Urban Flood Resilience Evaluation Based on Heterogeneous Data and Group Decision-Making
Abstract
1. Introduction
- (1).
- A conceptual framework for evaluating urban flood resilience was established by the PSR-SENCE model, and an extensive SR approach was integrated to produce an indicator system for thorough evaluation.
- (2).
- A novel indicator weight determination method named SW-GAHP is proposed, which takes into account both intrapersonal and interpersonal consistency while considering the decision-making quality of different decision-makers.
- (3).
- The use of the FPMF method for resilience calculation of quantitative indicators can handle both linear and nonlinear patterns for indicators with different meanings, thereby accurately reflecting their actual impact on urban flood resilience.
- (4).
- An EGDMT method is proposed for evaluating qualitative indicators, where decision-maker weights are determined based on the uncertainty degree and group consensus bias of their decision-making information.
- (5).
- A heterogeneous decision-making information fusion method is introduced for evaluating qualitative indicators.
2. Preliminaries
2.1. Cloud Model Theory
2.1.1. Normal Cloud Model
2.1.2. Operation Rules
2.2. Conversion of Heterogeneous Data
2.2.1. Conversion of Numeric Type Data
2.2.2. Conversion of Linguistic Type Data
3. Urban Flood Resilience Factors
3.1. Conceptual Framework
3.2. Identified Factors
- (1).
- Screening: To begin, a search was carried out in the Web of Science Core Collection using keywords such as “urban flood resilience” or “city flood resilience” combined with “assessment” or “evaluation”. This process yielded 1172 relevant papers. Subsequently, the titles and abstracts were screened, and 96 papers remained. Finally, a full-text review was conducted, papers that were less relevant to the scope of this study were eliminated, and a total of 87 papers were obtained.
- (2).
- Expanding: After reviewing the selected papers, relevant and high-quality references were identified, leading to an expansion in the number of references to a total of 106.
- (3).
- Extract: Key influencing factors were extracted from the papers, and those mentioned more than once were considered. In total, 48 factors were identified and categorized according to the urban flood resilience conceptual framework.
- (4).
- Determine: Experts with over five years of experience in the fields of urban resilience, disaster risk reduction, and emergency management were consulted. Through expert discussions and deliberations, a final indicator system comprising 23 key influencing factors was established for the evaluation of urban flood resilience.
