You are currently viewing a new version of our website. To view the old version click .
Molecules
  • Article
  • Open Access

31 August 2005

Synthesis of 1,3,4-Thiadiazole, 1,3,4-Thiadiazine, 1,3,6-Thiadiazepane and Quinoxaline Derivatives from Symmetrical Dithiobiureas and Thioureidoethylthiourea Derivatives

,
,
and
Chemistry Department, Faculty of Science, El-Minia University, A. R. Egypt
*
Author to whom correspondence should be addressed.

Abstract

Reactions of N,N′-disubstituted hydrazinecarbothioamides 8a-c and substituted thioureidoethylthioureas 9a-c with 2,3,5,6-tetrachloro-1,4-benzoquinone (chloranil, 10a) and 2,3,5,6-tetrabromo-1,4-benzoquinone (bromanil, 10b) to form N,N′-disubstituted [1,3,4]thiadiazole-2,5-diamines 11a-c, 6,7-dichloro-3-substituted amino-1H-benzo[1,3,4]-thiadiazine-5,8-diones 12a-c, 2,3,7,8-tetrahalothianthrene-1,4,6,9-tetraones 13a,b, 5,6,8-trihalo-7-oxo-3,7-dihydro-2H-quinoxaline-1-carbothioic acid substituted amides 14a-c, 15a-c and 7-substituted imino-[1,3,6]thiadiazepane-3-thiones 16a-c are reported. Rationales for the observed conversions are presented.

Introduction

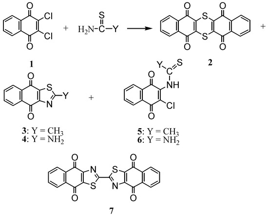
Addition of nitrogen nucleophiles to benzo-, and naphthoquinones represents a common synthetic route to many dyestuffs and medicinals [1,2,3,4,5,6,7,8,9,10,11,12,13]. The reactions of 2,3-dichloro-1,4-naphthoquinone (1) with thioacetamide or with thiourea to give 2-methyl- and 2-aminonaphtho[2,3-d]thiazole-4,9-diones 3 and 4, as well as the synthesis of bisthiazole 7 from 1 and dithiooxamide were first reported by Hammam et al. [14]. They also claimed that the intermediates, 2-thioamido-3-chloro-1,4-naphtho-quinones 5 and 6 could be isolated from the reaction medium and separately transformed into thiazoles by boiling in aqueous ethanol containing sodium bicarbonate. Later, this work was repeated by Katritzky et al. [15,16] and, in agreement with the earlier results, they found that 1 reacted with a variety of thioamides in dimethylformamide or in dimethylsulfoxide in the presence of triethylamine yielding the corresponding thiazoles 3 and 4 and with dithiooxamides to form the bisthiazole 7.
Matsuoka and co-workers [17,18,19] subsequently claimed that the previous work was in error and the reactions of 1 with thioacetamide, thiourea and dithiooxamide all gave the same product, namely dibenzo[b,i]thianthrene-5,7,12,14-tetraone (2) but not the thiazoles 3, 4 and 7.
Scheme 1.
In view of these discrepancies, Katritzky and co-workers subsequently reexamined some of those reactions [20]. Although the product reported to have been isolated by Matsuoka et al. was indeed formed, in all cases the 1,4-dithiine was accompanied by the corresponding 1,3-thiazole, although in some cases product separation was difficult.
Several authors have investigated the heterocyclization of 1,6-disubstituted dithiobiureas in basic or acidic media [21,22,23,24,25,26,27,28]. We report herein the results of our recent investigations on the reactions of symmetrical dithiobiureas as well as thioureidoethylthiourea derivatives with both chloranil (10a) and bromanil (10b).

