Effects of Two Terpene Alcohols on the Antibacterial Activity and the Mode of Action of Farnesol against Staphylococcus aureus
Abstract
:Introduction
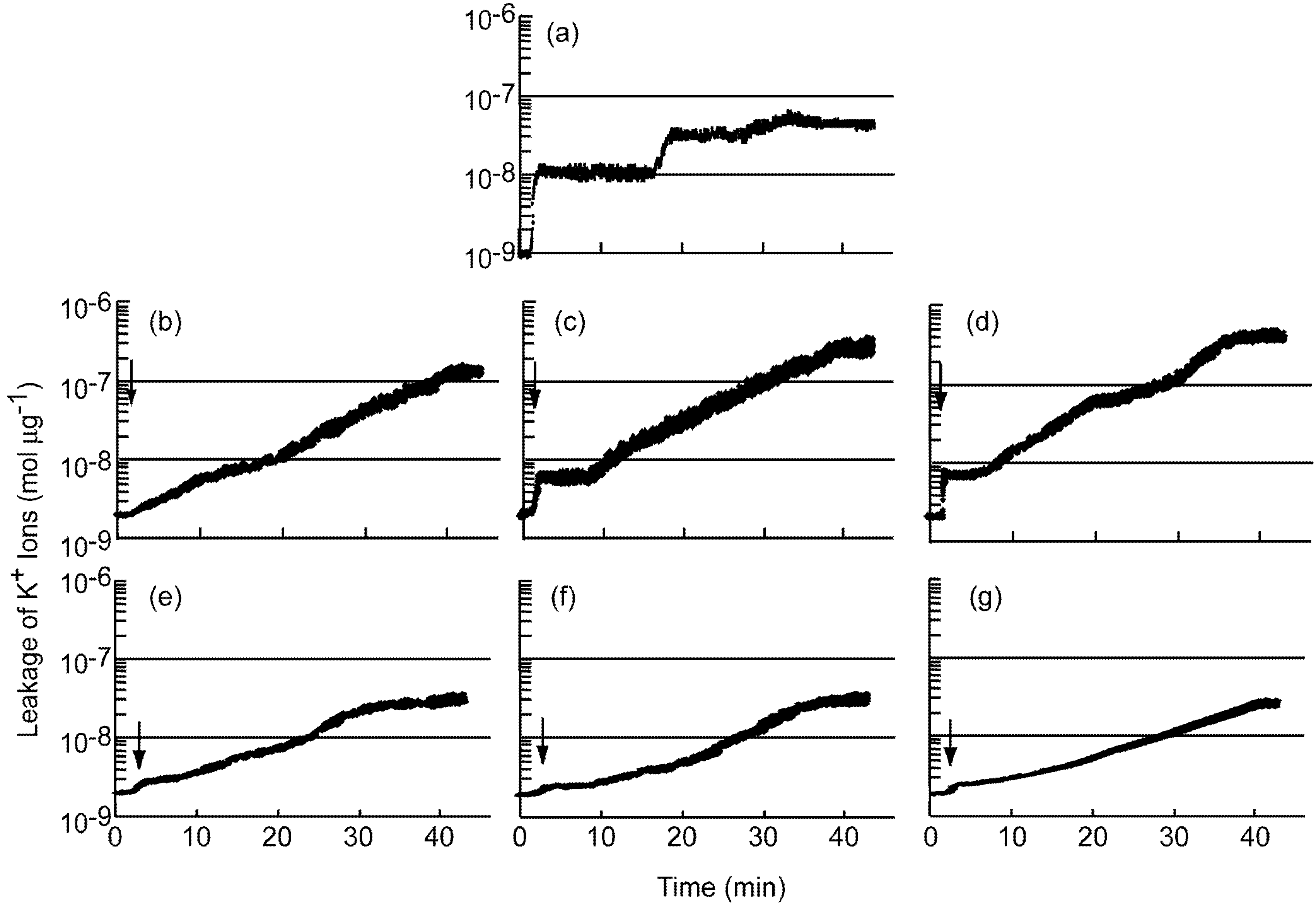
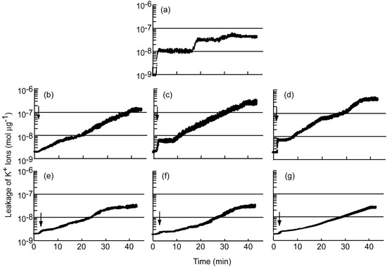
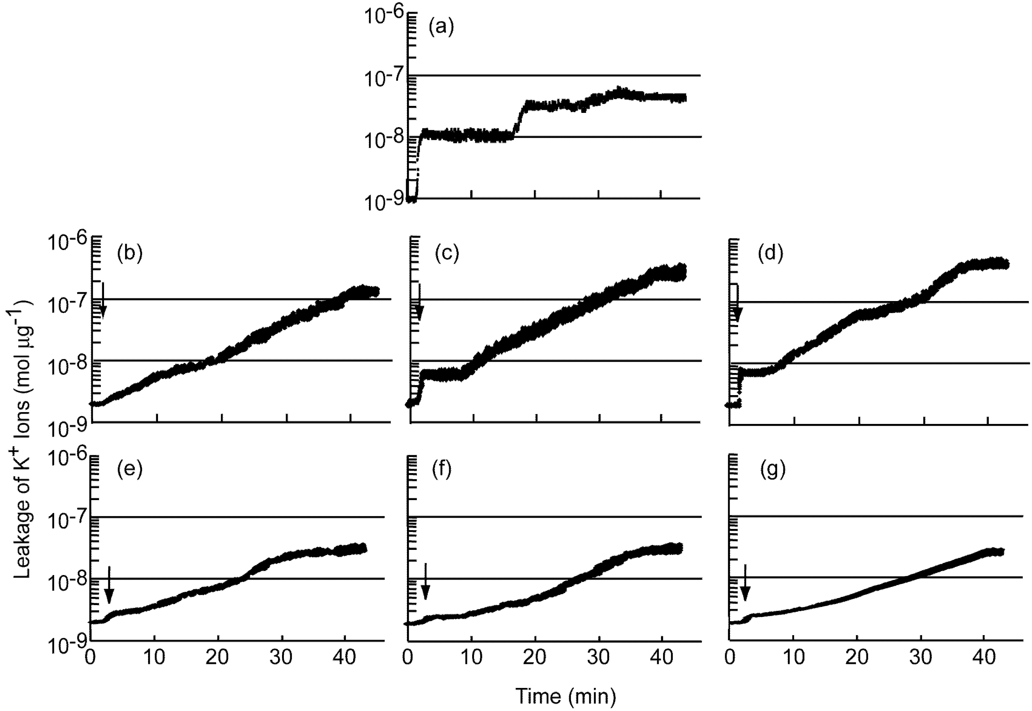
Results and Discussion


| Terpene | Ratioa | DPb (h) | Leakage of K+ ionsc)(x 10-9 mol μg-1) | Initial rate alcohol of leakagec) (x 10-10 mol μg-1 sec-1) |
|---|---|---|---|---|
| Farnesol + geraniol | 1 : 0 | 13.8 | 267 | 8.8 |
| 1 : 1 | 13.5 | 271 | 11.1 | |
| 1 : 2 | 14.5 | 395 | 13.2 | |
| 1 : 4 | 16.3 | 186 | 3.1 | |
| 1 : 8 | 29.0 | 173 | 2.4 | |
| 1 :16 | 43.7 | N.T. d | N.T. d | |
| Farnesol+geranylgeraniol | 1 : 0 | 13.8 | 267 | 8.8 |
| 1 : 1 | 17.2 | 28 | 1.1 | |
| 1 : 2 | 14.3 | 27 | 0.8 | |
| 1 : 4 | 11.3 | 33 | 0.8 | |
| 1 : 8 | 7.7 | 15 | 0.3 | |
| 1 :16 | 6.3 | N.T.d | N.T.d |

Experimental
Reagents and microorganism
“Broth dilution with shaking” (BDS) method
Quantitation of leakage of K+ ions
References
- Kabara, J.J. Cosmetic Science and Technology Series; Jungermann, E., Ed.; Marcel Dekker, Inc.: New York, USA, 1984; Vol. 1, Part IV; p. 237. [Google Scholar]
- Carson, C.F.; Riley, T.V. Antimicrobial activity of the major components of the essential oil of Melaleuca alternifolia. J. Appl. Bacteriol. 1995, 78, 264–269. [Google Scholar] [CrossRef]
- Hammer, K.A.; Carson, C.F.; Riley, T.V. Susceptibility of transient and commensal skin flora to the essential oil of Melaleuca alternifolia (tea tree oil). Am. J. Infect. Control 1996, 24, 186–189. [Google Scholar] [CrossRef]
- Hart, P.H.; Brand, C.; Carson, C.F.; Riley, T.V.; Prager, R.H.; Finlay-Jones, J.J. Terpinen-4-ol, the main component of the essential oil of Melaleuca alternifolia (tea tree oil), suppresses inflammatory mediator production by activated human monocyte. Inflamm. Res. 2000, 49, 619–626. [Google Scholar] [CrossRef]
