Estimation of the Impulse Response of the AWGN Channel with ISI within an Iterative Equalization and Decoding System That Uses LDPC Codes
Abstract
1. Introduction
- Creating a new scheme for estimating involving a training sequence and re-estimating it only once using the estimated sequence produced by the decoder. This estimated sequence from the output of the decoder is then used to re-estimate twice more. This approach helps to improve the accuracy of the estimation.
- Performing the performance analysis regarding the BER against SNR of the new schemes contrasted with the ideal situation where we assumed a perfect estimate of . The simulations carried out in Section 4 demonstrated that BER performance approaches the case where we have a perfect estimate of impulse response when it was estimated based on the training sequence and re-estimated twice using the estimated sequence produced by the min-sum LDPC decoder.
2. Related Work
3. Materials and Methods
3.1. The Least Squares Estimator
3.2. The System Model
- Log MAP Equalizer: removes or reduces the effect of intersymbol interference (ISI) introduced by the multipath channel. The role of the equalizer placed in front of the decoder will be to compensate for this ISI, by trying to filter the output so that it finds the shape of the input pulse or, in any case, to reduce the ISI by identifying the channel parameters and taking this information into account in the decision-making process.
- Data interleaving/de-interleaving: whose role here consists essentially in separating the error at the equalizer’s output (to prevent the spread of errors) and decoupling the LLRs transferred among the decoder and the equalizer. Then, the iterative receiver can completely counteract the damage owing to the intersymbol interference, as long as the channel interleaver is large enough and judiciously built.
- Min-sum LDPC decoder: the achievement of the iterative decoding in the reception creates an LLR transfer among the decoder and the equalizer in a certain number of iterations.
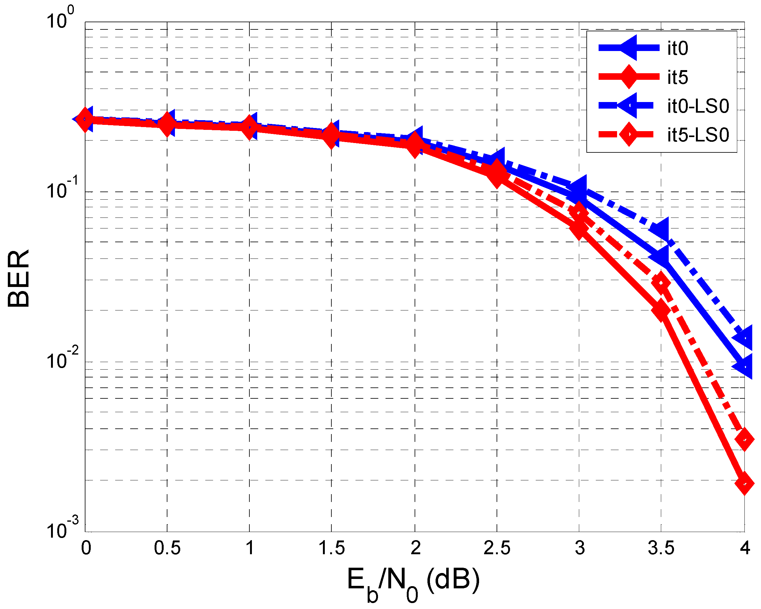
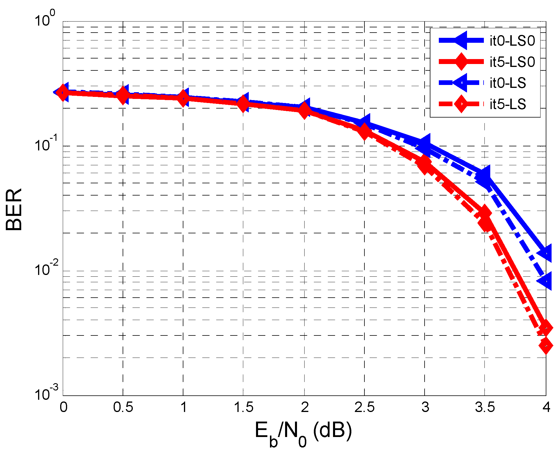
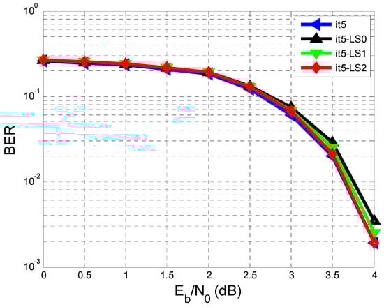
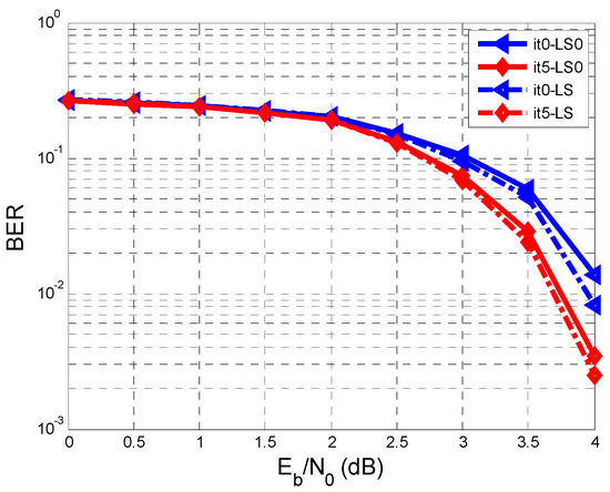
4. Results and Discussion
- The case where we have the perfect estimate of (It5).
