A New Cembrane Diterpene from the Bornean Soft Coral Nephthea sp.
Abstract
:1. Introduction

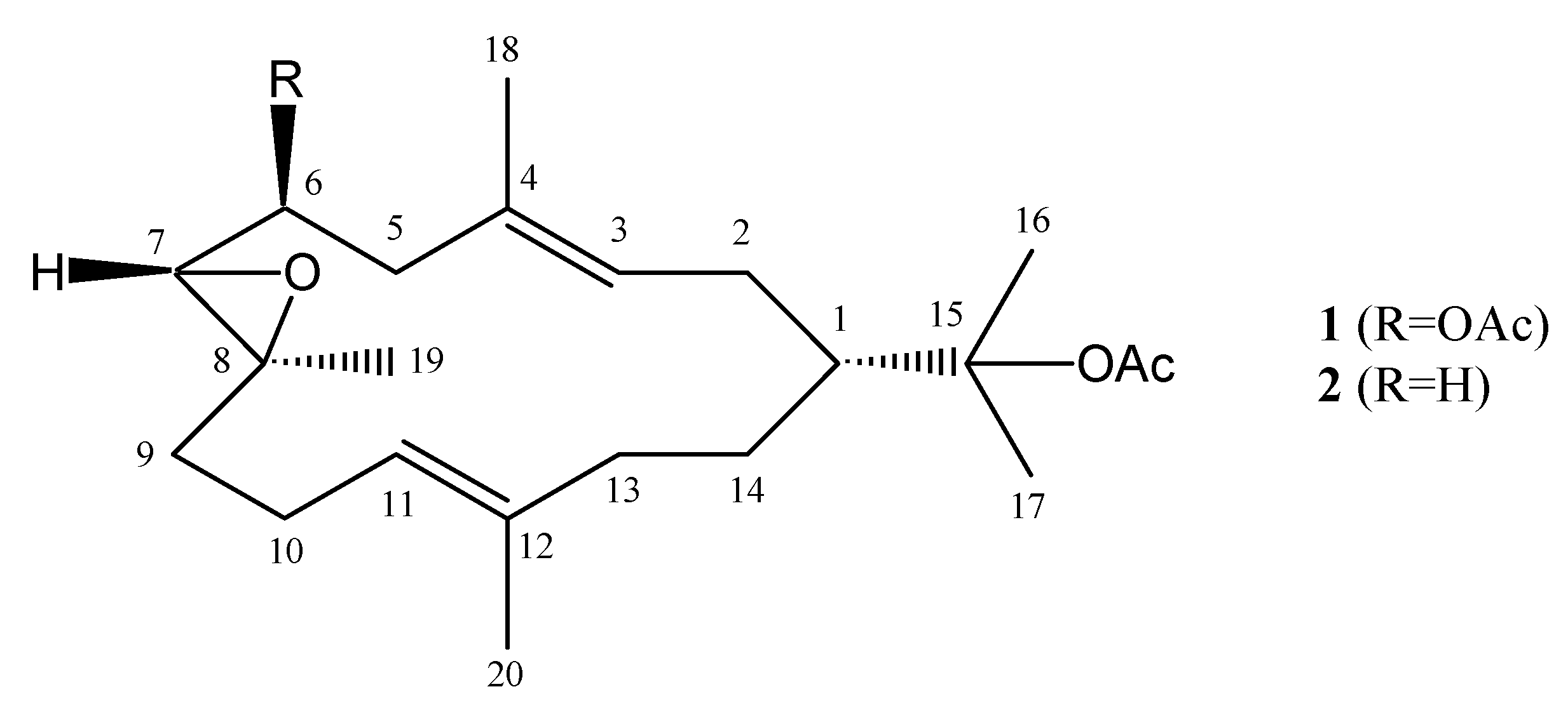
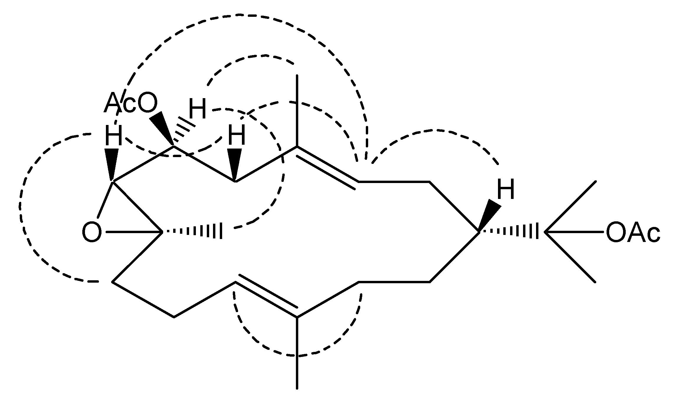
2. Results and Discussion
| Position | 13C | 1H (J in Hz) |
|---|---|---|
| 1 | 45.4 (CH) | 1.78 (m, 1H) |
| 2 | 28.9 (CH2) | 2.25 (m, 1H); 1.83 (ddd, J = 14.3, 7.4, 7.4 Hz, 1H) |
| 3 | 130.3 (CH) | 5.49 (dd, J = 7.4, 7.4 Hz, 1H) |
| 4 | 128.1 (C) | |
| 5 | 42.1 (CH2) | 2.56 (dd, J = 14.4, 7.5 Hz, 1H); 2.29 (dd, J = 14.4, 3.0 Hz, 1H) |
| 6 | 71.4 (CH) | 4.91 (ddd, J = 8.0, 7.5, 3.0 Hz, 1H) |
| 7 | 63.3 (CH) | 3.04 (d, J = 8.0 Hz, 1H) |
| 8 | 61.2 (C) | |
| 9 | 38.3 (CH2) | 2.04 (ddd, J = 13.4, 6.5, 3.0 Hz, 1H); 1.31 (ddd, J = 13.4, 13.4, 3.0 Hz, 1H) |
| 10 | 23.6 (CH2) | 2.24 (m, 1H); 1.98 (m, 1H) |
| 11 | 125.1 (CH) | 5.13 (dd, J = 7.0, 7.0 Hz, 1H) |
| 12 | 135.0 (C) | |
| 13 | 36.6 (CH2) | 2.18 (dd, J = 11.2, 4.1 Hz, 1H); 2.14 (m, 1H) |
| 14 | 28.5 (CH2) | 1.74 (m, 1H); 1.27 (m, 1H) |
| 15 | 85.6 (C) | |
| 16 | 23.2 (CH3) | 1.46 (s, 3H) |
| 17 | 23.2 (CH3) | 1.44 (s, 3H) |
| 18 | 17.1 (CH3) | 1.71 (s, 3H) |
| 19 | 17.4 (CH3) | 1.37 (s, 3H) |
| 20 | 15.0 (CH3) | 1.56 (s, 3H) |
| OAc | 170.3 (C) | |
| 21.2 (CH3) | 2.08 (s, 3H) | |
| OAc | 170.2 (C) | |
| 22.6 (CH3) | 1.97 (s, 3H) |


3. Experimental
3.1. General
3.2. Biological material
3.3. Extraction and isolation
3.4. 6-Acetoxy-7,8-epoxynephthenol acetate (1)
3.5. Epoxynephthenol acetate (2)
3.6. Antibacterial bioassay
4. Conclusions
Acknowledgements
References
- Cheng, S.Y.; Huang, Y.C.; Wen, Z.H.; Chiou, S.F.; Wang, S.K.; Hsu, C.H.; Dai, C.F.; Duh, C.Y. Novel sesquiterpenes and norergosterol from the soft corals Nephthea erecta and Nephthea chabroli. Tetrahedron Lett. 2009, 50, 802–806. [Google Scholar]
