Facile Synthesis of 5, 6, 7, 8-Tetrahydropyrimido [4, 5-b]-quinoline Derivatives
Abstract
:Introduction
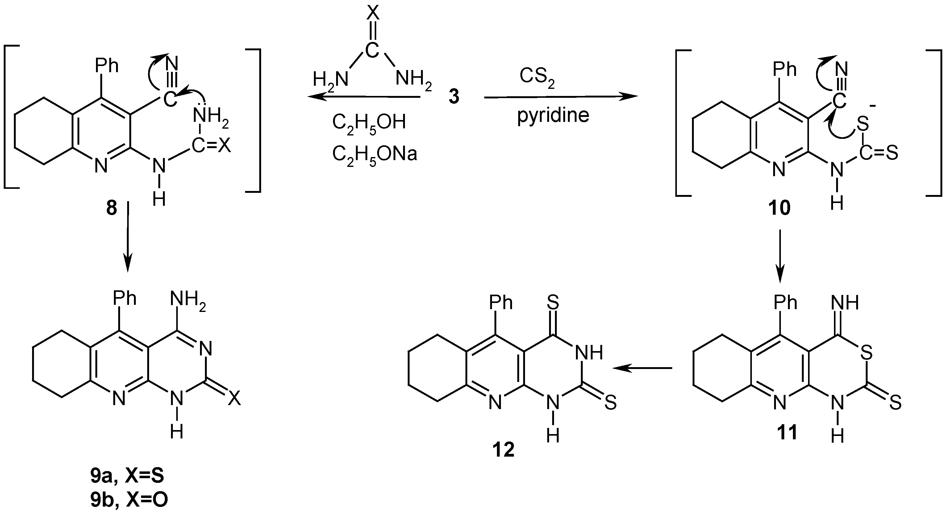
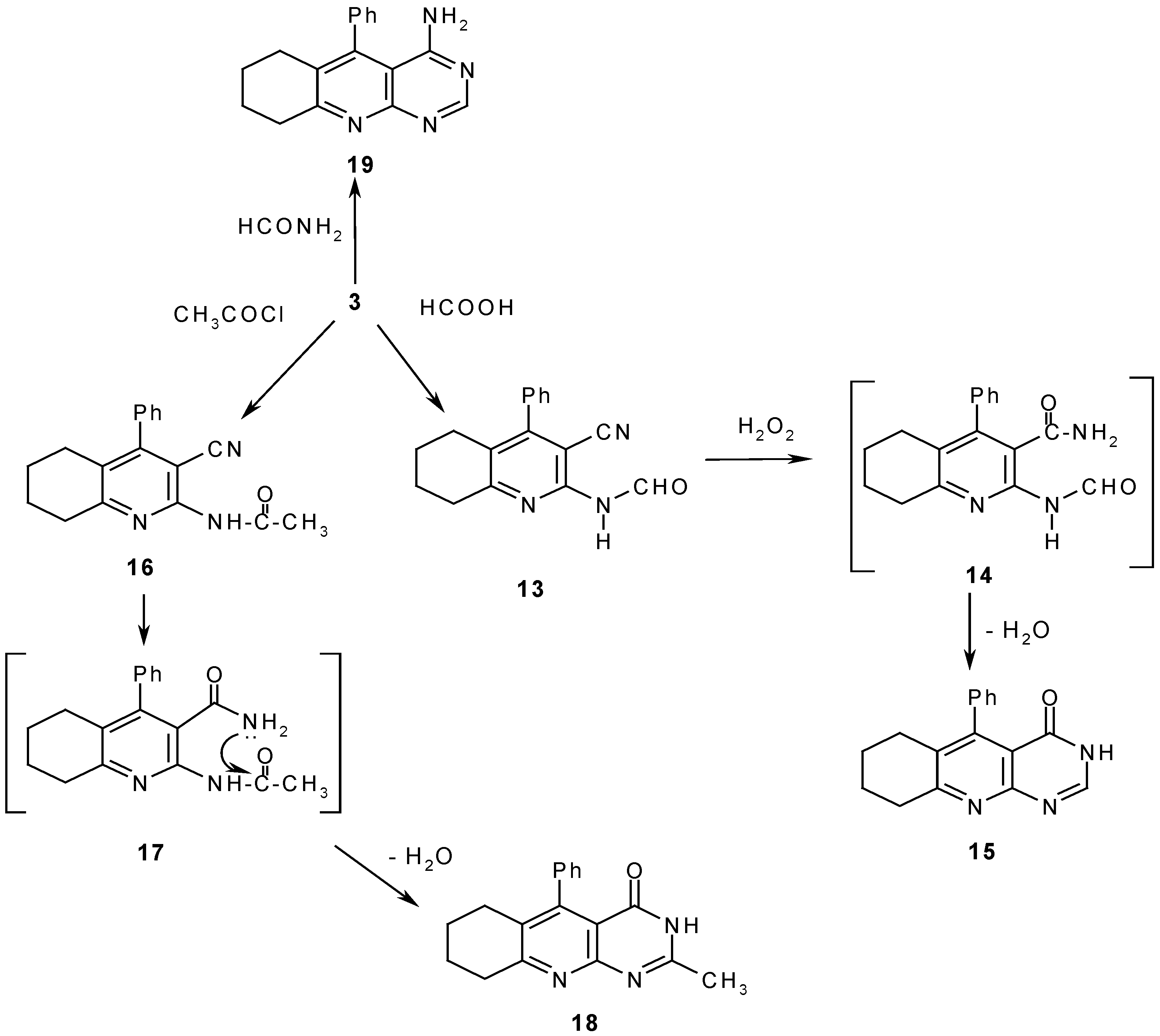
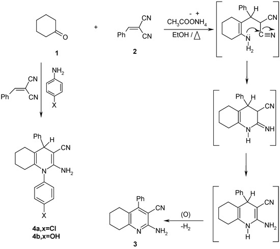
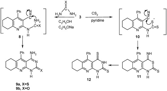
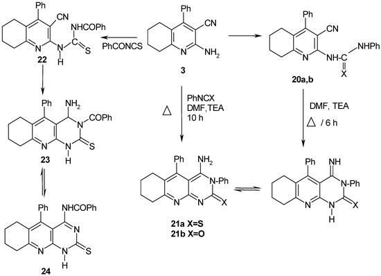
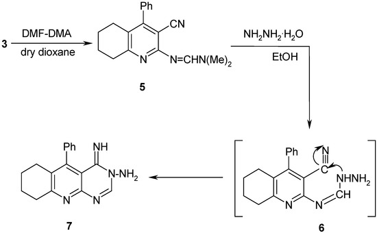
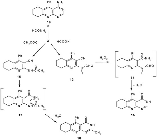
Results and Discussion


| Empirical formula | C16H15N3 |
| Formula weight | 249.317 |
| Temperature | 289 K |
| Wavelength | 0.71073A |
| Crystal system, space group | Monoclinic, P21/c |
| Unit cell dimensions | a = 12.7076 (11)Å |
| b = 5.8985 (5)Å | |
| c = 18.227 (2)Å | |
| α = 90.00° | |
| β = 101.395 (3)° | |
| Volume | 1339.3(2) A3 |
| Z, Calculated density | 4, 1.237 Mg/m3 |
| Absorption coefficient | 0.08 mm-1 |
| F(000) | 236 |
| Crystal size | 1.00 x 0.22 x 0.16 mm |
| Diffract meter | Kappa CCD |
| Θ Rang (0) | 2.910—19.211 ° |
| Limiting indices | -11<=h<=11, -5<=k<=5, -16<=l<=16 |
| Reflections collected / unique | 2106 / 1242 [R(int) = 0.044] |
| Absorption correction | None |
| Refinement method | Full-matrix least-squares on F2 |
| Data / restraints / parameters | 1242 / 0 / 172 |
| Goodness-of-fit on F2 | 2.291 |
| Final R indices [I>3sigma(I)] | R1 = 0.055, wR2 = 0.103 |
| R indices (all data) | R1 = 0.1261, wR2 = 0.117 |
