Abstract
C-Glycosyl-(S)- and (R)-alanines 12a and 12b were synthesized from the known β-C-glycoside 1. The nitrogen function was introduced by aza-Claisen rearrangement of the allylic thiocyanate 7, derived from the corresponding alcohol 6. The absolute configuration of the newly created chiral carbon center (C-3) was assigned by X-ray diffraction analysis of the intermediate 3(S)-isothiocyanato-d-glycero-d-galacto-decose 8a.
Introduction
Glycoconjugates [1] have a significant pharmaceutical potential and intensive research on understanding the functions of these structures in biological events has become a major target for many scientific groups in the recent years.
This increasing interest has been recently turned to modified glycosyl amino acids such as C-glycosyl α-amino acids or fused sugar amino acids [2,3,4,5], in which carbohydrate and amino acid are linked directly to the anomeric centre of the sugar either via a carbon-carbon bond or an entire α-amino acid (glycinyl moiety) [2]. They represent a significant class of building blocks for the construction of C-glycosylated peptides [3,6]. The incorporation of unnatural C-glycosyl amino acids in glycopeptide mimetics may serve for preparing analogues with enhanced resistance to enzymatic hydrolysis but also in the development of glycopeptide-based drugs with interesting pharmacological properties [3,4,5]. For the construction of the C-glycosyl amino acids, several synthetic approaches have been developed [2,5,6,7,8,9,10].
Results and Discussion
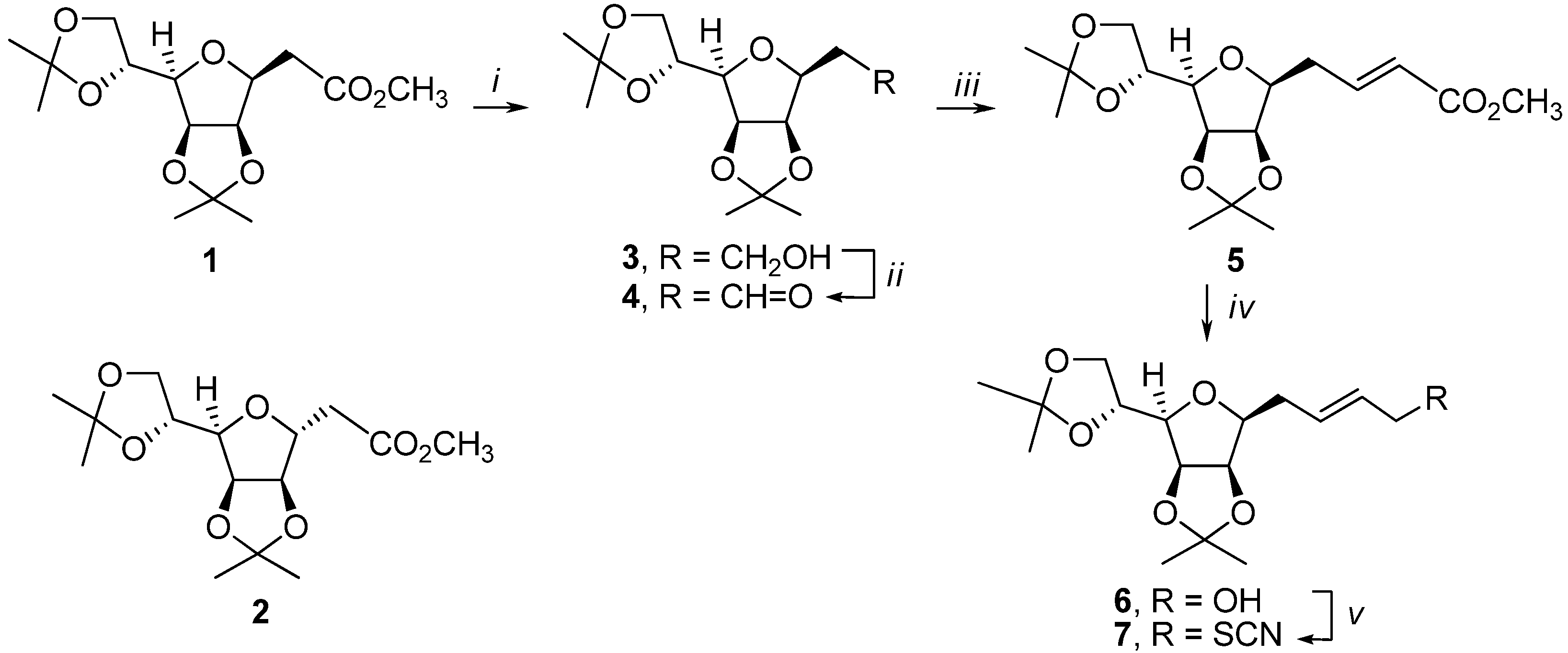
We report here a synthetic strategy for the preparation of diastereomerically pure C-glycosyl-alanines 12a, 12b, starting from the know β-C-glycoside 1 [11] and based on the aza-Claisen rearrangement of allylic thiocyanates previously developed in our laboratory [12,13]. The starting β-C-glycoside 1 was synthesized together with its α-anomer 2 via a Wittig-intramolecular Michael-type ring closure sequence from the known 2,3:5,6-di-O-isopropylidene-α-d-mannofuranose and a stabilized ylide (Ph3P=CHCO2CH3, acetonitrile, reflux). Subsequent reduction of 1 with lithium aluminum hydride in dry diethyl ether gave alcohol 3 (88%, Scheme 1). The 2,5-anhydroalditol 3 was subsequently oxidized with o-iodoxybenzoic acid [14] (IBX) in acetonitrile to yield the corresponding aldehyde 4 in 93% yield. The aldehyde 4 was then treated with the stabilized ylide Ph3P=CHCO2CH3 to afford (E)-α,β-unsaturated ester 5 in 87% yield (Scheme 1).
Scheme 1.
Synthesis of protected 1-thiocyanato-d-glycero-d-galacto-dec-2(E)-enitol 7.
Scheme 1.
Synthesis of protected 1-thiocyanato-d-glycero-d-galacto-dec-2(E)-enitol 7.

Reagents and conditions: (i) LiAlH4, Et2O; (ii) IBX, CH3CN; (iii) Ph3P=CHCO2CH3, CH2Cl2; (iv) DIBAH, CH2Cl2; (v) MsCl, Et3N/KSCN, CH3CN.