Results and Discussion

On adding tetrahydrofuran (THF) solutions of 8a-c to 2:1 solutions of 10a,b in the same solvent, appearance of a green colour which gradually changed to blue was observed. When the reaction was monitored spectrophotometrically (at 10 °C), an absorption maximum was observed in the visible region at 536-508 nm that was assigned to the formation of an unstable charge-transfer complex (CTC), since neither the thiourea derivatives 8a-c nor 10a,b absorb alone in this region. After standing for 48 hours at room temperature, 2,3,7,8-tetrahalothianthrene-1,4,6,9-tetraones 13a,b were precipitated as the major products (41-44%). From the filtrate the substituted amino-6,7-dichloro-benzo[1,3,4]-thiadiazine-5,8-diones 12a-c (22-28%), together with 2,5-disubstituted amino-1,3,4-thiadiazoles 11a-c (12-15 % in case of 10a, 21-26%) in case of 10b), were isolated as minor products by preparative thin layer chromatography.
Molecules 10 00822 i001
As an example, the structural assignment of 12a was supported by the following spectral data: in its 13C-NMR spectrum, the characteristic absorption signal of the carbonyl carbon atoms of chloranil (10a) appeared at δ = 170.20, 171.36 ppm [29]. The 1H-NMR spectrum of 12a showed two broad signals at 7.68 and 8.80 ppm, due to the NH attached to the phenyl ring and the thiadiazine-NH, respectively, in addition to the phenyl protons. The IR spectrum of 12a (KBr disk) showed sharp bands at 3330, 3270 and 1680 cm−1 for the secondary amino and carbonyl groups respectively. The thianthrenetetraones 13a,b exhibited absorptions at 1700-1695 cm−1 for the quinine carbonyl groups. The 13C-NMR spectra of 13a,b showed absorption signals around 171.36 – 170.86 ppm for the chloranil or bromanil carbonyl carbon atoms. The formation of 13a,b was further confirmed by mass spectrometry. Besides the molecular ions at 416/412 or 594/590, the characteristic fragment ion patterns of the substituted tetrahalo compounds were observed [30].
Formation of these products may be rationalized by the mechanism shown in Scheme 2: an unstable CTC is formed followed by the formation of radicals 8. and 10-H.. Two routes could be suggested for the formation of compounds 11-13 after the recombination of the two radicals 8. and 10-H.. The first one is the elimination of two molecules of HCl to form the intermediate 17, which splits off a molecule of substituted isothiocyanate to give the benzothiadiazine derivatives 12a-c. The second route is the elimination of one molecule of HX to give the intermediate 18. Nucleophilic attack by the 2-thiol group on the C=N and detachment of the HS-moiety affords the intermediate 19 along with thiadiazoles 11a-c. The tetrahalothianthrenetetraones 13a,b could be formed via the intermediates 19 and 20 (Scheme 2).
Scheme 2.
It has been reported that ethylenediamine upon reaction with allylisothiocyanate furnishes a linear thiourea, which in turn is cyclized to a bisthiazoline [31]. The present work was also undertaken to examine the reactions of 9a-c with 10a,b. Thus, two equivalents of thioureidoethylthiourea derivatives 9a-c reacted with 10a,b in THF at room temperature to afford substituted imino-[1,3,6]-thiadiazepane-2-thiones 16a-c as minor (14-19%) and trihalo-7-oxo-quinoxaline-1-carbothioic acid substituted amides 14a-c/15a-cas major products (41-49%), in addition to the corresponding dihydro-benzoquinone derivatives. The structures of 14a-c and 15a-cwere confirmed on the basis of elemental analyses, mass spectra, 1H- and 13C-NMR data. The IR spectra of 14a-c/15a-cshowed characteristic absorption bands for the secondary-NH between 3330 and 3310 cm−1 and between 1690-1680 cm−1 for the C=O groups. The 1H-NMR spectrum of 14a shows the resonances of the methylene protons at C3 and C2 in the δ = 3.46 - 3.60 and 3.64 - 3.87 ppm range, respectively. The presence of methylene groups is also evident from the 13C-DEPT-NMR spectrum, which exhibits negative signals at δ = 48.77 and 55.33 ppm. In addition, the 1H-NMR spectrum exhibited a broad singlet centered at 9.69 ppm due to the NH-attached to phenyl and C=S groups. The decoupled carbon spectrum of 14a showed signals at δ = 170.17 and 180.34 ppm, assigned to C=O and C=S, respectively [30,32].
The formation of quinoxaline products 14 and 15 may be rationalized through the successive substitution of one chlorine atom and elimination of a molecule of substituted isothiocyanate followed by cyclization via a condensation reaction (Scheme 2).

Experimental

General

All the melting points were determined in open glass capillaries on a Gallenkamp melting point apparatus and are uncorrected. The IR spectra were recorded with a Shimadzu 408 or Bruker Vector 22 FT-IR spectrophotometers using potassium bromide pellets. A Bruker WM 300 spectrometer was used to determine 1H- (300.13 MHz) and 13C- (75.47 MHz) NMR spectra. Assignment of carbon resonances have been supported by DEPT experiments. Mass spectra were obtained with a Varian MAT 311 doubly focusing instrument using electron impact ionization (70 eV). Elemental analyses were determined at the Microanalytical Center, Cairo University, Egypt. UV/Vis spectra were recorded on a Perkin-Elmer Lambda 2-spectrophotometer equipped with a thermostated cell. Preparative thin layer chromatography (plc) was carried out on 1 mm thick layers of silica gel slurry (Merck Pf254) applied on 48 cm wide x 20 cm high glass plates using the solvents mentioned below. Zones were detected by quenching of fluorescence upon exposure to 254 nm light and the compounds were extracted from the plates with acetone.

