Autocatalytic Sets and Assembly Theory: A Toy Model Perspective
Abstract
1. Introduction
2. Related Work
2.1. Assembly Theory
2.2. Autocatalysis
3. Methodology
3.1. Assembly Index (AI)
- The word “ABRACADABRA” consists of 11 characters but only 5 unique letters: .
- Begin with the letter “A”. Combine “A” with “B” to form “”. This is the first step. That is, we allow only for the following operation where two objects, not necessarily unique letters, are joined: , where and can be “A”, “”, “”, “”, “”, or any other combination of unique letters of arbitrary length.
- Repeat this process to form “” in subsequent steps.
- The structure “” can then be reused to complete the word in fewer steps than starting from scratch each time.
3.2. Linking Assembly Space, Molecular Assembly Index, and Pathway Probability
3.3. Autocatalytic Sets
- Reflexively autocatalytic (RA) if every reaction in R is catalyzed by at least one molecule involved in any of the reactions in R;
- F-generated (F) if every reactant in R can be constructed from a small “food set” F by successive applications of reactions from R;
- Reflexively autocatalytic and F-generated (RAF) if it is both RA and F.
4. A Toy Model for Autocatalytic Sets
- We choose an all-equally random catalyst. Further, we do not allow this catalyst to be used again.
- We choose a catalyst with a weighted probability and allow catalysts to be used more than once.
Assembly Theory and Autocatalysis within the Toy Model
- Equally randomly chosen catalysts, no weighting, no reuse;No autocatalytic amplification.This serves as our baseline distribution.
- Equally randomly chosen catalysts, no weighting, no reuse;Exponential autocatalytic amplification.
- Weighted randomly chosen catalysts, reuse allowed;No autocatalytic amplification.
- Weighted randomly chosen catalysts, reuse allowed;Exponential autocatalytic amplification.
5. Numerical Experiments
5.1. Toy Model Implementation
| Algorithm 1 Creaqting a Construction | |
| Algorithm to construct the autocatalytic sets from the proposed Toy Model Initialization: | |
| • final_product | Target product to synthesize, e.g., “” |
| • catalyst_probability | Probability of assigning a catalyst |
| • switch_cat← strategy defined in Section 4, Equation (6) | Catalyst assignment strategy |
| • reaction_set | Set to store all reactions |
| • all_elements | Set to store all unique elements |
| • layer← 0 | |
| Recursive Product Decomposition: | |
| 1: Function: split_product(product←final_product, layer) | |
| 2: Add product to all_elements | |
| 3: if length(product) = 1 then | |
| 4: return | Base case: product is a single element |
| 5: end if | |
| 6: andomly split product into two reactants, and | |
| 7: Add the reaction to reaction_set | |
| 8: split_product(, layer + 1) | Recursively process the first reactant |
| 9: split_product(, layer + 1) | Recursively process the second reactant |
| Catalyst Assignment: | |
| 1: for each reaction in reaction_set do | |
| 2: Generate a random number r in the range | |
| 3: if then | |
| 4: Choose | |
| based on random or weighted random strategy set by switch_cat | |
| 5: Assign catalyst from all_elements to : | |
| 6: end if | |
| 7: end for | |
| 8: return reaction_set | The set of all reactions characterizes a construction |
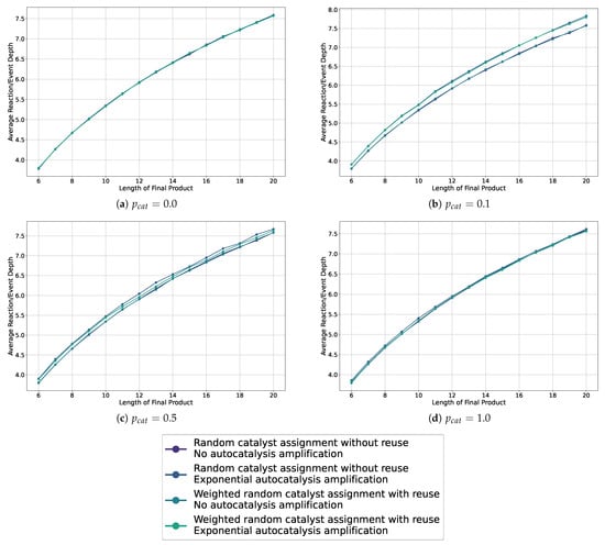
5.2. Results
- The autocatalytic amplification, which alters the distribution in the sampled assembly space for certain constructions/pathways, causes a bias toward longer chains of reactions/events and thus greater depths of the observed constructions.
- We cannot conclude that the weighting of the catalysts has any impact on the distribution of pathways in the observed sample assembly spaces.
- We observe an increasing separation of the average depths between cases with and without autocatalytic amplification in our sampled assembly spaces for lower probabilities of catalysis (i.e., highest for ) and increasing object lengths .