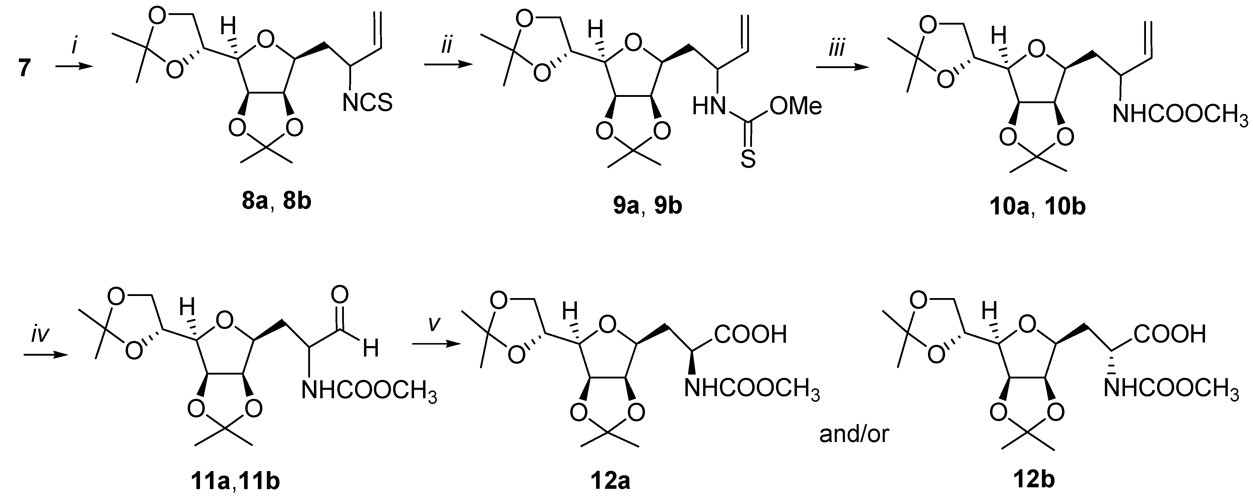
Its structure was determined by 1H- and 13C-NMR spectroscopy (for data see Experimental part). The observed coupling constant in 5 (J3,2 = 15.7 Hz) accounted for a trans-configuration of the double bond. The ester 5 was subjected to reduction with diisobutylaluminum hydride in CH2Cl2 to give the allylic alcohol 6 (75%). The required thiocyanate 7 was easily prepared in 76% overall yield by a two-step process of mesylation of alcohol 6 followed by displacement using KSCN in acetonitrile (Scheme 1). The thermal aza-Claisen rearrangement of thiocyanate 7, which was carried out at 90 oC in dry n-heptane under a nitrogen atmosphere for 6 h, afforded a mixture of diastereomeric isothiocyanates 8a and 8b (Scheme 2), with high yield (83%) but without selectivity (8a:8b ≈ 1:1, as determined by 1H- NMR). The microwave (MW) induced rearrangement of thiocyanate 7 realized under the same conditions (90 oC, n-heptane, Scheme 2) gave a 1:1 mixture of 8a and 8b in 86% yield, within 2 h. The reaction was performed in closed vessel in a focused microwave reactor (CEM Discover, see Experimental part).
Figure 1.
A molecular structure of 8a, showing crystallographic numbering.
Figure 1.
A molecular structure of 8a, showing crystallographic numbering.

We have observed that the use of microwave irradiation remarkably accelerated rearrangement of 7→8a, 8b with reduction to one-third of the reaction time, in comparison with the conventional thermal conditions, but it had practically no influence on the selectivity of the rearrangement.
Fortunately, these diastereoisomers were easily separated by chromatography and compound 8a was isolated in crystalline state. In order to determine the absolute configuration of compound 8a, we tried to recrystallize 8a to obtain single crystals for X-ray diffraction analysis. The isothiocyanate 8a crystallized well from a mixture of ether and hexane, forming colorless prisms suitable for X-ray measurements. The crystallographic structure of compound 8a, shown in Figure 1, confirmed that the newly introduced stereocentre at C-3 in 8a possesses S configuration. Consequently, the isothiocyanate 8b must be the 3R-epimer.
Scheme 2.
Synthesis of C-glycosyl-(S)- and (R)-alanines.
Scheme 2.
Synthesis of C-glycosyl-(S)- and (R)-alanines.

Reagents and conditions: (i) a) n-heptane, 90 °C b) n-heptane, 90 °C, microwaves; (ii) CH3ONa, CH3OH; (iii) MNO, CH3CN; (iv) O3, -78 °C, Ph3P; (v) NaClO2, CH3CN/t-BuOH/2-methylbut-2-ene = 4:4:1.
Our approach to the build-up of C-glycosyl-(S)- and (R)-alanines 12a and 12b was based on four subsequent steps which were conducted with pure diastereoisomers 8a and 8b. In the first step, the reaction of 8a and 8b with CH3ONa in dry methanol at room temperature gave a nearly quantitative yield of thiourethanes 9a and 9b, which were used immediately in the next step without purification to avoid problems connected with their possible instability. The treatment of 9a and 9b with mesitonitrile oxide (MNO) [15] in acetonitrile afforded in 85% and 92% yields, respectively, carbamates 10a and 10b (Scheme 2), whose structure was confirmed by 1H- and 13C-NMR spectroscopy (for data see experimental part). Ozonolysis of 10a and 10b at -78 oC in methanol afforded the corresponding aldehydes 11a and 11b. After a short pad filtration on silica gel (to remove arising triphenylphosphine oxide), these products were used immediately in the next step due to instability of α-amino aldehydes. The structure of 11a and 11b was determined by 1H-NMR; the observed chemical shift of aldehyde proton in 11a δ = 9.64 ppm and in 11b δ = 9.52 ppm. The aldehydes 11a and 11b were selectively oxidized to protected C-glycosyl-(S)- and (R)-alanines 12a and 12b (Scheme 2) by treatment with sodium chlorite (NaClO2) in CH3CN/tert-butyl alcohol/2-methyl-2-butene at 0 oC in 74% and 73% yields, respectively after flash chromatography.
Conclusions
In summary, the novel synthetic approach to the chiral non-racemic C-glycosylated alanines 12a and 12b has been developed. The obtained compounds 12a and 12b differ in the stereochemistry of the newly formed chiral carbon atom (C-2), one having the l-configuration (12a) and the other the d-configuration (12b). These novel amino acids 12a and 12b can be useful in modifying the properties of some glycopeptides by virtue of the presence of a stable anomeric C-C bond instead of the C-O or C-N bond and an additional amino group at C-2.
Experimental
General
All commercially available reagents were used without purification and solvents were dried according to standard procedures. Product purification was carried out using flash chromatography on silica gel (Merck silica gel 60 (0.040-0.063 mm). TLC was run on Merck silica gel 60 F254 analytical plates; detection was carried out with either UV, iodine and spraying with a solution of KMnO4, with subsequent heating. The melting points were determined on the Kofler block, and are uncorrected. Optical rotations were measured in chloroform, using a P3002 Krüss polarimeter and reported as follows: [α]d25 (c in g/100 mL, solvent). NMR spectra were recorded at room temperature on a FT NMR spectrometer Varian Mercury Plus 400 (1H at 400.13 MHz and 13C at 100.6 MHz) using CDCl3 as the solvent and TMS as internal reference. For 1H δ are given in parts per million relative to TMS (0 ppm), for 13C relative to CDCl3 (77 ppm). 13C-NMR multiplicities were determined by a DEPT pulse sequence. IR spectra were recorded on a Perkin-Elmer 599 IR spectrometer in CHCl3. All reactions were performed under nitrogen atmosphere when anhydrous solvents were used. Microwave experiments were conducted using a focused microwave system (CEM Discover). All experiments were performed in glass vessels (10 mL) sealed with a septum. At the end of reaction, the vessels and contents were cooled rapidly using a stream of compressed air.