| Extinction coefficient | 0.047(2) |
| Largest diff. peak and hole | 0.37 and -0.30 e. Å3 |


| Empirical formula | C19H20N4 |
| Formula weight | 304.359 |
| Temperature | 298 K |
| Wavelength | 0.71073A |
| Crystal system, space group | Monoclinic, P21/c |
| Unit cell dimensions | a = 7.3256 (4)Å |
| b = 11.4319 (6)Å | |
| c = 20.2817 (11)Å | |
| α = 90.00° | |
| β = 98.810 (3) ° | |
| Volume | 1678.5 (2)Å3 |
| Z, Calculated density | 4, 1.493 Mg/m3 |
| Absorption coefficient | 0.10 mm-1 |
| F(000) | 236 |
| Crystal size | 1.00 x 0.22 x 0.16 mm |
| Diffract meter | Kappa CCD |
| Θ Rang (0) | 2.910—26.733 ° |
| Limiting indices | -9<=h<=9, -13<=k<=14, -25<=l<=24 |
| Reflections collected / unique | 5914 / 4177 [R(int) = 0.048] |
| Absorption correction | None |
| Refinement method | Full-matrix least-squares on F2 |
| Data / restraints / parameters | 1395 / 0 / 208 |
| Goodness-of-fit on F2 | 2.768 |
| Final R indices [I>3sigma(I)] | R1 = 0.093, wR2 = 0.223 |
| R indices (all data) | R1 = 0.381, wR2 = 0.218 |
| Extinction coefficient | 0.030(2) |
| Largest diff. peak and hole | 0.68 and -0.67 e. Å3 |



Biological Activity
| Compd. | Species tested | ||||
|---|---|---|---|---|---|
| C. albicans | A. niger | S. cerevisiae | S. aureus Gram (+ve ) | E. coli Gram (- ve ) | |
| 3 | - | + | - | + | + |
| 4a | - | ++ | ++ | ++ | - |
