Next Article in Journal
The Synthesis and Natural Distribution of the Major Ketone Constituents in Echinacea pallida
Previous Article in Journal
Volatile Chemical Constituents of Piper aduncum L and Piper gibbilimbum C. DC (Piperaceae) from Papua New Guinea
 
 
Font Type:
Arial Georgia Verdana
Font Size:
Aa Aa Aa
Line Spacing:
Column Width:
Background:
Article

Functionalisation of Artemisinin and Its Ring-contracted Derivatives

by
Tine Van Neck
,
Sarah Van Mierloo
and
Wim Dehaen
*
Department of Chemistry, University of Leuven, Celestijnenlaan 200F B-3001 Leuven, Belgium
*
Author to whom correspondence should be addressed.
Molecules 2007, 12(3), 395-405; https://doi.org/10.3390/12030395
Submission received: 1 March 2007 / Revised: 8 March 2007 / Accepted: 8 March 2007 / Published: 9 March 2007

Abstract

:
Isoxazoline analogues of artemisinin were obtained in low yield and low diastereoselectivity from the 1,3-dipolar cycloaddition of nitrile oxides. Alternatively, starting from the aldehyde 7, a number of transformations - Wittig reaction and reduction, Henry reaction and cyanohydrin formation - were achieved in significantly higher yields. In the cases where a new stereocenter was introduced this occured diastereoselectively.

Introduction

Artemisinin (1, qinghaosu, arteannuin) is a potent antimalarial agent with an interesting trioxane sesquiterpene structure, and has been isolated from the plant Artemisia annua. This plant has been used in Traditional Chinese Medicine for nearly 2000 years as a cure for malaria. Great efforts have been focused on chemical modifications of the artemisinin structure in order to improve the biological activity. Semisynthetic analogues of 1, such as the lactol dihydroartemisinin (2) and its ether derivatives β-artemether (3), β-arteether (4) and sodium artesunate (5) have received significant attention in this context [1].
Molecules 12 00395 i001
One problem is the metabolic instability of the ethers 3-5 and their analogs, that undergo fast transformation into the neurotoxic 2. We propose a synthetic exploration of the known carbon-connected artemisinin derivatives 6 [2] and 7 [3] to prepare a variety of derivatives by 1,3-dipolar cycloaddition or other reactions.
Molecules 12 00395 i002