Methyl 3,6-anhydro-2-deoxy-4,5:7,8-di-O-isopropylidene-d-glycero-d-galacto-octanoate (1) and Methyl 3,6-anhydro-2-deoxy-4,5:7,8-di-O-isopropylidene-d-glycero-d-talo-octanoate (2). 1: 1H-NMR: δ 1.33 (3H, s, CH3), 1.37 (3H, s, CH3), 1.44 (3H, s, CH3), 1.46 (3H, s, CH3), 2.73 (1H, dd, J2,2=16.7 Hz, J3,2=6.4 Hz, H2), 2.81 (1H, dd, J2,2=16.7 Hz, J3,2=7.3 Hz, H2), 3.52 (1H, m, H6), 3.70 (3H, s, OCH3), 3.94 (1H, m, H3), 4.04 (1H, dd, J8,8=8.7 Hz, J8,7=4.7 Hz, H8), 4.07 (1H, dd, J8,8=8.7 Hz, J8,7=6.1 Hz, H8), 4.38 (1H, ddd, J7,6=7.5 Hz, J8,7=6.1 Hz, J8,7=4.7 Hz, H7), 4.76 (2H, m, H4, H5); 13C- NMR: δ 24.6, 25.2, 25.7, 26.9, 33.3, 51.8, 66.9, 73.1, 77.7, 80.7, 81.0, 81.6, 109.1, 112.6, 171.4. The procedure and [α]D were consistent with those reported [11]. 2: 1H-NMR: δ 1.34 (3H, s, CH3), 1.37 (3H, s, CH3), 1.45 (3H, s, CH3), 1.51 (3H, s, CH3), 2.47 (1H, dd, J2,2=15.2 Hz, J3,2=7.1 Hz, H2), 2.54 (1H, dd, J2,2=15.2 Hz, J3,2=7.7 Hz, H2), 3.71 (3H, s, OCH3), 3.79 (1H, dd, J7,6=7.7 Hz, J6,5=3.7 Hz, H6), 4.00 (1H, dd, J8,8=8.7 Hz, J8,7=4.4 Hz, H8), 4.08 (1H, dd, J8,8=8.7 Hz, J8,7=6.3 Hz, H8), 4.39 (1H, ddd, J7,6=7.7 Hz, J8,7=6.3 Hz, J8,7=4.4, H7), 4.49 (1H, dd, J3,2=7.7 Hz, J3,2=7.1 Hz, H3), 4.64 (1H, d, J5,4=6.0 Hz, H4), 4.81 (1H, dd, J5,4=6.0 Hz, J6,5=3.7 Hz, H5); 13C-NMR: δ 24.7, 25.2, 26.1, 27.0, 36.2, 51.9, 66.9, 73.3, 80.8, 80.9, 80.9, 84.9, 109.2, 112.9, 170.6. The procedure, m.p. and [α]d were consistent with those reported [11].
3,6-Anhydro-2-deoxy-4,5:7,8-di-O-isopropylidene-d-glycero-d-galacto-octitol (3): LiAlH4 (0.87 g, 23.0 mmol) was added at 0 oC to a solution of ester 1 (3.83 g, 12.1 mmol) in dry Et2O (70 mL). The reaction mixture was stirred at 0 oC for 15 min and then for 45 min at room temperature. The reaction was quenched by careful addition of water (3 mL) and the precipitate was removed by filtration. The filtrate was dried (Na2SO4) and concentrated under reduced pressure. The chromatography of the residue on silica gel (hexane-ethyl acetate, 2:1) afforded 3.03 g (88%) of alcohol 3 as a colorless oil; [α]d25 = -23 (c 0.49, CHCl3); 1H-NMR: δ 1.34 (3H, s, CH3), 1.38 (3H, s, CH3), 1.44 (3H, s, CH3), 1.48 (3H, s, CH3), 1.93 (1H, m, H2), 2.05 (1H, m, H2), 3.54 (1H, dd, J7,6=7.2 Hz, J6,5=3.7 Hz, H6), 3.70 (1H, ddd, J3,2=8.4 Hz, J3,2=5.1 Hz, J4,3=3.7 Hz, H3), 3.80 (2H, m, H1), 4.05 (1H, dd, J8,8=8.7 Hz, J8,7=4.8 Hz, H8), 4.09 (1H, dd, J8,8=8.7 Hz, J8,7=6.1 Hz, H8), 4.40 (1H, m, H7), 4.66 (1H, dd, J5,4=6.1 Hz, J4,3=3.7 Hz, H4), 4.76 (1H, dd, J5,4=6.1 Hz, J6,5=3.7 Hz, H5); 13C-NMR: δ 24.6, 25.3, 25.7, 26.9, 31.1, 60.4, 66.8, 73.1, 80.5, 80.6, 81.7, 81.7, 109.0, 112.4; Anal. Calcd for C14H24O6 (288.34): C 58.32, H 8.39; found C 58.54, H 8.66.
3,6-Anhydro-2-deoxy-4,5:7,8-di-O-isopropylidene-d-glycero-d-galacto-octose (4): To a solution of alcohol 3 (3.0 g, 10.5 mmol) in CH3CN (55 mL) was added IBX (4.41 g, 15.7 mmol). The resulting suspension was heated under reflux for 40 min. Then the reaction was cooled to room temperature and filtered through a medium glass frit. The filter cake was washed with further portions of acetonitrile (2 x 15 mL). The combined filtrates were concentrated under reduced pressure. The chromatography of the residue on silica gel (hexane-ethyl acetate, 3:1) afforded 2.73 g (93%) of aldehyde 4 as a colorless oil; [α]d25 = -12 (c 0.68, CHCl3); 1H-NMR: δ 1.32 (3H, s, CH3), 1.38 (3H, s, CH3), 1.45 (3H, s, CH3), 1.46 (3H, s, CH3), 2.87-2.89 (2H, m, H2), 3.55 (1H, dd, J7,6=7.4 Hz, J6,5=3.3 Hz, H6), 3.99 (1H, ddd, J3,2=6.4 Hz, J3,2=6.4 Hz, J4,3=3.3 Hz, H3), 4.03 (1H, dd, J8,8=8.7 Hz, J8,7=4.7 Hz, H8), 4.08 (1H, dd, J8,8=8.7 Hz, J8,7=6.2 Hz, H8), 4.39 (1H, ddd, J7,6=7.4 Hz, J8,7=6.2 Hz, J8,7=4.7 Hz, H7), 4.76 (1H, dd, J5,4=6.1 Hz, J4,3=3.3 Hz, H4), 4.79 (1H, dd, J5,4=6.1 Hz, J6,5=3.3 Hz, H5), 9.81 (1H, t, J=1.3 Hz, CHO); 13C-NMR: δ 24.5, 25.2, 25.6, 26.9, 42.8, 66.8, 73.0, 76.6, 80.6, 81.0, 81.6, 109.1, 112.6, 199.9; Anal. Calcd for C14H22O6 (286.33): C 58.73, H 7.74; found C 58.49, H 7.51.
