A Highly Efficient Bismuth Salts-Catalyzed Route for the Synthesis of α-Aminophosphonates
Abstract
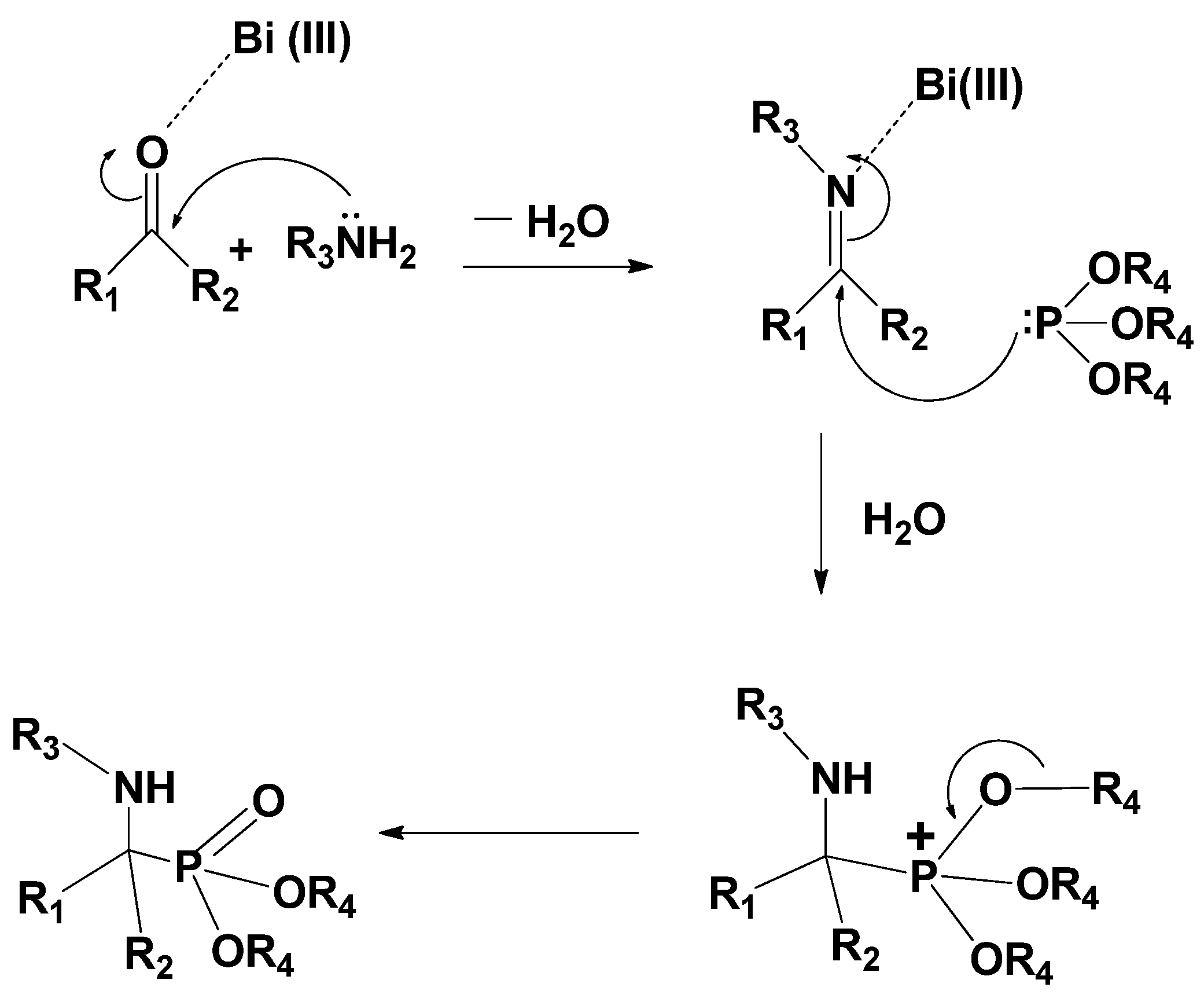
:1. Introduction
2. Results and Discussion
3. Experimental
3.1. General
4. Conclusions
Acknowledgements
References
- Reddy, M.V.N.; Annar, S.; Balakrishna, A.; Reddy, G.C.S.; Reddy, C.S. Tetramethyl guanidine (TMG) catalyzed synthesis of novel α-amino phosphonates by one-pot reaction. Org. Commun. 2010, 3, 39–44. [Google Scholar]
- Rao, A.J.; Rao, P.V.; Rao, V.K.; Mohan, C.; Raju, C.N.; Reddy, C.S. Microwave assisted one-pot synthesis of novel α-aminophosphonates and their biological activity. Bull. Korean Chem. Soc. 2010, 31, 1863–1868. [Google Scholar] [CrossRef]
- Reddy, M.V.N.; Kumar, B.S.; Balakrishna, A.; Reddy, C.S.; Nayak, S.K.; Reddy, C.D. One-pot synthesis of novel α-amino phosphonates using tetramethylguanidine as a catalyst. ARKIVOC 2007, 15, 46–254. [Google Scholar]
- Rezaei, Z.; Firouzabadi, H.; Iranpoor, N.; Ghaderi, A.; Jafari, M.R.; Jafari, A.A.; Zare, H.R. Design and one-pot synthesis of α-aminophosphonates and bis(α-aminophosphonates) by iron(III) chloride and cytotoxic activity. Eur. J. Med. Chem. 2009, 44, 4266–4275. [Google Scholar] [CrossRef] [PubMed]
- Rao, X.; Song, Z.; He, L. Synthesis and antitumor activity of novel α-aminophosphonates from diterpenic dehydroabietylamine. Heteroatom Chem. 2008, 19, 512–516. [Google Scholar] [CrossRef]
- Kraicheva, I.; Bogomilova, A.; Tsacheva, I.; Momekov, G.; Troev, K. Synthesis, NMR characterization and in vitro antitumor evaluation of new aminophosphonic acid diesters. Eur. J. Med. Chem. 2009, 44, 3363–3367. [Google Scholar] [CrossRef] [PubMed]
- Xu, Y.; Yan, K.; Song, B.; Xu, G.; Yang, S.; Xue, W.; Hu, D.; Lu, P.; Ouyang, G.; Jin, L.; Chen, Z. Synthesis and antiviral bioactivities of α-aminophosphonates containing alkoxyethyl moieties. Molecules 2006, 11, 666–676. [Google Scholar] [CrossRef] [PubMed]
- Du, S.; Faiger, H.; Belakhov, V.; Baasov, T. Towards the development of novel antibiotics: synthesis and evaluation of a mechanism-based inhibitor of Kdo8P synthase. Bioorg. Med. Chem. 1999, 7, 2671–2682. [Google Scholar] [CrossRef]
- Giannousis, P.P.; Bartlett, P.A. Phosphorus amino acid analogues as inhibitors of leucine aminopeptidase. J. Med. Chem. 1987, 30, 1603–1609. [Google Scholar] [CrossRef] [PubMed]
- Allen, M.C.; Fuhrer, W.; Tuck, B.; Wade, R.; Wood, J.M. Renin inhibitors. Synthesis of transition-state analog inhibitors containing phosphorus acid derivatives at the scissile bond. J. Med. Chem. 1989, 32, 1652–1661. [Google Scholar] [CrossRef] [PubMed]
