Abstract
Enaminone 1 was reacted with hydrazonoyl halides 2a-d to yield 3,4-disubstituted pyrazoles 6a-d. Coupling with arenediazonium chlorides afforded the 2-(arylhydrazono)-3-(1-naphthalenyl)-3-oxopropionaldehydes 13a-c. Compounds 13 could be utilized for the synthesis of a variety of arylpyrazoles, arylazolopyrimidines, and pyridazinones via reaction with hydrazines, aminoazoles, and active methylene derivatives, respectively. A comparative study of aforementioned reactions was carried out with chitosan as a basic ecofriendly catalyst under conventional heating as well as under pressurized microwave irradiation conditions.
1. Introduction
Enaminones are valuable intermediates in synthetic organic chemistry [1,2,3,4]. In the last few years we and others have reported a variety of synthesis of heteroaromatics that have been developed using functionally substituted enamines as readily obtainable building blocks possessing multiple electrophilic and nucleophilic moieties [5,6,7,8,9]. In continuation of this work, the chemistry of enaminone 1 of 1-acetylnaphthalene which can used as precursor in the synthesis of five- and six-membered heterocycles is reported. Furthermore, in light of recent research interest in the utility of green benign approaches in organic synthesis, another aim of the present study was o introduce a new technique by substituting triethylamine and piperidine with an ecologically more acceptable catalyst, e.g., chitosan, a naturally occurring ecofriendly polymer that can be used as a heterogeneous basic catalyst [10,11] and using microwave irradiation as energy source, as the more efficient energetic coupling of solvents with microwave promotes higher rates of temperature increase, which enhance the reaction rates and improve the regioselectivity [12,13,14]. The utility of microwave irradiation in reactions of enaminones have received limited study [15,16].
2. Results and Discussion
Condensation of 1-acetylnaphthalene with dimethylformamide dimethylacetal (DMFDMA) afforded enaminone 1 in 89% and 92% yields, respectively, either by refluxing in xylene for 8 h or by heating under MW without solvent at 180 C for 20 min. The same condensation product has been obtained by conventional heating by Kantevari et al. [17] and the microwave method is reported in this article (see Experimental section).
Fischer et al. [18] have used coupling of carbonyl groups with protons to establish relative geometry extensively, but the use of 13C-NMR to identify the long range coupling of C-H as indication of the stereochemistry with respect to the CO group is very difficult because of appearance of carbonyl carbons as broad signals. We have run NOE difference experiment to establish the stereo-orientation of either the E or Z-form for enaminone 1A. The NOE showed that irradiating the alkene CH at δ 5.45 ppm enhanced the dimethylamino protons at δ 2.83 and 3.21 ppm, confirming that they are proximal in space, as required by the E-form (Scheme 1).
Scheme 1.
Preparation of 3-dimethylamino-1-naphthalen-1-ylpropenone.
Scheme 1.
Preparation of 3-dimethylamino-1-naphthalen-1-ylpropenone.

The conventional reaction routes of hyrazonoyl halides with dipolarophiles use triethylamine [8,9,19] as basic catalyst to generate, in situ, a nitrilimine from the corresponding hydrazonoyl halides. In this context, we used chitosan as a novel ecofriendly basic catalyst in these reactions (chitosan is a copolymer containing both glucosamine units and acetylglucosamine units, the presence of amino groups being responsible for the basic nature of chitosan) [10,11] under microwave irradiation and conventional heating to afford a new environmentally benign route for the synthesis of heterocyclic compounds. 3-Dimethylamino-1-naphthalen-1-ylpropenone (1) reacted readily with hydrazonoyl halides 2a-d in absolute ethanol in the presence of chitosan under microwave irradiation for 10 minutes or reflux for 6 hours to yield the corresponding products of condensation via elimination of chitosan hydrochloride. It is assumed that compounds 2 initially furnish nitrilimines 3 which react with 1 to yield either 6 or the isomers 7 via loss of dimethylamine from the adducts 4 or 5 (Scheme 2).
Scheme 2.
Synthesis of 3,4-dicarbonyl pyrazoles 6 and pyrazolopyridazines 8, 9.
Scheme 2.
Synthesis of 3,4-dicarbonyl pyrazoles 6 and pyrazolopyridazines 8, 9.

1H-NMR and 13C-NMR spectra indicated that reaction products are 6a-d (see Experimental section). The structures of 6b,c were also confirmed via their reaction with hydrazine hydrate. Thus, treatment of 6b,c with hydrazine hydrate in ethanol (under microwave irradiation or reflux) afforded pyrazolo[3,4-d]pyridazine 8 and pyrazolo[3,4-d]pyridazin-7-one 9 (Scheme 2). The regiochemistry of addition of 1 to 2 in presence of chitosan under microwave irradiation is similar to the regiochemistry of the reactions of enaminoesters, enaminonitriles, nitroenamines, and enaminones with hydrazonoyl halides 2 [8,9].
We have also investigated the reaction between enaminone 1 and 6-amino-2-thioxo-(1H)-pyrimidin-4-one (10) in ethanol in the presence of chitosan. This reaction produced 2,3-dihydro-5-(1-naphthalenyl)-2-thioxopyrido[2,3-d]pyrimidin-4(1H)-one (11) or the isomeric structure 12 (Scheme 3). Mass, IR spectra, and elemental analysis data of the isolated product were consistent with both of the isomeric structures 11 and 12 (Scheme 3), while the 1H-NMR spectrum revealed a doublet signal at δ 8.42 ppm assigned to a pyridine-2H proton and not a pyridine-4H proton [20], which is consistent with isomeric structure 11. In addition, according to literature reports the reaction of heterocyclic amines to the double bond of the enaminone occurs with concurrent elimination of dimethylamine rather than condensation of a water molecule [21,22,23]. On the basis of these findings, structure of 12 was discarded and the product isolated from the studied reaction was assigned structure 11 (Scheme 3).
Scheme 3.
Synthesis of 2-thioxo-pyrido[2,3-d]pyrimidin-4-one (11).
Scheme 3.
Synthesis of 2-thioxo-pyrido[2,3-d]pyrimidin-4-one (11).

The chemistry of arylhydrazonals have recently received considerable attention and they serve as useful starting materials in the synthesis of five- and six-membered heterocycles [24]. In this case arylhydrazonals 13a-c could be readily obtained upon coupling of the enaminone 1 with arenediazonium salts (Scheme 4).
Scheme 4.
Synthesis of arylhydrazonals 13.
Scheme 4.
Synthesis of arylhydrazonals 13.