Methyl 5,8-anhydro-2,3,4-trideoxy-6,7:9,10-di-O-isopropylidene-d-glycero-d-galacto-dec-2(E)-enoate (5): [(Methoxycarbonyl)methylidene]triphenylphosphorane (3.82 g, 11.4 mmol) was added to a solution of aldehyde 4 (2.73 g, 9.5 mmol) in dry CH2Cl2 (25 mL). The reaction mixture was stirred for 1.5 h at room temperature. The solvent was removed under reduced pressure and the residue was purified by chromatography on silica gel (hexane-ethyl acetate, 5:1) to afford 2.79 g (87%) of (E)-5 as a colorless oil; [α]d25 = -12 (c 0.34, CHCl3); 1H-NMR: δ 1.33 (3H, s, CH3), 1.38 (3H, s, CH3), 1.44 (3H, s, CH3), 1.48 (3H, s, CH3), 2.61 (2H, m, H4), 3.50 (1H, dd, J9,8=7.5 Hz, J8,7=3.6 Hz, H8), 3.59 (1H, ddd, J5,4=6.8 Hz, J5,4=6.8 Hz, J6,5=3.6 Hz, H5), 3.73 (3H, s, OCH3), 4.05 (1H, dd, J10,10=8.7 Hz, J10,9=4.8 Hz, H10), 4.09 (1H, dd, J10,10=8.7 Hz, J10,9=6.1 Hz, H10), 4.39 (1H, ddd, J9,8=7.5 Hz, J10,9=6.1 Hz, J10,9=4.8 Hz, H9), 4.63 (1H, dd, J7,6=6.1 Hz, J6,5=3.6 Hz, H6), 4.76 (1H, dd, J7,6=6.1 Hz, J8,7=3.6 Hz, H7), 5.94 (1H, ddd, J3,2=15.7 Hz, J4,2=1.5 Hz, J4,2=1.5 Hz, H2), 6.99 (1H, ddd, J3,2=15.7 Hz, J4,3=7.1 Hz, J4,3=7.1 Hz, H3); 13C-NMR: δ 24.6, 25.3, 25.7, 26.9, 31.4, 51.5, 66.9, 73.1, 80.3, 80.7, 81.1, 81.7, 109.1, 112.6, 123.0, 144.9, 166.8; Anal. Calcd for C17H26O7 (342.39): C 59.64, H 7.65; found C 59.73, H 7.79.
5,8-Anhydro-2,3,4-trideoxy-6,7:9,10-di-O-isopropylidene-d-glycero-d-galacto-dec-2(E)-enitol (6): To a solution of ester 5 (2.79 g, 8.15 mmol) in dry CH2Cl2 (37 mL) diisobutylaluminum hydride (24.6 mL of 1.2 M toluene solution) was added dropwise at -15 °C. The resulting mixture was stirred for 45 min at the same temperature and then quenched with methanol (6.2 mL). The mixture was allowed to warm to room temperature and poured into 30% aqueous K/Na tartrate (123 mL). After stirring for 30 min, the product was extracted with CH2Cl2 (3 x 37 mL). The combined organic layers were dried (Na2SO4) and the solvent evaporated under reduced pressure. Chromatography of the residue on silica gel (hexane-ethyl acetate, 1:1) afforded 2.34 g (91%) of allylic alcohol 6 as a colorless oil; [α]d25 = +22 (c 0.28, CHCl3); 1H-NMR: δ 1.34 (3H, s, CH3), 1.38 (3H, s, CH3), 1.45 (3H, s, CH3), 1.48 (3H, s, CH3), 2.47 (2H, m, H4), 3.48 (1H, m, H8), 3.52 (1H, m, H5), 4.05 (1H, dd, J10,10=8.7 Hz, J10,9=4.8 Hz, H10), 4.08 (1H, dd, J10,10=8.7 Hz, J10,9=6.0 Hz, H10), 4.11 (2H, m, H1), 4.40 (1H, ddd, J9,8=7.4 Hz, J10,9=6.0 Hz, J10,9=4.8 Hz, H9), 4.62 (1H, dd, J7,6=6.1 Hz, J6,5=3.6 Hz, H6), 4.74 (1H, dd, J7,6=6.1 Hz, J8,7=3.7 Hz, H7), 5.76 (2H, m, H2, H3); 13C-NMR: δ 24.7, 25.3, 25.8, 26.9, 31.2, 63.6, 66.9, 73.2, 80.7, 81.1, 81.5, 81.6, 109.0, 112.4, 128.2, 131.5; Anal. Calcd for C16H26O6 (314.38): C 61.13, H 8.34; found C 61.32, H 8.50.
5,8-Anhydro-1,2,3,4-tetradeoxy-6,7:9,10-di-O-isopropylidene-1-thiocyanato-d-glycero-d-galacto-dec-2(E)-enitol (7): To a solution of alcohol 6 (2.34 g, 7.44 mmol) in dry dichloromethane (26 mL) were added triethylamine (1.55 mL, 11.17 mmol) and CH3SO2Cl (0.69 mL, 8.93 mmol) at 0 oC. The mixture was stirred at 0 oC for 15 min and then further 45 min at room temperature. The solvent was evaporated under reduced pressure. The residue was diluted with diethyl ether (40 mL) and the solid was removed by filtration. The solvent was evaporated to afford the crude mesylate which was used in the subsequent reaction directly without further purification. To the crude mesylate dissolved in CH3CN (26 mL), KSCN (1.09 g, 11.17 mmol) was added. After stirring at room temperature for 1 h, the solvent was evaporated. The residue was diluted with diethyl ether (40 mL) and the solid was removed by filtration. Evaporation of the solvent and chromatography of the residue (hexane-ethyl acetate, 5:1) afforded 2.0 g (76%) of thiocyanate 7 as white crystals; m.p. 81–82 °C; [α]d25 = +23 (c 0.28, CHCl3); 1H-NMR: δ 1.34 (3H, s, CH3), 1.38 (3H, s, CH3), 1.44 (3H, s, CH3), 1.48 (3H, s, CH3), 2.50-2.54 (2H, m, H4), 3.49 (1H, dd, J9,8=7.5 Hz, J8,7=3.7 Hz, H8), 3.52-3.55 (3H, m, 2 x H1, H5), 4.05 (1H, dd, J10,10=8.7 Hz, J10,9=4.8 Hz, H10), 4.09 (1H, dd, J10,10=8.7 Hz, J10,9=6.1 Hz, H10), 4.39 (1H, ddd, J9,8=7.5 Hz, J10,9= 6.1 Hz, J10,9=4.8 Hz, H9), 4.67 (1H, dd, J7,6=6.1 Hz, J6,5=3.6 Hz, H6), 4.74 (1H, dd, J7,6=6.1 Hz, J8,7=3.7 Hz, H7), 5.70 (1H, m, H2), 5.87 (1H, m, H3); 13C-NMR: δ 24.6, 25.3, 25.8, 26.9, 31.4, 36.3, 66.9, 73.1, 80.7 81.0, 81.2, 81.6, 109.0, 111.9, 112.4, 124.9, 134.0; Anal. Calcd for C17H25NO5S (355.46): C 57.44, H 7.09, N 3.94; found C 57.61, H 7.28, N 4.04.