Results and Discussion

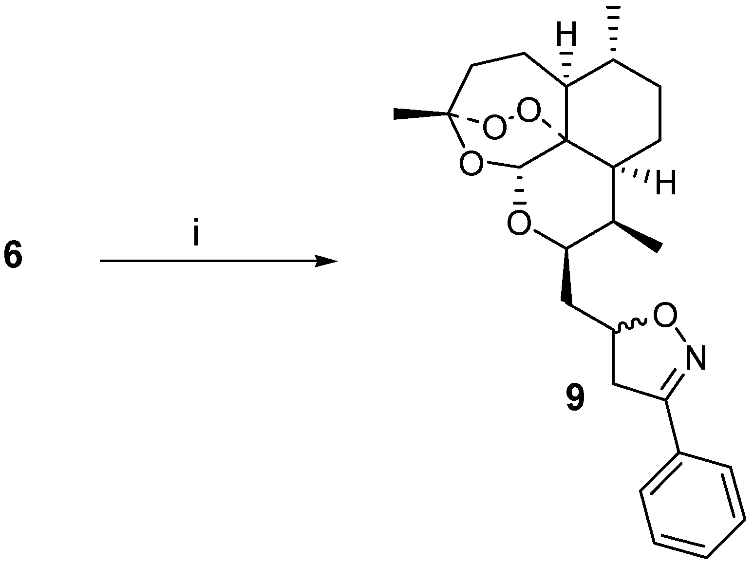
The β-allyl derivative 6 was prepared in good yield starting from the benzoate of 2 using the literature procedure [2]. The dehydrodeoxy analog 8 was formed at the same time as a side product (10 %). The acetate analog of 2, in comparison, gave much less of the desired 6, vinyl ether 8 being the major product (50 %). Compound 6 was then used as a dipolarophile in combination with in situ generated [4] benzonitrile oxide. A cycloadduct 9 was isolated in 29 % yield after careful chromatography, and from NMR-analysis it was found to be a 60:40 mixture of diastereoisomers (stereochemistry not assigned) (Scheme 1). The vinyl ether 8, when combined with benzonitrile oxide under the same conditions, did not afford an isoxazoline adduct, but rather the starting material was recovered.
Scheme 1.
Scheme 1.
Molecules 12 00395 g001
i) PhCH=NOH, NaOCl, Et3N, CH2Cl2, RT
In view of the low yield of isoxazoline 9, the lack of diastereoselectivity and the fact that 6 has been previously and extensively used by others [5] to prepare carbon-connected artemisinin derivatives, we decided to shift our attention to the ring-contracted artemisinin derivative 7. This compound is readily available starting from the dehydro analog 8 by treatment with iodine and rearrangement in polar medium [3]. In the first step we converted this aldehyde 7 into the oxime derivative 10. This oxime 10 was then used to generate the nitrile oxide intermediate in the presence of excess styrene, affording 1,3-dipolar cycloadduct 11 in 40 % yield as a 1:1 mixture of diastereo-isomers. The diastereomer issue could be avoided when phenylacetylene was used as the dipolarophile. In this case, 21 % of the isoxazole 12 was obtained. The reaction is sensitive to steric hindrance. For instance, use of cyclohexene as the dipolarophile did not lead to the isolation of a cycloadduct and rather a mixture of unidentified compounds was formed (Scheme 2)
Scheme 2.
Scheme 2.
Molecules 12 00395 g002
i) styrene (10 eq.), NaOCl, Et3N, CH2Cl2;
ii) phenylacetylene (10 eq.), NaOCl, Et3N, CH2Cl2
We decided to use the aldehyde 7 to introduce synthetic diversity, extending the functional group away from the artemisinin moiety, as a possible way to increase the reactivity. The Wittig reaction of 7 with benzylidene triphenylphosphorane gave a good yield of the corresponding (E-)-styrene derivative13. Analogously, Wittig reaction of 7 gave the (E)-acrylate ester 14. Remarkably, 14 could be catalytically reduced to the propanol derivative 15 in 74 % yield without cleavage of the peroxide bridge. A reaction time of 12h was optimal and longer reaction times resulted in partial decomposition. (Scheme 3)
Scheme 3.
Scheme 3.
Molecules 12 00395 g003
i) PhCH2PPh3Br, BuLi, THF, reflux ; ii) EtOOCCH=PPh3, RT, THF, overnight;
iii) Pd/C (5%), H2, THF, RT, 12h
The methanol analogue 16 was prepared from 7 by reduction with excess sodium borohydride. Similar reactions were carried out by Venugopalan on the epimer [6]. Reaction of 16 with phenyl isocyanate and allyl isothiocyanate resulted in the formation of the urea derivative 17 or thiourea derivative 18, respectively. Reductive amination of 7 with 4-methylaniline afforded a good yield of the secondary aniline 19. Oxidation of 7, on the other hand, gave the carboxylic acid 20. All reactions leading to 16-20 occurred in good yields (53-84 %) (Scheme 4).
Scheme 4.
Scheme 4.
Molecules 12 00395 g004
i) NaBH4 (4eq.), methanol, 0°C, 1h; ii) phenyl isocyanate, pyridine, RT, 14 h; iii) allyl isothiocyanate, pyridine, 60°C, 14h; iv) 4-methylaniline (4eq.), NaBH4 (4eq.), methanol, RT, 30 min.; v) aminosulfonic acid (4 eq.), sodium chlorite (4 eq.), water/dioxane, RT, 30 min.
Finally, we studied nucleophilic additions to aldehyde 7 as a way to introduce synthetic diversity. Earlier trifluoromethyl and enolate anions had been used [3] to prepare ketone derivatives of 7. We reacted nitromethane and base with 7 to obtain the nitroaldol 21 in 67 % yield. Analogously, cyanide could be used as the nucleophile in the presence or absence of ammonia, affording aminoacetonitrile 22 or cyanohydrin 23 in 78 and 83 % yields, respectively. Only one of two possible diastereoisomers is obtained for 21-23, but the absolute stereochemistry of the new stereocenters has not yet been determined (Scheme 5).
Scheme 5.
Scheme 5.
Molecules 12 00395 g005
i) nitromethane (4 eq.), NaOMe (excess), ethanol, 0°C, 18h; ii) NaCN (5 eq.), NH4Cl, methanol/water, 45°C, 2h; iii) KCN (4 eq.), methanol, acetic acid, 18h, RT

Conclusions

Isoxazole analogues of artemisinin can be obtained in low yield and diastereoselectivity, and the cycloaddition reactions used are sensitive to steric hindrance. A number of transformations were carried out in good yields (and diastereoselectivity where appropriate), starting from the ring contracted aldehyde 7. We hope the novel artemisinin derivatives obtained can be tested in the future for their biological activities.

Experimental

General

1H- and 13C-NMR spectra were recorded on Varian Mercury 300 MHz, Bruker Avance 300 MHz, or Bruker AMX3 400 spectrometers using tetramethylsilane as an internal standard. ES MS were measured on Micromass Mattro II instrument. Melting points were determined with a Boetius Block apparatus and are uncorrected. Compounds 6 [2] and 7 [3] were prepared according to the literature procedures.

10-((3-Phenyl-4,5-dihydroisoxazolyl)methyldeoxoartemisinin (9)