Compound 13a-c reacted with 6-amino-2-thioxo-(1H)-pyrimidin-4-one (10) in absolute ethanol in the presence of chitosan (under microwave irradiation or reflux) to afford the 6-arylazo-5-(1-naphthalenyl)-2-thioxo-2,3-dihydro-pyrido[2,3-d]pyrimidin-4(1H)-ones 14 in excellent yield (92%) and not the isomeric 7-arylazo-5-(1-naphthalenyl)-2,3-dihydro-2-thioxo-pyrido[2,3-d]pyrimidin-4(1H)-one structures 15 (Scheme 5). The structure assigned to compounds 14a-c was confirmed by chemical transformation. Thus, coupling of arenediazonium salts with 11 led to formation of products which are identical in all respects (mp, mixed mp, and IR) with products 14a-c (see Experimental section).
Scheme 5.
Synthesis of 6-arylazo-2-thioxo-pyrido[2,3-d]pyrimidin-4-ones 14.
Scheme 5.
Synthesis of 6-arylazo-2-thioxo-pyrido[2,3-d]pyrimidin-4-ones 14.

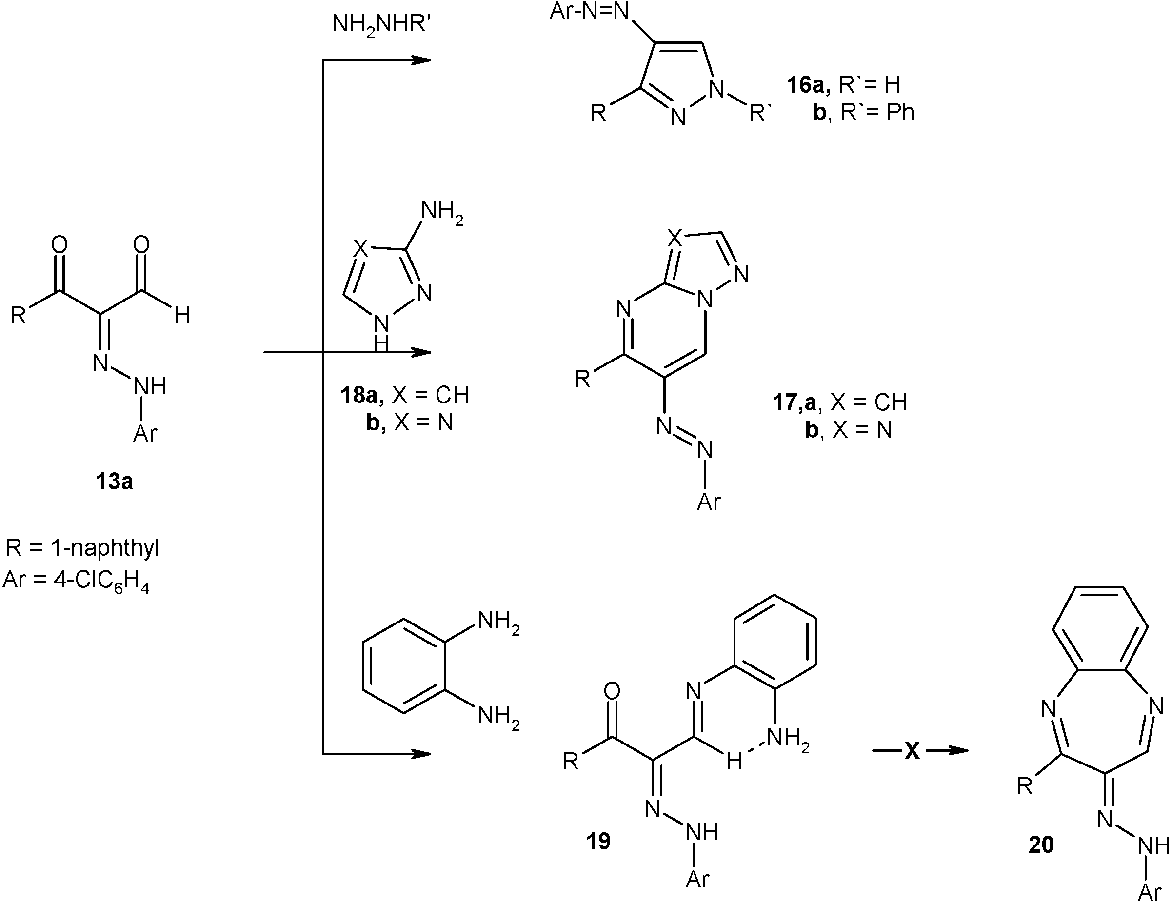
An expeditious synthesis of arylpyrazoles 16a,b and azolopyrimidines 17a,b by reaction of arylhydrazonal 13a with hydrazines and aminoazoles 18a,b proceeded efficiently in ethanol (under microwave irradiation for 5-6 min or reflux for 3 hours) (Scheme 6). o-Phenylenediamine also reacted with arylhydrazonal 13a under the same conditions to give a mono Schiff's base as the uncyclised product 19, and this compound could not be cyclized to yield benzodiazepine 20 [25], indicating that most likely this product adopted the hydrogen bonded form (Scheme 6).
Scheme 6.
Synthesis of arylpyrazoles, arylazolopyrimidines, and pyridazinones.
Scheme 6.
Synthesis of arylpyrazoles, arylazolopyrimidines, and pyridazinones.

2-Arylhydrazonopropanal 13a condensed readily with malononitrile to yield a product that can be formulated as 21 or the isomeric cyclic 22 (Scheme 7). The structure of 22 was established for the reaction product based on 13C-NMR spectroscopy, which revealed only one CN signal at δ = 119. Moreover, the condensation products were stable under conditions reported to effect cyclization of compounds of structure similar to that of 21 [26]. Compound 13a condensed with ethyl cyanoacetate and diethyl malonate to yield pyridazinones 23a,b (Scheme 7).
Scheme 7.
Synthesis of pyridazine derivatives.
Scheme 7.
Synthesis of pyridazine derivatives.

Table 1.
Formation of products using pressurized microwave and conventional heating procedures.
| Compd. no. | Microwave Irradiation | Conventional Heating | ||
| Time (min) | Yield (%) | Time (h) | Yield (%) | |
| 6a | 10 | 80 | 6 | 63 |
| 6b | 9 | 83 | 6 | 69 |
| 6c | 9 | 80 | 5 | 66 |
| 6d | 8 | 87 | 6 | 75 |
| 8 | 2 | 89 | 2 | 60 |
| 9 | 2 | 87 | 3 | 61 |
| 11 | 2 | 84 | 5 | 63 |
| 14a | 3 | 92 | 2 | 79 |
| 14b | 3 | 90 | 2 | 78 |
| 14c | 3 | 90 | 2 | 78 |
| 16a | 3 | 82 | 3 | 69 |
| 16b | 3 | 85 | 3 | 72 |
| 17a | 6 | 77 | 3 | 62 |
| 17b | 5 | 75 | 3 | 60 |
| 22 | 10 | 81 | 5 | 70 |
| 23a | 10 | 80 | 7 | 65 |
| 23b | 10 | 79 | 5 | 60 |
A comparative study of the yields of products under pressurized microwave irradiation (method A) and conventional heating (method B) showed that the use of microwave irradiation substantially reduced the reaction times hours scale to minutes and appreciably increased the yields (Table 1).