5,8-Anhydro-1,2,3,4-tetradeoxy-6,7:9,10-di-O-isopropylidene-3(S)-isothiocyanato-d-glycero-d-galacto-dec-1-enitol (8a) and 5,8-Anhydro-1,2,3,4-tetradeoxy-6,7:9,10-di-O-isopropylidene-3(R)-isothiocyanato-d-glycero-d-galacto-dec-1-enitol (8b): Conventional method for the preparation of 8a, 8b: A solution of thiocyanate 7 (1.80 g, 5.06 mmol) in dry n-heptane (30 mL) was heated at 90 oC for 6 h under nitrogen atmosphere. The solvent was evaporated under reduced pressure. The chromatography of the residue on silica gel (hexane-ethyl acetate, 9:1) afforded isothiocyanates 8a (0.75 g, 42%) and 8b (0.73 g, 41%).
Microwave-assisted synthesis of 8a, 8b: The (E)-thiocyanate 7 (20 mg, 0.056 mmol) was weighed in a 10 ml glass pressure microwave tube equipped with a magnetic stirrer bar. Dry n-heptane (0.4 mL) was added, the tube was closed with a silicon septum and the reaction mixture was subjected to microwave irradiation for 2 h (power: 150 W, temperature: 90 oC, pressure: 12 bar). The reaction mixture was allowed to cool to room temperature and transferred into a round bottom flask. The solvent was evaporated under reduced pressure. The chromatography of the residue on silica gel (hexane-ethyl acetate, 9:1) gave 0.16 mg (86%) of isothiocyanates 8a, 8b. Compound 8a: white crystals; m.p. 54-56 oC; [α]d25 = -19 (c 0.27, CHCl3); υmax (liquid film) 2033 (NCS) cm-1; 1H-NMR: δ 1.33 (3H, s, CH3), 1.38 (3H, s, CH3), 1.45 (3H, s, CH3), 1.46 (3H, s, CH3), 1.93 (1H, m, H4), 2.07 (1H, ddd, J4,4=14.3 Hz, J5,4=9.3 Hz, J4,3=3.7 Hz, H4), 3.54 (1H, dd, J9,8=7.6 Hz, J8,7=3.7 Hz, H8), 3.71 (1H, ddd, J5,4=9.3 Hz, J6,5=3.7 Hz, J5,4=3.5 Hz, H5), 4.06 (1H, dd, J10,10=8.7 Hz, J10,9=4.8 Hz, H10), 4.09 (1H, dd, J10,10=8.7 Hz, J10,9=6.0 Hz, H10), 4.39 (1H, ddd, J9,8=7.6 Hz, J10,9=6.0 Hz, J10,9=4.8 Hz, H9), 4.45 (1H, m, H3), 4.64 (1H, dd, J7,6=6.1 Hz, J6,5=3.7 Hz, H6), 4.78 (1H, dd, J7,6=6.1 Hz, J8,7=3.7 Hz, H7), 5.24 (1H, dd, J2,1cis=10.2 Hz, J3,1cis=1.4 Hz, H1cis), 5.39 (1H, dd, J2,1trans=16.9 Hz, J3,1trans=1.6 Hz, H1trans), 5.83 (1H, ddd, J2,1trans=16.9 Hz, J2,1cis=10.2 Hz, J3,2=5.4 Hz, H2); 13C-NMR: δ 24.5, 25.3, 25.7, 26.9, 35.3, 57.5, 66.9, 73.0, 78.1, 80.8, 81.5, 81.7, 109.2, 112.5, 116.5, 132.9, 135.2; Anal. Calcd for C17H25NO5S (355.46): C 57.44, H 7.09, N 3.94; found C 57.25, H 7.20, N 4.11. Compound 8b: a colorless oil; [α]d25 = -10 (c 0.41, CHCl3); υmax (liquid film) 2020 (NCS) cm-1; 1H-NMR: δ 1.33 (3H, s, CH3), 1.38 (3H, s, CH3), 1.44 (3H, s, CH3), 1.47 (3H, s, CH3), 2.03 (1H, m, H4), 2.16 (1H, m, H4), 3.49 (1H, dd, J9,8=7.6 Hz, J8,7=3.6 Hz, H8), 3.61 (1H, ddd, J5,4=7.4 Hz, J5,4=6.1 Hz, J6,5=3.7 Hz, H5), 4.05 (1H, dd, J10,10=8.8 Hz, J10,9=4.6 Hz, H10), 4.09 (1H, dd, J10,10=8.8 Hz, J10,9=6.2 Hz, H10), 4.36–4.41 (2H, m, H3, H9), 4.64 (1H, dd, J7,6=6.1 Hz, J6,5=3.7 Hz, H6), 4.77 (1H, dd, J7,6=6.1 Hz, J8,7=3.6 Hz, H7), 5.25 (1H, ddd, J2,1´cis=10.2 Hz, J3,1cis=1.1 Hz, J1cis,1trans=0.5 Hz, H1cis), 5.36 (1H, ddd, J2,1trans=16.8 Hz, J3,1trans=1.3 Hz, J1cis,1trans=0.5 Hz, H1trans), 5.81 (1H, ddd, J2,1trans=16.8 Hz, J2,1cis=10.2 Hz, J3,2=6.0 Hz, H2); 13C-NMR: δ 24.6, 25.2, 25.7, 27.0, 34.8, 57.3, 66.9, 73.0, 78.4, 80.7, 81.0, 81.7, 109.1, 112.6, 117.2, 132.7, 134.8; Anal. Calcd for C17H25NO5S (355.46): C 57.44, H 7.09, N 3.94; found C 57.62, H 6.94, N 3.88.