3.3. Urban Flood Resilience Evaluation Indicators
4. Urban Flood Resilience Evaluation Methodology
4.1. Evaluation Framework
4.2. Indicator Weight Calculation Using SW-GAHP
4.2.1. Synthesis Weighting Method (SWM) for DMs
Intrapersonal Consistency
Interpersonal Consistency
Synthesis Weights of DMs
4.2.2. Indicator Weighting
| Algorithm 1. SW-GAHP algorithm. |
| Input: PCMs {(Ad)m×m} on m indicators from k DMs (d = 1, 2, …, k). Output: w = {w1, w2, …, wm}. Procedure: 1: for d = 1: k 2: Calculate the largest eigenvalue and its eigenvector wd. 3: Calculate CRd by Equations (14) and (15). 4: Calculate each DM’s intrapersonal consistency weight by Equation (16). 5: end 6: Calculate the average matrix of all DMs by arithmetic mean value. 7: for d = 1: k 8: of the d-th DM’s PCM from by Equation (18). 9: Calculate each DM’s interpersonal consistency weight by Equation (19). 10: Calculate each DM’s synthesis weight by Equation (20). 11: end 12: for i = 1: m 13: Calculate the weight wi of indicator Ci by Equation (21). 14: end |
4.3. Indicator Evaluation
4.3.1. Quantitative Indicator Evaluation Using FPMF
4.3.2. Qualitative Indicator Evaluation Using Group Decision-Making Techniques with Heterogeneous Data
- (1).
- Uncertainness degree
- (2).
- Group consensus bias
- (3).
- Qualitative indicator evaluation
| Algorithm 2. EGDMT with heterogeneous data for the evaluation of qualitative indicators. |
| Input: heterogeneous data on a qualitative indicator from k DMs. Output: the evaluation result Cei. Procedure: 1: Covert heterogeneous data into NCMs (Exd, End, Hed), (d = 1, 2, …, k). 2: for d = 1: k 3: Calculate each DM’s by Equation (26). 4: end 5: Calculate average NCM of NCMs by Equation (27). 6: for d = 1: k 7: of an individual DM’s NCM from the average NCM of DMs by Equation (28). 8: Calculate each DM’s by Equation (29). 9: Calculate each DM’s weight by Equation (30). 10: end 11: Calculate the evaluation result of a qualitative indicator Ci represented as Cei by Equation (31). |
4.4. Multi-Criteria Comprehensive Evaluation
5. Case Study
5.1. Calculate the Weights of the Indicators
5.2. Obtain the Evaluation Data
5.3. Comprehensive Evaluation and Analysis
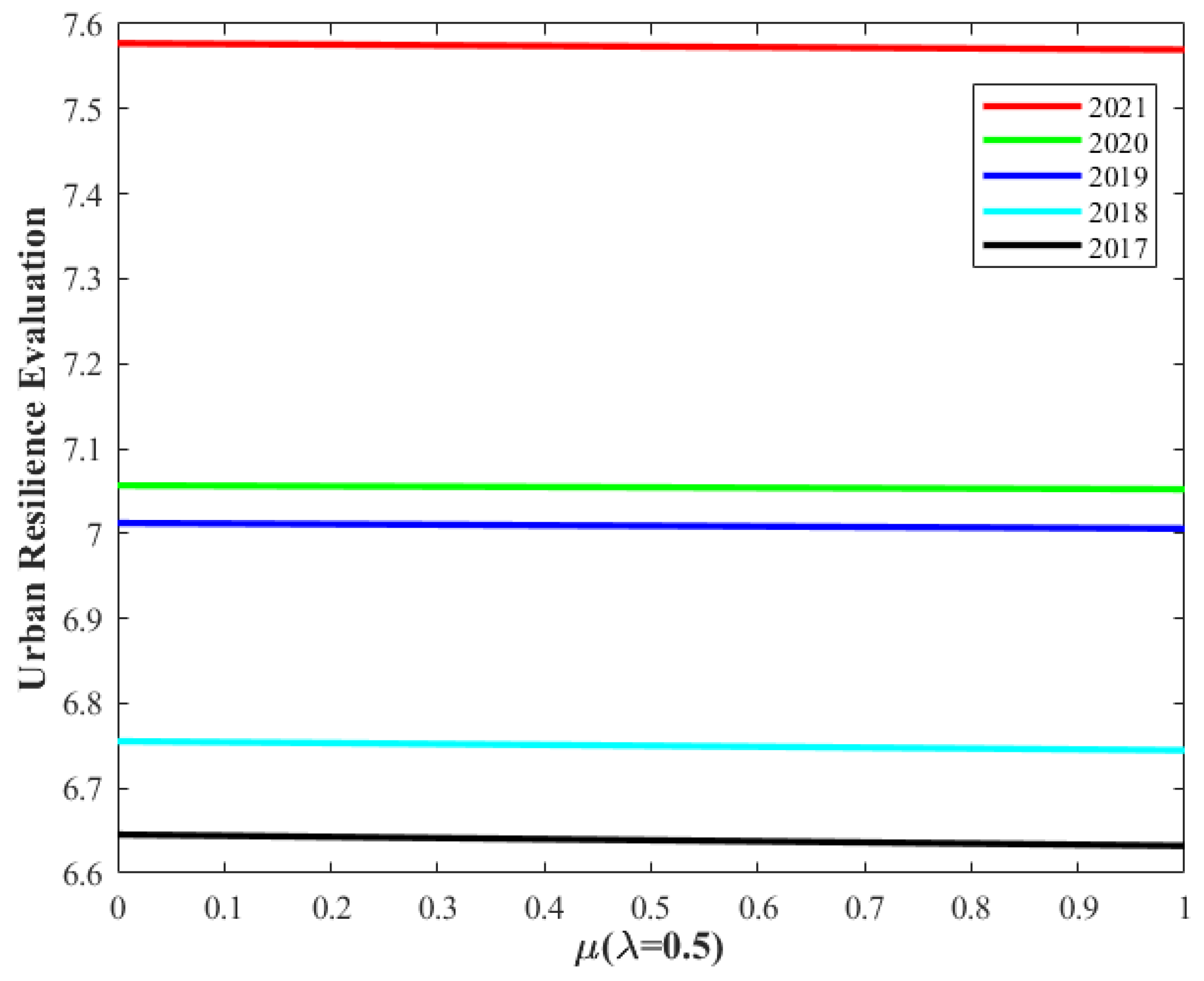
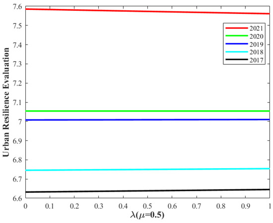
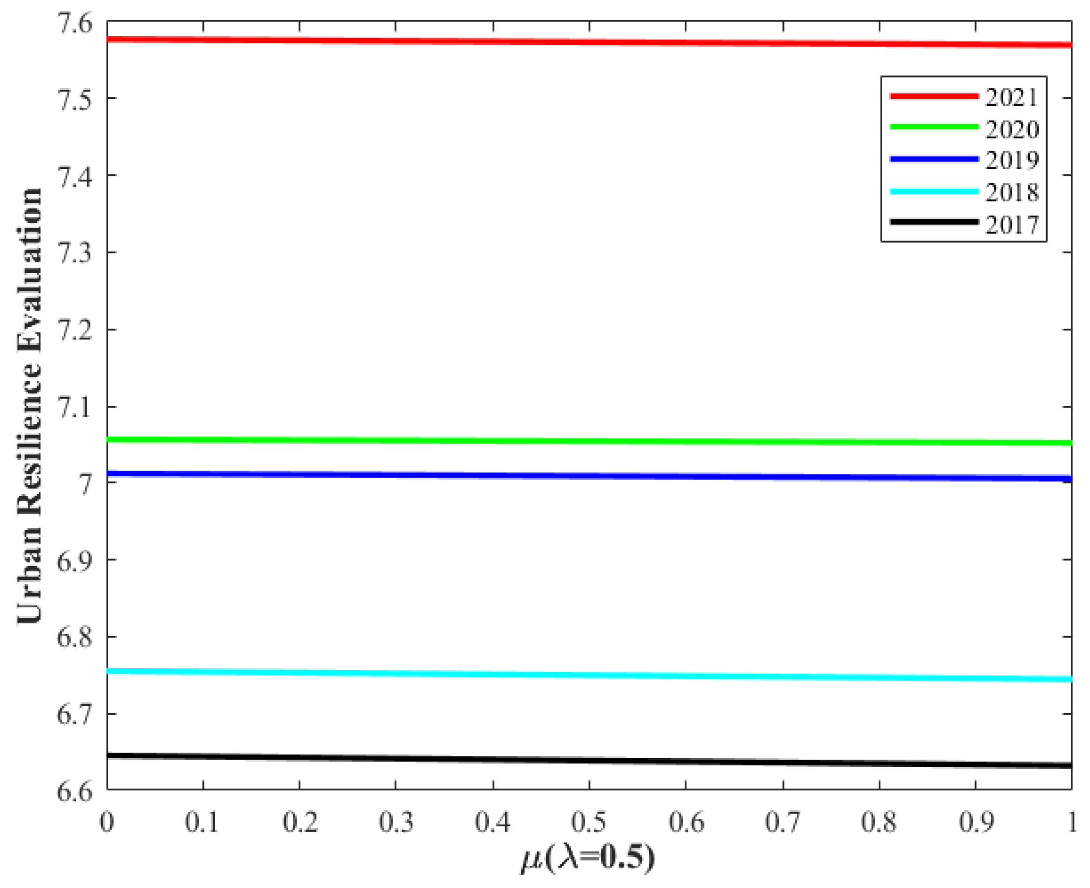
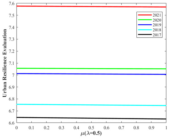
5.4. Sensitivity Analysis
6. Discussion
- (1).