To allyldeoxoartemisinin 6 (0.100 g, 0.32 mmol) in CH2Cl2 (5 mL) was added benzaldehyde oxime (0.2 mL, 1.6 mmol), a solution of sodium hypochlorite (0.5 mL, 13 % active chlorine, 6.8 mmol) and a few drops of triethylamine. The mixture was stirred overnight at room temperature and afterwards washed with water (2 x 10 mL). The organic layer was dried (MgSO4) and evaporated to give a residue that was chromatographed over silica gel with CH2Cl2 as the eluent. The oily product 9 was obtained as a mixture of diastereoisomers (0.040 g, 29 %); MS (ES): 428 (M+); Major isomer: 1H-NMR (400 MHz, C6D6, δ): 0.88 (3H, d, J = 7 Hz, CH3-9), 0.97 (3H, d, J = 3 Hz, CH3-6), 1.26-2.34 (12H, m), 2.69 (1H, m, H-9), 3.13 (1H, dd, J = 9, 16 Hz, isoxazolo-H-4), 3.48 (1H, dd, J = 10, 16 Hz, oxazolo-H-4), 4.53 (1H, ddd, J = 2, 6, 10 Hz, H-10), 4.90 (1H, m, oxazolo-H-5), 5.33 (1H, s, H-12), 7.38-7.42 (5H, m, Ph); 13C-NMR (100 MHz, C6D6, δ): 12.7 (CH3), 20.1 (CH3), 26.0 (CH3), 30.3 (CH), 37.6 (CH), 40.6 (CH2), 44.1 (CH), 52.2 (CH), 72.0 (CH), 80.3 (CH), 80.9 (C), 89.3 (CH), 103.1 (C), 126.7 (2xCH), 128.6 (2xCH), 129.9 (CH), 156.9 (C). Minor isomer: 1H-NMR (400 MHz, C6D6, δ): 0.88 (3H, d, J = 7 Hz, CH3-9), 0.96 (3H, d, J = 3 Hz, CH3-6), 1.26-2.34 (12H, m), 2.69 (1H, m, H-9), 3.13 (1H, dd, J = 9, 16 Hz, isoxazolo-H-4), 3.42 (1H, dd, J = 10, 16 Hz, oxazolo-H-4), 4.35 (1H, ddd, J = 2, 6, 10 Hz, H-10), 5.04 (1H, m, oxazolo-H-5), 5.37 (1H, s, H-12), 7.38-7.42 (5H, m, Ph); 13C-NMR (100 MHz, C6D6, δ): 12.9 (CH3), 20.1 (CH3), 26.0 (CH3), 30.3 (CH), 37.5 (CH), 39.1 (CH2), 44.2 (CH), 52.3 (CH), 71.5 (CH), 79.9 (CH), 80.9 (C), 89.3 (CH), 103.1 (C), 126.7 (2xCH), 128.6 (2xCH), 129.9 (CH), 156.4 (C)

(1S,4R,5S,8R,9S,11S,12S)-1,5,9-Trimethyl-10,13,14,15-tetraoxatetracyclo[9.1.3.1.04,12.08,12]penta- decane-9α-carbaldehyde oxime (10)

To the aldehyde 7 (1.00 g, 3.5 mmol) in methanol (10 mL) was added hydroxylamine hydro-chloride (1.17 g, 16.5 mmol) and NaHCO3 (1.39 g, 16.5 mmol). The mixture was stirred overnight at room temperature and afterwards diluted with water and extracted with dichloromethane (3 x 30 mL). The organic layer was dried (MgSO4) and evaporated to give a yellow oil (0.84 g, 86 %); MS (ES): 298 (M+); 1H-NMR (300 MHz, CDCl3, δ): 0.99 (3H, d, J = 6 Hz, CH3-9), 1.26-2.34 (15H, m), 5.69 (1H, s, C-12), 7.48 (1H, s, OH), 8.05 (1H, s, H-10); 13C-NMR (75 MHz, CDCl3, δ): 14.7 (CH3), 19.8 (CH3), 24.6 (CH2), 25.3 (CH2), 25.5 (CH3), 32.5 (CH2), 36.9 (CH), 46.2 (CH), 48.2 (CH), 84.11 (C), 86.8 (C), 96.7 (CH), 103.7 (C), 159.6 (CH).

9-α-(5-Phenyl-4,5-dihydrooxazol-3-yl)-(1S,4R,5S,8R,9S,11S,12S)-1,5,9-trimethyl-10,13,14,15-tetra-oxatetracyclo[9.1.3.1.04,12.08,12]pentadecane (11)