- Cheng, S.Y.; Huang, Y.C.; Wen, Z.H.; Hsu, C.H.; Wang, S.K.; Dai, C.F.; Duh, C.Y. New 19-oxygenated and 4-methylated steroids from the Formosan soft coral Nephthea chabroli. Steroids 2009, 74, 543–547. [Google Scholar] [CrossRef]
- Blackman, A.J.; Bowden, B.F.; Coll, J.C.; Frick, B.; Mahendran, M.; Mitchell, S.J. Several new cembranoid diterpenes from Nephthea brassica and related diterpenes from a Sarcophyton species. Aust. J. Chem. 1982, 35, 1873–1880. [Google Scholar] [CrossRef]
- Vanderah, D.J.; Rutledge, N.; Schmitz, F.J.; Ciereszko, L.S. Marine natural products: cembrene-A and cembrene-C from a soft coral, Nephthea sp. J. Org. Chem. 1978, 43, 1614–1616. [Google Scholar] [CrossRef]
- Ishii, T.; Matsuura, H; Zhaoqi, Z.; Vairappan, C.S. A new 4α-methylated sterol from a Nephthea sp. (Nephtheidae) Bornean soft coral. Molecules 2009, 14, 3360–3366. [Google Scholar] [CrossRef]
- Ishii, T.; Matsuura, H.; Zhaoqi, Z.; Vairappan, C.S. A new norsesquiterpenoid from a Bornean soft coral genus Nephthea. Molecules 2009, 14, 4591–4596. [Google Scholar] [CrossRef]
- Yan, X.H.; Guo, Y.W.; Zhu, X.Z.; Mollo, E.; Cimino, G. Studies on chemical constituents of the soft coral Spongodes sp. from the South China Sea. Chin. J. Nat. Med. 2004, 2, 199–201. [Google Scholar]
- Coll, J.C.; Hawes, G.B.; Liyanage, N.; Oberhänsli, W.; Wells, R.J. Studies of Australian soft corals. I a new cembrenoid diterpene from a Sarcophyton species. Aust. J. Chem. 1977, 30, 1305–1309. [Google Scholar] [CrossRef]