- A comprehensive SR method was utilized to identify 23 critical influencing factors.
- (2).
- A thorough qualitative and quantitative evaluation of urban flood resilience was conducted.
- (3).
- The resilience evaluation of quantitative indicators accounted for both linearity and nonlinearity, in accordance with their respective meanings, employing the FPMF method for evaluation.
- (4).
- Group decision-making technology is used to evaluate qualitative indicators, allowing multiple decision-makers in the field to participate while weighting based on the decision-maker’s contribution, considering intrapersonal consistency and interpersonal consistency.
- (5).
- Heterogeneous data, including various uncertainties, such as exact numbers, statistical data, interval numbers, linguistic terms, NCMs, and linguistic expressions, are utilized to articulate evaluation results. This approach significantly increases the flexibility and applicability of knowledge representation across different stakeholders.
- (6).
- A new method for determining indicator weights, designated SW-GAHP, is proposed. This method comprehensively assesses the decision-making quality in a rational manner. It ensures a more objective and precise determination of weights for each evaluation indicator.
- (7).
- Cloud model theory is applied to manage the uncertainty inherent in heterogeneous data. The final result, represented by an NCM, incorporates not only numerical information but retains uncertainty information as well.
- (8).
- A new evaluation method, EGDMT, is proposed to evaluate the qualitative indicators. This method facilitates a comprehensive and accurate evaluation of urban flood resilience without imposing additional burden on decision-makers, proving to be more reasonable and effective compared to previous methods.
- (9).
- The hybrid MCGDM method is characterized by a clear problem description and a transparent implementation process. All calculations can be executed automatically through programming.
7. Conclusions
Author Contributions
Funding
Data Availability Statement
Conflicts of Interest
References
- Aijun, Q.; Wei, B.; Jing, G. Exploration and Innovation of Strategy Formulation Method of 100 Resilient Cities Project: A Case study of Deyang City, Sichuan Province. Urban Dev. Stud. 2019, 26, 38–44. [Google Scholar]
- Orencio, P.M.; Fujii, M. A localized disaster-resilience index to assess coastal communities based on an analytic hierarchy process (AHP). Int. J. Disaster Risk Reduct. 2013, 3, 62–75. [Google Scholar] [CrossRef]
- Kotzee, I.; Reyers, B. Piloting a social-ecological index for measuring flood resilience: A composite index approach. Ecol. Indic. 2016, 60, 45–53. [Google Scholar] [CrossRef]
- Liu, D.; Feng, J.; Li, H.; Fu, Q.; Li, M.; Faiz, M.A.; Ali, S.; Li, T.; Khan, M.I. Spatiotemporal variation analysis of regional flood disaster resilience capability using an improved projection pursuit model based on the wind-driven optimization algorithm. J. Clean. Prod. 2019, 241, 118406. [Google Scholar] [CrossRef]
- Bergstrand, K.; Mayer, B.; Brumback, B.; Zhang, Y. Assessing the relationship between social vulnerability and community resilience to hazards. Soc. Indic. Res. 2015, 122, 391–409. [Google Scholar] [CrossRef] [PubMed]
- Bertilsson, L.; Wiklund, K.; de Moura Tebaldi, I.; Veról, A.P.; Miguez, M.G. Urban flood resilience–A multi-criteria index to integrate flood resilience into urban planning. J. Hydrol. 2019, 573, 970–982. [Google Scholar] [CrossRef]
- Duleba, S.; Szádoczki, Z. Comparing aggregation methods in large-scale group AHP: Time for the shift to distance-based aggregation. Expert Syst. Appl. 2022, 196, 116667. [Google Scholar] [CrossRef]
- Grošelj, P.; Stirn, L.Z.; Ayrilmis, N.; Kuzman, M.K. Comparison of some aggregation techniques using group analytic hierarchy process. Expert Syst. Appl. 2015, 42, 2198–2204. [Google Scholar] [CrossRef]
- Grošelj, P.; Dolinar, G. Group AHP framework based on geometric standard deviation and interval group pairwise comparisons. Inf. Sci. 2023, 626, 370–389. [Google Scholar] [CrossRef]
- Dong, Q.; Cooper, O. A peer-to-peer dynamic adaptive consensus reaching model for the group AHP decision making. Eur. J. Oper. Res. 2016, 250, 521–530. [Google Scholar] [CrossRef]
- Zhang, Y.; Shang, K. Cloud model assessment of urban flood resilience based on PSR model and game theory. Int. J. Disaster Risk Reduct. 2023, 97, 104050. [Google Scholar] [CrossRef]