3. Experimental
3.1. General
Melting points were determined on an Electrothermal Gallenkamp apparatus and are uncorrected. The IR spectra were recorded in KBr pellets using a Pye Unicam SP-1000 spectrophotometer. 1H- NMR spectra (300 MHz) and 13C-NMR spectra (75 MHz) were obtained on a Varian EM-300 MHz spectrometer using DMSO-d6 as solvent with TMS as internal standard. Mass spectra were recorded on an AEI MS 30 mass spectrometer operating at 70 eV. Elemental analyses were carried out by the Microanalytical Center of Cairo University, Giza, Egypt. Microwave experiments were carried out using a CEM Discover Labmate Microwave apparatus (300 W with Chem. Driver software). Compounds 2a [27], 2b [28], 2c [29], 2d [30] were previously reported.
3.2. Preparation of 3-dimethylamino-1-naphthalen-1-ylpropenone 1
A mixture of 1-acetylnaphthalene (1.7 g, 10 mmol) and DMFDMA (1.19 g, 10 mmol) was irradiated by focused microwaves at 180 °C for 20 min. The reaction mixture was cooled and purified by flash column chromatography on SiO2, eluting with light petroleum-EtOAc (1:1) to afford the pure product 1 as a yellowish brown oil in 92% yield; 1H-NMR: δ 2.83 (s, 3H, CH3), 3.21 (s, 3H, CH3), 5.45 (d, 1H, J = 9 Hz), 7.40-7.87 (m, 7H, Ar-H), 8.23 (d, 1H, J = 9 Hz); MS m/z 225 (M+, 10%), 169, 141, 125, 105, 93, 77; Anal; Calcd for C15H15NO: C, 79.97; H, 6.71; N, 6.22. Found: C, 79.83; H, 6.66; N, 6.18%.
3.3. General procedure for preparation of 3-aryl-4-(naphthalene-1-carbonyl)-1-phenyl-1H-pyrazoles 6a-d
Method A: To a hot solution of 1 (0.22 g, 1 mmol) and the appropriate hydrazonoyl halides 2a-d (1 mmol) in absolute EtOH (10 mL) was added chitosan (0.1 g). The reaction mixture was irradiated under constant pressure (11.2 Bar, 80 °C) for 8-10 min at power of 300 W. The hot solution was filtered to remove chitosan. After cooling, the reaction mixture was acidified with dil HCl and the solid product was filtered off and crystallized from EtOH to afford the corresponding pyrazole derivatives 6a-d.
Method B: To a hot solution of 1 (2.25 g, 10 mmol) and the appropriate hydrazonoyl halides 2a-d (10 mmol) in ethanol (25 mL) was added chitosan (1 g). The reaction mixture was refluxed for 5-6 h. The hot solution was filtered to remove chitosan and then the solvent was evaporated under reduced pressure. The solid product was filtered off and crystallized from EtOH to afford the corresponding pyrazole derivatives 6a-d.
3-Acetyl-4-(naphthalene-1-carbonyl)-1-phenyl-1H-pyrazole (6a). White crystals; m.p. 163 °C; IR: ν 1643, 1690 (2C=O) cm-1; 1H-NMR: δ 2.54 (s, 3H, CH3CO), 7.41-8.71 (m, 12H, Ar-H), 9.07 (s, 1H, pyrazole-H5); 13C-NMR: δ 27.38, 119.45, 124.61, 124.86, 125.49, 126.42, 127.75, 127.92, 128.41, 129.64, 130.14, 132.33, 132.76, 133.43, 135.42, 138.53, 142.65, 150.37, 190.91, 192.87; MS: m/z 340 (M+, 26.4%), 341, 340, 297, 213, 171, 127, 93, 77, 55; Anal; Calcd for C22H16N2O2: C, 77.63; H, 4.74; N, 8.23. Found: C, 77.56; H, 4.66; N, 8.15.%.
3-Benzoyl-4-(naphthalene-1-carbonyl)-1-phenyl-1H-pyrazole (6b). Yellow crystals; m.p. 165 °C; IR: ν 1651, 1693 (2C=O) cm-1; 1H-NMR: δ 7.44-8.13 (m, 17H, Ar-H), 9.12 (s, 1H, pyrazole-H5); 13C-NMR: δ 118.30, 122.48, 126.65, 127.44, 127.54, 128.09, 128.25, 128.59, 128.65, 128.80, 131.55, 132.31, 132.34, 132.71, 135.15, 135.88, 136.19, 138.55, 138.96, 142.08, 148.34, 177.83, 186.77; MS: m/z 402 (M+, 12%), 403, 402, 373, 345, 325, 297, 275, 207,155, 127, 105, 77, 55; Anal. Calcd for C27H18N2O2: C, 80.58; H, 4.51; N, 6.96. Found:C, 80.52; H, 4.44; N, 6.87.%.
4-(Naphthalene-1-carbonyl)-1-phenyl-1H-pyrazole-3-carboxylic acid ethyl ester (6c). Pale yellow crystals; m.p. 132 °C; IR: ν 1644, 1715 (2C=O) cm-1; 1H-NMR: δ 0.97 (t, 3H, J = 7.2 Hz, CH3), 3.90 (q, 2H, J = 7.2 Hz, OCH2), 7.45-8.49 (m, 12 H, Ar-H), 9.13 (s, 1H, pyrazole-H5); 13C-NMR: δ 14.34, 62.95, 119.35, 120.33, 120.39, 125.29, 127.16, 127.53, 128.30, 130.95, 131.57, 132.40, 133.36, 134.83, 135.25, 135.86, 138.67, 139.58, 145.09, 167.67, 189.74; MS: m/z 370 (M+, 35%), 371, 370, 341, 325, 297, 247, 215,155, 127, 93, 77, 55; Anal. Calcd for C23H18N2O3: C, 74.58; H, 4.90; N, 7.56. Found: C, 74.45; H, 4.84; N, 7.51%.