- Engel, R.; Cohen, J.I. Synthesis of Carbon-Phosphorus Bonds, 2nd ed.; CRC Press: Boca Raton, FL, USA, 2003. [Google Scholar]
- Karimi-Jaberi, Z.; Amiri, M. One-pot synthesis of α-aminophosphonates catalyzed by boric acid at room temperature. Heteroatom Chem. 2010, 21, 96–98. [Google Scholar] [CrossRef]
- Maghsoodlou, M.T.; Khorassani, S.M.H.; Hazeri, N.; Rostamizadeh, M.; Sajadikhah, S.S.; Shahkarami, Z.; Maleki, N. An efficient synthesis of α-Amino phosphonates using silica sulfuric acid as a heterogeneous catalyst. Heteroatom Chem. 2009, 20, 316–318. [Google Scholar] [CrossRef]
- Bhagat, S.; Chakraborti, A.K. An extremely efficient three-component reaction of aldehydes/ketones, amines, and phosphites (Kabachnik-Fields reaction) for the synthesis of α-aminophosphonates catalyzed by magnesium perchlorate. J. Org. Chem. 2007, 72, 1263–1270. [Google Scholar] [CrossRef] [PubMed]
- Hosseini-Sarvari, M. TiO2 as a new and reusable catalyst for one-pot three-component syntheses of α-aminophosphonates in solvent-free conditions. Tetrahedron 2008, 64, 5459–5466. [Google Scholar] [CrossRef]
- Ambica, S.; Kumar, S.; Taneja, S.C.; Hundal, M.S.; Kapoor, K.K.; Ambica; Kumar, S.; Taneja, S.C.; Hundal, M.S.; Kapoor, K.K. One-pot synthesis of α-aminophosphonates catalyzed by antimony trichloride adsorbed on alumina. Tetrahedron Lett. 2008, 49, 2208–2212. [Google Scholar] [CrossRef]
- Vahdat, S.M.; Baharfar, R.; Tajbakhsh, M.; Heydari, A.; Baghbanian, S.M.; Khaksar, S. Organocatalytic synthesis of α-hydroxy and α-aminophosphonates. Tetrahedron Lett. 2008, 49, 6501–6504. [Google Scholar] [CrossRef]
- Akbari, J.; Heydari, A. A sulfonic acid functionalized ionic liquid as a homogeneous and recyclable catalyst for the one-pot synthesis of α-aminophosphonates. Tetrahedron Lett. 2009, 50, 4236–4238. [Google Scholar] [CrossRef]
- Niralwad, K.S.; Shingate, B.B.; Shingare, M.S. Solvent-free sonochemical preparation of α-aminophosphonates catalyzed by 1-hexanesulphonic acid sodium salt. Ultrasonics Sonochem. 2010, 17, 760–763. [Google Scholar] [CrossRef] [PubMed]
- Bhagat, S.; Chakraborti, A.K. Zirconium(IV) compounds as efficient catalysts for synthesis of α-aminophosphonates. J. Org. Chem. 2008, 73, 6029–6032. [Google Scholar] [CrossRef] [PubMed]
- Heydari, A.; Khaksar, S.; Tajbakhsh, M. Trifluoroethanol as a metal-free, homogeneous and recyclable medium for the efficient one-pot synthesis of α-amino nitriles and α-amino phosphonates. Tetrahedron Lett. 2009, 50, 77–80. [Google Scholar] [CrossRef]