- Cao, F.; Xu, X.; Zhang, C.; Kong, W. Evaluation of urban flood resilience and its Space-Time Evolution: A case study of Zhejiang Province, China. Ecol. Indic. 2023, 154, 110643. [Google Scholar] [CrossRef]
- Ji, J.; Wang, D. Evaluation analysis and strategy selection in urban flood resilience based on EWM-TOPSIS method and graph model. J. Clean. Prod. 2023, 425, 138955. [Google Scholar] [CrossRef]
- Jiang, F.; Xie, Z.; Xu, J.; Yang, S.; Zheng, D.; Liang, Y.; Hou, Z.; Wang, J. Spatial and component analysis of urban flood Resiliency of kunming city in China. Int. J. Disaster Risk Reduct. 2023, 93, 103759. [Google Scholar] [CrossRef]
- Zhang, Z.; Zhang, J.; Zhang, Y.; Chen, Y.; Yan, J. Urban Flood Resilience Evaluation Based on GIS and Multi-Source Data: A Case Study of Changchun City. Remote Sens. 2023, 15, 1872. [Google Scholar] [CrossRef]
- Yang, X.; Xu, Z.; Xu, J. Large-scale group Delphi method with heterogeneous decision information and dynamic weights. Expert Syst. Appl. 2023, 213, 118782. [Google Scholar] [CrossRef]
- Li, D. Membership clouds and membership cloud generators. Comput. Res. Dev. 1995, 32, 15–20. [Google Scholar]
- Li, D.; Han, J.; Shi, X.; Chan, M.C. Knowledge representation and discovery based on linguistic atoms. Knowl.-Based Syst. 1998, 10, 431–440. [Google Scholar] [CrossRef]
- Wang, J.; Peng, L.; Zhang, H.; Chen, X. Method of multi-criteria group decision-making based on cloud aggregation operators with linguistic information. Inf. Sci. 2014, 274, 177–191. [Google Scholar] [CrossRef]
- Peng, H.G.; Wang, J.Q. A multicriteria group decision-making method based on the normal cloud model with Zadeh’s Z-numbers. IEEE Trans. Fuzzy Syst. 2018, 26, 3246–3260. [Google Scholar] [CrossRef]
- Wang, P.; Xu, X.; Huang, S.; Cai, C. A linguistic large group decision making method based on the cloud model. IEEE Trans. Fuzzy Syst. 2018, 26, 3314–3326. [Google Scholar] [CrossRef]
- Liu, H.C.; Wang, L.E.; Li, Z.W.; Hu, Y.P. Improving risk evaluation in FMEA with cloud model and hierarchical TOPSIS method. IEEE Trans. Fuzzy Syst. 2018, 27, 84–95. [Google Scholar] [CrossRef]
- Li, D.; Liu, C.; Gan, W. A new cognitive model: Cloud model. Int. J. Intell. Syst. 2009, 24, 357–375. [Google Scholar] [CrossRef]
- Yang, X.J.; Zeng, L.; Zhang, R. Cloud Delphi method. Int. J. Uncertain. Fuzziness Knowl.-Based Syst. 2012, 20, 77–97. [Google Scholar] [CrossRef]
- Yang, X.J.; Zeng, L.; Luo, F.; Wang, S.X. Cloud hierarchical analysis. J. Inf. Comput. Sci. 2010, 7, 2468–2477. [Google Scholar]
- Yang, X.J.; Yan, L.L.; Zeng, L. How to handle uncertainties in AHP: The Cloud Delphi hierarchical analysis. Inf. Sci. 2013, 222, 384–404. [Google Scholar] [CrossRef]
- Li, D.; Du, Y. Artificial Intelligence with Uncertainty; CRC Press: Boca Raton, FL, USA, 2017. [Google Scholar]
- Li, C.B.; Qi, Z.Q.; Feng, X. A multi-risks group evaluation method for the informatization project under linguistic environment. J. Intell. Fuzzy Syst. 2014, 26, 1581–1592. [Google Scholar] [CrossRef]
- Yang, X.; Xu, Z.; He, R.; Xue, F. Credibility assessment of complex simulation models using cloud models to represent and aggregate diverse evaluation results. In International Conference on Intelligent Computing; Springer International Publishing: Cham, Switzerland, 2019; pp. 306–317. [Google Scholar]
- Yang, X.; Yan, L.; Peng, H.; Gao, X. Encoding words into Cloud models from interval-valued data via fuzzy statistics and membership function fitting. Knowl.-Based Syst. 2014, 55, 114–124. [Google Scholar] [CrossRef]
- Rodríguez, R.M.; Martínez, L.; Herrera, F. A group decision making model dealing with comparative linguistic expressions based on hesitant fuzzy linguistic term sets. Inf. Sci. 2013, 241, 28–42. [Google Scholar] [CrossRef]
- Rapport, D.J.; Friend, A. Towards a Comprehensive Framework for Environmental Statistics: A Stress-Response Approach; Statistics Canada: Ottawa, Canada, 1979. [Google Scholar]
- OECD 2013. Framework of OECD work on environmental data and indicators. In Environment at a Glance 2013; OECD iLibrary: Paris, France, 2013. [Google Scholar] [CrossRef]
- Ma, S.J.; Wang, R.S. The social-economic-natural complex ecosystem. Acta Ecol. Sin. 1984, 4, 1–9. [Google Scholar]
- Wang, R.; Li, F.; Hu, D.; Li, B.L. Understanding eco-complexity: Social-economic-natural complex ecosystem approach. Ecol. Complex. 2011, 8, 15–29. [Google Scholar] [CrossRef]