- estimated using the training sequence (It5-LS0).
- estimated using the training sequence and re-estimated only once using the sequence from the exit of the decoder (It5-LS1).
- estimated using the training sequence and re-estimated twice using the sequence from the exit of the decoder (It5-LS2).
5. Conclusions
Author Contributions
Funding
Institutional Review Board Statement
Data Availability Statement
Conflicts of Interest
References
- Liang, Y.; Gao, N.; Liu, T. Suppression method of inter-symbol interference in communication system based on mathematical chaos theory. J. King Saud Univ.–Sci. 2020, 32, 1749–1756. [Google Scholar] [CrossRef]
- Ali, M.S.; Li, Y.; Chen, S.; Lin, F. On improved DFT-based low-complexity channel estimation algorithms for LTE-based uplink NB-IoT systems. Comput. Commun. 2020, 149, 214–224. [Google Scholar] [CrossRef]
- Vilas Boas, E.C.; e Silva, J.D.; de Figueiredo, F.A.; Mendes, L.L.; de Souza, R.A. Artificial intelligence for channel estimation in multicarrier systems for B5G/6G communications: A survey. J. Wirel. Commun. Netw. 2022, 2022, 116. [Google Scholar] [CrossRef]
- Chen, J.; Liang, Y.-C.; Cheng, H.V.; Yu, W. Channel Estimation for Reconfigurable Intelligent Surface Aided Multi-User mmWave MIMO Systems. IEEE Trans. Wirel. Commun. 2023, 22, 6853–6869. [Google Scholar] [CrossRef]
- Smolik, M.; Skala, V.; Majdisova, Z. A New Simple, Fast and Robust Total Least Square Error Computation in E2: Experimental Comparison. In AETA 2018-Recent Advances in Electrical Engineering and Related Sciences: Theory and Application; Zelinka, I., Brandstetter, P., Trong Dao, T., Hoang Duy, V., Kim, S., Eds.; AETA 2018. Lecture Notes in Electrical Engineering; Springer: Cham, Switzerland, 2020; Volume 554. [Google Scholar] [CrossRef]
- Pham, Q.-V.; Nguyen, N.T.; Huynh-The, T.; Le, L.B.; Lee, K.; Hwang, W.-J. Intelligent Radio Signal Processing: A Survey. IEEE Access 2021, 9, 83818–83850. [Google Scholar] [CrossRef]
- Cuc, A.-M.; Morgoș, F.L.; Grava, A.-M.; Grava, C. Iterative Equalization and Decoding over an Additive White Gaussian Noise Channel with ISI Using Low-Density Parity-Check Codes. Appl. Sci. 2023, 13, 12294. [Google Scholar] [CrossRef]
- Cuc, A.-M.; Morgoș, F.L.; Grava, C. Performance Analysis of Turbo Codes, LDPC Codes, and Polar Codes over an AWGN Channel in the Presence of Inter Symbol Interference. Sensors 2023, 23, 1942. [Google Scholar] [CrossRef]
- Arbi, T.; Geller, B.; Ye, Z. Turbo Equalization for Underwater Communication Systems using Rotated Constellations. In Proceedings of the OCEANS 2023-Limerick, Limerick, Ireland, 5–8 June 2023. [Google Scholar]
- Dörner, S.; Clausius, J.; Cammerer, S.; ten Brink, S. Learning Joint Detection, Equalization and Decoding for Short-Packet Communications. IEEE Trans. Commun. 2023, 71, 837–850. [Google Scholar] [CrossRef]
- Matsumoto, T. Iterative (turbo) Signal Processing Techniques for MIMO Signal Detection and Equalization. Available online: https://downloads.hindawi.com/books/9789775945099/art07.pdf (accessed on 16 September 2023).