Starting materials

Chloranil (2,3,5,6-Tetrachloro-1,4-benzoquinone, 10a) and bromanil (2,3,5,6-tetrabromo-1,4-benzoquinone, 10b) were used as received from Aldrich. N,N′-disubstituted hydrazinecarbothioamides 8a-c and substituted thioureidoethylthioureas 9a-c were prepared according to the literature procedures [31,33,34,35,36,37].

Reactions of 8a-c with chloranil (10a) and bromanil (10b).

A solution of 8a-c (2.0 mmol) in anhydrous THF (20 mL) was added dropwise with stirring to a solution of chloranil (10a) or bromanil (10b) (1.0 mmol) in the same solvent (20 mL). The colour of the reaction changed gradually from deep green to a blue colour. Stirring was continued for 48 hours with admission of air to complete the reaction. The reaction mixture was filtered and the blue precipitate was washed several times with cold THF and identified as the tetrahalothianthrenetetraones 13a,b. The filtrate was concentrated in vacuum and the residue separated by plc using cyclohexane/ethyl acetate (2:1) mixture into three zones. The fastest moving zone contained the thiadiazoles 11a-c, the second zone, compounds 12a-c and the slowest migrating zone contained the dihdrobenzoquinones 14-H2 or 15-H2. The zones were extracted with acetone.
N,N′-Diphenyl-[1,3,4]thiadiazole-2,5-diamine (11a). Yield (80 mg, 15 % in case of 10a and 139 mg, 26 % in case of 10b), colourless crystals from DMF, m.p. 239-241 °C (lit. [38] 240-243 °C).
N,N′-Dibenzyl-[1,3,4]thiadiazole-2,5-diamine (11b). Yield (71 mg, 12 % in case of 10a and 124 mg, 21 % in case of 10b), colourless crystals from methanol, m. p. 250-252 °C (lit. [34] 251 °C).
N,N′-Diallyl-[1,3,4]thiadiazole-2,5-diamine (11c). Yield (55 mg, 14 % in case of 10a and 90 mg, 23% in case of 10b), colourless crystals from ethanol, m.p. 133-135 °C (lit. [36,37] 135 °C).
3-Phenylamino-6,7-dichloro-1H-benzo[1,3,4]thiadiazine-5,8-dione (12a). Orange crystals from acetonitrile, m.p. 277-179 °C, Yield 190 mg (28 %); IR cm−1: 3330, 3270 (NH), 1680 (C=O), 1620 (C=N), 1590 (Ar-C=C); 1H-NMR (δ): 7.11-7.32 (m, 5H, Ph), 7.80 (br, s, 1H, thiadiazine-NH), 8.68 (br, s, 1H, NHPh); 13C-NMR (δ): 125.11, 128.56, 129.32 (Ph-CH), 142.43 (q-C), 127.00 (C-4a), 139.16, 141.22 (C-6,7), 152.16 (C-3), 155.63 (C-8a), 170.20, 171.36 (C-5,8); EI-MS m/z (%): 341/339 (M+, 9), 303 (8), 267 (14), 132 (52), 104 (31), 91 (100), 77 (76), 65 (44); Anal. Calcd. for C13H7Cl2N3O2S (340.19): C, 45.90; H, 2.07; Cl, 20.84; N, 12.35; S, 9.43. Found: C, 46.06; H, 1.93; Cl, 20.69; N, 12.48; S, 9.56.