- Karimi-Jaberi, Z.; Amiri, M.; Sadeghi, N. Sodium dihydrogen phosphate as an efficient catalyst for one-pot, three-component synthesis of α-aminophosphonates under solvent-free conditions at room temperature. Synthetic Commun. 2010, 40, 2948–2953. [Google Scholar] [CrossRef]
- Matveeva, E.D.; Podrugina, T.A.; Prisyazhnoi, M.V.; Rusetskaya, I.N.; Zefirov, N.S. Three-component catalytic method for synthesis of α-amino phosphonates with the use of α-amino acids as amine component. Russ. Chem. Bull. 2007, 56, 798–805. [Google Scholar] [CrossRef]
- Matveeva, E.D.; Podrugina, T.A.; Prisyajnoy, M.V.; Zefirov, N.S. Ketones in the catalytic three-component “one-pot” Kabachnik-Fields synthesis of α-amino phosphonates. Russ. Chem. Bull. 2006, 55, 1209–1214. [Google Scholar] [CrossRef]
- Matveeva, E.D.; Podrugina, T.A.; Kolesnikova, I.N.; Zefirov, N.S. Benzoylhydrazones in catalytic hydrophosphorylation. Russ. Chem. Bull. 2010, 59, 411–417. [Google Scholar] [CrossRef]
- Samajdar, S.; Basu, M.K.; Becker, F.F.; Banik, B.K. Bismuth nitrate-mediated deprotection of oximes. Synthetic Commun. 2002, 32, 1917–1921. [Google Scholar] [CrossRef]
- Srivastava, N.; Dasgupta, S.K.; Banik, B.K. A remarkable bismuth nitrate-catalyzed protection of carbonyl compounds. Tetrahedron Lett. 2003, 44, 1191–1193. [Google Scholar] [CrossRef]
- Srivastava, N.; Banik, B.K. Bismuth nitrate-catalyzed Versatile Michael reactions. J. Org. Chem. 2003, 68, 2109–2114. [Google Scholar] [CrossRef] [PubMed]
- Banik, B.K.; Samajdar, S.; Banik, I.; Ng, S.S.; Hann, J. Montmorillonite impregnated with bismuth nitrate: Microwave-assisted facile nitration of β-lactams. Heterocycles 2003, 61, 97–100. [Google Scholar] [CrossRef]
- Banik, B.K.; Adler, D.; Nguyen, P.; Srivastava, N. A new bismuth nitrate-induced stereospecific glycosylation of alcohols. Heterocycles 2003, 61, 101–104. [Google Scholar] [CrossRef]
- Banik, B.K.; Banik, I.; Renteria, M.; Dasgupta, S.K. A straightforward highly efficient Paal-Knorr synthesis of pyrroles. Tetrahedron Lett. 2005, 46, 2643–2645. [Google Scholar] [CrossRef]
- Banik, B.K.; Garcia, I.; Morales, F.R. Bismuth nitrate-catalyzed Michael reactions of indoles in water. Heterocycles 2007, 71, 919–924. [Google Scholar] [CrossRef]
- Bose, A.; Sanjoto, W.P.; Villarreal, S.; Aguilar, H.; Banik, B.K. Novel nitration of estrone by metal nitrates. Tetrahedron Lett. 2007, 48, 3945–3947. [Google Scholar] [CrossRef]
- Banik, B.K.; Reddy, A.T.; Datta, A.; Mukhopadhyay, C. Microwave-induced bismuth nitrate-catalyzed synthesis of dihydropyrimidones via Biginelli condensation under solventless conditions. Tetrahedron Lett. 2007, 48, 7392–7394. [Google Scholar] [CrossRef]