| 4b | + | - | ++ | - | + |
| 7 | + | - | - | ++ | - |
| 9a | + | +++ | + | - | - |
| 12 | ++ | - | + | + | - |
| 13 | - | + | +++ | - | + |
| 15 | + | ++ | - | + | - |
| 18 | - | ++ | + | + | - |
| 20a | ++ | + | + | - | + |
| 22 | ++ | + | ++ | - | + |
| 24 | ++ | + | ++ | - | + |
Conclusions
Experimental
General
X-ray crystallography [25]
2–Amino–4–phenyl–5,6,7,8–tetrahydroquinoline–3–carbonitrile (3).
2–Amino–3–cyano–1,4–diphenyl–1,4,5,6,7,8–hexahydroquinoline derivatives 4a,b.
2–Dimethylaminomethelenimino–3–cyano–4–phenyl–5,6,7,8–tetrahydroquinoline (5)
3–Amino–4–(3H)imino–5–phenyl–6,7,8,9–tetrahydropyrimido[4,5–b]quinoline (7).
4–Amino–5–phenyl–6,7,8,9–tetrahydropyrimido[4,5–b]quinoline–2(1H)–thione/one derivatives 9a,b.
5–Phenyl–1,3,6,7,8,9–hexahydropyrimido[4,5–b]quinolin–2,4–dithione (12).
2–Formylamino–3–cyano–4–phenyl–5,6,7,8–tetrahydroquinoline (13).
5–Phenyl–6,7,8,9–tetrahydropyrimido[4,5–b]quinolin–4(3H)–one (15).
2–Methyl–5–phenyl–6,7,8,9–tetrahydropyrimido[4,5–b]quinolin –4–(3H)one (18).
4–Amino–5–phenyl–6,7,8,9–tetrahydropyrimido[4,5–b]quinoline (19).
2–(Phenylthioureido)–4–phenyl–5,6,7,8–tetrahydroquinoline–3–carbonitrile (20a,b).
4–Amino–5–phenyl–6,7,8,9–tetrahydropyrimido[4,5–b]quinoline2–(3H) thione/one derivatives (21a,b).
2–(Phenylthioureido)–4–phenyl–5,6,7,8–tetrahydroquinoline–3–carbonitrile (22).
