High-Throughput Polar Code Decoders with Information Bottleneck Quantization
Abstract
1. Introduction
- We present the first Fast Simplified Successive Cancellation (Fast-SSC) polar decoder architecture using IB-based quantization with optimized LUTs to improve area and energy efficiency;
- We compare the non-uniform, IB-based quantization scheme with uniformly quantized fixed-point (FP) representations in terms of error correction performance and implementation efficiency for code lengths of 128 bit and 1024 bit;
- We analyze the impact of the IB-based quantization on area and power consumption with seven different designs in advanced 12 nm FinFET technology.
2. Background
2.1. Polar Codes
2.2. Successive Cancellation Decoding
2.3. Fast-SSC Decoding
2.4. Information Bottleneck Method
3. Information Bottleneck Decoder
3.1. Numerical Representations and Lookup Table Generation
Notation:
3.2. Information-Bottleneck-Based Fast-SSC Decoding
3.2.1. f-Function
3.2.2. g-Function
3.2.3. Repetition Nodes
3.2.4. Single Parity Check Nodes
3.2.5. -Function
3.3. Decoder Architecture
4. Results
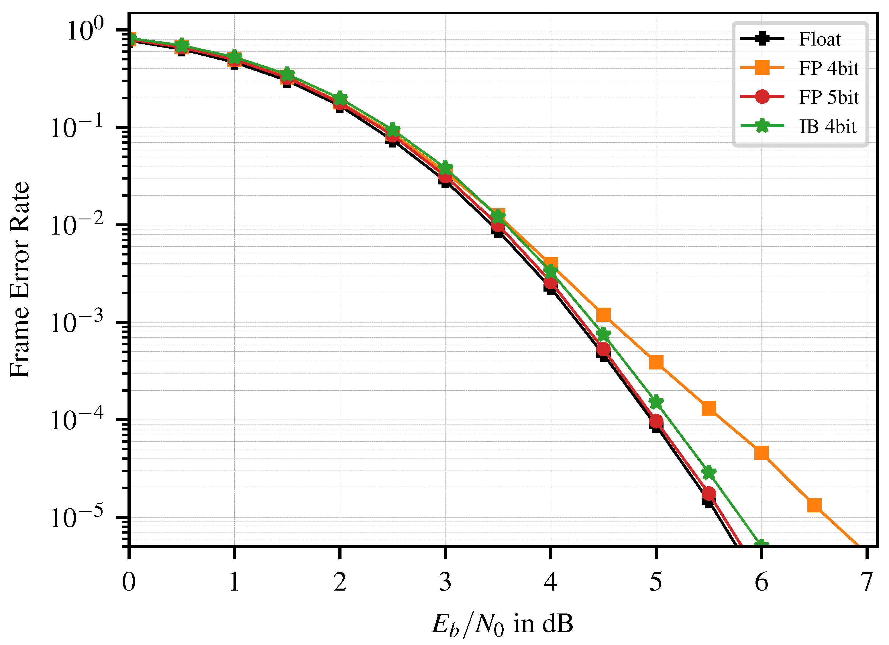
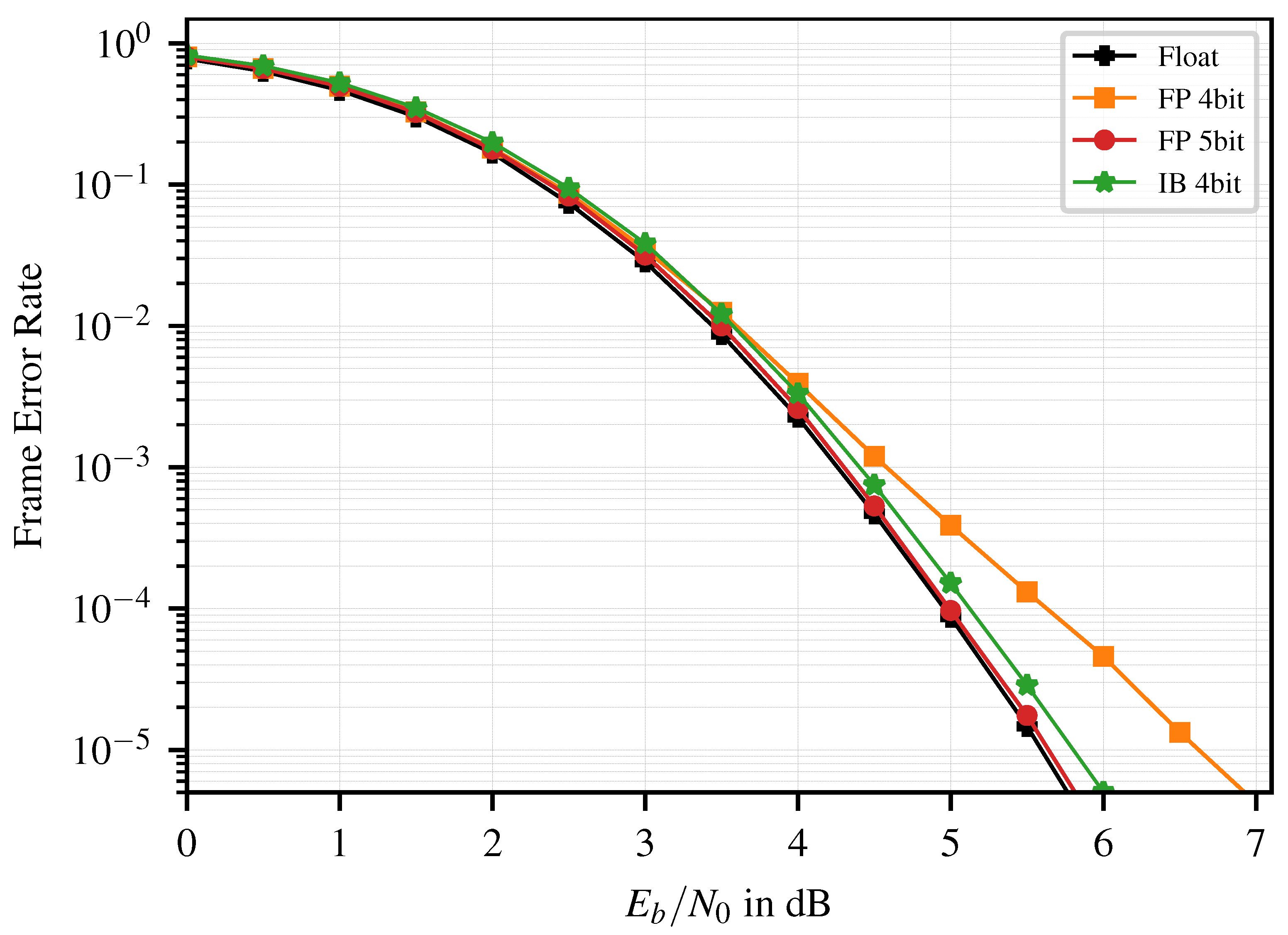
4.1. Decoder for the Code
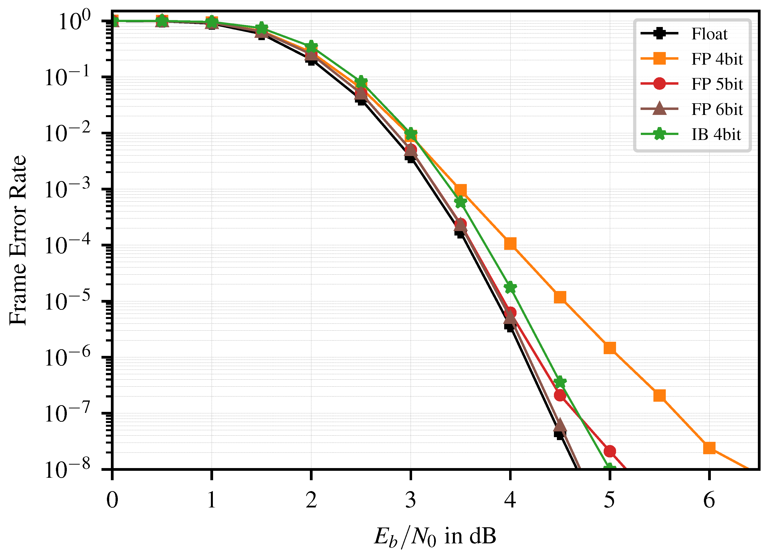
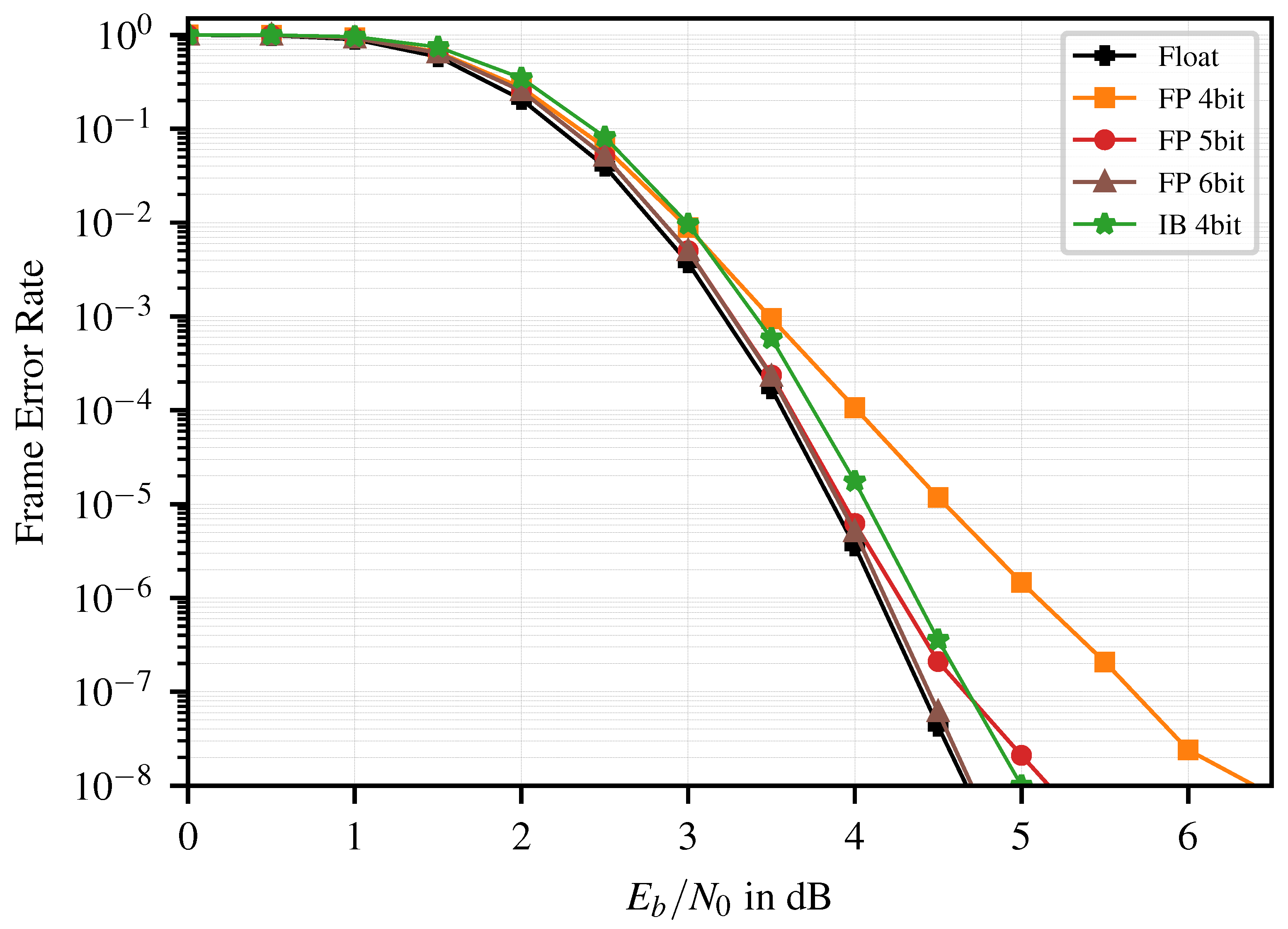
4.2. Decoder for the Code
5. Conclusions
Author Contributions