To the oxime 10 (43 mg, 0.15 mmol) in CH2Cl2 (5 mL) was added styrene (0.17 mL, 1.45 mmol), a solution of sodium hypochlorite (0.5 mL, 13 % active chlorine, 6.8 mmol) and a few drops of triethylamine. The mixture was stirred overnight at room temperature and afterwards washed with water (2 times 10 mL). The organic layer was dried (MgSO4) and evaporated to give a residue that was chromatographed over silica gel with dichloromethane as the eluent. The oily product 11 was obtained as a mixture of diastereoisomers (0.023 g, 40 %); MS (ES): 400 (M+); Major isomer: 1H-NMR (400 MHz, CDCl3, δ): 1.01 (6H, d, J = 6 Hz, CH3-9), 1.26-2.34 (12H, m), 3.08 (1H, dd, J = 9, 17 Hz, isoxazole-H-4), 3.52 (1H, dd, J = 9, 17 Hz, isoxazole-H-4’), 3.65 (1H, dd, J = 9, 17 Hz, isoxazole-H-4’), 4.00 (1H, dd, J = 10, 17 Hz, isoxazole-H-4), 5.51 (1H, m, isoxazole-H-5’), 5.60 (1H, dd, J = 8, 10 Hz, isoxazole-H-5), 5.64 (2H, s, H-12), 7.45 (5H, m, Ph); 13C-NMR (100 MHz, CDCl3, δ): 19.8 (CH3), 23.9 (CH3), 24.6 (CH2), 25.5 (CH2), 25.7 (CH3), 32.4 (CH2), 37.0 (CH), 37.1 (CH2), 43.3 (CH2), 48.4 (CH), 52.1 (CH), 82.9 (CH), 83.2 (C), 96.4 (CH), 103.3 (C), 126.9 (2xCH), 127.9 (CH), 128.4 (2xCH), 166.5 (C). Minor isomer: 1H-NMR (400 MHz, CDCl3, δ): 0.99 (6H, d, J = 6 Hz, CH3-9), 1.26-2.34 (12H, m), 3.08 (1H, dd, J = 9, 17 Hz, isoxazole-H-4), 3.52 (1H, dd, J = 9, 17 Hz, isoxazole-H-4’), 3.65 (1H, dd, J = 9, 17 Hz, isoxazole-H-4’), 4.00 (1H, dd, J = 10, 17 Hz, isoxazole-H-4), 5.51 (1H, m, isoxazole-H-5’), 5.60 (1H, dd, J = 8, 10 Hz, isoxazole-H-5), 5.66 (2H, s, H-12), 7.34 (5H, m, Ph); 13C-NMR (100 MHz, CDCl3, δ): 19.8 (CH3), 23.5 (CH3), 24.6 (CH2), 25.5 (CH2), 25.7 (CH3), 32.4 (CH2), 37.0 (CH), 37.1 (CH2), 43.3 (CH2), 48.3 (CH), 52.5 (CH), 82.1 (CH), 83.2 (C), 96.4 (CH), 103.3 (C), 125.9 (2xCH), 127.9 (CH), 128.6 (2xCH), 166.5 (C).

9-α-(5-Phenyl-3-isoxazol-3-yl)-(1S,4R,5S,8R,9S,11S,12S)-1,5,9-trimethyl-10,13,14,15-tetraoxatetra-cyclo[9.1.3.1.04,12.08,12]pentadecane (12)

To the oxime 10 (200 mg, 0.67 mmol) in CH2Cl2 (20 mL) was added phenylacetylene (0.75 mL, 6.7 mmol), a solution of sodium hypochlorite (2 mL, 13 % active chlorine, 28 mmol) and a few drops of triethylamine. The mixture was stirred overnight at room temperature and afterwards washed with water (2 times 10 mL). The organic layer was dried (MgSO4) and evaporated to give a residue that was chromatographed over silica gel with 9/1 dichloromethane/ethyl acetate as the eluent. The product was obtained as a yellow oil (0.055 g, 21 %); MS (ES): 398 (M+); 1H-NMR (300 MHz, CDCl3, δ): 0.99 (3H, d, J = 6 Hz, CH3-9), 1.26-2.34 (18H, m), 5.77 (1H, s, H-12), 6.86 (1H, s, isoxazole-H), 7.41 – 7.70 (5H, m, Ph); 13C-NMR (75 MHz, CDCl3, δ): 14.5 (CH3), 19.8 (CH3), 25.4 (CH2), 25.6 (CH2), 25.7 (CH3), 32.3 (CH2), 36.9 (CH), 37.0 (CH2), 48.3 (CH), 52.7 (CH), 82.5 (C), 86.7 (C), 96.5 (CH), 98.6 (CH), 103.1 (C), 125.7 (2xCH), 128.0 (CH), 128.7 (2xCH), 129.6 (C), 168.1 (C), 172.5 (C).

2’-[(1S,4R,5S,8R,9S,11S,12S)-1,5,9-trimethyl-10,13,14,15-tetraoxatetracyclo[9.1.3.1.04,12.08,12]penta- decyl-9α]styrene (13)

To benzylidene triphenylphosphonium bromide (3.10 g, 7.10 mmol) in THF (20 mL) at -78 °C was added butyllithium (2M in hexane, 7.10 mmol). The mixture was stirred for one hour, brought to room temperature and the aldehyde 7 (0.5 g, 1.77 mmol) in THF (5 mL) was added dropwise. The mixture was stirred one hour under reflux conditions. Afterwards, the mixture was diluted with pentane (20 mL) and the resulting precipitate was removed by filtration. The organic layer was evaporated to give a residue that was chromatographed over silica gel with 85:15 CH2Cl2/petroleum ether as the eluent. The product was obtained as a yellow oil (0.40 g, 64 %); MS (ES): 357 (M+); 1H-NMR (300 MHz, CDCl3, δ): 0.99 (3H, d, J = 6 Hz, CH3-9), 1.26-2.34 (18H, m), 5.72 (1H, s, H-12), 6.51 (1H, d, J = 16 Hz, CH=CH-Ph), 6.78 (1H, d, J = 16 Hz, CH=CH-Ph), 7.27 (5H, m, Ph); 13C-NMR (75 MHz, CDCl3, δ): 20.0 (CH3), 23.5 (CH3), 24.8 (CH2), 25.6 (CH2), 26.2 (CH3), 31.1 (CH2), 37.1 (CH), 37.4 (CH2), 48.0 (CH), 53.6 (CH), 85.8 (C), 87.0 (C), 96.8 (CH), 103.5 (C), 125.9 (CH), 126.7 (CH), 127.0 (2xCH), 128.5 (2xCH), 137.9 (CH), 138.3 (C)