5,8-Anhydro-1,2,3,4-tetradeoxy-6,7:9,10-di-O-isopropylidene-3(S)-(methoxycarbonylamino)-d-glycero-d-galacto-dec-1-enitol (10a): To a solution of isothiocyanate 8a (0.54 g, 1.52 mmol) in dry methanol (15 mL) was added sodium methoxide (90 mg, 1.67 mmol). The reaction mixture was stirred for 3 h at room temperature under nitrogen atmosphere. The solvent was evaporated and the residue was partitioned between CH2Cl2 (25 mL) and water (7 mL). The organic layer was dried (Na2SO4) and the solvent was evaporated under reduced pressure to provide the crude thiourethane 9a which was used in the subsequent reaction directly without further purification. To a solution of 9a (436 mg, 1.12 mmol) in dry acetonitrile (10.8 mL) was added mesitonitrile oxide (218 mg, 1.35 mmol). The mixture was stirred at room temperature for 2 h under nitrogen atmosphere. The solvent was evaporated under reduced pressure. The chromatography of the residue (hexane-ethyl acetate, 3:1) gave 0.35 g (85%) of 10a as a colorless oil; 1H-NMR: δ 1.33 (3H, s, CH3), 1.38 (3H, s, CH3), 1.45 (3H, s, CH3), 1.47 (3H, s, CH3), 1.88 (1H, m, H4), 2.04 (1H, m, H4), 3.51 (1H, dd, J9,8=6.7 Hz, J8,7=3.7 Hz, H8), 3.63 (1H, m, H5), 3.66 (3H, s, CH3O), 4.05 (1H, dd, J10,10=8.7 Hz, J10,9=4.8 Hz, H10), 4.10 (1H, dd, J10,10=8.7 Hz, J10,9=6.2 Hz, H10), 4.36-4.41 (2H, m, H3, H9), 4.59 (1H, dd, J7,6=6.1 Hz, J6,5=3.7 Hz, H6), 4.72 (1H, dd, J7,6=6.1 Hz, J8,7=3.7 Hz, H7), 5.13 (1H, d, J2,1cis=10.4 Hz, H1cis), 5.20 (1H, d, J2,1trans=17.1 Hz, H1trans), 5.38 (1H, d, J3,NH=6.4 Hz, NH), 5.80 (1H, ddd, J2,1trans=17.1 Hz, J2,1cis=10.4 Hz, J3,2=5.1 Hz, H2); 13C- NMR: δ 24.5, 25.3, 25.7, 26.9, 32.6, 51.0, 52.0, 66.8, 73.1, 79.1, 80.5, 81.7, 81.8, 109.1, 112.5, 114.7, 138.2, 156.4; Anal. Calcd for C18H29NO7 (371.43): C 58.21, H 7.87, N 3.77; found C 58.46, H 7.61, N 3.92.
5,8-Anhydro-1,2,3,4-tetradeoxy-6,7:9,10-di-O-isopropylidene-3(R)-(methoxycarbonylamino)-d-glycero-d-galacto-dec-1-enitol (10b): To a solution of isothiocyanate 8b (416 mg, 1.17 mmol) in dry methanol (11.6 mL) was added sodium methoxide (69.5 mg, 1.29 mmol). The reaction mixture was stirred for 4 h at room temperature under nitrogen atmosphere. The solvent was evaporated and the residue was partitioned between CH2Cl2 (20 mL) and water (6 mL). The organic layer was dried (Na2SO4). The solvent was evaporated under reduced pressure to give the crude thiourethane 9b which was used in the subsequent reaction directly without further purification. To a solution of 9b (288 mg, 0.74 mmol) in dry acetonitrile (7 mL) was added mesitonitrile oxide (144 mg, 0.89 mmol). The mixture was stirred at room temperature for 2 h under nitrogen atmosphere. The solvent was evaporated under reduced pressure and the chromatography of the residue (hexane-ethyl acetate, 3:1) afforded 0.25 g (92%) of 10b as a colorless oil; 1H-NMR: δ 1.33 (3H, s, CH3), 1.37 (3H, s, CH3), 1.44 (3H, s, CH3), 1.47 (3H, s, CH3), 1.84 (1H, ddd, J4,4=14.2 Hz, J4,3=9.5 Hz, J5,4=6.5 Hz, H4), 2.00 (1H, m, H4), 3.47 (1H, dd, J9,8=7.5 Hz, J8,7=3.6 Hz, H8), 3.59 (1H, ddd, J5,4=6.5 Hz, J5,4=6.5 Hz, J6,5=3.6, H5), 3.67 (3H, s, CH3O), 4.03 (1H, dd, J10,10=8.7 Hz, J10,9=4.6 Hz, H10), 4.08 (1H, dd, J10,10=8.7 Hz, J10,9=6.2 Hz, H10), 4.29 (1H, m, H3), 4.38 (1H, ddd, J9,8=7.5 Hz, J10,9=6.2 Hz, J10,9=4.6 Hz, H9), 4.67 (1H, dd, J7,6=6.1 Hz, J6,5=3.6 Hz, H6), 4.73 (1H, dd, J7,6=6.1 Hz, J8,7=3.6 Hz, H7), 4.93 (1H, m, NH), 5.12 (1H, dd, J2,1cis=10.4 Hz, J3,1cis=1.3 Hz, H1cis), 5.21 (1H, dd, J2,1trans=17.0 Hz, J3,1trans=1.2 Hz, H1trans), 5.80 (1H, ddd, J2,1trans=17.0 Hz, J2,1cis=10.4 Hz, J3,2=5.6 Hz, H2); 13C-NMR: δ 24.6, 25.2, 25.8, 26.9, 33.7, 51.4, 52.1, 66.9, 73.1, 79.5, 80.6, 81.4, 81.7, 109.1, 112.4, 114.8, 138.5, 156.6; Anal. Calcd for C18H29NO7 (371.43): C 58.21, H 7.87, N 3.77; found C 58.05, H 7.54, N 3.53.