Funding
Data Availability Statement
Conflicts of Interest
Abbreviations
| AWGN | Additive White Gaussian Noise |
| BPSK | Binary Phase Shift Keying |
| Fast-SSC | Fast Simplified Successive Cancellation |
| FEC | Forward Error Correction |
| FER | Frame Error Rate |
| FP | Fixed Point |
| HD | Hard Decision |
| IB | Information Bottleneck |
| LDPC | Low-Density Parity Check |
| LLR | Log-Likelihood Ratio |
| LUT | Lookup Table |
| ML | Maximum Likelihood |
| MSB | Most Significant Bit |
| PFT | Polar Factor Tree |
| PVT | Process, Voltage and Temperature |
| RCQ | Reconstruction Computation Quantization |
| REP | Repetition |
| SC | Successive Cancellation |
| SCL | Successive Cancellation List |
| SM | Sign Magnitude |
| SNR | Signal-to-Noise Ratio |
| SPC | Single Parity Check |
| SSC | Simplified SC |
| TC | Two’s Complement |
References
- Arıkan, E. Channel Polarization: A Method for Constructing Capacity-Achieving Codes for Symmetric Binary-Input Memoryless Channels. IEEE Trans. Inf. Theory 2009, 55, 3051–3073. [Google Scholar] [CrossRef]
- Saad, W.; Bennis, M.; Chen, M. A Vision of 6G Wireless Systems: Applications, Trends, Technologies, and Open Research Problems. IEEE Netw. 2020, 34, 134–142. [Google Scholar] [CrossRef]