- Brand, C.; Grimbaldeston, M.A.; Gamble, J.R.; Drew, J.; Finlay-Jones, J. J.; Hart, P. H. Tea tree oil reduces the swelling associated with the efferent phase of a contact hypersensitivity response. Inflamm. Res. 2002, 51, 236–244. [Google Scholar] [CrossRef]
- Hammer, K.A.; Carson, C.F.; Riley, T.V. In vitro activity of Melaleuca alternifolia (tea tree) oil against dermatophytes and other filamentous fungi. J. Antimicrob. Chemother. 2002, 50, 195–199. [Google Scholar] [CrossRef]
- Carson, C.F.; Mee, B.J.; Riley, T.V. Mechanism of action of Melaleuca alternifolia (tea tree) oil on Staphylococcus aureus determined by time-kill, lysis, leakage, and salt tolerance assay and electron microscopy. Antimicrob. Agents Chemother. 2002, 46, 1914–1920. [Google Scholar] [CrossRef]
- Cox, S.D.; Gustafson, J.E.; Mann, C.M.; Markham, J.L.; Liew, Y.C.; Hartland, R.P.; Bell, H.C.; Warmington, J.R.; Wyllie, S.G. Tea tree oil causes K+ leakage and inhibits respiration in Escherichia coli. Lett. Appl. Microbiol. 1998, 26, 355–358. [Google Scholar]
- Cox, S.D.; Mann, C.M.; Markham, J.L.; Gustafson, J.E.; Warmington, J.R.; Wyllie, S.G. Determination the antimicrobial actions of tea tree oil. Molecules 2001, 6, 87–91. [Google Scholar] [CrossRef]
- Inoue, Y.; Shiraishi, A.; Hada, T.; Hamashima, H.; Shimada, J. The antibacterial effects of myrcene on Staphylococcus aureus and its role in the essential oil of the tea tree (Melaleuca alternifolia). Nat. Med. 2004, 58, 10–14. [Google Scholar]
- Arai, T.; Hamashima, H.; Sasatsu, M. Inhibitory effects of fatty acids, purified camellia oil and olive oil on the growth of Staphylococcus aureus. Jpn. J. Chemother. 1996, 44, 786–791. [Google Scholar]