Ethyl-2-[(1S,4R,5S,8R,9S,11S,12S)-1,5,9-trimethyl-10,13,14,15-tetraoxatetracyclo [9.1.3.1.04,12.08,12]-pentadecyl-9α]acrylate (14)

To the aldehyde 7 (0.5 g, 1.77 mmol) in THF (15 mL) was added carbethoxymethylene triphenylphosphorane (2.35 g, 6.80 mmol). The mixture was stirred overnight at room temperature. The organic layer was evaporated to give a residue that was chromatographed over silica gel with 9:1 CH2Cl2/ethylacetate as the eluent. The product was obtained as white crystals (0.46 g, 77 %); MS (ES): 353 (M+); mp: 135-136 °C; 1H-NMR (300 MHz, CDCl3, δ): 0.99 (3H, d, J = 6 Hz, CH39), 1.26-2.34 (21H, m), 4.16 (2H, m, COOCH2CH3), 5.69 (1H, s, H-12), 6.06 (1H, d, J = 16 Hz, CH=CHCO), 7.22 (1H, d, J = 16 Hz, CH=CHCO); 13C-NMR (75 MHz, CDCl3, δ): 14.4 (CH3), 19.9 (CH3), 23.4 (CH3), 24.8 (CH2), 25.5 (CH2), 25.8 (CH3), 32.7 (CH2), 37.0 (CH), 37.2 (CH2), 48.7 (CH), 52.7 (CH), 60.3 (CH2), 85.1 (C), 86.4 (C), 96.8 (CH), 103.5 (C), 117.7 (CH), 154.3 (CH), 167.3 (CO)

3-[(1S,4R,5S,8R,9S,11S,12S)-1,5,9-trimethyl-10,13,14,15-tetraoxatetracyclo[9.1.3.1.04,12.08,12]-pentadecyl-9α]-propanol (15)

To the aldehyde 7 (0.025 g, 0.0087 mmol) in THF (5 mL) was added 5% Pd/C-catalyst (0.010 g). Air was removed and hydrogen was added. The mixture was stirred overnight, then filtered over Celite®. The organic layer was dilute with diethyl ether (5 mL), washed with brine, dried (MgSO4) and evaporated to give a residue that was chromatographed over silica gel with 9:1 CH2Cl2/ethyl acetate as the eluent. The product was obtained as yellow oil (0.020 g, 74 %); MS (ES): 313 (M+); 1H-NMR (300 MHz, CDCl3, δ): 0.90 (2H, m, CH2-10), 0.91 (3H, d, J = 6 Hz, CH3-9), 1.26-2.34 (20H, m), 4.21 (2H, dd, J=2, 6 Hz, CH2-OH), 5.62 (1H, s, H-12); 13C-NMR (75 MHz, CDCl3, δ): 18.7 (CH3), 22.0 (CH3), 24.0 (CH2), 25.6 (CH2), 26.5 (CH3), 29.4 (CH2), 31.0 (CH2), 33.0 (CH2), 35.2 (CH), 36.2 (CH2), 46.8 (CH), 51.1 (CH), 60.6 (CH2), 86.5 (C), 89.3 (C), 94.2 (CH), 103.7 (C)

(1S,4R,5S,8R,9S,11S,12S)-1,5,9-trimethyl-10,13,14,15-tetraoxatetracyclo[9.1.3.1.04,12.08,12]penta- decyl-9α-methanol (16)

To the aldehyde 7 (0.050 g, 0.18 mmol) in methanol (5 mL) was added sodium borohydride (0.027 g, 0.72 mmol) in small portions. The mixture was stirred for one hour at 0 °C. Afterwards, HCl (0.2 mL, 7.5 N) was added in a dropwise manner and the mixture was stirred for 30 minutes and then evaporated. The residue was diluted with water (10 mL) and extracted with diethyl ether (3 x 15 mL). The organic layer was washed with NaHCO3, dried (MgSO4) and evaporated. The product was obtained as white crystals (0.042 g, 84 %); MS (ES): 285 (M+); mp: 123 °C; 1H-NMR (300 MHz, CDCl3, δ): 0.99 (3H, d, J = 6 Hz, CH3-9), 1.26-2.34 (18H, m), 3.55 (1H, J = 8, 11 Hz, CH2OH ), 4.04 (1H, dd, J = 8, 11 Hz, CH2OH), 5.61 (1H, s, H-12); 13C-NMR (75 MHz, CDCl3, δ): 20.1 (CH3), 20.3 (CH3), 24.4 (CH2), 25.5 (CH2), 26.2 (CH3), 32.8 (CH2), 36.9 (CH), 37.4 (CH2), 48.1 (CH), 49.3 (CH), 69.2 (CH2), 85.4 (C), 89.8 (C), 96.2 (CH), 103.7 (C)

O-[(1S,4R,5S,8R,9S,11S,12S)-1,5,9-trimethyl-10,13,14,15-tetraoxatetracyclo[9.1.3.1.04,12.08,12]penta- decyl-9α-methyl]-N-phenylcarbamate (17)