4,7-Anhydro-2,3-dideoxy-5,6:8,9-di-O-isopropylidene-2(S)-(methoxycarbonylamino)-d-glycero-d-galacto-nononic acid (12a): A solution of 10a (0.28 g, 0.76 mmol) in methanol (28 mL) was cooled to -78 oC. Ozone was then passed through the solution under vigorous stirring. The maximum time for the ozone treatment was 30 min. This resulted in the formation of a bluish solution. Dry nitrogen was passed through the cold solution in order to remove excess ozone. Ph3P (0.20 g, 0.76 mmol) and CH2Cl2 (11 mL) were added and the solution was allowed to warm up to room temperature while stirring was continued for 1.5 h. The solvent was removed under reduced pressure and the chromatography of the residue (hexane-ethyl acetate, 2:1) afforded 0.25 g (87%) of 11a as a colorless oil which was used immediately in the next step. 1H-NMR: δ 1.32 (3H, s, CH3), 1.38 (3H, s, CH3), 1.44 (3H, s, CH3), 1.47 (3H, s, CH3), 2.07-2.17 (1H, m, H3), 2.24 (1H, m, H3), 3.54 (1H, dd, J8,7=6.8 Hz, J7,6=3.7 Hz, H7), 3.62-3.68 (1H, m, H4), 3.70 (3H, s, CH3O), 4.03 (1H, dd, J9,9=8.7 Hz, J9,8=4.8 Hz, H9), 4.08 (1H, dd, J9,9=8.7 Hz, J9,8=6.3 Hz, H9), 4.32-4.40 (2H, m, H2, H8), 4.60 (1H, dd, J6,5=6.1 Hz, J5,4=3.7 Hz, H5), 4.74 (1H, dd, J6,5=6.1 Hz, J7,6=3.7 Hz, H6), 5.77 (1H, m, NH), 9.64 (1H, bs, CH=O). A solution of NaClO2 (80%, 0.57 g, 6.3 mmol) and NaH2PO4 (0.71 g, 4.5 mmol) in 3.8 mL of water was added dropwise to a solution of aldehyde 11a (0.25 g, 0.68 mmol) in acetonitrile/tert-butyl alcohol/2-methyl-2-butene (15 mL, 4:4:1) at 0 oC over 5 min and stirred at the same temperature for 35 min. The reaction mixture was poured into brine (12 mL) and extracted with ethyl acetate (2 x 25 mL). The combined organic layers were dried (Na2SO4). The solvent was removed under reduced pressure and chromatography of the residue on silica gel (hexane-ethyl acetate, 1:2) afforded 0.20 g (74%) of carboxylic acid 12a as a colorless oil; [α]d25 = -33 (c 0.12, CHCl3); 1H-NMR: δ 1.31 (3H, s, CH3), 1.37 (3H, s, CH3), 1.44 (3H, s, CH3), 1.45 (1H, s, CH3), 2.18-2.26 (2H, m, H3), 3.51 (1H, dd, J8,7=6.8 Hz, J7,6=3.6 Hz, H7), 3.62-3.66 (4H, m, H4, CH3O), 4.02-4.08 (2H, m, H9), 4.37 (1H, ddd, J8,7=6.8 Hz, J9,8=6.1 Hz, J9,8=4.8 Hz, H8), 4.48 (1H, m, H2), 4.59 (1H, dd, J6,5=6.1 Hz, J5,4=3.7 Hz, H5), 4.70 (1H, dd, J6,5=6.1 Hz, J7,6=3.6 Hz, H6), 5.76 (1H, d, J2,NH=7.9 Hz, NH); 13C-NMR: δ 24.6, 25.3, 25.7, 26.9, 30.9, 52.1, 52.3, 66.7, 73.1, 80.0, 2 x 81.0, 81.6, 109.2, 112.5, 156.7, 171.2; Anal. Calcd for C17H27NO9 (389.40): C 52.44, H 6.99, N 3.60; found C 52.10, H 7.00, N 3.41.
4,7-Anhydro-2,3-dideoxy-5,6:8,9-di-O-isopropylidene-2(R)-(methoxycarbonylamino)-d-glycero-d-galacto-nononic acid (12b): A solution of 10b (185 mg, 0.498 mmol) in methanol (18 mL) was cooled to -78 oC. Ozone was then passed through the solution under vigorous stirring. The maximum time for the ozone treatment was 30 min. This resulted in the formation of a bluish solution. Dry nitrogen was passed through the cold solution in order to remove excess ozone. Ph3P (0.13 g, 0.498 mmol) and CH2Cl2 (7 mL) were added and the solution was allowed to warm up to room temperature while stirring was continued for 1.5 h. The solvent was removed under reduced pressure and the chromatography of the residue (hexane-ethyl acetate, 2:1) gave 0.16 g (88%) of aldehyde 11b as a colorless oil which was used immediately in the next step. 1H-NMR: δ 1.33 (3H, s, CH3), 1.36 (3H, s, CH3), 1.43 (3H, s, CH3), 1.48 (3H, s, CH3), 2.11-2.21 (1H, m, H3), 2.26-2.36 (1H, m, H3), 3.48 (1H, dd, J8,7=7.0 Hz, J7,6=3.6 Hz, H7), 3.62-3.67 (1H, m, H4), 3.70 (3H, s, CH3O), 3.94 (1H, dd, J9,9=8.7 Hz, J9,8=4.8 Hz, H9), 4.04 (1H, dd, J9,9=8.7 Hz, J9,8=6.2 Hz, H9), 4.32-4.36 (2H, m, H2, H8), 4.68 (1H, dd, J6,5=6.1 Hz, J5,4= 3.5 Hz, H5), 4.74 (1H, dd, J6,5=6.1 Hz, J7,6=3.6 Hz, H6), 5.63 (1H, m, NH), 9.52 (1H, bs, CH=O). A solution of NaClO2 (80%, 0.37 g, 4.1 mmol) and NaH2PO4 (0.46 g, 2.9 mmol) in 2.5 mL of water was added dropwise to a solution of aldehyde 11b (0.16 g, 0.43 mmol) in acetonitrile/tert-butyl alcohol/2-methyl-2-butene (10 mL, 4:4:1) at 0 oC over 5 min and stirred at the same temperature for 45 min. The reaction mixture was poured into brine (8 mL) and extracted with ethyl acetate (2 x 16 mL). The combined organic layers were dried (Na2SO4). The solvent was removed under reduced pressure and the chromatography of the residue on silica gel (hexane-ethyl acetate, 1:2) gave 0.12 g (73%) of carboxylic acid 12b as a white viscous oil; [α]d25 = -7 (c 0.49, CHCl3); 1H-NMR: δ 1.32 (3H, s, CH3), 1.35 (3H, s, CH3), 1.42 (3H, s, CH3), 1.45 (3H, s, CH3), 2.05-2.13 (1H, m, H3), 2.29-2.36 (1H, m, H3), 3.44 (1H, m, H7), 3.60-3.63 (1H, m, H4), 3.65 (3H, s, CH3O), 3.98-4.04 (2H, m, H9), 4.34 (1H, ddd, J8,7=7.3 Hz, J9,8=6.2 Hz, J9,8=5.4 Hz, H8), 4.39-4.40 (1H, m, H2), 4.70 (2H, m, H5, H6), 5.61 (1H, d, J2,NH=7.1 Hz, NH); 13C-NMR: δ 24.7, 25.3, 25.8, 26.9, 31.4, 51.9, 52.1, 66.8, 73.1, 80.7, 2 x 81.4, 81.6, 109.0, 112.4, 156.7, 173.4; Anal. Calcd for C17H27NO9 (389.40): C 52.44, H 6.99, N 3.60; found C 52.68, H 7.03, N 3.82.
Crystal structure determination of 8a
A single crystal of 8a suitable for X-ray structure analysis was prepared by growth under slow evaporation of a mixture of diethyl ether and hexane at room temperature in a form of the colorless prisms. The intensities were collected at 295 K on a diffractometer Oxford Diffraction Gemini R CCD using Mo-Kα radiation (0.71073 Å). Details of crystal data, data collection and refinement parameters are given in Table 1.
Table 1.