- Zhu, S.; Li, D.; Feng, H.; Zhang, N. The influencing factors and mechanisms for urban flood resilience in China: From the perspective of social-economic-natural complex ecosystem. Ecol. Indic. 2023, 147, 109959. [Google Scholar] [CrossRef]
- Porio, E. Vulnerability, adaptation, and resilience to floods and climate change-related risks among marginal, riverine communities in Metro Manila. Asian J. Soc. Sci. 2011, 39, 425–445. [Google Scholar] [CrossRef]
- Qi, W.; Ma, C.; Xu, H.; Zhao, K. Urban flood response analysis for designed rainstorms with different characteristics based on a tracer-aided modeling simulation. J. Clean. Prod. 2022, 355, 131797. [Google Scholar] [CrossRef]
- Forrest, S.A.; Trell, E.M.; Woltjer, J. Socio-spatial inequalities in flood resilience: Rainfall flooding in the city of Arnhem. Cities 2020, 105, 102843. [Google Scholar] [CrossRef]
- Disse, M.; Johnson, T.G.; Leandro, J.; Hartmann, T. Exploring the relation between flood risk management and flood resilience. Water Secur. 2020, 9, 100059. [Google Scholar] [CrossRef]
- Gersonius, B.; Nasruddin, F.; Ashley, R.; Jeuken, A.; Pathirana, A.; Zevenbergen, C. Developing the evidence base for mainstreaming adaptation of stormwater systems to climate change. Water Res. 2012, 46, 6824–6835. [Google Scholar] [CrossRef]
- Lu, X.; Liao, W.; Fang, D.; Lin, K.; Tian, Y.; Zhang, C.; Zheng, Z.; Zhao, P. Quantification of disaster resilience in civil engineering: A review. J. Saf. Sci. Resil. 2020, 1, 19–30. [Google Scholar] [CrossRef]
- Percival, S.; Teeuw, R. A methodology for urban micro-scale coastal flood vulnerability and risk assessment and mapping. Nat. Hazards 2019, 97, 355–377. [Google Scholar] [CrossRef]
- Braun, B.; Aßheuer, T. Floods in megacity environments: Vulnerability and coping strategies of slum dwellers in Dhaka/Bangladesh. Nat. Hazards 2011, 58, 771–787. [Google Scholar] [CrossRef]
- Chakraborty, L.; Rus, H.; Henstra, D.; Thistlethwaite, J.; Minano, A.; Scott, D. Exploring spatial heterogeneity and environmental injustices in exposure to flood hazards using geographically weighted regression. Environ. Res. 2022, 210, 112982. [Google Scholar] [CrossRef] [PubMed]
- Lee, H.K.; Hong, W.H.; Lee, Y.H. Experimental study on the influence of water depth on the evacuation speed of elderly people in flood conditions. Int. J. Disaster Risk Reduct. 2019, 39, 101198. [Google Scholar] [CrossRef]
- Damm, M. Mapping Social-Ecological Vulnerability to Flooding. A Sub-National Approach for Germany. Ph.D. Thesis, Rheinische Friedrich-Wilhelms-Universität Bonn, Bonn, Germany, 2010. [Google Scholar]
- Zhang, H.; Yang, J.; Li, L.; Shen, D.; Wei, G.; Dong, S. Measuring the resilience to floods: A comparative analysis of key flood control cities in China. Int. J. Disaster Risk Reduct. 2021, 59, 102248. [Google Scholar] [CrossRef]
- Zhu, S.; Li, D.; Huang, G.; Chhipi-Shrestha, G.; Nahiduzzaman, K.M.; Hewage, K.; Sadiq, R. Enhancing urban flood resilience: A holistic framework incorporating historic worst flood to Yangtze River Delta, China. Int. J. Disaster Risk Reduct. 2021, 61, 102355. [Google Scholar] [CrossRef]
- Li, G.; Kou, C.; Wang, Y.; Yang, H. System dynamics modelling for improving urban resilience in Beijing, China. Resour. Conserv. Recycl. 2020, 161, 104954. [Google Scholar] [CrossRef]
- Alexandre, K. When it rains: Stormwater management, redevelopment, and chronologies of infrastructure. Geoforum 2018, 97, 66–72. [Google Scholar] [CrossRef]
- Fenner, R.; O’Donnell, E.; Ahilan, S.; Dawson, D.; Vercruysse, K. Achieving urban flood resilience in an uncertain future. Water 2019, 11, 1082. [Google Scholar] [CrossRef]
- Hsieh, C.H.; Feng, C.M. The highway resilience and vulnerability in Taiwan. Transp. Policy 2020, 87, 1–9. [Google Scholar] [CrossRef]
- Sen, M.K.; Dutta, S.; Kabir, G.; Pujari, N.N.; Laskar, S.A. An integrated approach for modelling and quantifying housing infrastructure resilience against flood hazard. J. Clean. Prod. 2021, 288, 125526. [Google Scholar] [CrossRef]
- Huang, G.; Li, D.; Zhu, X.; Zhu, J. Influencing factors and their influencing mechanisms on urban resilience in China. Sustain. Cities Soc. 2021, 74, 103210. [Google Scholar] [CrossRef]
- Khalili, S.; Harre, M.; Morley, P. A temporal framework of social resilience indicators of communities to flood, case studies: Wagga wagga and Kempsey, NSW, Australia. Int. J. Disaster Risk Reduct. 2015, 13, 248–254. [Google Scholar] [CrossRef]
- GB/T 40947-2021; Guide for Safety Resilient City Evaluation. Standardization Administration of China: Beijing, China, 2021.