- Rivera, S.; Bandyopadhyay, D.; Banik, B.K. Facile synthesis of N-substituted pyrroles via microwave-induced bismuth nitrate-catalyzed reaction. Tetrahedron Lett. 2009, 50, 5445–5448. [Google Scholar] [CrossRef]
- Becker, F.F.; Banik, B.K. Polycyclic aromatic compounds as anticancer agents: synthesis and biological evaluation of some chrysene derivatives. Bioorg. Med. Chem. Lett. 1998, 8, 2877–2880. [Google Scholar] [CrossRef]
- Becker, F.F.; Mukhopadhyay, C.; Hackfeld, L.; Banik, I.; Banik, B.K. Polycyclic aromatic compounds as anticancer agents: synthesis and biological evaluation of dibenzofluorene derivatives. Bioorg. Med. Chem. 2000, 8, 2693–2699. [Google Scholar] [CrossRef]
- Banik, B.K.; Becker, F.F. Polycyclic aromatic compounds as anticancer agents. 4. Structure-activity relationships of chrysene and pyrene derivatives. Bioorg. Med. Chem. 2001, 9, 593–605. [Google Scholar] [CrossRef]
- Banik, B.K.; Becker, F.F. Synthesis, electrophilic substitution and structure-activity relationship studies of polycyclic aromatic compounds towards the development of anticancer agents. Curr. Med. Chem. 2001, 8, 1513–1533. [Google Scholar] [CrossRef] [PubMed]
- Banik, B.K.; Becker, F.F.; Banik, I. Synthesis of anticancer β-lactams: Mechanism of action. Bioorg. Med. Chem. 2004, 12, 2523–2528. [Google Scholar] [CrossRef] [PubMed]
- Banik, I.; Becker, F.F.; Banik, B.K. Stereoselective Synthesis of β-Lactams with Polyaromatic Imines: Entry to New and Novel Anticancer Agents. J. Med. Chem. 2003, 46, 12–15. [Google Scholar] [CrossRef] [PubMed]
- Banik, B.K.; Becker, F.F. Selective anticancer activity of β-lactams derived from polyaromatic compound. Mol. Med. Reports 2010, 3, 315–316. [Google Scholar] [CrossRef]
- Banik, B.K.; Samajdar, S.; Becker, F.F. Asymmetric synthesis of anticancer β-lactams via Staudinger reaction. Mol. Med. Reports 2010, 3, 319–321. [Google Scholar] [CrossRef]
- Banik, B.K.; Mukhopadhyay, C.; Becker, F.F. Synthesis and biological evaluation of novel dibenzofluorene derivatives as anticancer agents. Oncol. Lett. 2010, 1, 309–311. [Google Scholar] [CrossRef] [PubMed]
- Banik, B.K.; Becker, F.F. Novel 6,12-disubstituted chrysene as potent anticancer agent: Synthesis, in vitro and in vivo study. Eur. J. Med. Chem. 2010, 45, 4687–4691. [Google Scholar] [CrossRef] [PubMed]
- Bhattacharya, A.K.; Kaur, T. An efficient one-pot synthesis of α-amino phosphonates catalyzed by bismuth nitrate pentahydrate. Synlett 2007, 5, 745–748. [Google Scholar] [CrossRef]