- Süral, A.; Sezer, E.G.; Kolagasioglu, E.; Derudder, V.; Bertrand, K. Tb/s Polar Successive Cancellation Decoder 16nm ASIC Implementation. arXiv 2020, arXiv:2009.09388. [Google Scholar]
- Kestel, C.; Johannsen, L.; Griebel, O.; Jimenez, J.; Vogt, T.; Lehnigk-Emden, T.; Wehn, N. A 506Gbit/s Polar Successive Cancellation List Decoder with CRC. In Proceedings of the 2020 IEEE 31st Annual International Symposium on Personal, Indoor and Mobile Radio Communications, Virtual Conference, London, UK, 31 August–3 September 2020; pp. 1–7. [Google Scholar] [CrossRef]
- Tishby, N.; Pereira, F.C.; Bialek, W. The Information Bottleneck Method. In Proceedings of the 37-th Annual Allerton Conference on Communication, Control and Computing, Monticello, IL, USA, 22–24 September 1999; pp. 368–377. [Google Scholar]
- Kurkoski, B.M.; Yamaguchi, K.; Kobayashi, K. Noise Thresholds for Discrete LDPC Decoding Mappings. In Proceedings of the GLOBECOM 2008—2008 IEEE Global Telecommunications Conference, New Orleans, LA, USA, 30 November–4 December 2008; pp. 1–5. [Google Scholar] [CrossRef]
- Lewandowsky, J.; Bauch, G. Information-Optimum LDPC Decoders Based on the Information Bottleneck Method. IEEE Access 2018, 6, 4054–4071. [Google Scholar] [CrossRef]
- Monsees, T.; Griebel, O.; Herrmann, M.; Wübben, D.; Dekorsy, A.; Wehn, N. Minimum-Integer Computation Finite Alphabet Message Passing Decoder: From Theory to Decoder Implementations towards 1 Tb/s. Entropy 2022, 24, 1452. [Google Scholar] [CrossRef] [PubMed]
