Next Article in Journal
Synthesis, Molecular Structure, Spectral Properties and Antifungal Activity of Polymethylene-α,ω-bis(N,N- dimethyl-N-dodecyloammonium Bromides)
Previous Article in Journal
An Efficient New Route to Dihydropyranobenzimidazole Inhibitors of HCV Replication
 
 
Font Type:
Arial Georgia Verdana
Font Size:
Aa Aa Aa
Line Spacing:
Column Width:
Background:
Article

A Route to Dicyanomethylene Pyridines and Substituted Benzonitriles Utilizing Malononitrile Dimer as a Precursor

by
Noha M. Helmy
1,*,
Fatma E. M. El-Baih
1,
Monirah A. Al-Alshaikh
1 and
Moustafa S. Moustafa
2
1
Women Students-Medical Studies & Sciences Sections, Chemistry Department, College of Science, King Saud University, Riyadh, KSA, P.O. Box 22452, Riyadh 11495, Saudi Arabia
2
Department of Chemistry, Faculty of Science, University of Kuwait, Safat 13060, Kuwait
*
Author to whom correspondence should be addressed.
Molecules 2011, 16(1), 298-306; https://doi.org/10.3390/molecules16010298
Submission received: 12 October 2010 / Revised: 20 December 2010 / Accepted: 22 December 2010 / Published: 4 January 2011

Abstract

:
The conditions of the reaction of malononitrile dimer with enaminones and arylidenemalononitrile could be adapted to yield either pyridines or benzene derivatives. A new synthesis of pyrido[1,2-a]pyrimidines from the reaction of malononitrile dimer 1 and 2-phenyl-3-piperidin-1-yl-acrylonitrile (11) is described. Compound 1 condensed with DMFDMA to yield an enaminonitrile that reacted with hydrazine hydrate to yield N',4,6-triamino-2H-pyrazolo[3,4-b]pyridine-5-carboxamidine (17).

1. Introduction

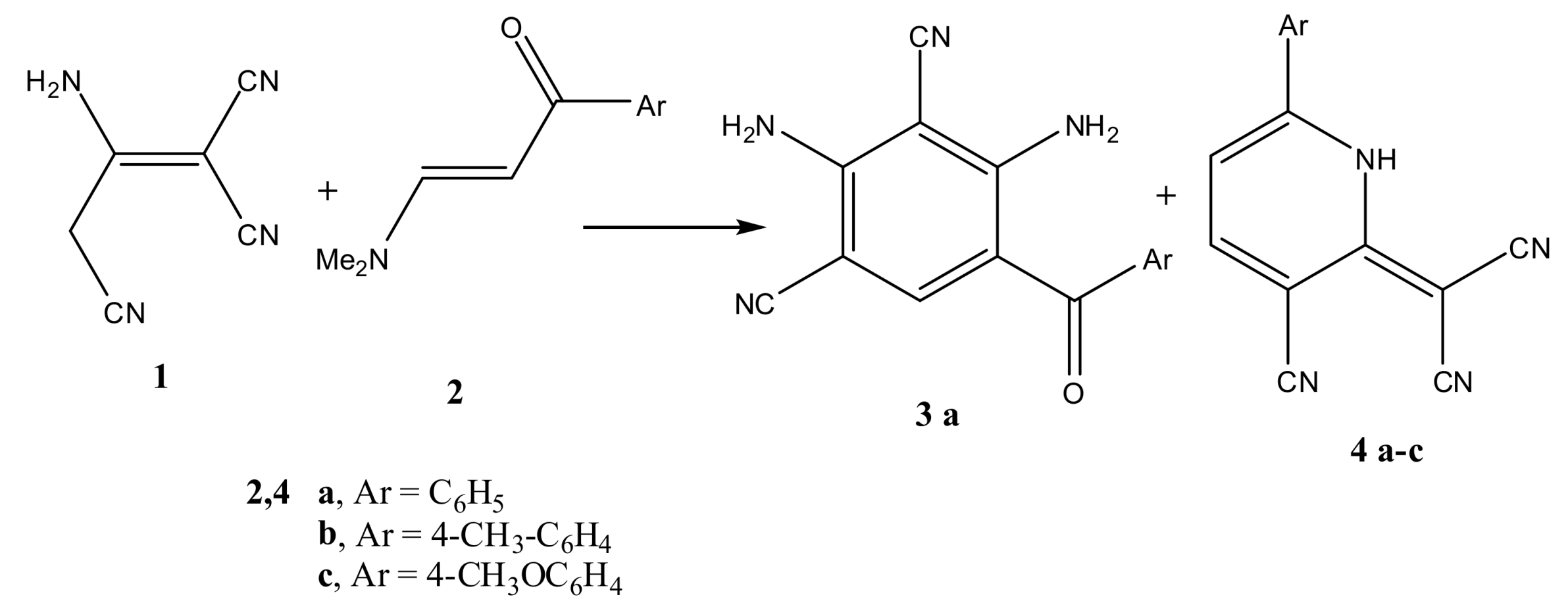
Polyfunctionally substituted nitriles are versatile reagents that have been extensively utilized in the past as precursors to polyfunctionally substituted heteroaromatics [1,2,3,4]. Interest in further developing the synthetic potential of these compounds has been revived [5,6,7]. 2-Aminoprop-1-ene-1,1,3-tricarbonitrile (1) has proved to be an excellent precursor to condensed pyridines, pyridazines, and pyrazoles [8,9,10]. However, to our knowledge the utility of 1 as a precursor to polyfunctional aromatics has received little attention. Elnagdi et al. have noted the formation of 3 as a side product from the reaction of 2 with 1, while compound 4 was obtained as the main product [11] (Scheme 1). In connection to results reported earlier [11] we were able to react 1 with 5a,b to afford either pyridines or benzene derivatives after changing the reaction conditions.