- Gawith, D.; Daigneault, A.; Brown, P. Does community resilience mitigate loss and damage from climaterelated disasters? Evidence based on survey data. J. Environ. Plan. Manag. 2016, 59, 2102–2123. [Google Scholar] [CrossRef]
- Chandra, A.; Williams, M.; Plough, A.; Stayton, A.; Wells, K.B.; Horta, M.; Tang, J. Getting Actionable About Community Resilience: The Los Angeles County Community Disaster Resilience Project. Am. J. Public Health 2013, 103, 1181–1189. [Google Scholar] [CrossRef]
- Ha’apio, M.O.; Gonzalez, R.; Wairiu, M. Is there any chance for the poor to cope with extreme environmental events? Two case studies in the Solomon Islands. World Dev. 2019, 122, 514–524. [Google Scholar] [CrossRef]
- Li, Z.; Zhang, X.; Ma, Y.; Feng, C.; Hajiyev, A. A multi-criteria decision making method for urban flood resilience evaluation with hybrid uncertainties. Int. J. Disaster Risk Reduct. 2019, 36, 101140. [Google Scholar] [CrossRef]
- Folke, C. Resilience: The emergence of a perspective for social–ecological systems analyses. Glob. Environ. Change 2006, 16, 253–267. [Google Scholar] [CrossRef]
- Luthar, S.S.; Cicchetti, D.; Becker, B. The construct of resilience: A critical evaluation and guidelines for future work. Child Dev. 2000, 71, 543–562. [Google Scholar] [CrossRef]
- Douglas, I.; Garvin, S.; Lawson, N.; Richards, J.; Tippett, J.; White, I. Urban pluvial flooding: A qualitative case study of cause, effect and nonstructural mitigation. J. Flood Risk Manag. 2010, 3, 112–125. [Google Scholar] [CrossRef]
- Gall, M.; Borden, K.A.; Emrich, C.T.; Cutter, S.L. The unsustainable trend of natural hazard losses in the United States. Sustainability 2011, 3, 2157–2181. [Google Scholar] [CrossRef]
- Xiao, Y.; Drucker, J. Does economic diversity enhance regional disaster resilience? J. Am. Plan. Assoc. 2013, 79, 148–160. [Google Scholar] [CrossRef]
- Bukvic, A.; Smith, A.; Zhang, A. Evaluating drivers of coastal relocation in Hurricane Sandy affected communities. Int. J. Disaster Risk Reduct. 2015, 13, 215–228. [Google Scholar] [CrossRef]
- Orabi, W.; Senouci, A.B.; El-Rayes, K.; Al-Derham, H. Optimizing resource utilization during the recovery of civil infrastructure systems. J. Manag. Eng. 2010, 26, 237–246. [Google Scholar] [CrossRef]
- Kittipongvises, S.; Phetrak, A.; Rattanapun, P.; Brundiers, K.; Buizer, J.L.; Melnick, R. AHP-GIS analysis for flood hazard assessment of the communities nearby the world heritage site on Ayutthaya Island, Thailand. Int. J. Disaster Risk Reduct. 2020, 48, 101612. [Google Scholar] [CrossRef]
- Makhoul, N. From sustainable to resilient and smart cities[C]//IABSE Symposium Report. Int. Assoc. Bridge Struct. Eng. 2015, 105, 1–6. [Google Scholar]
- Yang, X.; Xu, Z.; Ouyang, H.; Wang, L. Credibility assessment of simulation models using flexible mapping functions. In Proceedings of the 2019 IEEE 8th Joint International Information Technology and Artificial Intelligence Conference, Chongqing, China, 24–26 May 2019; pp. 487–492. [Google Scholar]









| Dimensions | Indicators | Description | Expression | Justification |
|---|---|---|---|---|
| Pressure | ||||
| Natural pressure | Short-term heavy rainfall (C1) | Daily rainfall statistics during the rainy season of the current year | [37,38,39] | |
| Flood risk (C2) | The degree of flood risk faced by the city | Fuzzy | [40,41,42] | |
| Topographic feature (C3) | Number between the highest and lowest points per area | [43] | ||
| State | ||||
| Social state | Special needs (C4) | Percentage of the population with disability | [44,45,46] | |
| Vulnerable groups (C5) | Percentage of the population aged over 60 and under 15 | [44,45,46] | ||
| Population density (C6) | Population to area ratio | [47] | ||
| Economic state | Regional economic status (C7) | Regional GDP data released by the National Bureau of Statistics | [48,49] | |
| Unemployment rate (C8) | Proportion of urban unemployed population to total population | [50] | ||
| Natural state | Drainability (C9) | Density of urban drainage networks | [51,52,53] | |
| Green coverage (C10) | Proportion of the vertical projection area of vegetation on the ground per area | [51,52,53] | ||
| Density index of water network (C11) | Average amount of river distribution per area | [51,52,53] | ||
| Response | ||||