4-(Naphthalene-1-carbonyl)-1-phenyl-3-(thienyl-2-carbonyl)-1H-pyrazole (6d). Yellow crystals; m.p. 185 °C; IR: ν 1645, 1697 2(C=O) cm-1; 1H-NMR: δ 7.24-8.49 (m, 15H, Ar-H), 9.13 (s, 1H, pyrazole-H5); 13C-NMR: δ 109.89, 118.51, 119.16, 120.39, 125.81, 127.46, 127.68, 128.35, 131.39, 131.54, 131.70, 132.38, 132.87, 133.46, 135.88, 136.15, 139.45, 139.52, 144.72, 148.11, 151.49, 176.23, 180.23; MS: m/z 408 (M+, 16%), 409, 408, 379, 363, 347, 297, 281, 242, 207,155, 127, 105, 77, 55; Anal. Calcd for C25H16N2O2S: C, 73.51; H, 3.95; N, 6.86; S, 7.85. Found: C, 73.46; H, 3.85; N, 6.82; S, 7.79%.
3.4. General procedure for preparation of pyrazolo[3,4-d]pyridazine 8 and pyrazolo[3,4-d]pyridazinone 9
Method A: A mixture of the pyrazoles 6b,c (1 mmol) and hydrazine hydrate (1 mL) in absolute EtOH (10 mL) was irradiated under constant pressure (11.2 Bar, 80 °C) for 2 min at power of 300 W. The mixture was left to cool and the solid product was collected by filtration and crystallized from DMF.
Method B: A mixture of the pyrazoles 6b,c (10 mmol) and hydrazine hydrate (5 mL) in absolute EtOH (20 mL) was refluxed for 2-3 h. The mixture was left to cool and triturated with ethanol. The solid product was collected by filtration and crystallized from DMF.
4-Naphthalen-1-yl-2,7-diphenyl-2H-pyrazolo[3,4-d]pyridazine (8). White crystals; m.p. 287 °C; 1H- NMR: δ 7.45-8.18 (m, 17H, Ar-H), 8.91 (s, 1H, pyrazole-H5); 13C-NMR: δ 120.15, 122.64, 123.12, 123.32, 123.54, 125.87, 126.56, 126.86, 127.35, 127.56, 12887, 128.97, 130.15, 130.32, 130.45, 131.12, 131.68, 132.07, 139.82, 140.35, 141.65, 156.53, 169.65; Anal. Calcd for C27H18N4: C, 81.39; H, 4.55; N, 14.06. Found: C, 81.32; H, 4.48; N, 14.03%.
4-Naphthalen-1-yl-2-phenyl-2,6-dihydropyrazolo[3,4-d]pyridazin-7-one (9). White crystals; m.p. 292 °C; IR: ν 1670 (C=O), 3136 (NH) cm-1; 1H-NMR: δ 7.44-8.11 (m, 12H, Ar-H), 8.93 (s. 1H, pyrazole-H5), 12.67 (br., 1H, NH); 13C-NMR: δ 119.98, 121.46, 123.29, 123.45, 124.73, 126.05, 126.84, 127.64, 128.57, 129.82, 130.88, 130.93, 131.04, 136.37, 137.87, 139.98, 142.95, 147.22, 165.26; MS: m/z 338 (M+, 10.7%), 339, 338, 250, 200, 155, 127, 105, 77, 55; Anal. Calcd for C21H14N4O: C, 74.54; H, 4.17; N, 16.56. Found: C, 74.47; H, 4.14; N, 16.52%.
3.5. 5-Naphthalen-1-yl-2-thioxo-2,3-dihydro-1H-pyrido[2,3-d]pyrimidin-4-one (11)
Method A: To a mixture of 1 (0.22 g, 1 mmol) and 6-amino-2-thioxopyrimidin-4(1H)-one (10, 0.14 g, 1 mmol) in absolute EtOH (10 mL) was added chitosan (0.1 g). The reaction mixture was irradiated under constant pressure (11.2 Bar, 80 °C) for 2 min at power of 300 W. The hot solution was filtered to remove chitosan and after cooling the residual solid was recrystallized from DMF.
Method B: A mixture of 1 (2.25 g, 10 mmol) and 6-amino-2-thioxopyrimidin-4(1H)-one (10, 1.43 g, 10 mmol) in EtOH (20 mL) was refluxed for 5 h in the presence of chitosan (1 g). The hot solution was filtered to remove chitosan and then the solvent was removed and residual solid was recrystallized from DMF to give yellow crystals m.p. > 300 °C; IR: ν 1687 (C=O), 3479, 3245, 3158 (3NH) cm-1; 1H-NMR: δ 7.52 (d, 1H, pyridine-H3), 7.55-8.16 (m, 7H, Ar-H), 8.42 (d, 1H, pyridine-H2), 12.62 (br., 1H, NH), 13.17 (br., 1H, NH); 13C-NMR: δ 121.61, 124.60, 124.98, 125.08, 125.27, 125.44, 127.15, 127.26, 133.21, 133,93, 138.22, 143.47, 148.80, 149.98, 152.14, 164.15, 170.46; MS: m/z 305 (M+, 35) 306, 305, 373, 217, 152, 96, 75, 62, 51; Anal. Calcd for C17H11N3OS: C, 66.87; H, 3.63; N, 13.76; S, 10.50. Found: C, 66.81; H, 3.57; N, 13.70; S, 10.46%.
3.6. General procedure for preparation of 2-[arylhydrazono]-3-naphthalen-1-yl-3-oxo-propional-dehydes 13a-c
A cold solution of arenediazonium salt (10 mmol) was prepared by adding a solution of sodium nitrite (10 mmol) to a cold solution of the corresponding aromatic amine hydrochloride with stirring. The resulting solution of the diazonium salt was added to a cold solution of 1 (2.25 g, 10 mmol), containing sodium acetate. The reaction mixture was stirred at rt for 30 min. The solid product formed was washed with water and crystallized from MeOH.
2-[(4-Chlorophenyl)hydrazono]-3-naphthalen-1-yl-3-oxo-propionaldehyde (13a). Yellow crystals; m.p. 127 °C; (75% yield); IR: ν 1654, 1677 (2C=O), 3434 (NH) cm-1; 1H-NMR: δ 7.27-8.17 (m, 11H, Ar-H), 10.03 (s, 1H, CHO), 13.88 (br.,1H, NH); 13C-NMR: δ 118.19, 124.51, 125.28, 126.12, 126.94, 128.32, 129.29. 129.58, 130.10, 133.02, 134.24, 135.43, 137.31, 141.08, 146.49, 187.37, 193.49; MS: m/z 336 (M+, 2.8%), 338, 337, 336, 335, 307, 280, 217, 196, 182, 152, 127, 105, 77, 51; Anal. Calcd for C19H13ClN2O2: C, 67.76; H, 3.89; Cl, 10.53, N, 8.32. Found: C, 67.68; H, 3.82; Cl, 10.49, N, 8.30%.
