]
- Marotta, F.; Mao, G.S.; Liu, T.; Chui, D.H.; Lorenzetti, A.; Xiao, Y.; Marandola, P. Anti-inflammatory and neuroprotective effect of a phytoestrogen compound on rat microglia. Ann. N.Y. Acad. Sci. 2006, 1089, 276–281. [Google Scholar] [CrossRef]
- Setchell, K.D.R.; Cassidy, A. Dietary isoflavones: Biological effects and relevance to human health. J. Nutr. 1999, 129, 758–767. [Google Scholar]
- Chacko, B.K.; Chandler, R.T.; D’Alessandro, T.L.; Mundhekar, A.; Khoo, N.K.; Botting, N.; Barnes, S.; Patel, R.P. Anti-inflammatory effects of isoflavones are dependent on flow and human endothelial cell PPARgamma. J. Nutr. 2007, 137, 351–356. [Google Scholar]
- Shimoda, K.; Kondo, Y.; Nishida, T.; Hamada, H.; Nakajima, N.; Hamada, H. Biotransformation of thymol, carvacrol, and eugenol by cultured cells of Eucalyptus perriniana. Phytochemistry 2006, 67, 2256–2261. [Google Scholar] [CrossRef]
- Shimoda, K.; Kwon, S.; Utsuki, A.; Ohiwa, S.; Katsuragi, H.; Yonemoto, N.; Hamada, H.; Hamada, H. Glycosylation of capsaicin and 8-nordihydrocapsaicin by cultured cells of Catharanthus roseus. Phytochemistry 2007, 68, 1391–1396. [Google Scholar]
- Shimoda, K.; Kubota, N.; Kondo, Y.; Sato, D.; Hamada, H. Glycosylation of fluorophenols by plant cell cultures. Int. J. Mol. Sci. 2009, 10, 1942–1949. [Google Scholar] [CrossRef]
- Shimoda, K.; Akagi, M.; Hamada, H. Production of β-maltooligosaccharides of α- and δ-tocopherols by Klebsiella pneumoniae and cyclodextrin glucanotransferase as anti-allergic agents. Molecules 2009, 14, 3106–3114. [Google Scholar] [CrossRef]
- Shimoda, K.; Hamada, H. Production of hesperetin glycosides by Xanthomonas campestris and cyclodextrin glucanotransferase and their anti-allergic activities. Nutrients 2010, 2, 171–180. [Google Scholar] [CrossRef]
- Shimoda, K.; Kubota, N.; Taniuchi, K.; Sato, D.; Nakajima, N.; Hamada, H.; Hamada, H. Biotransformation of naringin and naringenin by cultured Eucalyptus perriniana cells. Phytochemistry 2010, 71, 201–205. [Google Scholar]
- Morand, C.; Manach, C.; Crespy, V.; Remesy, C. Quercetin 3-O-beta-glucoside is better absorbed than other quercetin forms and is not present in rat plasma. Free Radic. Res. 2000, 33, 667–676. [Google Scholar] [CrossRef]
- Shimoda, K.; Hamada, H. Synthesis of β-maltooligosaccharides of glycitein and daidzein and their anti-oxidant and anti-allergic activities. Molecules 2010, 15, 5153–5161. [Google Scholar] [CrossRef]
- Calis, I.; Kuruuzum, A.; Demirezer, O.; Sticher, O.; Ganci, W.; Ruedi, P. Phenyl valeric acid and flavonoid glycosides from Polygonum salicifolium. J. Nat. Prod. 1999, 62, 1101–1105. [Google Scholar] [CrossRef]
- Shimoda, K.; Kobayashi, T.; Akagi, M.; Hamada, H.; Hamada, H. Synthesis of oligosaccharides of genistein and quercetin as potential anti-inflammatory agents. Chem. Lett. 2008, 37, 876–877. [Google Scholar] [CrossRef]
- Furuya, T.; Orihara, Y.; Hayashi, C. Triterpenoids from Eucalyptus perriniana cultured cells. Phytochemistry 1987, 26, 715–719. [Google Scholar]
- Ozsoy, N.; Candoken, E.; Akev, N. Implications for degenerative disorders: Antioxidative activity, total phenols, flavonoids, ascorbic acid, β-carotene and β-tocopherol in Aloe vera. Oxid. Med. Cell Longev. 2009, 2, 99–106. [Google Scholar] [CrossRef]
- Koda, A.; Miura, T.; Inagaki, N.; Sakamoto, O.; Arimura, A.; Nagai, H.; Mori, H. A method for evaluating anti-allergic drugs by simultaneously induced passive cutaneous anaphylaxis and mediator cutaneous reactions. Int. Arch. Allergy. Appl. Immunol. 1990, 92, 209–216. [Google Scholar] [CrossRef]
- Sample Availability: Not available.
© 2011 by the authors; licensee MDPI, Basel, Switzerland. This article is an open access article distributed under the terms and conditions of the Creative Commons Attribution license ( http://creativecommons.org/licenses/by/3.0/).
Share and Cite
Shimoda, K.; Kubota, N.; Hamada, H.; Hamada, H. Synthesis of Gentiooligosaccharides of Genistein and Glycitein and Their Radical Scavenging and Anti-Allergic Activity. Molecules 2011, 16, 4740-4747. https://doi.org/10.3390/molecules16064740
Shimoda K, Kubota N, Hamada H, Hamada H. Synthesis of Gentiooligosaccharides of Genistein and Glycitein and Their Radical Scavenging and Anti-Allergic Activity. Molecules. 2011; 16(6):4740-4747. https://doi.org/10.3390/molecules16064740
Chicago/Turabian StyleShimoda, Kei, Naoji Kubota, Hatsuyuki Hamada, and Hiroki Hamada. 2011. "Synthesis of Gentiooligosaccharides of Genistein and Glycitein and Their Radical Scavenging and Anti-Allergic Activity" Molecules 16, no. 6: 4740-4747. https://doi.org/10.3390/molecules16064740
APA StyleShimoda, K., Kubota, N., Hamada, H., & Hamada, H. (2011). Synthesis of Gentiooligosaccharides of Genistein and Glycitein and Their Radical Scavenging and Anti-Allergic Activity. Molecules, 16(6), 4740-4747. https://doi.org/10.3390/molecules16064740