2. Results and Discussion

Thus reaction of 1 with 2a,b in ethanolic piperidine has afforded 4a,d as a sole product. On the other hand, when the reaction was conducted in acetic acid in the presence of ammonium acetate and refluxing for 4 hrs only 3a was formed via intermediate 5 (Scheme 2) The 1H-NMR of 4a, in addition to phenyl proton signals, showed two doublets at δ = 7.16 ppm and δ = 7.86 ppm with J = 8 Hz, typical for pyridine H-5 and H-4, respectively. A D2O exchangeable one proton signal for a NH group appeared at δ = 9.42 ppm.
The 1H-NMR spectrum of 3a revealed a singlet at δ = 8.29 ppm for H-6 and two D2O exchangeable amino signals at δ = 7.08 ppm and δ = 7.77 ppm, in addition to the phenyl protons (see Experimental). The 13C-NMR clearly indicated the carbonyl carbon at δ = 190.23 ppm and two CN signals at δ = 114.13 and 113.85 ppm.
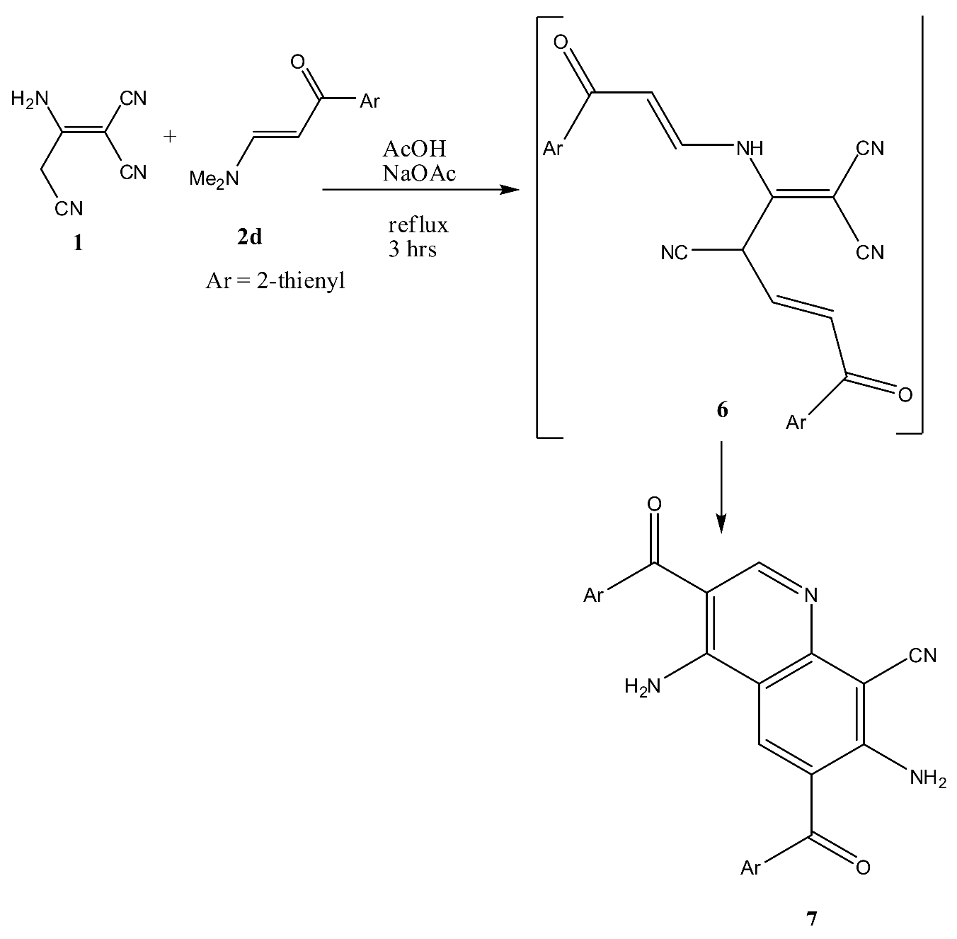
In an attempt to generate further examples of the synthesis of substituted benzenes 3, malononitrile dimer 1 was reacted with 2d in acetic acid/ammonium acetate, and a product with molecular formula C13H8N4OS (M+ at m/z = 268) which we think to be 3d was isolated after reflux for 1/2 hrs; prolonged heating did not change the identity of the compound. The 1H-NMR under D2O exchange of the presumed structure 3d; showed, along with three thienyl protons, two amino group singlets at δ = 7.1 ppm and δ = 7.9 ppm, and a doublet at δ = 8.2 ppm with J = 8 Hz, that could not be explained or assigned to any proton in the suggested structure.
Repeating the same reaction using sodium acetate instead of ammonium acetate, and refluxing for 3 hrs, a whole new set of data were obtained. A compound with molecular formula C20H12N4O2S2 (M+ 404) was obtained. 1H-NMR of this compound showed two singlets at δ= 7.47 ppm and δ= 8.98 ppm each for one proton of C-5 and C-2 of the pyridine ring, respectively, in addition to six thienyl protons and two amino signals. The 13C-NMR spectrum showed the presence of 19 different carbon atoms with two carbonyl carbons at δ = 184.7 ppm. These data can be interpreted as corresponding to structure 7 that is assumed to result from initial reaction of the active methylene moiety and the amino function in 1 with 2d to yield the intermediate 6 that then cylizes to 7 (Scheme 3).