To the alcohol 16 (0.082 g, 0.29 mmol) in pyridine (5 mL) was added phenyl isocyanate (0.078 mL, 0.72 mmol). The mixture was stirred for 14 hours by 60 °C. Afterwards, the mixture was extracted with petroleum ether (3 x 10 mL). The organic layer was washed with HCl (1N) and brine, dried (MgSO4) and evaporated to give a residue that was chromatographed over silica gel with 95:5 CH2Cl2/ethyl acetate as the eluent. The product was obtained as an oil (0.070 g, 67 %); MS (ES): 404 (M+); 1H-NMR (300 MHz, CDCl3, δ): 0.99 (3H, d, J=6, CH3-9), 1.26-2.34 (18H, m), 4.50 (2H, dd, J = 10, 11 Hz, CH2COONHPhH), 5.67 (1H, s, H-12), 6.80-7.40 (5H, m, Ph); 13C-NMR (75 MHz, CDCl3, δ): 17.7 (CH3), 19.7 (CH3), 24.5 (CH2), 25.4 (CH2), 26.2 (CH3), 32.7 (CH2), 36.9 (CH), 37.3 (CH2), 48.7 (CH), 49.0 (CH), 73.6 (CH2), 84.3 (C), 86.6 (C), 96.6 (CH), 103.8 (C), 121.3 (CH), 122.3 (2XCH), 123.4 (2xCH), 129.2 (C), 138.1 (CO)

O-[(1S,4R,5S,8R,9S,11S,12S)-1,5,9-trimethyl-10,13,14,15-tetraoxatetracyclo[9.1.3.1.04,12.08,12]-pentadecyl-9α-methyl]-N-allylthiocarbamate (18)

To the alcohol 16 (0.58 g, 2.04 mmol) in pyridine (25 mL) was added allyl isothiocyanate (0.50 g, 5.09 mmol). The mixture was stirred for 14 hours by 60 °C and then extracted with petroleum ether (3 x 30 mL). The organic layer was washed with HCl (1N) and brine, dried (MgSO4) and evaporated to give a residue that was chromatographed over silica gel with 95:5 CH2Cl2/ethyl acetate as the eluent. The product was obtained as an oil (0.42 g, 53 %); MS (ES): 384 (M+); 1H-NMR (300 MHz, CDCl3, δ): 0.99 (3H, d, J = 6 Hz, CH3-9), 1.26-2.34 (18H, m), 4.20 (2H, t, NHCH2CH=CH2), 4.78 (2H, m, H-10), 5.22 (2H, m, NHCH2CH=CH2), 5.65 (1H, s, H-12), 5.87 (1H, m, NHCH2CH=CH2), 6.45 (1H, s, NH); 13C-NMR (75 MHz, CDCl3, δ): 17.7 (CH3), 19.7 (CH3), 24.6 (CH2), 24.8 (CH2), 25.4 (CH3), 32.4 (CH2), 37.0 (CH), 37.2 (CH2), 47.9 (CH), 49.0 (CH), 49.1 (CH2), 75.5 (CH2), 85.5 (C), 86.5 (C), 96.6 (CH), 103.8 (C), 117.5 (CH2), 132.8 (CH), 157.9 (CS)

N-(4-methylphenyl)-(1S,4R,5S,8R,9S,11S,12S)-1,5,9-trimethyl-10,13,14,15-tetraoxatetracyclo[9.1.3.1.04,12.08,12]-pentadecyl-9α-methylamine (19)

To the aldehyde 7 (0.5 g, 1.77 mmol) in methanol (15 mL) was added p-toluidine (0.79 g, 7.08 mmol) and sodium cyanoborohydride (0.44g, 7.08 mmol). The mixture was stirred for 30 minutes at room temperature, afterwards KOH (0.4 g, 7.08 mmol) was added in small portions and stirring continued for 30 minutes. The mixture was diluted with NH4Cl-solution (10 mL) and extracted with ethyl acetate (3 x 15 mL). The organic layer was washed with brine, dried (MgSO4) and evaporated. The residue was chromatographed over silica gel with 95:5 CH2Cl2/ethyl acetate as the eluent. The product was obtained as a yellow oil (0.49 g, 74 %); MS (ES): 374 (M+); 1H-NMR (300 MHz, CDCl3, δ): 0.98 (3H, d, J = 6 Hz, CH3-9), 1.26-2.34 (21H, m), 3.43 (1H, dd, J = 4, 12 Hz, CH2-10), 3.58 (1H, dd, J = 3, 13 Hz, CH2-10), 5.63 (1H, s, H-12), 6.66 (2H, d, J = 8 Hz, o-Ph), 6.97 (2H, d, J = 8 Hz, m-Ph); 13C-NMR (75 MHz, CDCl3, δ): 14.3 (CH3), 21.2 (CH3), 24.4 (CH2), 25.5 (CH2), 26.4 (CH3), 31.0 (CH2), 36.9 (CH), 37.4 (CH2), 47.3 (CH), 53.6 (CH), 60.5 (CH2), 85.2 (C), 87.0 (C), 96.3 (CH), 103.8 (C), 113.7 (2xCH), 117.6 (CH3), 120.7 (C), 129.8 (2xCH), 171.3 (C)