- Xie, Z.; Chen, X.; Li, C. A novel joint channel estimation and equalization algorithm for MIMO-SCFDE systems over doubly selective channels. Digit. Signal Process. 2018, 75, 202–209. [Google Scholar] [CrossRef]
- Yin, C.; Feng, W.; Li, G. Improved soft-decision feedback turbo equalization algorithm with dual equalizers. AEU-Int. J. Electron. Commun. 2022, 157, 154436. [Google Scholar] [CrossRef]
- Wang, Y.; Zhang, M.; Tu, X.; Li, Z.; Qu, F.; Wei, Y. Joint Channel Estimation and Turbo Equalization of Single-Carrier Systems over Time-Varying Channels. arXiv 2023, arXiv:2305.09226. [Google Scholar]
- Li, H.; Yu, Q. Doubly-Iterative Sparsified MMSE Turbo Equalization for OTFS Modulation. IEEE Trans. Commun. 2023, 71, 1336–1351. [Google Scholar] [CrossRef]
- Chayot, R.; Thomas, N.; Poulliat, C.; Boucheret, M.L.; Lesthievent, G.; Van Wambeke, N. A Frequency-Domain Band-MMSE Equalizer for Continuous Phase Modulation over FrequencySelective Time-Varying Channels. In Proceedings of the 26th European Signal Processing Conference (EUSIPCO 2018), Rome, Italy, 3 September–7 September 2018. [Google Scholar]
- Che, D.; Chen, X. Higher-Order Modulation vs Faster-Than-Nyquist PAM-4 for Datacenter IM-DD Optics: An AIR Comparison Under Practical Bandwidth Limits. J. Light. Technol. 2022, 40, 3347–3357. [Google Scholar] [CrossRef]
- Yellepeddi, A.; Preisig, J.C. Adaptive Equalization in a Turbo Loop. IEEE Trans. Wirel. Commun. 2015, 14, 5111–5122. [Google Scholar] [CrossRef]
- Gaballa, M.; Abbod, M.; Aldallal, A. Investigating the Combination of Deep Learning for Channel Estimation and Power Optimization in a Non-Orthogonal Multiple Access System. Sensors 2022, 22, 3666. [Google Scholar] [CrossRef]
- Harkat, H.; Monteiro, P.; Gameiro, A.; Guiomar, F.; Farhana Thariq Ahmed, H. A Survey on MIMO-OFDM Systems: Review of Recent Trends. Signals 2022, 3, 359–395. [Google Scholar] [CrossRef]
- Nissila, M.; Pasupathy, S. Adaptive Bayesian and EM-based detectors for frequency-selective fading channels. IEEE Trans. Commun. 2003, 51, 1325–1336. [Google Scholar] [CrossRef]
- Madi, M.K.; Karameh, F.N. Hybrid Cubature Kalman filtering for identifying nonlinear models from sampled recording: Estimation of neuronal dynamics. PLoS ONE 2017, 12, e0181513. [Google Scholar] [CrossRef] [PubMed] [PubMed Central]
- Di Lorenzo, P.; Barbarossa, S.; Banelli, P.; Sardellitti, S. Adaptive Least Mean Squares Estimation of Graph Signals. IEEE Trans. Signal Inf. Process. Netw. 2016, 2, 555–568. [Google Scholar] [CrossRef]
- Pan, Z.; Wang, H.; Zhang, B.; Guo, D. Low Complexity Adaptive Detection of Short CPM Bursts for Internet of Things in 6G. Sensors 2022, 22, 8316. [Google Scholar] [CrossRef]
- Manasa, B.M.R.; Venugopal, P. A systematic literature review on channel estimation in MIMO-OFDM system: Performance analysis and future direction. J. Opt. Commun. 2022, 45, 589–614. [Google Scholar] [CrossRef]
- da Silva, E.P.; Yankov, M.P. Adaptive Turbo Equalization for Nonlinearity Compensation in WDM System. J. Light. Technol. 2021, 39, 7124–7134. [Google Scholar] [CrossRef]
- Santos, I.; José, J. Equalization with Expectation Propagation at Smoothing Level. arXiv 2018, arXiv:1809.00806. [Google Scholar] [CrossRef]
- Nazia Sarwat Islam. LDPC Codes Incorporating Source, Noise, and Channel Memory. Jacob University. 2022. Available online: http://trsys.jacobs-university.de/files/PhD_Nazia_Islam.pdf (accessed on 16 October 2023).