Like the recently reported formation of 9 from reaction of 1 and 8a,b in ethanolic chitosan, compound 1 reacted with 8a,b to yield dihydropyridine 9a,b. However in refluxing acetic acid in the presence of ammonium acetate, the benzene derivative 10 was obtained as indicated by the spectral data (Scheme 4).
The reaction of 1 with 11, which was recently obtained by reacting benzyl cyanide with triethyl orthoformate and piperidine [12], afforded 14 via intermediates 12 and 13. Attempts to isolate 13 have failed (cf. Scheme 5). The reaction of 1 with DMFDMA afforded 16 which may exist in E or Z forms. Isomeric structure 15 was ruled out based on 1H NMR that revealed the D2O exchangeable amino signal at δ = 7.19 ppm. In addition, the 13C NMR did not reveal any signals for the sp3 carbons other than those of the dimethylamino moiety. Reacting 16 with hydrazine hydrate afforded 4,6-diamino-2H-pyrazolo[3,4-b]pyridine-5-carboxamide hydrazone 17 (cf. Scheme 6).

3. Experimental

3.1. General

All melting points are uncorrected and were determined on a Sanyo (Gallenkamp) instrument. Infrared spectra were recorded from KBr discs on a Perkin-Elmer 2000 FT–IR system.1H-NMR and 13C-NMR spectra were determined on a Bruker DPX spectrometer operating at 400 MHz for 1H-NMR and 100 MHz for 13C-NMR using DMSO-d6 as solvent and TMS as internal standard; chemical shifts are reported in δ (ppm). Mass spectra were measured on VG Autospec Q MS 30 and MS 9 (AEI) spectrometers, with EI at 70 eV'. Elemental analyses were measured by means of LEOCHNS-932 Elemental Analyzer. General purpose silica gel on polyester 20 x 20 cm TLC plates with UV indicator were used in TLC experiments to monitor completion of reactions, in which ethyl acetate-petroleum ether (1:1) was used as eluent.