- Schmitz, F.J.; Vanderah, D.J.; Ciereszko, L.S. Marine natural products: nephthenol and epoxynephthenol acetate, cembrene derivatives from a soft coral. J. Chem. Soc., Chem. Comm. 1974, 407–408. [Google Scholar]
- Duh, C.Y.; Wang, S.K.; Chung, S.G.; Chou, G.C.; Dai, C.F. Cytotoxic cembrenolides and steroids from the Formosan soft coral Sarcophyton crassocaule. J. Nat. Prod. 2000, 63, 1634–1637. [Google Scholar] [CrossRef]
- Rodríguez, A.D.; Li, Y.; Dhasmana, H. New marine cembrane diterpenoids isolated from the Caribbean gorgonian Eunicea mammosa. J. Nat. Prod. 1993, 56, 1101–1113. [Google Scholar] [CrossRef]
- Vairappan, C.S. Potent antibacterial activity of halogenated metabolites from Malaysian red algae, Laurencia majuscula (Rhodomelaceae, Ceramiales). Biomol. Eng. 2003, 20, 255–259. [Google Scholar] [CrossRef]
- Sample Availability: Available from the authors.
© 2010 by the authors;
Share and Cite
Ishii, T.; Zhaoqi, Z.; Vairappan, C.S. A New Cembrane Diterpene from the Bornean Soft Coral Nephthea sp. Molecules 2010, 15, 3857-3862. https://doi.org/10.3390/molecules15063857
Ishii T, Zhaoqi Z, Vairappan CS. A New Cembrane Diterpene from the Bornean Soft Coral Nephthea sp. Molecules. 2010; 15(6):3857-3862. https://doi.org/10.3390/molecules15063857
Chicago/Turabian StyleIshii, Takahiro, Zhan Zhaoqi, and Charles Santhanaraju Vairappan. 2010. "A New Cembrane Diterpene from the Bornean Soft Coral Nephthea sp." Molecules 15, no. 6: 3857-3862. https://doi.org/10.3390/molecules15063857
APA StyleIshii, T., Zhaoqi, Z., & Vairappan, C. S. (2010). A New Cembrane Diterpene from the Bornean Soft Coral Nephthea sp. Molecules, 15(6), 3857-3862. https://doi.org/10.3390/molecules15063857