| Social response | Emergency services for response and recovery (C12) | Number of police stations, fire stations, and emergency operation centers per 10,000 population | [54,55,56] | |
| Citizen safety awareness and satisfaction (C13) | Citizens’ awareness of safety knowledge and their sense of safety attainment | Fuzzy | [57] | |
| Meteorological station network density (C14) | The number of regional meteorological stations | [4,58,59] | ||
| Hydrological station network density (C15) | The number of regional hydrological stations | [4,58,60] | ||
| Early warning capacity (C16) | Comprehensive prediction accuracy and warning efficiency | Fuzzy | [4,58,61] | |
| Knowledge learning ability (C17) | The ability to learn from and simulate past disaster experiences | Fuzzy | [62] | |
| Economic response | Urban maintenance and construction budget (C18) | The proportion of financial expenditure dedicated to maintaining public safety in the city | [63] | |
| Flood insurance (C19) | Per capita insurance costs in the city | [64,65] | ||
| Economic diversity (C20) | The richness or diversity of the city’s economic forms | Fuzzy | [66] | |
| Natural response | Food availability (C21) | The food supply capacity for the affected population in the city | Fuzzy | [67,68,69] |
| Public transportation service capacity (C22) | The transportation capacity for personnel and materials | Fuzzy | [42,67,68] | |
| Communication capacity (C23) | The communication capability for emergency rescue operations | Fuzzy | [67,68,70] |
| Indicators | xmin | xmax | k | FPMF |
|---|---|---|---|---|
| C1 | 0 | 250 | 2 | CvDF |
| C3 | 200 | 2000 | 1 | CvDF |
| C4 | 0 | 5% | 3 | CcDF |
| C5 | 0 | 50% | 3 | CcDF |
| C6 | 0 | 100 | 2 | CcDF |
| C7 | 0.6607 | 58.412 | 4 | CcIF |
| C8 | 2% | 10% | 2 | CcDF |
| C9 | 0 | 3.76 | 2 | CcIF |
| C10 | 25% | 50% | 2 | CcIF |
| C11 | 0 | 2269 | 3 | CcDF |
| C12 | 0 | 1 | 2 | CcIF |
| C14 | 0 | 500 | 2 | CvIF |
| C15 | 100 | 20,000 | 2 | CcDF |
| C18 | 0 | 10% | 2 | CcIF |
| C19 | 0 | 10,000 | 2 | CcIF |
| 1 | 1 | 1 | 1 | 2 | 1 | 1 | 1 | |||||||||||||||
| 2 | 1 | 3 | 1 | 1 | 3 | 1 | 1 | 1 | 4 | 1 | 2 | 3 | 1 | |||||||||
| 4 | 2 | 1 | 3 | 1 | 3 | 1 | 2 | 1 | 2 | 1 | 3 | 2 | 1 |
| C1 | C2 | C3 | C4 | C5 | C6 | C7 | C8 | C9 | C10 | C11 | C12 | |
| Weight | 0.0897 | 0.0546 | 0.0384 | 0.0150 | 0.0293 | 0.0599 | 0.1002 | 0.0323 | 0.0511 | 0.0444 | 0.0465 | 0.0367 |
| Rank | 2 | 6 | 11 | 23 | 19 | 5 | 1 | 16 | 7 | 10 | 9 | 13 |
| C13 | C14 | C15 | C16 | C17 | C18 | C19 | C20 | C21 | C22 | C23 | ||
| Weight | 0.0155 | 0.0297 | 0.0314 | 0.0330 | 0.0161 | 0.0612 | 0.0244 | 0.0340 | 0.0376 | 0.0510 | 0.0680 | |
| Rank | 22 | 18 | 17 | 15 | 21 | 4 | 20 | 14 | 12 | 8 | 3 |
| C1 | C3 | C4 | C5 | C6 | C7 | C8 | C9 | |
|---|---|---|---|---|---|---|---|---|
| 2021 | -- | 940.71 | 2.49% | 26.34% | 1334 | 18.398 | 3.20% | 1.15 |
| C10 | C11 | C12 | C14 | C15 | C18 | C19 | ||
| 49% | 166 | 0.25 | 514 | 37.17 | 6.90% | 3795.51 | ||
| C2 | C21 | C22 | C23 | |||||
| DM1: [1, 2] DM2: low DM3: (1.5, 0.5, 0.033) DM4: lower than low DM5: 1.5 | DM1: [8, 9] DM2: high DM3: (8.5, 0.5, 0.033) DM4: greater than high DM5: 8.3 | DM1: [7, 8] DM2: sh DM3: (7.5, 0.5, 0.033) DM4: between sh and high DM5: 7.5 | DM1: [8.5, 9.5] DM2: vh DM3: (9.5, 0.5, 0.033) DM4: between high and vh DM5: 9.4 | |||||
| C13 | C16 | C17 | C20 | |||||
| DM6: 7 DM7: sh DM8: between sh and high | DM6: 8.8 DM7: high DM8: between high and vh | DM6: 8 DM7: sh DM8: between sh and high | DM9: 8.2 DM10: (8.3, 0.5, 0.023) DM11: [8, 8.6] DM12: lower than high | |||||
| C2 | C21 | C22 | C23 | |
|---|---|---|---|---|
| 2021 | DM1: (1.5000, 0.1667, 0) DM2: (1.2460, 1.0620, 0.0340) DM3: (1.5000, 0.5000, 0.0330) DM4: (0.0985, 0.4570, 0.0297) DM5: (1.5000, 0, 0) | DM1: (8.5000, 0.1667, 0) DM2: (8.7430, 1.2420, 0.0410) DM3: (8.5000, 0.5000, 0.3300) DM4: (9.8875, 1.0540, 0.0336) DM5: (8.3000, 0, 0) | DM1: (7.5000, 0.1667, 0) DM2: (7.1050, 1.0270, 0.0410) DM3: (7.5000, 0.5000, 0.3300) DM4: (7.9240, 1.4075, 0.0580) DM5: (7.5000, 0, 0) | DM1: (9.0000, 0.1667, 0) DM2: (9.7750, 1.0540, 0.0270) DM3: (9.5000, 0.5000, 0.3300) DM4: (9.2590, 1.3200, 0.0491) DM5: (9.4000, 0, 0) |
| C13 | C16 | C17 | C20 | |