(1S,4R,5S,8R,9S,11S,12S)-1,5,9-trimethyl-10,13,14,15-tetraoxatetracyclo[9.1.3.1.04,12.08,12]penta-decyl-9α-acid (20)

To the aldehyde 7 (0.250 g, 0.87 mmol) in 1,4-dioxane (10 mL) was added aminosulfonic acid (0.34 g, 3.55 mmol) and water (3.5 mL). The mixture was stirred for 20 hours at 0 °C, then NaClO2 (0.32 g, 3.55 mmol) and water (2.5 mL) were added. After stirring for 30 minutes Na2SO4 (0.250 g) was added and the mixture was diluted with water (10 mL). The mixture was extracted with diethyl ether (3 x 20 mL) and the organic layer was washed with brine, dried (MgSO4) and evaporated. The product was obtained as a brown solid (0.225 mg, 80 %); mp: 137 °C; 1H-NMR (300 MHz, CDCl3, δ): 1.01 (3H, d, J = 6 Hz, CH3-9), 1.26-2.34 (18H, m), 5.72 (1H, s, H-12), 9.47 (1H, s, COOH); 13C-NMR (75 MHz, CDCl3, δ): 19.9 (CH3), 21.1 (CH3), 24.6 (CH2), 25.0 (CH2), 25.7 (CH3), 32.4 (CH2), 36.7 (CH), 37.2 (CH2), 47.6 (CH), 50.5 (CH), 85.4 (C), 86.7 (C), 97.6 (CH), 103.7 (C), 175.6 (CO)

1’-[(1S,4R,5S,8R,9S,11S,12S)-1,5,9-trimethyl-10,13,14,15-tetraoxatetracyclo[9.1.3.1.04,12.08,12]penta-decyl-9α]-2-nitro-ethanol (21)

To the aldehyde 7 (0.050 g, 0.18 mmol) in ethanol (5 mL) was added nitromethane (0.038 mL, 0.72 mmol), the mixture was cooled to 0 °C and sodium methoxide (1 g) in methanol (5 mL) was added dropwise. The mixture was stirred for 18 minutes at 0 °C, then diluted with ethyl acetate and washed with brine. The organic layer was dried and evaporated and the product was obtained as an oil (0.040 g, 67 %); 1H-NMR (300 MHz, CDCl3, δ): 0.99 (3H, d, J = 6 Hz, CH3-9), 1.15 (3H, s, CH3-6), 1.26-2.34 (15H, m), 4.44 (1H, dd, J = 4, 10 Hz, H-10), 4.93 (1H, dd, J = 4, 10 Hz, CH2NO2), 5.12 (1H, dd, J = 4, 10 Hz, CH2NO2), 5.59 (1H, s, H-12); 13C-NMR (75 MHz, CDCl3, δ): 16.6 (CH3), 20.0 (CH3), 24.4 (CH2), 25.3 (CH2), 26.3 (CH3), 32.7 (CH2), 36.9 (CH), 47.6 (CH), 49.1 (CH), 60.6 (CH), 72.4 (CH2), 85.1 (C), 86.9 (C), 96.6 (CH), 103.9 (C)

(1S,4R,5S,8R,9S,11S,12S)-1,5,9-trimethyl-10,13,14,15-tetraoxatetracyclo[9.1.3.1.04,12.08,12]penta-decyl-9α-2’-aminoacetonitrile (22)

To the aldehyde 7 (1.4 g, 4.90 mmol) in methanol (25 mL) was added a solution of sodium cyanide (0.98 g, 20 mmol) in water (25 mL) and NH4Cl. The mixture was stirred for 2 hours at 45 °C. Afterwards the mixture was diluted with water (10 mL) and extracted with toluene (3 x 50 mL). The organic layer was washed with brine, dried (MgSO4) and evaporated. The product was obtained as an oil (1.2 g, 78 %); MS (ES): 309 (M+); 1H-NMR (300 MHz, CDCl3, δ): 1.01 (3H, d, J = 6 Hz, CH3-9), 1.26-2.34 (18H, m), 5.17 (1H, s, H-10), 5.63 (1H, s, H-12); 13C-NMR (75 MHz, CDCl3, δ): 18.2 (CH3), 19.8 (CH3), 24.2 (CH2), 25.2 (CH2), 25.8 (CH3), 32.5 (CH2), 37.1 (CH2), 47.2 (CH), 48.6 (CH), 48.9 (CH), 84.6 (C), 86.9 (C), 96.7 (CH), 103.9 (C)

(1S,4R,5S,8R,9S,11S,12S)-1,5,9-trimethyl-10,13,14,15-tetraoxatetracyclo[9.1.3.1.04,12.08,12]penta-decyl-9α-2’-hydroxyacetonitrile (23)