3.2. 2,4-Diamino-5-benzoyl-isophthalonitrile (3a)

A mixture of 2-aminoprop-1-ene-1,1,3-tricarbonitrile (1, 1.32 g, 0.01 mol) and enaminone 2a (0.01 mol) in AcOH (10 cm) and 0.2 gm of NH4OAc, was kept at reflux temperature for 4 hrs. The mixture was cooled and then poured onto ice-water. The solid, so formed, was collected by filtration and recrystallized from EtOH to give yellow crystals; Yield 83%; m.p. 298–299 °C; Anal. Calcd. for C15H10N4O (262.27): C, 68.69; H, 3.84; N, 21.36%. Found: C, 68.53; H, 3.92; N, 21.34%; IR (KBr, cm−1): 3,443, 3,352 (NH2), 3,322, 3,209 (NH2), 2,210, 2,206 (2CN); 1H-NMR: δ, ppm = 7.08 (br s, 2H, NH2, D2O exchangeable) 7.50–7.57 (3H, m, H-3',4',5'), 7.77 (2H, br. s, NH2, D2O exchangeable), 8.22 (2H, dd, 3J = 8.0, 4J = 1.6, H-2',6'), 8.29 (1H, s, H-6); 13C-NMR: δ, ppm = 190.23, 159.85, 159.62, 157.90, 154.44, 154.12, 143.65, 136.01, 130.21 (2C), 127.32 (2C), 115.89, 114.13, 113.85; MS: m/z (%) 262 (M+, 100), 234 (15), 217 (5), 192 (5), 164 (25), 131 (10).

3.3. General procedure for the synthesis of compounds 4a,d

A mixture of 2-aminoprop-1-ene-1,1,3-tricarbonitrile (1, 1.32 g, 0.01 mol) and enaminone 2a,b (0.01 mol) in EtOH (10 mL) was treated with piperidine (5 drops). The reaction mixture was refluxed for 4 h. The mixture was cooled and then poured onto ice-water. The solid, so formed, was collected by filtration and recrystallized from EtOH to give yellow crystals.
2-(3-Cyano-6-phenyl-1H-pyridin-2-ylidene)malononitrile (4a). Yield 80%; m.p. 257–259 °C; Anal. Calcd. for C15H8N4 (244.26): C, 73.76; H, 3.30; N, 22.94%. Found: C, 73.94; H, 3.52; N, 23.04%; IR (KBr, cm−1): 3,097 (NH), 2,210, 2,182 (3CN); 1H-NMR: δ, ppm = 7.16 (1H, d, J = 8.0 Hz, H-5), 7.48–7.51 (3H, m, H-3',4',5'), 7.86 (1H, d, J = 8.0 Hz, H-4), 8.01 (2H, m, H-2',6'), 9.42 (1H, br. s, NH, D2O exchangeable); 13C-NMR: δ, ppm = 180.88, 160.54, 159.45, 155.50, 136.89, 132.09, 128.31 (2C), 127.32 (2C), 114.72, 113.88 (2C), 91.82, 63.25; MS: m/z (%) 243 (M+, 100), 217 (25), 152 (25), 128 (15), 105 (100), 77 (10).
2-(3-Cyano-6-thiophen-2-yl-1H-pyrid in-2-ylidene)malononitrile (4d). Yield 75%; m.p. 200–202 °C; Anal. Calcd. for C13H6N4S (250.28): C, 62.93; H, 2.42; N, 22.39; S, 12.81%. Found: C, 63.06; H, 2.54; N, 22.54; S, 12.98%; IR (KBr, cm−1): 3,189 (NH), 2,230, 2,210 (3CN); 1H-NMR: δ, ppm = 7.04 (1H, d, J = 8.0, H-5), 7.14 (1H, t, J = 4.0, thienyl H-4'), 7.66–7.68 (2H, m, H-4, thienyl H-3'), 7.76 (1H, d, J = 4.0, thienyl H-5'), 8.06 (1H, br. s, NH, D2O exchangeable); MS: m/z (%) 250 (M+, 100), 223 (20), 185 (30), 158 (15), 141 (20), 114 (25), 82 (10), 69 (15).