3-Benzylamino-6,7-dichloro-1H-benzo[1,3,4]thiadiazine-5,8-dione (12b). Orange crystals from methanol, m.p. 291-293 °C, Yield 177 mg (25 %); IR cm−1: 3340, 3255 (NH), 1675 (C=O), 1630 (C=N), 1585 (Ar-C=C); 1H-NMR (δ): 4.64 (br, s, 2H, CH2Ph), 7.06-7.24 (m, 5H, Ph), 7.70 (br, s, 1H, thiadiazine-NH), 8.43 (br, s, 1H, NHCH2Ph); 13C-NMR (δ): 47.94 (CH2Ph), 126.56, 127.18, 128.41(Ph-CH), 141.42 (q-C), 127.24 (C-4a), 139.36, 141.11 (C-6,7), 151.83 (C-3), 155.42 (C-8a), 169.96, 170.83 (C-5,8); EI-MS m/z (%): 355/353 (M+, 11), 317 (5), 281 (8), 104 (27), 91 (83), 71(100); Anal. Calcd. for C14H9Cl2N3O2S (354.22): C, 47.47; H, 2.56; Cl, 20.02; N, 11.86; S, 9.05. Found C, 47.31; H, 2.73; Cl, 19.88; N, 11.98; S, 8.93.
3-Allylamino-6,7-dichloro-1H-benzo[1,3,4]thiadiazine-5,8-dione (12c). Pale orange crystals from methanol, m.p. 189-199 °C, Yield 134 mg (22 %); IR cm−1: 3340, 3260 (NH), 2960, 2840 (Ali-CH), 1685 (C=O), 1610 (C=N); 1H-NMR (δ): 4.22 (m, 2H, allyl-CH2N), 5.14-5.17 (m, 2H, allyl-CH2=),5.92-6.04 (m, 1H, allyl-CH=), 7.54 (br, s, 1H, allyl-NH), 7.86 (br, s, 1H, thiadiazine-NH); 13C-NMR (δ): 43.66 (allyl-CH2N), 115.12 (allyl-CH2=), 134.86 (allyl-CH=), 127.18 (C-4a), 139.22, 141.10 (C-6,7), 151.36 (C-3), 154.76 (C-8a), 170.76, 171.48 (C-5,8); EI-MS m/z (%): 305/303 (M+, 21), 267 (14), 231 (9), 203 (11), 99 (100), 41 (61); Anal. Calcd. for C10H7Cl2N3O2S (304.16): C, 39.49; H, 2.32; Cl,23.31; N, 13.82; S, 10.54. Found C, 39.35; H, 2.24; Cl, 23.51; N, 14.01; S, 10.34.
2,3,7,8-Tetrachlorothianthrene-1,4,6,9-tetraone (13a). Blue crystals from DMF, m.p. 342-344 °C, Yield 170 mg (41 %); IR cm−1: 1695 (C=O); 13C-NMR (δ): 143.47 (C-2,3,7,8), 149.32 (C-4a,5a,9a,10a), 171.36 (C-1,4,6,9); EI-MS m/z (%): 416/412 (M+, 100), 398 (39), 379 (12), 349 (16), 321 (19), 115 (55), 87 (91), 64 (36), 36 (69); Anal. Calcd. for C12Cl4O4S2 (414.07): C, 34.81; Cl, 34.25; S, 15.49. Found C, 34.66; Cl, 34.41; S, 15.63.
2,3,7,8-Tetrabromothianthrene-1,4,6,9-tetraone (13b). Blue crystals from DMF, m.p. >360 °C, Yield 260 mg (44 %); IR cm−1: 1700 (C=O). 13C-NMR (δ): 138.16 (C-2,3,7,8), 149.11 (C-4a,5a,9a,10a), 170.86 (C-1,4,6,9); EI-MS m/z (%): 594/590 (M+, 100), 512 (20), 496 (26), 416 (18), 260 (66), 188 (56), 142 (33), 116 (83), 60 (54); Anal. Calcd. for C12Br4O4S2 (591.87): C, 24.35; Br, 54.00; S, 10.84; found C, 24.51; Br, 53.86; S, 11.02.