- Akimoto, Y.; Hamashima, H.; Sasatsu, M.; Arai, T.; Murakami, F.; Mizuguchi, M. The inhibitory effect of camellia oil on the growth of Staphylococcus aureus isolated from patients with atopic dermatitis. Jpn. J. Chemother. 1998, 46, 12–16. [Google Scholar]
- Matsumoto, Y.; Hamashima, H.; Masuda, K.; Shiojima, K.; Sasatsu, M.; Arai, T. The antibacterial activity of plaunotol against Staphylococcus aureus isolated from the skin of patients with atopic dermatitis. Microbios 1998, 96, 149–155. [Google Scholar]
- Hada, T.; Furuse, S.; Matsumoto, Y.; Hamashima, H.; Masuda, K.; Shiojima, K.; Arai, T.; Sasatsu, M. Comparison of the effects in vitro of tea tree oil and plaunotol on methicillin-susceptible and methicillin-resistant strains of Staphylococcus aureus. Microbios 2001, 106, 133–141. [Google Scholar]
- Hada, T.; Shiraishi, A.; Furuse, S.; Inoue, Y.; Hamashima, H.; Matsumoto, Y.; Masuda, K.; Shiojima, K.; Shimada, J. Inhibitory effects of terpenes on the growth of Staphylococcus aureus. Nat. Med. 2003, 57, 64–67. [Google Scholar]
- Inoue, Y.; Shiraishi, A.; Hada, T.; Hirose, K.; Hamashima, H.; Shimada, J. The antibacterial effects of terpene alcohols on Staphylococcus aureus and their mode of action. FEMS Microbiol. Lett. 2004, 237, 325–331. [Google Scholar]
- Inoue, Y.; Hada, T.; Shiraishi, A.; Hirose, K.; Hamashima, H.; Kobayashi, S. Biphasic effects of geranylgeraniol, teprenone, and phytol on the growth of Staphylococcus aureus. Antimicrob. Agents Chemother. 2005, 49, 1770–1774. [Google Scholar] [CrossRef]
- Katsu, T.; Kobayashi, H.; Fujita, Y. Mode of action of gramicidin S on Escherichia coli membrane. Biochim. Biophys. Acta 1986, 860, 608–619. [Google Scholar] [CrossRef]