3.4. Synthesis of 4,7-diamino-3,6-di(thiophene-2-carbonyl)quinoline-8-carbonitrile (7).

A mixture of 2-aminoprop-1-ene-1,1,3-tricarbonitrile (1, 1.32 g, 0.01 mol) and enaminone 2d (0.01 mol) in AcOH (10 cm) and 0.2 gm of NH4OAc, was kept at reflux temperature for 3 hrs. The mixture was cooled and then poured onto ice-water. The solid so formed was collected by filtration and recrystallized from EtOH to give yellow crystals; Yield 88%; m.p. 330–332 °C; Anal. Calcd. for C20H12N4O2S2 (404): C, 59.40; H, 2.97; N, 13.86; O, 7.92; S, 15.84%. Found: C, 59.50; H, 2.78; N, 13.96; O, 7.87; S, 15.89%.; 1H-NMR: δ, ppm = 7.05 (br. s, 2H, NH2), 7.27 (t, J = 4.0, 1H, thienyl H-4'), 7.31 (t, J = 4.0, 1H, thienyl H-4''), 7.47 (s, 1H, H-5), 7.79 (d, 1H, J = 3.2, thienyl H-3'), 7.85 (d, 3H, J = 3.2, thienyl H-3''& NH2), 7.93 (d, 1H, J = 5.2, H-5'), 8.17 (d, 1H, J = 5.2, H-5''), 8.98 (s, 1H, H-2); 13C-NMR: δ, ppm = 128.9, 154.0 (2C), 184.7 (2 C=O), 77.1, 98.3, 103.9, 115.85, 118.0, 129.2,131.6, 134.0, 135.7, 136.1, 140.6, 143.67, 156.1, 157.1, 160.4, 162.0; MS: m/z (%) 404 (M+, 100), 373 (10), 358 (5), 319 (20), 187 (5), 11 (20).

3.5. General procedure for the synthesis of compounds 9a,b

A mixture of 2-aminoprop-1-ene-1,1,3-tricarbonitrile (1, 1.32 g, 0.01 mol) and enaminone 8a,b (0.01 mol) in EtOH (10 mL) as a solvent was treated with piperidine (5 drops). The reaction mixture was refluxed for 4 hr. The mixture was cooled and then poured onto ice-water. The solid so formed was collected by filtration and recrystallized from EtOH to give yellow crystals.
6-Amino-2-dicyanomethylene-4-phenyl-2,3-dihydro-pyridine-3,5-dicarbonitrile (9a). Yield 82%; m.p. 195–197 °C; Anal. Calcd. for C16H8N6 (284.28): C, 67.60; H, 2.84; N, 29.56%. Found: C, 67.43; H, 2.61; N, 29.33%; IR (KBr, cm−1): 3,467, 3,323 (NH2), 3,222 (NH), 2,314, 2,219 (4CN); 1H-NMR: δ, ppm = 7.52–7.61 (7H, m, Ar-H, NH2, D2O exchangeable), 8.19 (1H, br. s, NH, D2O exchangeable); 13C-NMR: δ, ppm = 160.35, 158.81, 158.71, 133.82, 130.47, 128.76 (2C), 128.67, 128.36 (2C), 116.10, 114.60, 113.5, 95.29, 89.17; MS: m/z (%) 284 (M+, 100), 257 (25), 219 (10), 165 (25), 127 (10), 77 (5).
2-[6-Amino-3-aminoethynyl-5-cyano-4-(4-methoxy-phenyl)-1H-pyridin-2-ylidene]malononitrile (9b). Yield 82%; m.p. 248–250 °C; Anal. Calcd. for C17H10N6O (314.31): C, 64.96; H, 3.21; N, 26.74%. Found: C, 65.01; H, 3.22; N, 26.44%; IR (KBr, cm−1): 3,423, 3,327 (NH2), 3,212 (NH), 2,187, 2,150 (3CN); 1H-NMR: δ, ppm = 3.82 (s, 3H, OCH3), 6.86 (br, 2H, NH2, D2O exchangeable), 7.04 (2H, d, J = 8.0, H-3',5'), 7.35 (2H, d, J = 8.0, H-2',6'), 8.22 (1H, br. s, NH, D2O exchangeable); 13C-NMR: δ, ppm = 162.95, 160.23, 159.47, 158.97, 133.45, 130.19 (2C), 127.80, 121.39, 117.24, 116.92, 113.82 (2C), 85.26, 80.48, 55.31; MS: m/z (%) 284 (M+, 100), 257 (25), 219 (10), 165 (25), 127 (10), 77 (5).