Reactions of 9a-c with chloranil (10a) and bromanil (10b).

A solution of 9a-c (1.0 mmol) in anhydrous THF (15 mL) was added dropwise with stirring to a solution of 10a,b (1.0 mmol) in anhydrous THF (20 mL). The mixture was heated under reflux for 5 hours, during which it turned from yellow into reddish orange. The mixture was concentrated under vacuum and the residue separated by plc using cyclohexane/ethyl acetate (3:1) as developing solvent to give numerous coloured zones, three of which (with the highest intensity) were extracted and removed. The fastest migrating one, which quenched all indicator fluorescence upon exposure to 254 nm UV-light, contained the thiadiazepanes 16a-c, the second zone (which was always characterized by an orange colour) contained the quinoxalines 14a-c and 15a-c, while the third zone contained the dihydrobenzoquinones 14-H2 and 15-H2.
5,6,8-Trichloro-7-oxo-3,7-dihydro-2H-quinoxaline-1-carbothioic acid phenyl amide (14a). Brown crystals from ethanol, m.p. 254-256 °C, Yield 189 mg (49 %); IR cm−1: 3325 (NH), 2965 (Ali-CH), 1685 (C=O), 1590 (Ar-C=C); 1H-NMR (δ): 3.46-3.60 (m, 2H, quinoxaline-3-H2), 3.64-3.87 (m, 2H, quinoxaline-2-H2), 7.08-7.37 (m, 5H, Ph), 9.69 (br, s, 1H, NHPh); 13C-NMR (δ): 48.77, 55.33 (quinoxaline-C-3,2), 120.11 (C-8), 124.83, 125.31, 128.86 (Ph-CH), 139.41 (q-C), 138.46, 141.33 (C-5,6), 151.12 (C-4b), 158.36 (C-4a), 170.17 (C-7), 180.34 (C=S); EI-MS m/z (%): 387/383 (M+, 36), 349 (11), 277 (8), 221 (21), 205 (9), 135 (57), 91 (100), 77 (81), 65 (64); Anal. Calcd. For C15H10Cl3N3OS (386.68): C, 46.59; H, 2.61; Cl, 27.51; N, 10.87; S, 8.29. Found C, 46.68; H, 2.53; Cl, 27.38; N, 11.03; S, 8.44.
5,6,8-Trichloro-7-oxo-3,7-dihydro-2H-quinoxaline-1-carbothioic acid benzyl amide (14b). Brown crystals from acetonitrile, m.p. 269-271 °C, Yield 188 mg (47 %); IR cm−1: 3320 (NH), 2960, 2870 (Ali-CH), 1690 (C=O), 1600 (Ar-C=C); 1H-NMR (δ): 3.50-3.61 (m, 2H, quinoxaline-3-H2), 3.70-3.85 (m, 2H, quinoxaline-2-H2), 4.60 (br, s, 2H, CH2Ph) 7.0-7.29 (m, 5H, Ph), 9.42 (br, s, 1H, NHCH2Ph); 13C-NMR (δ): 48.68, 55.19 (quinoxaline-C-3,2), 50.24 (CH2Ph), 119.82 (C-8), 126.52, 127.14, 128.95 (Ph-CH), 140.13 (q-C), 138.37, 141.20 (C-5,6), 150.76 (C-4b), 158.82 (C-4a), 169.93 (C-7), 181.12 (C=S); EI-MS m/z (%): 400/397 (M+, 22), 363 (17), 263 (27), 235 (11), 149 (42), 91 (62), 77 (100), 65 (83); Anal. Calcd. for C16H12Cl3N3OS (400.71): C, 47.96; H, 3.02; Cl, 26.54; N, 10.49; S, 8.00. FoundC, 48.12; H, 2.96; Cl, 26.39; N, 10.66; S, 7.86.
5,6,8-Trichloro-7-oxo-3,7-dihydro-2H-quinoxaline-1-carbothioic acid allyl amide (14c). Pale brown crystals from ethanol, m.p. 167-169 °C, Yield 154 mg (44 %); IR cm−1: 3330 (NH), 2970, 2890 (Ali-CH), 1685 (C=O); 1H-NMR ((δ): 3.48-3.57 (m, 2H, quinoxaline-3-H2), 3.86-3.86 (m, 2H, quinoxaline-2-H2), 4.22 (m, 2H, allyl-CH2N), 5.17-5.20 (m, 2H, allyl-CH2=), 5.84-5.92 (m, 1H, allyl-CH=), 7.54 (br, s, 1H, allyl-NH); 13C-NMR (δ): 43.62 (allyl-CH2N), 48.61, 55.12 (quinoxaline-C-3,2), 114.96 (allyl-CH2=), 119.86 (C-8), 134.76 (allyl-CH=), 138.56 141.13 (C-5,6), 151.10 (C-4b), 158.63 (C-4a), 170.12 (C-7), 180.66 (C=S); EI-MS m/z (%): 351/347 (M+, 32), 313 (18), 277 (6), 241 (11), 185 (24), 99 (76), 41 (100), 36 (54); Anal. Calcd. for C12H10Cl3N3OS (350.65): C, 41.10; H, 2.87; Cl, 30.33; N, 11.98; S, 9.14. Found C, 41.26; H, 2.69; Cl, 30.13; N, 12.11; S, 9.26.