3–Benzoylamino–5–phenyl–6,7,8,9–tetrahydropyrimido[4,5–b]quinolin–2–(1H)thione (24).
| Compd. | M.P.°C | Formula (mw) | Analysis % Calcd. (Found) | ||||||||||
|---|---|---|---|---|---|---|---|---|---|---|---|---|---|
| C | H | N | S | Cl | |||||||||
| 3 | 240 | C16H15N3 | 77.08 | 6.06 | 16.86 | – | – | ||||||
| (249.326) | (77.02) | (6.01) | (16.86) | ||||||||||
| 4a | 270 | C22H20N3Cl | 73.02 | 5.57 | 11.61 | – | 9.8 | ||||||
| 361.87 | (73.00) | (5.46) | (11.49) | (9.74) | |||||||||
| 4b | 260 | C22H21N3O | 76.94 | 6.16 | 12.24 | – | – | ||||||
| (343.43) | (76.89) | (6.04) | (12.15) | ||||||||||
| 5 | 184 | C19H20N4 (304.373) | 74.98 (74.89) | 6.62 (6.56) | 18.14 (18.20) | ||||||||
| 7 | 210 | C17H17N5 | 70.33 | 5.55 | 24.12 | – | – | ||||||
| (291.323) | (70.24) | (5.47) | (24.04) | ||||||||||
| 9a | 290 | C17H16N4S | 66.21 | 5.22 | 18.17 | 10.4 | – | ||||||
| (308.413) | (66.07) | (5.09) | (18.07) | (10.34) | |||||||||
| 9b | 213 | C17H16N4O | 69.85 | 5.51 | 19.17 | – | – | ||||||
| (292.342) | (69.74) | (5.43) | (19.11) | ||||||||||
| 12 | 207~209 | C17H15N3S2 | 62.74 | 4.64 | 12.91 | 19.70 | – | ||||||
| (325.464) | (62.79) | (4.62) | (12.94) | (19.79) | |||||||||
| 13 | 195~196 | C17H15N3O | 73.63 | 5.45 | 15.15 | – | – | ||||||
| (277.332) | (73.74) | (5.40) | (15.21) | ||||||||||
| 15 | 187~188 | C17H15N3O | 73.63 | 5.45 | 15.15 | – | – | ||||||
| (277.332) | (73.83) | (5.14) | (15.27) | ||||||||||
| 18 | 187~188 | C18H17N3O | 74.21 | 5.88 | 14.42 | – | – | ||||||
| (291.364) | (74.03) | (5.73) | (14.27) | ||||||||||
| 19 | 205 | C17H16N4 | 73.89 | 5.83 | 20.27 | – | – | ||||||
| (276.343) | (73.84) | (5.78) | (20.18) | ||||||||||
| 20a | 172 | C23H20N4S | 71.84 | 5.24 | 14.57 | 8.34 | – | ||||||
| (384.51) | (72.01) | (5.29) | (14.59) | (8.29) | |||||||||
| 20b | 160 | C23H20N4O | 74.98 | 5.47 | 15.21 | – | – | ||||||
| (368.444) | (74.67) | (5.63) | (15.04) | ||||||||||
| 21a | 218 | C23H20N4S | 71.84 | 5.24 | 14.57 | 8.34 | |||||||
| (384.51) | (72.00) | (5.29) | (14.52) | (8.29) | |||||||||
| 21b | 190 | C23H20N4O | 74.98 | 5.47 | 15.21 | – | – | ||||||
| (368.444) | (74.71) | (5.67) | (15.11) | ||||||||||
| 22 | 174 | C24H20N4OS | 69.88 | 4.88 | 13.58 | 7.77 | – | ||||||
| (412.527) | (69.74) | (4.73) | (13.42) | (7.71) | |||||||||
| 24 | 225 | C24H20N4OS | 69.88 | 4.88 | 13.58 | 7.77 | – | ||||||
| 412.527 | (69.79) | (4.81) | (13.52) | (7.71) | |||||||||
| Compd. | IR (cm-1) | 1H-NMR (δ, ppm) and/or MS | |
|---|---|---|---|
| 3 | 3420-3305 (NH2), 2212 (CN), 1645 (C=N). | 1.6-2.8 (m, 8H, 4CH2); 5.3(s, 2H, NH2); 7.2-7.6 (m, 5H, Ar-H). MS: m/e = 249 (M+, 100%). | |
| 4a | 3424-3345 (NH2), 2211 (CN), 1650 (C=N). | 1.6-2.8 (m, 8H, 4CH2); 4.8 (s, 1H, quinoline H-4), 5.8 (s, 2H, NH2), 7.2-7.4 (m, 9H, Ar-H). MS: m/e = 361 (M+, 18%), 362 (M+1, 6%). | |