Sample Availability: Samples of the compounds (mg quantity) are available from the authors. |



| Entry | Bismuth salt (10 mol%) | Time (h) | Yield (%) |
|---|---|---|---|
| 1 | BiCl3 | 2 | 85 |
| 2 | BiI3 | 5 | 75 |
| 3 | Bi5O(OH)9(NO3)3 | 5 | 57 |
| 4 | BiBr3 | 4 | 71 |
| 5 | Bi(NO3)3.5H2O | 5 | 67 |
| 6 | Bi(OTf)3 | 3 min | 98 |
| Entry | Carbonyl compound | Amine | Phosphite | Product | Time (min) | Yield (%)a | Ref |
|---|---|---|---|---|---|---|---|
| 1 | ![]() | ![]() | TMPb | ![]() | 3 | 98 | 12 |
| 2 | ![]() | ![]() | TEPc | ![]() | 10 | 93 | 13 |
| 3 | ![]() | ![]() | DEPd | ![]() | 12 | 97 | 15 |
| 4 | ![]() | ![]() | DEP | ![]() | 20 | 94 | 15 |
| 5 | ![]() | ![]() | TMP | ![]() | 15 | 95 | 13 |
| 6 | ![]() | ![]() | DEP | ![]() | 55 | 92 | 15 |
| 7 | ![]() | ![]() | DEP | ![]() | 45 | 74 | 15 |
| 8 | ![]() | ![]() | DEP | ![]() | 80 | 84 | 15 |
| 9 | ![]() | ![]() | DMPe | ![]() | 20 | 95 | 14 |
| 10 | ![]() | ![]() | DEP | ![]() | 90 | 82 | 15 |
| 11 | ![]() | ![]() | DEP | ![]() | 30 | 97 | 15 |
| 12 | ![]() | ![]() | DEP | ![]() | 45 | 89 | 15 |
| 13 | ![]() | ![]() | DMP | ![]() | 40 | 86 | 1 |
| 14 | ![]() | ![]() | DEP | ![]() | 75 | 86 | 15 |
| 15 | ![]() | ![]() | DEP | ![]() | 25 | 91 | 4 |
| 16 | ![]() | ![]() | TMP | ![]() | 15 | 96 | 17 |
| 17 | ![]() | ![]() | DEP | ![]() | 65 | 82 | 1 |
| 18 | ![]() | ![]() | DEP | ![]() | 240 | 72 | 15 |
© 2010 by the authors; licensee MDPI, Basel, Switzerland. This article is an open access article distributed under the terms and conditions of the Creative Commons Attribution license (http://creativecommons.org/licenses/by/3.0/).
Share and Cite
Banik, A.; Batta, S.; Bandyopadhyay, D.; Banik, B.K. A Highly Efficient Bismuth Salts-Catalyzed Route for the Synthesis of α-Aminophosphonates. Molecules 2010, 15, 8205-8213. https://doi.org/10.3390/molecules15118205
Banik A, Batta S, Bandyopadhyay D, Banik BK. A Highly Efficient Bismuth Salts-Catalyzed Route for the Synthesis of α-Aminophosphonates. Molecules. 2010; 15(11):8205-8213. https://doi.org/10.3390/molecules15118205
Chicago/Turabian StyleBanik, Antara, Sahil Batta, Debasish Bandyopadhyay, and Bimal K. Banik. 2010. "A Highly Efficient Bismuth Salts-Catalyzed Route for the Synthesis of α-Aminophosphonates" Molecules 15, no. 11: 8205-8213. https://doi.org/10.3390/molecules15118205
APA StyleBanik, A., Batta, S., Bandyopadhyay, D., & Banik, B. K. (2010). A Highly Efficient Bismuth Salts-Catalyzed Route for the Synthesis of α-Aminophosphonates. Molecules, 15(11), 8205-8213. https://doi.org/10.3390/molecules15118205






















