5,6,8-Tribromo-7-oxo-3,7-dihydro-2H-quinoxaline-1-carbothioic acid phenyl amide (15a). Reddish-brown crystals from ethanol, m.p. 273-275 °C, Yield 239 mg (46 %); IR cm−1: 3310 (NH), 2960 (Ali-CH), 1680 (C=O), 1600 (Ar-C=C); 1H-NMR (δ): 3.44-3.61 (m, 2H, quinoxaline-3-H2), 3.66-3.85 (m, 2H, quinoxaline-2-H2), 7.10-7.35 (m, 5H, Ph), 9.65 (br, s, 1H, NHPh); 13C-NMR (δ): 48.76, 55.12 (quinoxaline-C-3,2), 103.34 (C-8), 124.34, 125.16, 128.83 (Ph-CH), 139.42 (q-C), 127.66, 130.18 (C-5,6), 150.66 (C-4b), 158.36 (C-4a), 170.10 (C-7), 180.36 (C=S); EI-MS m/z (%): 519/515 (M+, 18), 489 (12), 461 (14), 437 (21), 357 (18), 277 (12), 142 (38), 91 (67), 77 (83), 65 (100); Anal. Calcd. For C15H10Br3N3OS (520.04): C, 34.64; H, 1.94; Br, 46.10; N, 8.08; S, 6.17. Found C, 34.51; H, 2.12; Br, 45.93; N, 7.96; S, 6.29.
5,6,8-Tribromo-7-oxo-3,7-dihydro-2H-quinoxaline-1-carbothioic acid benzyl amide (15b). Reddish-brown crystals from acetonitrile, m.p. 282-284 °C, Yield 219 mg (41 %); IR cm−1: 3330 (NH), 2965, 2840 (Ali-CH), 1690 (C=O), 1590 (Ar-C=C); 1H-NMR (δ): 3.53-3.64 (m, 2H, quinoxaline-3-H2), 3.68-3.83 (m, 2H, quinoxaline-2-H2), 4.64 (br, s, 2H, CH2Ph), 6.98-7.28 (m, 5H, Ph), 9.45 (br, s, 1H, NHCH2Ph); EI-MS m/z (%): 533/529 (M+, 18), 503 (11), 474 (6), 451 (27), 371 (18), 291 (16), 142 (36), 91 (100), 77 (67), 65 (43): Anal. Calcd. for C16H12Br3N3OS (534.06): C, 35.98; H, 2.26; Br, 44.88; N, 7.87; S, 6.00. Found C, 36.14; H, 2.18; Br, 45.08; N, 7.96; S, 5.87.
5,6,8-Tribromo-7-oxo-3,7-dihydro-2H-quinoxaline-1-carbothioic acid allyl amide (15c). Reddish brown crystals from ethanol, m.p. 185-187 °C, Yield 208 mg (43 %); IR cm−1: 3310 (NH), 2970, 2890 (Ali-CH), 1685 (C=O); 1H-NMR (δ): 3.46-3.58 (m, 2H, quinoxaline-3-H2), 3.62-3.78 (m, 2H, quinoxaline-2-H2), 4.18 (m, 2H, allyl-CH2N), 5.18-5.22 (m, 2H, allyl-CH2=), 5.92-6.03 (m, 1H, allyl-CH=), 7.58 (br, s, 1H, allyl-NH); EI-MS m/z (%): 483/479 (M+, 21), 401 (16), 321 (11), 241 (6), 213 (17), 185 (32), 86 (53), 41 (100); Anal. Calcd. for C12H10Br3N3OS (484.01); C, 29.78; H, 2.08; Br, 49.53; N, 8.68; S, 6.63. Found C, 29.64; H, 1.96; Br, 49.68; N, 8.52; S, 6.47.
7-Phenylimino-[1,3,6]thiadiazepane-3-thione (16a). Yield (45 mg, 19 %), colourless crystals from methanol, m.p. 233-235 °C (lit. [37] 235-237 °C).
7-Benzylimino-[1,3,6]thiadiazepane-3-thione (16b). Yield (40 mg, 16 %), colourless crystals from ethanol, m.p. 130-132 °C (lit. [37] 128-130 °C).
7-Allylimino-[1,3,6]thiadiazepane-3-thione (16c). Yield (28 mg, 14 %), colourless crystals from ethanol, m.p. 100-101 °C (lit. [37] 98-100 °C).