| 4b | 3421 (OH), 3306 (NH2), 2215 (CN), 1622 (C=N). | 1.6-2.8 (m, 8H, 4CH2); 4.8 (s, 1H, quinoline H-4); 5.3 (s, 2H, NH2); 7.2-7.6 (m, 9H, Ar-H); 9.2 (s, 1H, OH). MS: m/e = 343 (M+, 75 %). | |
| 5 | 2216 (CN), 1623 (C=N). | 1.6-2.8 (m, 8H, 4CH2); 3.2 (s, 6H, 2CH3); 7.2-7.4 (m, 5H, Ar-H); 8.4 (s, 1H, vinyl H). MS: m/e =304 (M+, 100%). | |
| 7 | 3421-3360 (NH2), 3148 (NH), 1645 (C=N). | 1.6-2.8 (m, 8H, 4CH2); 5.4 (s, 2H, NH2); 7.2-7.4 (m, 5H, Ar-H); 7.50 (s, 1H, pyrimidine H); 8.01 (s, 1H, NH). MS: m/e = 291 (M+, 15%). | |
| 9a | 3408-3320 (NH2), 3226 (NH), 1337 (C=S). | 1.6-2.8 (m, 8H, 4CH2); 5.4 (s, 2H, NH2); 7.1-7.5 (m, 5H, Ar-H); 8.2 (s, 1H, NH). MS: m/e = 308 (M+, 15 %). | |
| 9b | 3421 (NH2), 3426 (NH), 1717 (C=O), 1646 (C=N). | MS: m/e = 292 (M+, 50%). | |
| 12 | 3426 (NH), 1643 (C=N), 1344 (C=S). | 1.62-2.88 (m, 8H, 4CH2); 5.8 (s, 1H exchangeable, NH); 7.12- 7.64 (m, 5H, Ar-H); 9.08 (bs, 1H, exchangeable, NH).MS: m/e = 325 (M+, 10%). | |
| 13 | 3228 (NH), 2211 (CN), 1692 (C=O), 1581 (C=N). | MS: m/e = 277 (M+, 30%). | |
| 15 | 3146 (NH), 1707 (C=O), 1645 (C=N). | 1.34-1.98 (m, 8H, 4CH2); 7.13-7.35 (m, 5H, Ar-H); 7.50 (s, 1H, pyrimidine H); 8.01 (s, 1H, NH). | |
| 18 | 3146 (NH), 1707 (C=O), 1645 (C=N). | 0.9 (s, 3H, CH3); 1.34-1.96 (m, 8H, 4CH2); 7.14-7.30 (m, 5H, Ar-H); 8.01 (s, 1H, NH). MS: m/e = 291 (M+, 15%). | |
| 19 | 3319-3322 (NH2), 1661 (C=N). | 1.35-2.68 (m, 8H, 4CH2); 5.4 (s, 2H, NH2); 4.8 (s, 1H, pyrimidine H); 7.13-7.46 (m, 5H, Ar-H). MS: m/e = 276 (M+, 55 %). | |
| 20a | 3148 (NH), 3059 (NH), 2211(CN), 645 (C=N), 1346 (C=S). | MS: m/e = 384 (M+, 10%). | |
| 20b | 3179 (NH), 3149 (NH), 2228 (CN), 1707 (C=O), 1631 (C=N). | MS: m/e = 368(M+, 40%). | |
| 21a | 3421 – 3307 (NH2), 1645 (C=N), 1346 (C=S). | MS: m/e = 384 (M+, 10%). | |
| 21b | 3419-3303 (NH2), 1645 (C=N), 1707 (C=O). | MS: m/e = 368 (M+, 40%). | |
| 22 | 3148 (NH), 3059 (NH), 2211 (CN), 1677 (C=O), 1645(C=N), 1346 (C=S). | MS: m/e = 412 (M+, 10%). | |
| 24 | 3182 (NH), 3120 (NH), 1672 (C=O), 1605 (C=N), 1363 (C=S ) . | MS: m/e = 412 (M+, 10%). | |
References
- Joshi, A.A.; Viswanathan, C. L. Recent developments in antimalarials drug discovery. Anti-Infect. Agent. Med. Chem. 2006, 5, 105–122. [Google Scholar]
- Dlugosz, A.; Dus, D. Synthesis and anticancer properties of pyrimido[4,5-b]quinolines. Farmaco 1996, 51, 364–374. [Google Scholar]
- El-Sayed, O. A.; El-Bieh, F. M.; Al-Bassam, B.A. Novel 4-aminopyrimido[4,5-b]quinoline derivatives as potential antimicrobial agents. Boll. Chim. Farm. 2002, 141, 461–465. [Google Scholar]