6. Discussion
7. Conclusions
Author Contributions
Funding
Data Availability Statement
Acknowledgments
Conflicts of Interest
Appendix A. Additional Plots


References
- Mitchell, M. Complexity A Guided Tour; Oxford University Press: Oxford, UK, 2009. [Google Scholar] [CrossRef]
- Ladyman, J.; Lambert, J.; Wiesner, K. What is a Complex System? Eur. J. Philos. Sci. 2013, 3, 33–67. [Google Scholar] [CrossRef]
- Marshall, S.M.; Moore, D.G.; Murray, A.R.G.; Walker, S.I.; Cronin, L. Formalising the Pathways to Life Using Assembly Spaces. Entropy 2022, 24, 884. [Google Scholar] [CrossRef] [PubMed]
- Sharma, A.; Czégel, D.; Lachmann, M.; Kempes, C.P.; Walker, S.I.; Cronin, L. Assembly theory explains and quantifies selection and evolution. Nature 2023, 622, 321–328. [Google Scholar] [CrossRef] [PubMed]
- Kauffman, S.A. Cellular Homeostasis, Epigenesis and Replication in Randomly Aggregated Macromolecular Systems. J. Cybern. 1971, 1, 71–96. [Google Scholar] [CrossRef]
- Eigen, M.; Schuster, P. The hypercycle: A principle of natural self-organization. Part A: Emergence of the hypercycle. Naturwissenschaften 1977, 64, 541–565. [Google Scholar] [CrossRef] [PubMed]
- Marshall, S.M.; Murray, A.R.G.; Cronin, L. A probabilistic framework for identifying biosignatures using Pathway Complexity. Philos. Trans. R. Soc. A Math. Phys. Eng. Sci. 2017, 375, 20160342. [Google Scholar] [CrossRef]
- Marshall, S.; Mathis, C.; Carrick, E.; Keenan, G.; Cooper, G.; Graham, H.; Craven, M.; Gromski, P.; Moore, D.; Walker, S.; et al. Identifying molecules as biosignatures with assembly theory and mass spectrometry. Nat. Commun. 2021, 12, 3033. [Google Scholar] [CrossRef]
- Liu, Y.; Mathis, C.; Bajczyk, M.D.; Marshall, S.M.; Wilbraham, L.; Cronin, L. Exploring and mapping chemical space with molecular assembly trees. Sci. Adv. 2021, 7, eabj2465. [Google Scholar] [CrossRef]
- Uthamacumaran, A.; Abrahão, F.S.; Kiani, N.A.; Zenil, H. On the salient limitations of the methods of assembly theory and their classification of molecular biosignatures. NPJ Syst. Biol. Appl. 2024, 10, 82. [Google Scholar] [CrossRef]
- Jaeger, J. Assembly Theory: What It Does and What It Does Not Do. J. Mol. Evol. 2024, 92, 87–92. [Google Scholar] [CrossRef]
- Murray, A.; Marshall, S.; Cronin, L. Defining Pathway Assembly and Exploring its Applications. arXiv 2018, arXiv:1804.06972v1. [Google Scholar]
- Łukaszyk, S.; Bieniawski, W. Assembly Theory of Binary Messages. Mathematics 2024, 12, 1600. [Google Scholar] [CrossRef]
- Jirasek, M.; Sharma, A.; Bame, J.R.; Mehr, S.H.M.; Bell, N.; Marshall, S.M.; Mathis, C.; MacLeod, A.; Cooper, G.J.T.; Swart, M.; et al. Investigating and Quantifying Molecular Complexity Using Assembly Theory and Spectroscopy. ACS Cent. Sci. 2024, 10, 1054–1064. [Google Scholar] [CrossRef]
- Dyson, F.J. A model for the origin of life. J. Mol. Evol. 1982, 18, 344–350. [Google Scholar] [CrossRef] [PubMed]
- Eigen, M.; Schuster, P. The Hypercycle: A Principle of Natural Self-Organization; Springer: Berlin/Heidelberg, Germany, 1979; Reprint of papers which were published in: Die Naturwissenschaften, issues 11/1977, 1/1978, and 7/1978. [Google Scholar] [CrossRef]
- Eigen, M.; Schuster, P. The Hypercycle: A principle of natural self-organization Part B: The abstract hypercycle. Die Naturwissenschaften 1978, 65, 7–41. [Google Scholar] [CrossRef]
- Kauffman, S.A. At Home in the Universe: The Search for Laws of Self-Organization and Complexity; Oxford University Press: New York, NY, USA, 1995. [Google Scholar]
- Hordijk, W.; Steel, M.; Kauffman, S. The Structure of Autocatalytic Sets: Evolvability, Enablement, and Emergence. Acta Biotheor. 2012, 60, 379–392. [Google Scholar] [CrossRef]
- Hordijk, W.; Kauffman, S.A.; Steel, M. Required Levels of Catalysis for Emergence of Autocatalytic Sets in Models of Chemical Reaction Systems. Int. J. Mol. Sci. 2011, 12, 3085–3101. [Google Scholar] [CrossRef] [PubMed]