- Giard, P.; Shah, S.A.A.; Balatsoukas-Stimming, A.; Stark, M.; Bauch, G. Unrolled and Pipelined Decoders based on Look-Up Tables for Polar Codes. In Proceedings of the 2023 12th International Symposium on Topics in Coding (ISTC), Brest, France, 4–8 September 2023; pp. 1–5. [Google Scholar] [CrossRef]
- Wang, L.; Wesel, R.D.; Stark, M.; Bauch, G. A Reconstruction-Computation-Quantization (RCQ) Approach to Node Operations in LDPC Decoding. In Proceedings of the GLOBECOM 2020—2020 IEEE Global Communications Conference, Taipei, Taiwan, 7–11 December 2020; pp. 1–6. [Google Scholar] [CrossRef]
- Alamdar-Yazdi, A.; Kschischang, F.R. A Simplified Successive-Cancellation Decoder for Polar Codes. IEEE Commun. Lett. 2011, 15, 1378–1380. [Google Scholar] [CrossRef]
- Sarkis, G.; Giard, P.; Vardy, A.; Thibeault, C.; Gross, W.J. Fast Polar Decoders: Algorithm and Implementation. IEEE J. Sel. Areas Commun. 2014, 32, 946–957. [Google Scholar] [CrossRef]
- Slonim, N. The Information Bottleneck: Theory and Applications. 2002. Available online: http://www.yaroslavvb.com/papers/slonim-information.pdf (accessed on 7 May 2024).
- Stark, M.; Lewandowsky, J. Information Bottleneck Algorithms in Python. 2018. Available online: https://goo.gl/QjBTZf/ (accessed on 7 May 2024).