- El-Sayed, O. A.; Al-Bassam, B. A.; Hussein, M. E. Synthesis of some novel quinoline-3-carboxylic acids and pyrimidoquinoline derivatives as potential antimicrobial agents. Arch. Pharm. (Weinheim) 2002, 335, 403–410. [Google Scholar]
- Gavrilov, M. Yu.; Mardanova, L.G.; Kolla, V. E.; Konshin, M. E. Synthesis, Anti-inflammatory and analgesic activities of tetrahydroquini\oline-3-carboxamides. Pharm. Chem. J. 1988, 22, 554–556. [Google Scholar]
- El-Sayed, O. A.; Al-Turki, T. M.; Al-Daffiri, H. M.; Al-Bassam, B. A.; Hussein, M. E. Pyrimidoquinoline derivatives as anti-inflammatory and antimicrobial agents. Boll. Chim. Farm. 2004, 143, 227–238. [Google Scholar]
- Al-Mousawi, S. M.; Elkholy, Y.M.; Mohammed, M. A.; Elnagdi, M. H. Synthesis of new condensed 2-amino-4H-pyran-3-carbonitriles and of 2-Aminoquinoline-3-carbonitriles. Org. Prep. Proceed. Int. 1999, 31, 205–214. [Google Scholar]
- Elassar, A. A.; Elkholy, Y. M. Synthesis of 3,4,7-triazaacenaphthylene and pyrido[3,4,5-de]-cinnoline derivatives. Heteroatom Chem . 2003, 14, 427–433. [Google Scholar]
- Elkholy, Y. M. Studies with polyfunctionally substituted heterocycles. Chem. Heterocycl. Comp. 2002, 38, 1342–1347. [Google Scholar] [CrossRef]
- Elkholy, Y. M. Synthesis and antimicrobial of new polyfunctionally substituted pyridazines and their derivatives. Heterocycl. Commun. 2005, 11, 89–96. [Google Scholar]
- Asolkar, R. N.; Schroder, D.; Heckmann, R.; Land, S.; Wagner-Dobler, I.; Laatsch, H. Helquinoline, a new tetrahydroquinoline antibiotic from Janibacter limosus Hel. J. Antibiotics 2004, 57, 17–23. [Google Scholar]
- Schoenwald, R. D. Tetrahydroquinoline analogs for use in glaucoma treatment. U.S. Pat. 5776482, 1988. [Google Scholar]
- Dimon, D. B.; Robert, W. Preparation of 4-carboxyamino-2-substituted tetrahydroquinoline derivatives as cholesteryl ester transfer protein inhibitors. JP 2001163859, 2001. [Google Scholar]
- Shaaban, M. A.; Ghoneim, K.M.; Kalifa, M. Synthesis of certain 4-oxo-tetrahydroquinoline and benzauocine derivatives likely to possess analgesic activity. Pharmazie 1977, 32, 90–92. [Google Scholar] [PubMed]
- Hashimoto, K.; Okaichi, Y.; Nomi, D.; Bando, M.; Minamikawa, J. A practical synthesis of (S)-(−)-nadifloxacin: Novel acid-catalyzed racemization of tetrahydroquinoline derivatives. Chem. Pharm. Bull. 1996, 44, 642–645. [Google Scholar] [CrossRef]
- Chakaravorty, P.K.; Grelnlee, W. P.C.T. Int. Appl WO 92,20,687,156, 1992. [C.A. 1993, 118, 213104d].
- Shujiang, T. U.; Fang, F.; Tuanjie, L.; Songlei, Z.; Xiaojing, Z. An efficient one-pot synthesis of novel pyrimidoquinoline derivative under microwave irradiation without catalyst. J Heterocycl. Chem 2005, 42, 707–710. [Google Scholar]
- Shimamure, H.; Terajima, K.; and Kawase, Y. Jpn. Kokai Tokyo Koho JP 05,112,559, 1993.