3-Naphthalen-1-yl-3-oxo-2-(phenylhydrazono)-propionaldehyde (13b). Yellow crystals; m.p. 105 °C; (70% yield); IR: ν 1639, 1680 (2C=O), 3414 (NH) cm-1; 1H-NMR: δ 7.087-8.21 (m, 12H, Ar-H), 9.84 (s, 1H, CHO), 14.21 (br.,1H, NH); 13C-NMR: δ 114.40, 125.59, 126.12, 127.50, 127.98, 130.72, 131.34, 132.13, 132.55, 134.88, 135.43, 135.68, 137.31, 140.90, 141.56, 184.36, 184.34; MS: m/z 302 (M+, 6.8%), 302, 301, 285, 273, 218, 197, 182, 155, 127, 105, 77, 51; Anal. Calcd for C19H14N2O2: C, 75.48; H, 4.67; N, 9.27. Found: C, 75.38; H, 4.58; N, 9.25%.
2-[(4-Methylphenyl)hydrazono]-3-naphthalen-1-yl-3-oxo-propionaldehyde (13c). Yellow crystals; m.p. 99 °C; (73% yield); IR: ν 1643, 1679 (2C=O), 3409 (NH) cm-1; 1H-NMR: δ 2.17 (s, 3H, CH3) 7.23-8.19 (m, 11H, Ar-H), 9.88 (s, 1H, CHO), 13.89 (br,1H, NH); 13C-NMR:) δ 20.87, 117.65, 126.23, 127.54, 127.89, 130.05, 131.17, 132.08, 132.56, 134.75, 134.86, 135.48, 138.65, 136.49, 137.43, 140.96, 184.43, 187.4; MS: m/z 316 (M+, 9.5%), 317, 316, 301, 287, 232, 217, 197, 182, 155, 127, 107, 91, 77, 51; Anal. Calcd for C20H16N2O2: C, 75.93; H, 5.10; N, 8.85. Found: C, 75.82; H, 5.05; N, 8.82%.
3.7. General procedure for preparation of pyrido[2,3-d]pyrimidin-4-one 14a-c
Method A: To a mixture of 13a-c (1 mmol) and 6-amino-2-thioxopyrimidin-4(1H)-one (10, 0.14 g, 1 mmol) in EtOH (10 mL) was added (0.1 g) chitosan at rt. The reaction mixture was irradiated under constant pressure (11.2 Bar, 80 °C) for 3 min. at power of 300 W. The hot solution was filtered to remove chitosan and after cooling the solid formed was recrystallized from DMSO.
Method B: A mixture of 13a-c (10 mmol) and 6-amino-2-thioxopyrimidin-4(1H)-one (10, 1.43 g, 10 mmol) in EtOH (30 mL) was refluxed in the presence of chitosan (1 g) for 2 h. The hot solution was filtered to remove chitosan and then the solvent was removed and residual solid was recrystallized from DMSO.
Method C: A cold solution of arenediazonium salts (10 mmol) was prepared by adding a solution of sodium nitrite (10 mmol) to a cold solution of the aromatic amine hydrochloride with stirring. The resulting solution of the diazonium salt was added to cold solution of 11 (3.05 g, 10 mmol), containing sodium acetate. The reaction mixture was stirred at rt for 30 min. The solid product formed was washed with water and crystallized from DMSO.
6-(4-Chlorophenylazo)-5-naphthalen-1-yl-2-thioxo-2,3-dihydro-1H-pyrido[2,3-d]pyra-midin-4-one (14a). Orange crystals; m.p. >300 °C; IR: ν 1689 (C=O), 2877, 3052 (2NH) cm-1; 1H-NMR: δ 7.38-8.12 (m, 11H, Ar-H), 8.59 (s, 1H, pyridine-H), 12.82 (br., 1H, NH), 13.46 (br., 1H, NH); 13C-NMR: δ 120.77, 123.67, 123.45, 123.56, 124.09, 125.23, 125.78, 128.65, 131.37, 132.59, 132.86, 134.09, 138.38, 141.44, 148.96, 148.88, 156.78, 157.41, 159.17, 164.45, 168.96; MS: m/z 443 (M+, 26.4%), 446, 445, 444, 443, 317, 260, 190, 188, 150, 144, 127, 111, 90, 75, 51; Anal. Calcd for C23H14ClN5OS: C, 62.23; H, 3.18; Cl, 7.99; N, 15.78; S: 7.22. Found: C, 62.16; H, 3.12; Cl, 7.90; N, 15.72; S: 7.19%.
5-Naphthalen-1-yl-6-phenylazo-2-thioxo-2,3-dihydro-1H-pyrido[2,3-d]pyramidin-4-one (14b). Orange crystals; m.p. >300 °C; IR: ν 1717 (C=O), 2881, 3055 (2NH) cm-1; 1H-NMR: δ 7.37-8.12 (m, 12H, Ar-H), 8.58 (s, 1H, pyridine-H), 12.81 (br., 1H, NH), 13.45 (br., 1H, NH); 13C-NMR: δ 120.67, 122.48, 123.51, 123.78, 124.06, 125.18, 125.58, 128.67, 129.34, 129.89, 131.37, 132.56, 132.83, 134.06, 141.34, 147.89, 154.45, 154.76, 156.87, 165.23, 168.99; MS: m/z 409 (M+, 26.4%), 410, 409, 408, 407, 317, 245, 201, 190, 150, 127, 90, 75, 51; Anal. Calcd for C23H15N5OS: C, 67.47; H, 3.69; N, 17.10; S: 7.83. Found: C, 67.34; H, 3.61; N, 17.04; S: 7.74%.
5-Naphthalen-1-yl-2-thioxo-6-p-tolylazo-2,3-dihydro-1H-pyrido[2,3-d]pyramidin-4-one (14c). Orange crystals; m.p. >300 °C; IR: ν 1717 (C=O), 2881, 3055 (2NH) cm-1; 1H-NMR: δ 2.26 (s, 3H, CH3), 7.11-8.09 (m, 11H, Ar-H), 8.54 (s, 1H, pyridine-H), 12.71 (br., 1H, NH), 13.32 (br., 1H, NH); 13C-NMR: δ 19.42, 111.93, 120.93, 122.29, 122.78, 123.24. 124.90, 125.52, 126.26, 127.93, 128.15, 129.51, 131.18, 132.66, 142.06, 143.03, 149.98, 151.74, 159.49, 162.04, 162.61, 175.94; MS: m/z 423 (M+, 17.6%), 424, 423, 317, 245, 201, 190, 150, 127, 90, 75, 51; Anal. Calcd for C24H17N5OS: C, 68.07; H, 4.05; N, 16.54; S: 7.57. Found: C, 67.93; H, 3.95; N, 16.45; S: 7.52%.
3.8. General procedure for preparation of arylpyrazole derivatives 16a,b
Method A: A mixture of the 13a (0.33 g, 1 mmol) and hydrazine derivative (2 mL) in EtOH (10 mL) was irradiated under constant pressure (11.2 Bar, 80 °C) for 3 min at power of 300 W. The reaction mixture was cooled and the solid product was collected by filtration and recrystallized from EtOH.