| DM1: (7.0, 0, 0) DM2: (7.1050, 1.0270, 0.0410) DM3: (7.9240, 1.4075, 0.0580) | DM1: (8.80, 0, 0) DM2: (8.7430, 1.2420, 0.0410) DM3: (9.2590, 1.3200, 0.0491) | DM1: (8.0, 0, 0) DM2: (7.1050, 1.0270, 0.0410) DM3: (7.9240, 1.4075, 0.0580) | DM1: (8.2, 0, 0) DM2: (8.3, 0.5000, 0.0230) DM3: (8.3, 0.1, 0) DM4: (7.9240, 1.4075, 0.0580) |
| C1 | C2 | C3 | C4 | C5 | |
|---|---|---|---|---|---|
| 2021 | (9.2698, 0.8889, 0) | (1.8401, 0.4911, 0.0172) | (5.8849, 0, 0) | (8.7649, 0, 0) | (8.5380, 0, 0) |
| C6 | C7 | C8 | C9 | C10 | |
| (0, 0, 0) | (7.6954, 0, 0) | (9.7750, 0, 0) | (5.1816, 0, 0) | (9.9840, 0, 0) | |
| C11 | C12 | C13 | C14 | C15 | |
| (9.9961, 0, 0) | (4.8160, 0, 0) | (6.2672, 0.7222, 0.0328) | (10, 0, 0) | (9.9999, 0, 0) | |
| C16 | C17 | C18 | C19 | C20 | |
| (9.0809, 0.7731, 0.0272) | (9.1224, 0.7755, 0.0273) | (9.0390, 0, 0) | (10, 0, 0) | (9.0549, 0.5483, 0.0731) | |
| C21 | C22 | C23 | |||
| (9.0333, 0.6885, 0.1034) | (7.0694, 0.6756, 0.0959) | (9.3771, 0.6774, 0.1143) |
| 2021 | 2020 | 2019 | 2018 | 2017 | |
|---|---|---|---|---|---|
| Result | (7.5733, 0.1111, 0.0104) | (7.0543, 0.0902, 0.0109) | (7.0090, 0.0962, 0.0118) | (6.7500, 0.1016, 0.0114) | (6.6388, 0.1021, 0.0121) |
| 2017 | 2018 | 2019 | 2020 | 2021 | |
|---|---|---|---|---|---|
| C18 | (9.0140, 0, 0) | (9.0452, 0, 0) | (9.2710, 0, 0) | (9.1590, 0, 0) | (9.0390, 0, 0) |
| C2 | (1.6160, 0.6740, 0.0849) | (1.7054, 0.6730, 0.0686) | (1.7738, 0.6778, 0.1011) | (1.6671, 0.4989, 0.0613) | (1.8401, 0.4911, 0.0172) |
| C9 | (4.6896, 0, 0) | (4.8817, 0, 0) | (4.9575, 0, 0) | (4.9575, 0, 0) | (5.1816, 0, 0) |
| En | 2En | He | DR/% | |
|---|---|---|---|---|
| C | 0.2399 | 0.4798 | 0.0104 | - |
| C7 | 0 | 0 | 0 | - |
| C1 | 0.8889 | 1.7778 | 0 | - |
| C23 | 0.6774 | 1.3548 | 0.1143 | - |
| C–C1 | - | - | - | 73.0 |
| C–C23 | - | - | - | 64.6 |
| C13 | C16 | C17 | |||||||
|---|---|---|---|---|---|---|---|---|---|
| 0.0 | 0.3157 | 0.2951 | 0.3893 | 0.2933 | 0.3405 | 0.3663 | 0.2899 | 0.3334 | 0.3767 |
| 0.5 | 0.4078 | 0.2936 | 0.2985 | 0.3966 | 0.2998 | 0.3036 | 0.395 | 0.2962 | 0.3088 |
| 1.0 | 0.5 | 0.2922 | 0.2078 | 0.5 | 0.259 | 0.241 | 0.5 | 0.259 | 0.241 |
| Methods | Indicator Selection | Indicator Evaluations | Data Types | Indicator Weights | Expert Weights | Result |
|---|---|---|---|---|---|---|
| Zhang, Shang. [11] | PSR-SEEI | Linear normalization | Exact numbers | EWM+AHP | -- | a crisp number |
| Zhang et al. [15] | SEIE | Linear normalization | Exact numbers | AHP | -- | a crisp number |
| Li, Zhang, et al. [61] | RCRA | Quantitative indicators: linear normalization Qualitative indicators: Group decision-making | Exact numbers Hesitant fuzzy set | weighted averaging operator | minimum divergence model | a crisp number |
| Proposed method | PSR-SENCE+SR | Quantitative indicators: FPMF Qualitative indicators: Group decision-making | Exact numbers Interval numbers Statistical numbers Linguistic terms Linguistic expressions | SW-GAHP | SWM UD+GB | an NCM |
Disclaimer/Publisher’s Note: The statements, opinions and data contained in all publications are solely those of the individual author(s) and contributor(s) and not of MDPI and/or the editor(s). MDPI and/or the editor(s) disclaim responsibility for any injury to people or property resulting from any ideas, methods, instructions or products referred to in the content. |
© 2024 by the authors. Licensee MDPI, Basel, Switzerland. This article is an open access article distributed under the terms and conditions of the Creative Commons Attribution (CC BY) license (https://creativecommons.org/licenses/by/4.0/).
Share and Cite
He, X.; Hu, Y.; Yang, X.; Wang, S.; Wang, Y. Urban Flood Resilience Evaluation Based on Heterogeneous Data and Group Decision-Making. Entropy 2024, 26, 755. https://doi.org/10.3390/e26090755
He X, Hu Y, Yang X, Wang S, Wang Y. Urban Flood Resilience Evaluation Based on Heterogeneous Data and Group Decision-Making. Entropy. 2024; 26(9):755. https://doi.org/10.3390/e26090755
Chicago/Turabian StyleHe, Xiang, Yanzhu Hu, Xiaojun Yang, Song Wang, and Yingjian Wang. 2024. "Urban Flood Resilience Evaluation Based on Heterogeneous Data and Group Decision-Making" Entropy 26, no. 9: 755. https://doi.org/10.3390/e26090755
APA StyleHe, X., Hu, Y., Yang, X., Wang, S., & Wang, Y. (2024). Urban Flood Resilience Evaluation Based on Heterogeneous Data and Group Decision-Making. Entropy, 26(9), 755. https://doi.org/10.3390/e26090755