To the aldehyde 7 (0.050 g, 0.18 mmol) in methanol (5 mL) was added acetic acid (0.10 mL, 70%) and potassium cyanide (0.046 g, 0.71 mmol). The mixture was stirred for 18 hours at room temperature and then evaporated to give a residue that was diluted with ethyl acetate (10 mL) and the resulting precipitate was removed by filtration. The organic layer was evaporated to give a residue that was chromatographed over silica gel with 9:1 ethyl acetate/methanol as the eluent. The product was obtained as an oil (0.045 g, 83 %); MS (ES): 310 (M+); 1H-NMR (300 MHz, CDCl3, δ): 1.00 (3H, d, J = 6 Hz, CH3-9), 1.26-2.34 (18H, m), 5.16 (1H, s, H-10), 5.62 (1H, s, H-12); 13C-NMR (75 MHz, CDCl3, δ): 17.8 (CH3), 19.6 (CH3), 23.5 (CH2), 24.9 (CH2), 25.0 (CH3), 32.2 (CH2), 36.30 (CH), 36.7 (CH2), 46.6 (CH), 48.5 (CH), 86.6 (C), 89.2 (C), 95.9 (CH), 103.0 (C)

Acknowledgments

We wish to acknowledge financial support from the University of Leuven and the F. W. O.-Vlaanderen. We thank Dr F. H. Jansen (DAFRA) for a generous gift of artemisinin.

References and Notes

  1. For recent review articles on artemisinin and its derivatives see: Kim, B.J.; Sasaki, T. Recent progress in the synthesis of artemisinin and its derivatives. Org. Prep. Proced. Int. 2006, 38, 1–80. [Google Scholar] Jung, M.; Lee, K.; Kim, H.; Park, M. Recent advances in artemisinin and its derivatives as antimalarial and antitumor agents. Current Med. Chem. 2004, 11, 1265–1284. [Google Scholar] van Agtmael, M. A.; Eggelte, T. A.; van Boxtel, C. J. Artemisinin drugs in the treatment of malaria : from medicinal herb to registered medication. Trends Pharm. Sci. 1999, 20, 199–205. [Google Scholar]
  2. Hindley, S.; Ward, S. A.; Storr, R. C.; Searle, N. L.; Bray, P. G.; Park, B. K.; Davies, J.; O’Neill, P. M. Mechanism-based design of parasite-targeted artemisinin derivatives: synthesis and anti-malarial activity of new diamine containing analogues. J. Med. Chem. 2002, 45, 1052–1063. [Google Scholar] [CrossRef]
  3. Grellepois, F.; Bonnet-Delpon, D.; Bégué, J.-P. Ring-contracted artemisinin derivatives: stereoselective reaction of anhydrodihydroartemisinin towards halogenation reagents. Tetrahedron Lett. 2001, 42, 2125–2127. [Google Scholar] Grellepois, F.; Chorki, F.; Crousse, B.; Ourévitch, M.; Bonnet-Delpon, D.; Bégué, J.-P. Anhydrodihydroartemisin and its 10-trifluoromethyl analogue: access to novel D-ring-contracted artemisinin trifluoromethyl ketones. J. Org. Chem. 2002, 67, 1253–1260. [Google Scholar]
  4. Lee, G.A. A simplified synthesis of unsaturated nitrogen heterocycles using nitrilium betaines. Synthesis 1982, 508–509. [Google Scholar] L’abbé, G.; Emmers, S.; Dehaen, W.; Dyall, L. 5-Chloropyrazole-4-carbaldehydes as synthons for intramolecular 1,3-dipolar cycloadditions. J. Chem. Soc. Perkin Trans 1 1994, 2553–2558. [Google Scholar]
  5. For a few recent examples see: Liu, Y.; Wong, V. K.-W.; Ko, B. C.-B.; Wong, M.-K.; Che, C.-M. Synthesis and cytotoxic study of artemisinin derivatives containing lipophilic alkyl carbon chains. Org. Lett. 2005, 7, 1561–1564. [Google Scholar] Ma, J.; Katz, E.; Kyle, D. E.; Ziffer, H. Syntheses and antimalarial activities of 10-substituted deoxoartemisinins. J. Med. Chem. 2000, 43, 4228–4232. [Google Scholar]
  6. Venugopalan, B.; Bapat, C. P.; Karnik, P. J.; Chatterjee, D. K.; Iyer, N.; Lepcha, D. Antimalarial activity of novel ring-contracted artemisinin derivatives. J. Med. Chem. 1995, 38, 1922. [Google Scholar] [CrossRef]
  • Sample Availability: Samples of the compounds described in this article are available from the authors.

Share and Cite

MDPI and ACS Style

Van Neck, T.; Van Mierloo, S.; Dehaen, W. Functionalisation of Artemisinin and Its Ring-contracted Derivatives. Molecules 2007, 12, 395-405. https://doi.org/10.3390/12030395

AMA Style

Van Neck T, Van Mierloo S, Dehaen W. Functionalisation of Artemisinin and Its Ring-contracted Derivatives. Molecules. 2007; 12(3):395-405. https://doi.org/10.3390/12030395

Chicago/Turabian Style

Van Neck, Tine, Sarah Van Mierloo, and Wim Dehaen. 2007. "Functionalisation of Artemisinin and Its Ring-contracted Derivatives" Molecules 12, no. 3: 395-405. https://doi.org/10.3390/12030395

APA Style

Van Neck, T., Van Mierloo, S., & Dehaen, W. (2007). Functionalisation of Artemisinin and Its Ring-contracted Derivatives. Molecules, 12(3), 395-405. https://doi.org/10.3390/12030395

Article Metrics

Back to TopTop