Method B: A mixture of the 13a (3.36 g, 10 mmol) and hydrazine derivative (5 mL) in absolute EtOH (20 mL) was refluxed for 3 h. The mixture was left to cool and triturated with EtOH. The solid product was collected by filtration and recrystallized from EtOH.
(4-Chlorophenyl)-(4-naphthalen-1-yl-2H-pyrazol-3-yl)-diazene (16a). Yellow crystals; m.p. 203 °C; IR: ν 3334 (NH) cm-1; 1H-NMR: δ 7.38-8.32 (m, 11H, Ar-H), 8.45 (s, 1H, pyrazole-H5), 11.92 (br.,1H, NH); MS: m/z 332 (M+, 11.3%), 335, 334, 333, 332, 324, 311, 296, 155, 127, 107, 91, 77, 51; Anal. Calcd for C19H13ClN4: C, 68.57; H, 3.94; Cl, 10.65; N, 16.84. Found: C, 68.50; H, 3.89; Cl, 10.61; N, 16.79%.
(4-Chlorophenyl)-(3-naphthalen-1-yl-1-phenyl-1H-pyrazol-4-yl)-diazene (16b). Yellow crystals; m.p. 175 °C; 1H-NMR: δ 7.24-8.12 (m, 16H, Ar-H), 8.36 (s, 1H, pyrazole-H5); 13C-NMR: δ 119.65, 122.56, 124.78, 124.91, 125.67, 126.34, 126.75, 127.09, 127.34, 129.13, 130.08, 132.24, 132.45, 133.12, 136.26, 138.36, 139.66, 140.09, 142.54, 143.68, 154.78; MS: m/z 408 (M+, 11.3%), 410, 409, 408, 380, 331, 297, 268, 241, 163, 127, 111, 107, 91, 77, 51; Anal. Calcd for C25H17ClN4: C, 73.44; H, 4.19; Cl, 8.67; N, 13.70. Found: C, 73.38; H, 4.14; Cl, 8.61; N, 13.62%.
3.9. General procedure for preparation of azolo[1,5-a]pyrimidine derivatives 17a,b
Method A: A mixture of 13a (0.33 g, 1 mmol) and the appropriate heterocyclic amine 18a,b (1 mmol) in EtOH (10 mL) was irradiated under constant pressure (11.2 Bar, 80 °C) for 5-6 min at power of 300 W. The reaction mixture was cooled and the residual solid was recrystallized from acetonitrile to give 17a,b respectively.
Method B: A mixture of 13a (3.36 g, 10 mmol) and the appropriate heterocyclic amine 18a,b (10 mmol) in EtOH (20 mL) was refluxed for 3 h. The solvent was removed and residual solid was recrystallized from acetonitrile to give 17a,b respectively.
(4-Chlorophenyl)-(5-naphthalen-1-yl-pyrazolo[1,5-a]pyrimidin-6-yl)-diazene (17a). Yellow crystals; m.p. 212 °C; 1H-NMR: δ 7.12 (d, 1H, pyrazole-H3) 7.27-8.10 (m, 11H, Ar-H), 8.23 (d, 1H, pyrazole-H2), 9.42 (s, 1H, pyrimidine-H7); MS: m/z 383 (M+, 12.5%), 385, 384, 383, 356, 328, 295, 273, 258, 218, 203, 188, 164, 139, 111, 90, 75, 51; Anal. Calcd for C22H14ClN5: C, 68.84; H, 3.68; Cl, 9.24, N, 18.25. Found: C, 68.78; H, 3.63; Cl, 9.17, N, 18.18%.
(4-Chlorophenyl)-(5-naphthalen-1-yl-[1,2,4]triazolo[1,5-a]pyrimidin-6-yl)-diazene (17b). Yellow crystals; m.p. 242 °C; 1H-NMR: δ 7.02-8.10 (m, 11H, Ar-H), 8.48 (s, 1H, triazole-H2), 9.46 (s, 1H, pyrimidine-H7); 13C-NMR: δ 117.83, 120.53, 124.49, 125.40, 126.04, 126.24, 126.70, 127.39, 128.28, 129.44, 129.68, 130.23, 130.34, 132.66, 132.93, 136.07, 154.36, 155.80, 168.55; MS: m/z 384 (M+, 12.5%), 386, 385, 384, 357, 329, 295, 273, 258, 218, 203, 188, 164, 139, 111, 90, 75, 51; Anal. Calcd for C21H13ClN6: C, 65.54; H, 3.41; Cl, 9.21, N, 21.84. Found: C, 65.50; H, 3.38; Cl, 9.18, N, 21.80%.
3-(2-Aminophenylimino)-2-[(4-chlorophenyl)-hydrazono]-1-naphthalen-1-yl-propan-1-one (19). A mixture of 13a (0.33 g, 1 mmol) and o-phenylenediamine (1 mmol) in EtOH (10 mL) The reaction mixture was irradiated under constant pressure (11.2 Bar, 80 °C) for 10 min at power of 300 W and then poured on to crushed ice. The separated solid was filtered, washed with water and crystallized from acetonitrile to give yellow crystals; m.p. 244 °C; (80% yield); IR (KBr) 1635 (C=O), 3155, 3333, 3354 (NH, NH2) cm-1; 1H NMR (DMSO-d6) δ 6.99-8.14 (m, 16H, Ar-H), 11.82 (br., 1H, NH), 12.87 (br., 2H, NH2); 13C NMR (DMSO-d6) δ 116.72, 117.97, 118.55, 124.34, 125.43, 126.78, 127.57, 127.89, 128.24, 128.66, 128.98, 130.98, 131.19, 131.76, 134.85, 135.22, 135.65, 138.75, 140.48, 141.89, 126.04, 147.14, 186.19; MS: m/z 426 (M+, 65.7%), 428, 427, 426, 408, 395, 286, 270, 253, 207, 167, 144, 127, 111, 90, 75, 51; Anal. Calcd for C25H19ClN4O: C, 70.34; H, 4.49; Cl, 8.30; N, 13.12. Found: C, 70.27; H, 4.43; Cl, 8.24; N, 13.10%.
3.10. General procedure for preparation of pyridazine derivatives 22 and 23a,b
Method A: To a suspension of 13a (0.33g, 1 mmol) in EtOH (10 mL) and malononitrile, or ethyl cyanoacetate, or diethyl maolnate (1 mmol) was added chitosan (0.1 g) at rt. The reaction mixture was irradiated under constant pressure (11.2 Bar, 80 °C) for 10 min at power of 300 W. The hot solution was filtered to remove chitosan. The reaction mixture was cooled and poured into water. The solid product, so formed, was collected by filtration and recrystallized from acetonitrile.