- Hordijk, W.; Steel, M. Predicting template-based catalysis rates in a simple catalytic reaction model. J. Theor. Biol. 2012, 295, 132–138. [Google Scholar] [CrossRef]
- Hordijk, W.; Steel, M. Detecting autocatalytic, self-sustaining sets in chemical reaction systems. J. Theor. Biol. 2004, 227, 451–461. [Google Scholar] [CrossRef]
- Hordijk, W.; Hein, J.; Steel, M. Autocatalytic Sets and the Origin of Life. Entropy 2010, 12, 1733–1742. [Google Scholar] [CrossRef]
- Napolitano, L.; Evangelou, E.; Pugliese, E.; Zeppini, P.; Room, G. Technology networks: The autocatalytic origins of innovation. R. Soc. Open Sci. 2018, 5, 172445. [Google Scholar] [CrossRef] [PubMed]
- Hordijk, W.; Kauffman, S.; Koppl, R. Emergence of autocatalytic sets in a simple model of technological evolution. J. Evol. Econ. 2023, 33, 1519–1535. [Google Scholar] [CrossRef]
- Steel, M.; Hordijk, W.; Kauffman, S.A. Dynamics of a birth–death process based on combinatorial innovation. J. Theor. Biol. 2020, 491, 110187. [Google Scholar] [CrossRef]
- Kauffman, S.; Roli, A. Is the Emergence of Life an Expected Phase Transition in the Evolving Universe? arXiv 2024, arXiv:2401.09514. [Google Scholar]
- Blokhuis, A.; Lacoste, D.; Nghe, P. Universal motifs and the diversity of autocatalytic systems. Proc. Natl. Acad. Sci. USA 2020, 117, 25230–25236. [Google Scholar] [CrossRef] [PubMed]
- Mathis, C.; Patarroyo, K.Y.; Cronin, L.; Croninlab. Molecular Assembly—Learning Platform. Available online: http://www.molecular-assembly.com/learn/ (accessed on 13 August 2024).
- Lee, D.H.; Granja, J.R.; Martinez, J.A.; Severin, K.; Ghadiri, M.R. A self-replicating peptide. Nature 1996, 382, 525–528. [Google Scholar] [CrossRef]
- Pressé, S.; Ghosh, K.; Lee, J.; Dill, K.A. Principles of maximum entropy and maximum caliber in statistical physics. Rev. Mod. Phys. 2013, 85, 1115–1141. [Google Scholar] [CrossRef]
- Kolmogorov, A.N. Three approaches to the quantitative definition of information. Int. J. Comput. Math. 1968, 2, 157–168. [Google Scholar] [CrossRef]
- Cormen, T.H.; Leiserson, C.E.; Rivest, R.L.; Stein, C. Introduction to Algorithms, 4th ed.; The MIT Press: Cambridge, MA, USA; London, UK, 2022; p. 1312. [Google Scholar]
- Martínez, C.; Roura, S. Randomized binary search trees. J. ACM 1998, 45, 288–323. [Google Scholar] [CrossRef]








Disclaimer/Publisher’s Note: The statements, opinions and data contained in all publications are solely those of the individual author(s) and contributor(s) and not of MDPI and/or the editor(s). MDPI and/or the editor(s) disclaim responsibility for any injury to people or property resulting from any ideas, methods, instructions or products referred to in the content. |
© 2024 by the authors. Licensee MDPI, Basel, Switzerland. This article is an open access article distributed under the terms and conditions of the Creative Commons Attribution (CC BY) license (https://creativecommons.org/licenses/by/4.0/).
Share and Cite
Raubitzek, S.; Schatten, A.; König, P.; Marica, E.; Eresheim, S.; Mallinger, K. Autocatalytic Sets and Assembly Theory: A Toy Model Perspective. Entropy 2024, 26, 808. https://doi.org/10.3390/e26090808
Raubitzek S, Schatten A, König P, Marica E, Eresheim S, Mallinger K. Autocatalytic Sets and Assembly Theory: A Toy Model Perspective. Entropy. 2024; 26(9):808. https://doi.org/10.3390/e26090808
Chicago/Turabian StyleRaubitzek, Sebastian, Alexander Schatten, Philip König, Edina Marica, Sebastian Eresheim, and Kevin Mallinger. 2024. "Autocatalytic Sets and Assembly Theory: A Toy Model Perspective" Entropy 26, no. 9: 808. https://doi.org/10.3390/e26090808
APA StyleRaubitzek, S., Schatten, A., König, P., Marica, E., Eresheim, S., & Mallinger, K. (2024). Autocatalytic Sets and Assembly Theory: A Toy Model Perspective. Entropy, 26(9), 808. https://doi.org/10.3390/e26090808