3.6. Synthesis of 3,5-Diaminobiphenyl-2,4,6-tricarbonitrile (10)

A mixture of 2-aminoprop-1-ene-1,1,3-tricarbonitrile (1, 1.32 g, 0.01 mol) and benzylidene-malononitrile (8, 0.01 mol)in AcOH (10 cm) and 0.2 gm of NH4OAc, was kept under reflux temperature for 3 hr. The mixture was cooled and then poured onto ice-water. The solid so formed was collected by filtration and recrystallized from EtOH to give yellow crystals; yield 80%; m.p. 290–292 °C; Anal. Calcd. for C15H9N5 (259.27): C, 69.49; H, 3.50; N, 27.01%. Found: C, 69.62; H, 3.34; N, 27.17%; IR (KBr, cm−1): 3,371, 3,305 (NH2), 3,265, 3,213 (NH2), 2,218 (3CN); 1H NMR: δ, ppm = 4.51 (br. s, 4H, 2NH2, D2O exchangeable), 7.41–7.44 (2H, m, H-3',5'), 7.50–7.53 (3H, m, H-2',4',6'); 13C NMR: δ, ppm = 160.92 (2C), 157.07, 135.08, 129.92, 128.49 (2C), 128.21 (2C), 115.61 (2C), 85.65, 81.06, 75.95, 66.31; MS: m/z (%) 259 (M+, 100), 234 (20), 205 (15), 165 (20), 127 (10), 77 (50).

3.7. Synthesis of 2-(4-Amino-7-cyano-3,9-diphenylpyrido[1,2-a]pyrimidin-6-ylidene)-malononitrile (14)

A mixture of 2-aminoprop-1-ene-1,1,3-tricarbonitrile (1, 1.32 g, 0.01 mol) and 2-phenyl-3-piperidin-1-yl-acrylonitrile (11, 0.01 mol) in dioxane (10 mL) was kept under reflux temperature for 3-4 hrs. The mixture was cooled and then poured onto ice-water. The solid so formed was collected by filtration and recrystallized from AcOH to give yellow crystals; yield 85%; m.p. 270–272 °C; Anal. Calcd. for C24H14N6 (386.42): C, 64.60; H, 3.65; N, 21.75%. Found: C, 64.48; H, 3.55; N, 21.90%; IR (KBr, cm−1): 3,383, 3,186 (NH2), 2,237, 2,196 (3CN); 1H-NMR: δ, ppm = 6.82 (2H, br. s, NH2, D2O exchangeable), 7.24–7.52 (m, 12H, Ar-H); MS: m/z (%) 386 (M+, 10), 379 (40), 337 (70), 319 (100), 278 (95), 259 (35), 251 (30), 210 (20), 179 (20), 155 (10), 140 (25), 115 (15), 140 (25), 115 (10), 77 (15), 59 (20).

3.8. Synthesis of 2-amino-4-(dimethylamino)buta-1,3-diene-1,1,3-tricarbonitrile (16)

A mixture of 2-aminoprop-1-ene-1,1,3-tricarbonitrile (1, 1.32 g, 0.01 mol) and DMFDMA (1.19 g, 0.01 mol) in dioxane (10 mL) was stirred for 3–4 hrs. The mixture then poured onto ice-water. The solid, so formed, was collected by filtration and recrystallized from EtOH to give yellow crystals; yield 90 % m.p. 189–190 °C. Anal. Calcd. for C9H9N5 (187.2): C, 57.74; H, 4.85; N, 37.41%. Found: C, 57.61; H, 4.57; N, 37.19%; IR (KBr, cm−1): 3,344, 3,221 (NH2), 2,208, 2,193 (3CN); 1H NMR (400 MHz, DMSO-d6): δ, ppm = 2.50 (3H, s, CH3), 2.57 (3H, s, CH3), 7.19 (br. s, 2H, NH2, D2O exchangeable), 8.54 (1H, s, olefinic CH); MS: m/z (%) 187 (M+, 100), 172 (30), 159 (35), 144 (25), 122 (60), 117 (20), 97 (15), 95 (15), 81 (20), 67 (20), 57 (30).