- Hada, T.; Inoue, Y.; Shiraishi, A.; Hamashima, H. Leakage of K + ions from Staphylococcus aureus in response to tea tree oil. J. Microbiol. Methods 2003, 53, 309–312. [Google Scholar] [CrossRef]
- Bradford, M.M. A rapid and sensitive method for the quantitation of microgram quantities of protein utilizing the principle of protein-dye binding. Anal. Biochem. 1976, 72, 248–54. [Google Scholar] [CrossRef]
- Sample Availability: Not available.
© 2008 by the authors. Licensee Molecular Diversity Preservation International, Basel, Switzerland. This article is an open-access article distributed under the terms and conditions of the Creative Commons Attribution license ( http://creativecommons.org/licenses/by/3.0/).
Share and Cite
Togashi, N.; Inoue, Y.; Hamashima, H.; Takano, A. Effects of Two Terpene Alcohols on the Antibacterial Activity and the Mode of Action of Farnesol against Staphylococcus aureus. Molecules 2008, 13, 3069-3076. https://doi.org/10.3390/molecules13123069
Togashi N, Inoue Y, Hamashima H, Takano A. Effects of Two Terpene Alcohols on the Antibacterial Activity and the Mode of Action of Farnesol against Staphylococcus aureus. Molecules. 2008; 13(12):3069-3076. https://doi.org/10.3390/molecules13123069
Chicago/Turabian StyleTogashi, Naoko, Yoshihiro Inoue, Hajime Hamashima, and Akihito Takano. 2008. "Effects of Two Terpene Alcohols on the Antibacterial Activity and the Mode of Action of Farnesol against Staphylococcus aureus" Molecules 13, no. 12: 3069-3076. https://doi.org/10.3390/molecules13123069
APA StyleTogashi, N., Inoue, Y., Hamashima, H., & Takano, A. (2008). Effects of Two Terpene Alcohols on the Antibacterial Activity and the Mode of Action of Farnesol against Staphylococcus aureus. Molecules, 13(12), 3069-3076. https://doi.org/10.3390/molecules13123069