Method B: To a suspension of 13a (3.36 g, 10 mmol) in EtOh (30 mL) and malononitrile, ethyl cyanoacetate, and diethyl maolnate (10 mmol), chitosan (1 g) was added. The mixture was refluxed for 5-7h. The hot solution was filtered to remove chitosan, left to cool to rt and then poured into water. The solid product, so formed, was collected by filtration and recrystallized from acetonitrile.
2-(4-Chlorophenyl)-3-imino-6-(naphthalene-1-carbonyl)-2,3-dihydropyridazine-4-carbonitrile (22). Brown crystals; m.p. 150 °C; IR: ν 1646 (C=O), 2228 (CN), 3430 (NH) cm-1; 1H-NMR: δ 3.07 (br., 1H, NH) 7.27-8.42 (m, 12H, Ar-H, H-5); 13C-NMR: 119.32, 121.78, 125.95, 127.34, 127.53, 127.87, 128.44, 129.54, 130.70, 132.32, 133.12, 134.10, 135.15, 136.18, 137.39, 142.58, 142, 81, 146.94, 151.72, 187. 95; MS: m/z 384 (M+, 12.5%), 386, 385, 384, 383, 348, 286, 258, 216, 190, 163, 127, 111, 90, 75, 51; Anal. Calcd for C22H13ClN4O: C, 68.67; H, 3.41; Cl, 9.21, N, 14.56. Found: C, 68.59; H, 3.36; Cl, 9.17, N, 14.50. %.
2-(4-Chlorophenyl)-3-imino-6-(naphthalene-1-carbonyl)-2,3-dihydropyridazine-4-carboxylic acid ethyl ester (23a). Yellow crystals; m.p. 165 °C; IR: ν 1626, 1701 (2C=O), 3420 (NH) cm-1; 1H-NMR: δ 1.35 (t, 3H, J = 7.2 Hz, CH3), 4.49 (q, 2H, J = 7.2 Hz, OCH2) 7.27-8.54 (m, 13H, Ar-H, H5, NH); 13C-NMR: δ 13.94, 61.73, 126.26, 127.55, 127.95, 128.45, 129.87, 130.74, 130.88, 131.27, 132.54, 143.16, 134.89, 136.34, 137.39, 140.87, 142.41, 142.49, 147.26, 147.29, 159.37, 187.96; MS: m/z 431 (M+, 12.5%), 433, 432, 431, 350, 286, 258, 216, 190, 163, 127, 111, 90, 75, 51; Anal. Calcd for C24H18ClN3O3: C, 66.75; H, 4.20; Cl, 8.21, N, 9.73. Found: C, 66.67; H, 4.12; Cl, 8.15, N, 9.71%.
2-(4-Chlorophenyl)-6-(naphthalene-1-carbonyl)-3-oxo-2,3-dihydropyridazine-4-carboxylic acid ethyl ester (23b). Yellow crystals; m.p. 159 °C; IR: ν 1632, 1649, 1726 (3C=O) cm-1; 1H-NMR: δ 1.25 (t, 3H, J = 7.2 Hz, CH3), 4.31 (q, 2H, J = 7.2 Hz, OCH2) 7.29-8.19 (m, 11H, Ar-H, NH), 8.29 (s, 1H, H-5); 13C-NMR: δ 13.95, 60.16, 120.68, 125.45, 127.14, 127.34, 127.56, 129.85, 130.75, 133.19, 134.15, 134.87, 135.18, 135.45, 136.22, 140.72, 141.46, 143.34, 151.43, 156.87, 164.95, 189.75; MS: m/z 432 (M+, 12.5%), 434, 433, 432, 383, 348, 286, 258, 216, 190, 163, 127, 111, 90, 75, 51; Anal. Calcd for C24H17ClN2O4: C, 66.59; H, 3.96; Cl, 8.19, N, 6.47. Found: C, 66.53; H, 3.91; Cl, 8.12, N, 6.44%.
4. Conclusions
It was demonstrated that the enaminone of 1-acetylnaphthalene 1 is a readily obtainable andversatile reagent which can be used for the synthesis of polyfunctional and condensed five- and six-membered heterocycles and also that the microwave-assisted process, in contrast to conventional heating, gave the desired products in higher yield with shorter reaction times. Under pressurized microwaves, solvents can be heated up to temperatures 2 to 4 times higher than their respective boiling points which enhance the reaction rates. Expanding the scope for utilizing chitosan as basic catalyst was investigated in these reactions.
References and Notes
- Riyadh, S.M.; Abdelhamid, I.A.; Al-Matar, H.M.; Hilmy, N.H.; Elnagdi, M.H. Enamines as precursors to polyfunctional heteroaromatic compounds; a decade of development. Heterocycles 2008, 75, 1849–1905. [Google Scholar] [CrossRef]
- Stanovnik, B.; Svete, J. Synthesis of heterocycles from alkyl 3-(dimethylamino) propenoates and related enaminones. Chem. Rev. 2004, 104, 2433–2480. [Google Scholar] [CrossRef]
- Zhu, S.; Zhao, K.; Su, X.; Ji, S. Microwave-assisted synthesis of new spiro[indoline-3,4'-quinoline] derivatives via a one-pot multicomponent reaction. Synth. Commun. 2009, 39, 1355–1366. [Google Scholar] [CrossRef]
- Loghmani-Khouzani, H.; Sabzyan, H.; Rezaei-Pooranari, A. Synthesis and structure of α-azo-2-ketomethylquinolines. Dye. Pigment. 2008, 76, 447–454. [Google Scholar] [CrossRef]
- Makhseed, S.; Hassaneen, H.M.E.; Elnagdi, M.H. Studies with 2-(arylhydrazono)aldehydes: synthesis and chemical reactivity of mesoxalaldehyde 2-arylhydrazones and of ethyl 2-arylhydrazono-3-oxopropionates. Z. Naturforsch. 2007, 62b, 529. [Google Scholar]
- Hassaneen, H.M.; Abdellah, T.A.; Abdelhadi, H.A.; Hassaneen, H.M.E.; Pagni, R.M. Polyfunctional fused heterocyclic compounds via indene-1,3-diones. Heteroatom Chem. 2003, 14, 491–497. [Google Scholar] [CrossRef]
- Hassaneen, H.M.E.; Awad, E.M.; Hassaneen, H.M. Studies with 6,7-dimethoxy-3,4-dihydroisoquinolin-1-yl-acetonitrile: novel syntheses of 1-azolyl- and pyridoisoquinolines. Z. Naturforsch. 2007, 62b, 111–116. [Google Scholar]
- Al-Saleh, B.; Makhseed, S.; Hassaneen, H.M.E.; Elnagdi, M.H. Studies with functionally substituted enamines: the reactivity of enaminals and enamino esters toward naphthoquinone, hydrazonoyl halides, aminoazoles and hippuric. Synthesis 2006, 1, 59–62. [Google Scholar]