Acknowledgements

A. A. Hassan is indebted to the A. v. Humboldt-Foundation for the award of a fellowship from August 2003 to September 2003 and also for the donation of the Shimadzu 408 IR as well as Perkin-Elmer Lambda 2 Spectrophotometers.

References

  1. Patai, S.; Rappoport, Z. The Chemistry of Quinonoid Compounds; Wiley Interscience: New York, 1988; vol. 2, part 1; pp. 552–570. [Google Scholar]
  2. Billman, J.H.; Thomas, D.G.; Barnes, D.K. 2,5-Diamino-1,4-benzoquinone. J. Am. Chem. Soc. 1946, 68, 2103–2103. [Google Scholar] [CrossRef]
  3. Kouno, K.; Ogawa, C.; Shimoura, Y.; Yano, H.; Veda, Y. Interaction of Imidazole Derivatives with Electron Acceptors. II. Reaction Products of Imidazole with p-Benzoquinones. Chem. Pharm. Bull. 1981, 29, 301–7. [Google Scholar] [CrossRef]
  4. Ballesteros, P.; Claramunt, R.M.; Escolastico, C.; Santa Maria, M.D. Reaction of Pyrazole Addition to Quinones. J. Org. Chem. 1993, 57, 1873–76. [Google Scholar] [CrossRef]
  5. Foster, R.; Kulevsky, N.; Wanigasekera, D.S. Reaction of Amino-acids with p-Benzoquinones. J. Chem. Soc. Perkin Trans. 1974, 1, 1318–1321. [Google Scholar] [CrossRef]
  6. Khan, A.H.; Driscoll, J.S. Potential Central Nervous System Antitumor Agents. Aziridinylbenzoquinones 1. J. Med. Chem. 1976, 19, 313–317. [Google Scholar] [CrossRef] [PubMed]
  7. Chan, F.; Khan, A.H.; Driscoll, J.S. Potential Central Nervous System Antitumor Agents. Aziridinylbenzoquinones 2. J. Med. Chem. 1976, 19, 1302–1308. [Google Scholar]
  8. Hassan, A.A.; Mohamed, N.K.; Aly, A.A.; Mourad, A.E. A new Synthesis of Quinoxaline, Imidazolidine, Indole, Carbazole Derivatives and their Antibacterial Activity. Pharmazie 1997, 52, 282–287. [Google Scholar]
  9. Hassan, A.A.; Mohamed, N.K.; Ibrahim, Y.A.; Mourad, A.E. Chemical Interactions of Thiosemicarbazides with 1,4-Benzo- and 1,4-Naphthoquinones. Liebigs Ann. Chem. 1993, 695–697. [Google Scholar] [CrossRef]
  10. Ibrahim, Y.A.; Hassan, A.A.; Mohamed, N.K.; Mourad, A.E. 3-Amino-4-arylazopyrazole: CT-complexation and a Novel Synthesis of Pyrazolo[2,3-a]quinazoline. Arch. Pharm. (Weinheim) 1992, 325, 389–392. [Google Scholar] [CrossRef]
  11. Hassan, A.A.; Mohamed, N.K.; Aly, A.A.; Mourad, A.E. Reaction of 3,5-Diamino-4-arylazopyrazoles with Chlorinated Quinones. Bull. Soc. Chim. Belg. 1996, 105, 159–162. [Google Scholar] [CrossRef]
  12. Hassan, A.A.; Mohamed, N.K.; Aly, A.A.; Mourad, A.E. A Novel Synthesis of 1,2,4-Triazolo[1,5-a]isoindolinetrione, 1,2,4-Triazolo[1,5-a]pyrimidine and 1,2,4-Triazolo[2,3-a]quin-azolinedione Derivatives and Their Antibacterial Activity. Pharmazie 1997, 52, 23–28. [Google Scholar]
  13. Hassan, A.A.; Mohamed, N.K.; Ibrahim, Y.A.; Sadak, K.U.; Mourad, A.E. Chemical Interaction Between 1,2,4-Triazole-3-thiols and π-Acceptors. Bull. Chem. Soc. Jpn. 1993, 66, 2612–2626. [Google Scholar] [CrossRef]
  14. Hammam, A.S.; Bayoumy, B.E. Heterocyclic Quinines. XIII. Reaction of Thioamides With 2,3-Dichloro-1,4-naphthoquinone. A Novel Synthesis of Naphtha[2,3-d]thiazole-4,9-diones. Collect. Czech. Chem. Commun. 1985, 50, 71–9. [Google Scholar] [CrossRef]
  15. Katritzky, A.R.; Fan, W.Q. Some Novel Quinone-Type Dyes Containing Naphthoquinone and Related Fused Ring Systems. J. Heterocyclic Chem. 1988, 25, 901–906. [Google Scholar] [CrossRef]
  16. Katritzky, A.R.; Fan, W.Q.; Linand, Q.I.; Bayyuk, S. Novel Chromophoric Heterocycles Based on Maleimide and Naphthoquinone. J. Heterocyclic Chem. 1989, 26, 885. [Google Scholar] [CrossRef]
  17. Matsuoka, M.; Iwamoto, A.; Furukawa, N.; Kitao, T. Reaction of 2,3-Dicloro-1,4-naphtho-quinone With Dithiooxamide. Synthesis of Dibenzo[b,i]thianthrene-5,7,12,14-tetrone. J. Heterocyclic Chem. 1991, 28, 1445–1447. [Google Scholar] [CrossRef]
  18. Matsuoka, M.; Iwamoto, A.; Furukawa, N.; Kitao, T. Syntheses of Polycyclic-1,4-dithiines and Related Heterocycles. J. Heterocyclic Chem. 1992, 29, 439–445. [Google Scholar] [CrossRef]
  19. Matsuoka, M.; Iwamoto, A. The Structure of The CT Complex Between 5,7,12,14-Tetramethoxydibenzo[b,i]thianthrene with TCNQ. J. Heterocyclic Chem. 1993, 30, 173–176. [Google Scholar] [CrossRef]