3.9. Synthesis of 4,6-diamino-2H-pyrazolo[3,4-b]pyridine-5-carboxamide hydrazone (17)

A mixture of 13 (1.87 g, 0.01 mol) and hydrazine monohydrate (1.00 g, 0.02 mol) in EtOH (20 mL) was refluxed for 3–4. The mixture then poured onto ice-water. The solid so formed was collected by filtration and recrystallized from EtOH to give a faint yellow product; yield 87 %; m.p. 210–212 °C; Anal. Calcd. for C7H10N8 (206.21): C, 40.77; H, 4.89; N, 54.34%. Found: C, 40.58; H, 4.65; N, 54.05%; IR (KBr, cm−1): complicated signals from 3,402 to 3,156 for (NH) and (4NH2); 1H-NMR: δ, ppm = 5.34 (2H, br. s, NH2, D2O exchangeable), 5.97 (2H, br. s, NH2, D2O exchangeable), 7.10 (2H, br. s, NH2, D2O exchangeable), 7.29 (2H, br. s, NH2, D2O exchangeable), 8.00 (1H, s, H-3), 8.82 (1H, br. s, NH, D2O exchangeable); MS: m/z (%) 106 (M+, 100), 190 (95), 174 (100), 159 (75), 145 (40), 109 (35), 92 (40), 77 (60), 67 (100).

4. Conclusions

We could successfully utilize 1 as precursor to a variety of polyfunctionally substituted aminoaromatics that seem of value as potential precursors to dyes and pharmaceuticals.