- Lehnigk-Emden, T.; Alles, M.; Kestel, C.; Wehn, N. Polar Code Decoder Framework. In Proceedings of the 2019 Design, Automation, Test in Europe Conference and Exhibition (DATE), Florence, Italy, 25–29 March 2019; pp. 1208–1209. [Google Scholar] [CrossRef]
- Mohr, P.; Shah, S.A.A.; Bauch, G. Implementation-Efficient Finite Alphabet Decoding of Polar Codes. In Proceedings of the GLOBECOM 2023—2023 IEEE Global Communications Conference, Kuala Lumpur, Malaysia, 4–8 December 2023; pp. 5318–5323. [Google Scholar] [CrossRef]
- Stillmaker, A.; Baas, B. Scaling equations for the accurate prediction of CMOS device performance from 180 nm to 7 nm. Integration 2017, 58, 74–81. [Google Scholar] [CrossRef]





| IB Index t | 0 | 1 | 2 | 3 | 4 | 5 | 6 | 7 |
|---|---|---|---|---|---|---|---|---|
| SM IB | −3 | −2 | −1 | −0 | 0 | 1 | 2 | 3 |
| Binary | 1 11 | 1 10 | 1 01 | 1 00 | 0 00 | 0 01 | 0 10 | 0 11 |
| IB 4 bit | [9] * | FP 4 bit | FP 5 bit | |
|---|---|---|---|---|
| Place and Route | Synthesis | Place and Route | Place and Route | |
| Technology | 12 nm | 28 nm→12 nm | 12 nm | 12 nm |
| Frequency [MHz] | 500 | 1000 (3681) | 500 | 500 |
| Throughput [Gbps] | 64 | 13 (47) | 64 | 64 |
| Latency [ns] | 18 | 86 (23) | 18 | 18 |
| Latency [CC] | 9 | 86 | 9 | 9 |
| Area [mm] | 0.014 | 0.026 | 0.012 | 0.015 |
| - Registers | 0.005 | — | 0.005 | 0.006 |
| - Combinatorial | 0.005 | — | 0.003 | 0.005 |
| Area Eff. [Gbps/mm] | 4528 | 502 (1847) | 5384 | 4248 |
| Power Total [mW] | 21 | — | 17 | 24 |
| - Clock | 7 | — | 7 | 9 |
| - Registers | 3 | — | 3 | 4 |
| - Combinatorial | 10 | — | 7 | 11 |
| Energy Eff. [pJ/bit] | 0.32 | — | 0.27 | 0.37 |
| Power Density [W/mm] | 1.46 | — | 1.47 | 1.58 |
| IB 4 bit | FP 4 bit | FP 5 bit | FP 6 bit | |
|---|---|---|---|---|
| Frequency [MHz] | 750 | 750 | 750 | 750 |
| Throughput [Gbps] | 768 | 768 | 768 | 768 |
| Latency [ns] | 123 | 123 | 123 | 123 |
| Latency [CC] | 92 | 92 | 92 | 92 |
| Area [mm] | 0.822 | 0.785 | 0.968 | 1.158 |
| - Registers | 0.360 | 0.360 | 0.439 | 0.517 |
| - Combinatorial | 0.200 | 0.168 | 0.208 | 0.274 |
| Area Eff. [Gbps/mm] | 935 | 979 | 794 | 663 |
| Power Total [mW] | 984 | 866 | 1149 | 1431 |
| - Clock | 208 | 207 | 254 | 298 |
| - Registers | 280 | 263 | 354 | 404 |
| - Combinatorial | 479 | 381 | 523 | 706 |
| Energy Eff. [pJ/bit] | 1.28 | 1.13 | 1.50 | 1.86 |
| Power Density [W/mm] | 1.20 | 1.10 | 1.19 | 1.24 |
Disclaimer/Publisher’s Note: The statements, opinions and data contained in all publications are solely those of the individual author(s) and contributor(s) and not of MDPI and/or the editor(s). MDPI and/or the editor(s) disclaim responsibility for any injury to people or property resulting from any ideas, methods, instructions or products referred to in the content. |
© 2024 by the authors. Licensee MDPI, Basel, Switzerland. This article is an open access article distributed under the terms and conditions of the Creative Commons Attribution (CC BY) license (https://creativecommons.org/licenses/by/4.0/).
Share and Cite
Kestel, C.; Johannsen, L.; Wehn, N. High-Throughput Polar Code Decoders with Information Bottleneck Quantization. Entropy 2024, 26, 462. https://doi.org/10.3390/e26060462
Kestel C, Johannsen L, Wehn N. High-Throughput Polar Code Decoders with Information Bottleneck Quantization. Entropy. 2024; 26(6):462. https://doi.org/10.3390/e26060462
Chicago/Turabian StyleKestel, Claus, Lucas Johannsen, and Norbert Wehn. 2024. "High-Throughput Polar Code Decoders with Information Bottleneck Quantization" Entropy 26, no. 6: 462. https://doi.org/10.3390/e26060462
APA StyleKestel, C., Johannsen, L., & Wehn, N. (2024). High-Throughput Polar Code Decoders with Information Bottleneck Quantization. Entropy, 26(6), 462. https://doi.org/10.3390/e26060462