- Hassaneen, H.M.E.; Elnagdi, M.H.; Hassaneen, H.M. Enamines in heterocyclic synthesis: a route to 4-substituted pyrazoles and condensed pyrazoles. Z. Naturforsch. 2004, 59b, 1132–1136. [Google Scholar]
- Almatar, H.M.; Khalil, K.D.; Meier, H.; Elnagdi, M.H. Chitosan as heterogenous catalyst in michael additions: the reaction of cinnamonitriles with active methylene moieties and phenols. ARKIVOC 2008, 288–301. [Google Scholar]
- Guibal, E. Heterogeneous catalysis on chitosan-based materials. Prog. Polym. Sci. 2005, 30, 71–109. [Google Scholar] [CrossRef]
- Bollini, M.; Gonzalez, M.; Bruno, A. Microwave-assisted rapid and efficient synthesis of C-alkyl imidazoisoquinolinone derivatives. Tetrahedron Lett. 2009, 50, 1507–1509. [Google Scholar] [CrossRef]
- Andrade, C.K.Z.; Barreto, A.S.; Silva, W.A. Microwave assisted solvent-, support- and catalyst-free synthesis of enaminones. ARKIVOC 2008, xii, 226–232. [Google Scholar]
- ElAshry, E.H.; Kassem, A.A. Account of microwave irradiation for accelerating organic reactions. ARKIVOC 2006, ix, 1–16. [Google Scholar]
- Al-Mousawi, S.M.; Moustafa, M.S.; Abdel Khalik, M.M.; Elnagdi, M.H. Enaminones as building blocks in organic syntheses: on the reaction of 3-dimethylamino-2-propenones with malononitrile. ARKIVOC 2009, xi, 1–10. [Google Scholar]
- Al-Mousawi, S.M.; Al-Apasery, M.A.; Al-Kanderi, N.H. Microwave-assisted organic synthesis: the Gabriel approach as a route to new pyrazolylhydrazonoazoles. ARKIVOC 2008, xvi, 268–278. [Google Scholar]
- Kantevari, S.; Chary, M.V.; Vuppalapati, S.V.N. A highly efficient regioselective one-pot synthesis of 2,3,6-trisubstituted pyridines and 2,7,7-trisubstituted tetrahydroquinolin-5-ones using K5CoW12O40·3H2O as a heterogeneous recyclable catalyst. Tetrahedron 2007, 63, 13024–13041. [Google Scholar] [CrossRef]
- Fischer, P.; Schweizer, E.; Langner, J.; Schmidt, U. 13C, 1H Long-rang coupling constant in configuration assignment of some trisubstituted alkene. Magn. Reson. Chem. 1994, 32, 567–568. [Google Scholar] [CrossRef]
- Hassaneen, H.M.; Elwan, N.M.; Hassaneen, H.M. Novel synthesis of 4,5-dihydrospiropyrazole-5,2'-indane-1',3'-diones. Syn. Commun. 2002, 32, 3047–3055. [Google Scholar] [CrossRef]
- Quiroga, J.; Rengifo, A.; Insuasty, B.; Abonı´, R.; Nogueras, M.; Sa´nchez, A. A novel product from the reaction of 6-aminopyrimidines and 3-formylchromone. Tetrahedron Lett. 2002, 43, 9061–9063. [Google Scholar]
- Riyadh, S.M.; Abdelhamid, I.A.; Al-Matar, H.M.; Elnagdi, M.H. Enamines as precursors to polyfunctional heteroaromatic compounds; a decade of development. Heterocycles 2008, 75, 1849–1905. [Google Scholar] [CrossRef]
- Dawood, K.M. Synthesis of Spiro-pyrazole-3,3'-thiopyrano[2,3-b]pyridines and azolo[a]-pyrido[2',3':5,6]thiopyrano[3,4-d]pyrimidines as new ring systems with antifungal and antibacterial activities. J. Heterocycl. Chem. 2005, 42, 221–225. [Google Scholar] [CrossRef]
- Al-Saleh, B.; Al-Apasery, M.A.; Abdel-Aziz, R.S.; Elnagdi, M.H. Enaminonesin heterocyclicSynthesis: synthesis and chemical reactivity of 3-anilino-1-substituted-2-propene-1-one. J. Heterocycl. Chem. 2005, 42, 563–566. [Google Scholar] [CrossRef]
- Abdelhamid, I.A.; Nasra, M.A.; Elnagdi, M.H. Chemistry of 2-arylhydrazonals. Synlett 2009, 20, 3237–3251. [Google Scholar]
- Polshettiwar, V.; Varma, R.S. Greener and rapid access to bioactive heterocycles: room temperature synthesis of pyrazoles and diazepines in aqueous medium. Tetrahedron Lett. 2008, 49, 397–400. [Google Scholar] [CrossRef]
- Al-Omran, F.; Abdel Khalik, M.M.; Abou-Elkheir, A.; Elnagdi, M.H. Studies with functionally substituted heteroaromatics: a novel route for the synthesis of 1-aryl-6-oxopyridazinones, 1-arylpyridazine-6-imines and 1-Aryl-6-imino-4-pyridazinals. Synthesis 1997, 1, 91–97. [Google Scholar]
- Eweiss, N.F.; Osman, A. Synthesis of heterocycles. Part II new routes to acetylthiadiazolines and alkylazothiazoles. J. Heterocycl. Chem. 1980, 17, 1713–1717. [Google Scholar] [CrossRef]
- Shawali, A.S.; Abdelhamid, A.O. Reaction of dimethylphenacylsulfonium bromide with N-nitrosoacetarylamides and reactions of the products with nucleophiles. Bull. Chem. Soc. Jpn. 1976, 49, 321–327. [Google Scholar] [CrossRef]
- Parkanyi, C.; Abdelhamid, A.O.; Cheng, J.C.S.; Shawali, A.S. Convenient Synthesis of Ffused heterocycles from α-ketohydroximoyl chlorides and heterocyclic amines. J. Heterocycl. Chem. 1984, 21, 1029–1032. [Google Scholar] [CrossRef]
- Farag, A.M.; Algharib, M.S. Synthesis and reactions of C-(2-thenoyl)-N-arylformhydrazidoyl bromides. Org. Prep. Proc. Int. 1988, 20, 521–526. [Google Scholar] [CrossRef]
- Sample Availability: Samples of the compounds 1-23 are available from the author.
© 2011 by the authors; licensee MDPI, Basel, Switzerland. This article is an open access article distributed under the terms and conditions of the Creative Commons Attribution license ( http://creativecommons.org/licenses/by/3.0/).