- Gavrilov, M. Yu.; Konshin, M. E. Synthesis of Octahydroquinoline[4,5-b]quinoline-2,4-dione. Chem. Heterocycl. Comp. 1989, 25, 932–935. [Google Scholar] [CrossRef]
- Abdel-Gawad, S. M.; El-Gagy, M. S. A.; Heiba, H. I.; Aly, H. M.; Ghorab, M. M. Synthesis and radiation stability of some new biologically active hydroquinoline and pyrimido[4,5-b]quinoline derivatives. J. Chin. Chem. Soc. 2005, 52, 1227–1236. [Google Scholar]
- Abu-Shanab, F. A.; Elkholy, Y. M.; Elnagdi, M. H. Enaminones as building blocks in organic Synthesis. Synth. Commun. 2002, 32, 3493–3502. [Google Scholar]
- Leoncini, G.; Signorello, M. G.; Grossi, G. C.; Di Braccio, M. Mechanism of action of two new pyrimidoquinoline and isoquinoline derivatives in human platelets. Thromb. Res. 1997, 87, 483–492. [Google Scholar] [CrossRef] [PubMed]
- Omura, S.; Nakagawa, A. Structure of virantmycin, a novel antiviral antibiotic. Tetrahedron Lett. 1981, 2199–2202. [Google Scholar]
- Nene, Y. L.; Thapliyal, P.N. Fungicides in plant disease control; Oxford & IBH Publ.: New Delhi, 1982; pp. 192–198. [Google Scholar]
- CCDC 626536 and 626537 contain the supplementary crystallographic data for this paper. These data can be obtained free of charge from The Cambridge Crystallographic Data Centre via www.ccdc.cam.ac.uk/data_request/cif.
- Mackay, S.; Gilmore, C. J.; Edwards, C.; Stewart, N.; Shankland, K. maXus Computer Program for the Solution and Refinement of Crystal Structures. Bruker Nonius: Delft, The Netherlands and Mac Science: Japan & The University of Glasgow. 1999. [Google Scholar]
- Johnson, C. K. ORTEP--II. A Fortran Thermal--Ellipsoid Plot Program. Report ORNL-5138. Oak Ridge National Laboratory: Oak Ridge, Tennessee, USA, 1976. [Google Scholar]
- Otwinowski, Z.; Minor, W. Methods in Enzymology; Carter, Jr. C. W., Sweet, R. M., Eds.; Academic Press: New York, 1997; Vol. 276, pp. 307–326. [Google Scholar]
- Altomare, A.; Cascarano, G.; Giacovazzo, C.; Guagliardi, A.; Burla, M. C.; Polidori, G.; Camalli, M. J. Appl. Cryst 1994, 27, 435.
- Waasmaier, D.; Kirfel, A. Acta Cryst. 1995, A51, 416–431.
- Sample Availability: Available from the authors.
© 2006 by MDPI (http://www.mdpi.org) Reproduction is permitted for noncommercial purposes.
Share and Cite
Elkholy, Y.M.; Morsy, M.A. Facile Synthesis of 5, 6, 7, 8-Tetrahydropyrimido [4, 5-b]-quinoline Derivatives. Molecules 2006, 11, 890-903. https://doi.org/10.3390/11110890
Elkholy YM, Morsy MA. Facile Synthesis of 5, 6, 7, 8-Tetrahydropyrimido [4, 5-b]-quinoline Derivatives. Molecules. 2006; 11(11):890-903. https://doi.org/10.3390/11110890
Chicago/Turabian StyleElkholy, Yehya Mahmud, and Mohamed Abdelhamed Morsy. 2006. "Facile Synthesis of 5, 6, 7, 8-Tetrahydropyrimido [4, 5-b]-quinoline Derivatives" Molecules 11, no. 11: 890-903. https://doi.org/10.3390/11110890
APA StyleElkholy, Y. M., & Morsy, M. A. (2006). Facile Synthesis of 5, 6, 7, 8-Tetrahydropyrimido [4, 5-b]-quinoline Derivatives. Molecules, 11(11), 890-903. https://doi.org/10.3390/11110890