  20. Katritzky, A.R.; Fan, W.Q. A Reexamination of The Reaction of 2,3-Dichloro-1,4-naphthoquinone With Thioamides. J. Heterocyclic Chem. 1993, 30, 1679–1681. [Google Scholar] [CrossRef]
  21. Raphael, E.; Joshua, C.P.; Koshy, L. Alkali Catalyzed Thermal Cyclization of 1-Substituted and 1,6-Disubstituted 2,5-dithiobiureas: Formation of 1,2,5-Dithiones and/ or 1,3,4-Thiadiazoline-5-thiones. Indian J. Chem. 1989, 28B, 635–638. [Google Scholar]
  22. Kurzer, F.; Secker, J.L. Addition-Cyclization of Ethoxycarbonyl Isothiocyanate With Hydrazine Derivatives as a Source of Thiadiazoles and Triazoles. J. Heterocyclic Chem. 1989, 26, 355–359. [Google Scholar] [CrossRef]
  23. Tomita, Y.; Kabashima, S.; Okawara, T.; Yamasaki, T.; Furukawa, M. Heterocyclization of 2,4-Disubstituted thiosemicarbazides with Haloketones. J. Heterocyclic Chem. 1990, 27, 707–710. [Google Scholar]
  24. Suni, M.M.; Nair, V.A.; Joshua, C.P. Heterocyclization of 1-Aryl/alkyl-2-thiobiureas to 4-Aryl/alkyl-3-substituted-∆2-1,2,4-triazolin-5-ones. Tetrahedron 2001, 57, 2003–2009. [Google Scholar] [CrossRef]
  25. Dobosz, M.; Pachuta-Stec, A. Synthesis of New Derivatives of 3-Benzyl-∆2-1,2,3-triazoline-5-thione and 5-Benzyl-1,3,4-thiadiazole. Acta Pol. Pharm. 1996, 53, 123–131. [Google Scholar]
  26. Korzycka, L.; Glowka, M.; Janicka, J. Synthesis and X-ray Studies of Derivatives of 1,2,4-Triazolidine-3-thiones. Pol. J. Chem. 1998, 72, 73–77. [Google Scholar]
  27. Dittmer, D.C. “No-Solvent” Organic Synthesis. Chem. Ind. 1997, 19, 779–784. [Google Scholar]
  28. Invidiata, F.P.; Furno, G.; Lampronti, I.; Simoni, D. 1,2,4-Triazoles. Improved Synthesis of 5-Substituted 4-Amino-3-mercapto- (4H)-1,2,4-triazoles and a Facile Route to 3,6-Disubstituted 1,2,4-Triazolo[3,4-b][1,2,3]thiadiazoles. J. Heterocyclic Chem. 1997, 34, 1255–1258. [Google Scholar] [CrossRef]
  29. Kalinowski, H.O.; Berger, S.; Braun, S. 13C-NMR Spectroscopy; Georg Thieme Verlag: Stuttgart, 1984. [Google Scholar]
  30. Silverstein, R.M. Spectrometric Identificaation of Organic Compounds; John Wiley and Sons, Inc.: New York, 1974. [Google Scholar]
  31. Mizrakh, L.T.; Polanskaya, L.Yu.; Gvozdetskii, A.N.; Vosil’ev, A.M.; Ivanova, T.M.; Lisina, N.I. Synthesis of Some of N-allyl-N′-Substituted thiocarbamide Derivatives and Study of their Antiradiation Properties. Khim-Farm Zn. 1987, 21, 322–328. [Google Scholar] [CrossRef]
  32. Reiter, J.; Barkôczy, J. On triazoles. XXXIX [1]. The Reaction of Triazolyl thiohydrazides with Isocyanates and Isothiocyanates. J. Heterocyclic Chem. 1993, 30, 333–343. [Google Scholar] [CrossRef]
  33. Kepe, V.; Pozvàn, F.; Golobič, A.; Polanc, S.; Koéevar, M. Migration of an Acyl Group in the Pyrazole System: Synthesis of 1-Acyl-3-hydroxy-1H-pyrazoles and Related Derivatives. A New Preparation of N,N′-Diacylhydrazines. J. Chem. Soc. Perkin Trans. 1998, 1, 2813–2816. [Google Scholar] [CrossRef]
  34. Heinz, E.; Berscheid, R. Preparation and Application of Thiosemicarbazide and Thiocarbazide Derivatives as Antimicrobial Agent. Sofw J. 1994, 120, 286–90, [C. A. 1996, 124, 55859 w]. [Google Scholar]
  35. Simiti, A.I.; Cosma, N.; Proinov, I. Addition to Isothiocyanates I. Addition of Thiosemicarbazides to Isothiocyanates. Acad. Rep. Pop. Rom., Filiala Cluj, studii cercetavdri Chim. 1957, 8, 315–333. [Google Scholar]
  36. Guha, P.C. Ring Clousure of Hydrazodithio- and –Monothiodicarbonamides with acetic anhydride. J. Am. Chem. Soc. 1923, 45, 1036–1039. [Google Scholar] [CrossRef]
  37. Hassan, A.A.; Mourad, A.E.; El-Shaieb, K.M.; Abou-Zied, A.H.; Döpp, D. Thermolysis of Symmetrical Dithiobiurea and Thioureidoethylthiourea Derivatives. J. Heteroatom Chem. 2003, 14, 535–541. [Google Scholar] [CrossRef]
  38. Ried, W.; Oxenius, R. Synthesis and Pyrolysis of Symmetrical Mercapto derived. Chem. Ber. 1973, 106, 484–490. [Google Scholar] [CrossRef]
  • Sample availability: Samples of compounds 2, 11, 13a and 16 are available from MDPI.

Article Metrics

Citations

Article Access Statistics

Multiple requests from the same IP address are counted as one view.