- Meloni, G. Field Trial Transmission of Time Frequency Packed DP-QPSK Superchannel with Spectral Efficiency of 6.2 bit/s/Hz. IEEE Photonics J. 2016, 8, 0601008. [Google Scholar] [CrossRef]
- Pradhan, A.K.; Amalladinne, V.K.; Narayanan, K.R.; Chamberland, J. LDPC Codes with Soft Interference Cancellation for Uncoordinated Unsourced Multiple Access. arXiv 2021, arXiv:2105.13985. [Google Scholar]
- Wang, D.; Mei, Z.; Liang, J.; Liu, J. An Improved Channel Estimation Algorithm Based on WD-DDA in OFDM System. Mob. Inf. Syst. 2021, 2021, 6540923. [Google Scholar] [CrossRef]
- Multiplexing and Channel Coding. Document TS 38.212 V17.3.0, 3GPP. 2022. Available online: https://www.etsi.org/deliver/etsi_ts/138200_138299/138212/17.03.00_60/ts_138212v170300p.pdf (accessed on 19 November 2023).
- Yang, J.; Turbo Equalization and Its Applications. The University of Western Australia. 2014. Available online: https://api.research-repository.uwa.edu.au/ws/portalfiles/portal/4307634/Yang_Jindan_2014.pdf (accessed on 21 November 2023).
- Hussein, Y.M.; Mutlag, A.H.; Al-Nedawe, B.M. Comparisons of soft decision decoding algorithms based LDPC wireless communication system. IOP Conf. Ser. Mater. Sci. Eng. 2021, 1105, 012039. Available online: https://iopscience.iop.org/article/10.1088/1757-899X/1105/1/012039 (accessed on 21 November 2023). [CrossRef]
- Cho, K.; Lee, W.-H.; Chung, K.-S. Simplified 2-Dimensional Scaled Min-Sum Algorithm for LDPC Decoder. J. Electr. Eng. Technol. 2017, 12, 1262–1270. [Google Scholar] [CrossRef]
- Morgoș, F.L. Contribuţii Privind Îmbunătăţirea Tehnicilor de Egalizare ale Canalelor Radio; Politehnica: Timișoara, Romania, 2014. [Google Scholar]







| Perfect impulse response estimation, when | ||
| Figure | h | BER (Range) |
| Figure 4 | hl = [0.18 0.85 0.32] | 1/9 × 10−2 |
| Estimation of based on the training sequence | ||
| Figure | h | BER (Range) |
| Figure 4 | hl = [0.18 0.85 0.32] | 1/7 × 10−2–1/8 × 10−2 |
| is re-estimated based on the sequence from the min-sum LDPC decoder output after one cycle. | ||
| Figure | h | BER (Range) |
| Figure 6 | hl = [0.18 0.85 0.32] | 1/8 × 10−2–1/9 × 10−2 |
| is re-estimated based on the sequence from the min-sum LDPC decoder output after two cycles. | ||
| Figure | h | BER (Range) |
| Figure 7 | hl = [0.18 0.85 0.32] | 1/9 × 10−2 |
Disclaimer/Publisher’s Note: The statements, opinions and data contained in all publications are solely those of the individual author(s) and contributor(s) and not of MDPI and/or the editor(s). MDPI and/or the editor(s) disclaim responsibility for any injury to people or property resulting from any ideas, methods, instructions or products referred to in the content. |
© 2024 by the authors. Licensee MDPI, Basel, Switzerland. This article is an open access article distributed under the terms and conditions of the Creative Commons Attribution (CC BY) license (https://creativecommons.org/licenses/by/4.0/).
Share and Cite
Cuc, A.-M.; Morgoș, F.L.; Grava, A.-M.; Grava, C. Estimation of the Impulse Response of the AWGN Channel with ISI within an Iterative Equalization and Decoding System That Uses LDPC Codes. Entropy 2024, 26, 720. https://doi.org/10.3390/e26090720
Cuc A-M, Morgoș FL, Grava A-M, Grava C. Estimation of the Impulse Response of the AWGN Channel with ISI within an Iterative Equalization and Decoding System That Uses LDPC Codes. Entropy. 2024; 26(9):720. https://doi.org/10.3390/e26090720
Chicago/Turabian StyleCuc, Adriana-Maria, Florin Lucian Morgoș, Adriana-Marcela Grava, and Cristian Grava. 2024. "Estimation of the Impulse Response of the AWGN Channel with ISI within an Iterative Equalization and Decoding System That Uses LDPC Codes" Entropy 26, no. 9: 720. https://doi.org/10.3390/e26090720
APA StyleCuc, A.-M., Morgoș, F. L., Grava, A.-M., & Grava, C. (2024). Estimation of the Impulse Response of the AWGN Channel with ISI within an Iterative Equalization and Decoding System That Uses LDPC Codes. Entropy, 26(9), 720. https://doi.org/10.3390/e26090720