References

  1. Fahmy, S.M.; Abed, N.M.; Mohareb, R.M.; Elnagdi, M.H. Activated nitriles in heterocyclic synthesis: Novel synthesis of pyridazines, pyridines, and isoxazoles. Synthesis 1982, 6, 490–493. [Google Scholar] [CrossRef]
  2. Elmoghayar, M.R.H.; Ibraheim, M.K.A.; Elghandour, A.H.H.; Elnagdi, M.H. A novel synthesis of thiazolo[3,2-a] pyridine derivatives. Synthesis 1981, 8, 635–637. [Google Scholar] [CrossRef]
  3. Elnagdi, M.H. Reaction with α-cyanoethylhydrazine. I. Route for the preparation of pyrazolo[1,5-a]pyrimidines and pyrrolo[1,2-b]pyrazoles. Tetrahedron 1974, 30, 2791–2796. [Google Scholar] [CrossRef]
  4. Erian, A.W. The chemistry of β-enaminonitriles as versatile reagents in heterocyclic synthesis. Chem. Rev. 1993, 93, 1991–2005. [Google Scholar] [CrossRef]
  5. Al-Matar, H.M.; Khalil, K.D.; Meier, H.; Kolshorn, H.; Elnagdi, M.H. Chitosan as heterogeneous catalyst in Michael additions: The reaction of cinnamonitriles with active methylene moieties and phenols. ARKIVOC 2008, 16, 288–301. [Google Scholar]
  6. Al-Awadi, N.A.; Abdelkhalik, M.M.; Abdelhamid, I.A.; Elnagdi, M.H. Pyrolytic methods in organic synthesis: Novel routes for the synthesis of 3-oxoalkanenitriles, 2-acyl anilines, and 2-aroyl anilines. Synlett 2007, 19, 2979–2982. [Google Scholar] [CrossRef]
  7. Saleh, M.A.; Moustafa, S.M.; Elnagdi, M.H. Green Synthetic approaches: Solventless synthesis of polyfunctionally substituted aromatics as potential versitile building blocks in organic synthesis utilizing enaminones and enaminonitriles as precursors. Green Chem. Lett. Rev. 2010. in print. [Google Scholar]
  8. Taylor, E.C.; McKillop, A. The Chemistry of Cyclic Enaminonitriles and ο-Amino-nitriles; Interscience: New York, NY, USA, 1970; p. 415. [Google Scholar]
  9. Freeman, F. Chemistry of malononitrile. Chem. Rev. 1969, 69, 591. [Google Scholar] [CrossRef] [PubMed]
  10. Fatiadi, A.J. New applications of malononitrile in organic chemistry-part I. Synthesis 1978, 165. [Google Scholar] [CrossRef]
  11. Hassanien, A.A.; Abu Zeid, A.; Ghozlan, S.A.; Elnagdi, M.H. Enaminones as Building Blocks in Organic Synthesis: A Novel Route to Polyfunctionally Substituted Benzonitriles, Pyridines, Enylbenzotriazoles and Diazepines. J. Heterocycl. Chem. 2003, 40, 225–228. [Google Scholar] [CrossRef]
  12. Helmy, N.M. Synthesis of Polyfunctional Heterocycles Using Microwave As Environmentally Friendly Technique. PhD Thesis, Cairo University, Cairo, Egypt, 2006. [Google Scholar]
Sample Availability: Samples of the compounds 3a, 4a-d, 7, 9a-b, 10, 14 and 17 are available from the authors.
Scheme 1. Malononitrile dimer as precursor to heterocycles and substituted benzenes [11].
Scheme 1. Malononitrile dimer as precursor to heterocycles and substituted benzenes [11].
Molecules 16 00298 sch001
Scheme 2. Synthesis of pyridine 3a and substituted benzenes 4a,d.
Scheme 2. Synthesis of pyridine 3a and substituted benzenes 4a,d.
Molecules 16 00298 sch002
Scheme 3. Synthesis of 4,7-diamino-3,6-di(thiophene-2-carbonyl)quinoline-8-carbonitrile (7).
Scheme 3. Synthesis of 4,7-diamino-3,6-di(thiophene-2-carbonyl)quinoline-8-carbonitrile (7).
Molecules 16 00298 sch003
Scheme 4. Synthesis of 6-amino-2-dicyanomethylene-4-aryl-2,3-dihydropyridine-3,5-dicarbonitriles 9a,b and 3,5-diaminobiphenyl-2,4,6-tricarbonitrile (10).
Scheme 4. Synthesis of 6-amino-2-dicyanomethylene-4-aryl-2,3-dihydropyridine-3,5-dicarbonitriles 9a,b and 3,5-diaminobiphenyl-2,4,6-tricarbonitrile (10).
Molecules 16 00298 sch004
Scheme 5. Synthesis of 2-(4-amino-7-cyano-3,9-diphenyl-pyrido[1,2-a]pyrimidin-6-ylidene)-malononitrile (14).
Scheme 5. Synthesis of 2-(4-amino-7-cyano-3,9-diphenyl-pyrido[1,2-a]pyrimidin-6-ylidene)-malononitrile (14).
Molecules 16 00298 sch005
Scheme 6. Synthesis of 4,6-diamino-2H-pyrazolo[3,4-b]pyridine-5-carboxamide hydrazone (17).
Scheme 6. Synthesis of 4,6-diamino-2H-pyrazolo[3,4-b]pyridine-5-carboxamide hydrazone (17).
Molecules 16 00298 sch006

Share and Cite

MDPI and ACS Style

Helmy, N.M.; El-Baih, F.E.M.; Al-Alshaikh, M.A.; Moustafa, M.S. A Route to Dicyanomethylene Pyridines and Substituted Benzonitriles Utilizing Malononitrile Dimer as a Precursor. Molecules 2011, 16, 298-306. https://doi.org/10.3390/molecules16010298

AMA Style

Helmy NM, El-Baih FEM, Al-Alshaikh MA, Moustafa MS. A Route to Dicyanomethylene Pyridines and Substituted Benzonitriles Utilizing Malononitrile Dimer as a Precursor. Molecules. 2011; 16(1):298-306. https://doi.org/10.3390/molecules16010298

Chicago/Turabian Style

Helmy, Noha M., Fatma E. M. El-Baih, Monirah A. Al-Alshaikh, and Moustafa S. Moustafa. 2011. "A Route to Dicyanomethylene Pyridines and Substituted Benzonitriles Utilizing Malononitrile Dimer as a Precursor" Molecules 16, no. 1: 298-306. https://doi.org/10.3390/molecules16010298

APA Style

Helmy, N. M., El-Baih, F. E. M., Al-Alshaikh, M. A., & Moustafa, M. S. (2011). A Route to Dicyanomethylene Pyridines and Substituted Benzonitriles Utilizing Malononitrile Dimer as a Precursor. Molecules, 16(1), 298-306. https://doi.org/10.3390/molecules16010298

Article Metrics

Back to TopTop