Crystal and experimental data for compound 8a
| Empirical formula | C17 H25 N1O5 S1 |
| Formula weight | 355.46 |
| Temperature, T (K) | 100 K |
| Wavelength, λ (Å) | 0.71093 |
| Crystal system | Trigonal |
| Space group | P3121 |
| Unit cell dimensions(Å) | a = 10.4026(2) γ = 120° |
| b = 10.4026(2) | |
| c = 30.8227(5) | |
| Unit-cell volume, V (Å3) | 2889(1) |
| Formula units per unit cell, Z | 6 |
| Calculated density, Dx (g cm-3) | 1.233 |
| Absorption coefficient, μ (mm-1) | 0.192 |
| F(000) | 744 |
| Crystal size (mm) | 0.630 x 0.085 x 0.050 |
| Theta range for data collection, (°) | 3.00 - 29.47 |
| Index ranges | -12 ≤ h ≤ 12, -12 ≤ k ≤ 12, -38 ≤ l ≤ 38 |
| Independent reflections [I>2σ(I)] | 3483 (Rint = 0.048) |
| Absorption correction | Empiric Psi-scan |
| Max. and min. transmission | 0.927 and 0.966 |
| Refinement method | Full-matrix least-squares on F2 |
| Data / parameters | 3922 / 263 |
| Goodness-of-fit (all) | 1.09 |
| Final R indices [I>2σ(I)] | R1 = 0.0480, wR2 = 0.0119 |
| R indices (all data) | R1 = 0.0527, wR2 = 0.1212 |
| Largest diff. peak and hole | 0.33 and -0.37 (e Å-3) |
The structure was solved by direct methods [16]. All non-hydrogen atoms were refined anisotropically by full-matrix least-squares calculations based on F2 [16]. The hydrogen atoms bonded to nitrogen atoms were found in a difference Fourier map and their coordinates and isotropic thermal parameters have been refined freely. All other hydrogen atoms were included in calculated positions as riding atoms, with SHELXL97 [16] defaults. PLATON [17] program was used for structure analysis and molecular and crystal structure drawings preparation. The following crystal structure has been deposited at the Cambridge Crystallographic Data Centre and allocated the deposition number CCDC 697340. These data can be obtained free of charge via www.ccdc.cam.ac.uk/data_request/cif, by emailing data_request@ccdc.cam.ac.uk, or by contacting The Cambridge Crystallographic Data Centre, 12, Union Road, Cambridge CB2 1EZ, UK; fax: +44 1223 336033.
Acknowledgements
The present work was supported by the Grant Agency (No. 1/0281/08, No. 1/3557/06, No. 1/0817/08) of the Ministry of Education, the Research and Development Support Agency (APVV No. 20-038405), Slovak Republic and COST Action D32/011/05 Chemistry in High-Energy Microenvironments.
References
- Dwek, R. A. Glycobiology: Toward Understanding the Function of Sugars. Chem. Rev. 1996, 96, 683–720. [Google Scholar]
- Dondoni, A.; Marra, A. Methods for Anomeric Carbon-Linked and Fused Sugar Amino Acid Synthesis: To Gateway to Artificial Glycopeptides. Chem. Rev. 2000, 100, 4395–4421. [Google Scholar] and references cited therein.
- Gruner, S. A. W.; Locardi, E.; Lohof, E.; Kessler, H. Carbohydrate-Based Mimetics in Drug Design: Sugar Amino Acids and Carbohydrate Scaffolds. Chem. Rev. 2002, 102, 491–514. [Google Scholar] [CrossRef] and references cited therein.
- Schweizer, F. Glycosamino Acids: Building Blocks for Combinatorial Synthesis-Implications for Drug Discovery. Angew. Chem. Int. Ed. 2002, 41, 230–253. [Google Scholar] [CrossRef]
- Risseeuw, M. D. P.; Overhand, M.; Fleet, G. W. J.; Simone, M. I. A compendium of sugar amino acids (SAA): scaffolds, peptide- and glyco-mimetics. Tetrahedron Asymmetry 2007, 18, 2001–2010, and references cited therein. [Google Scholar] [CrossRef]
- McGarvey, G. J.; Benedum, T. E.; Schmidtmann, F. W. Development of Co- and Post-Translational Synthetic Strategies to C-Neoglycopeptides. Org. Lett. 2002, 4, 3591–3594. [Google Scholar] [CrossRef]
- Colombo, L.; Giacomo, M.; Ciceri, P. Practical stereoselective synthesis of α-d-C-mannosyl-(R)-alanine. Tetrahedron 2002, 58, 9381–9386. [Google Scholar] [CrossRef]
- Chambers, D. J.; Evans, G. R.; Fairbanks, A. J. Synthesis of C-gycosyl amino acids: scope and limitations of tandemTebbe/Claisen approach. Tetrahedron Asymmetry 2005, 16, 45–55. [Google Scholar] [CrossRef]
- Schmidtmann, F. W.; Benedum, T. E.; McGarvey, G. J. The preparation of C-glycosyl amino acids - an examination of olefin cross-metathesis. Tetrahedron Lett. 2005, 46, 4677–4681. [Google Scholar] [CrossRef]
- Yayakanthan, K.; Vankar, Y. D. Hybrid sugars as glycosidase inhibitors en route to 2-deoxy-2-amino C-glycosyl amino acids. Tetrahedron Lett. 2006, 47, 8667–8671. [Google Scholar] [CrossRef]
- Shing, T. K. M.; Tsui, H.-C. Enantiospecific Syntheses of (3S,4R)- and (3S,4R,7S)-Diastereoisomers of Goniofufurone. Tetrahedron Asymmetry 1994, 5, 1269–1274. [Google Scholar] [CrossRef]
- Martinková, M.; Gonda, J.; Raschmanová, J. Novel Furanoid α-Substituted α-Amino Acid as a Potent Turn Mimic in Peptide Synthesis. Molecules 2006, 11, 564. [Google Scholar] [CrossRef]
- Gonda, J.; Martinková, M.; Raschmanová, J.; Balentová, E. Creation of quarternary stereocentres via [3,3]-sigmatropic rearrangement of allylic thiocyanates. A synthetic approach to (+)-myriocin. Tetrahedron Asymmetry 2006, 17, 1875–1882. [Google Scholar] [CrossRef]
- More, J. D.; Finney, N. A simple and Advantageous Protocol for the Oxidation of Alcohols with o-Iodoxybenzoic Acid. Org. Lett. 2002, 4, 3001–3003. [Google Scholar] [CrossRef]
- Kniežo, L.; Bernát, J.; Martinková, M. Synthesis of 2-Isothiocyanatotetrahydropyran and Its Reactions with Amines and Alcohols. Chem. Pap. 1994, 48, 103–107. [Google Scholar]
- Sheldrick, G. M. A short history of SHELX. Acta Crystallogr. 2008, A64, 112–122. [Google Scholar] [CrossRef]
- Spek, A. L. Single-crystal structure validation with the program PLATON. J. Appl. Crystallogr. 2003, 36, 7–13. [Google Scholar] [CrossRef]
- Sample Availability: Samples of the compounds 7, 8a and 8b are available from the authors.
© 2008 by the authors. Licensee Molecular Diversity Preservation International, Basel, Switzerland. This article is an open-access article distributed under the terms and conditions of the Creative Commons Attribution license ( http://creativecommons.org/licenses/by/3.0/).