Frustrated Synchronization of the Kuramoto Model on Complex Networks
Abstract
1. Introduction
2. Materials and Methods
2.1. The Power-Law Decaying Long Range Graph (Ll)
2.2. Spectral Analysis
3. Results
3.1. Spectral Analysis Results
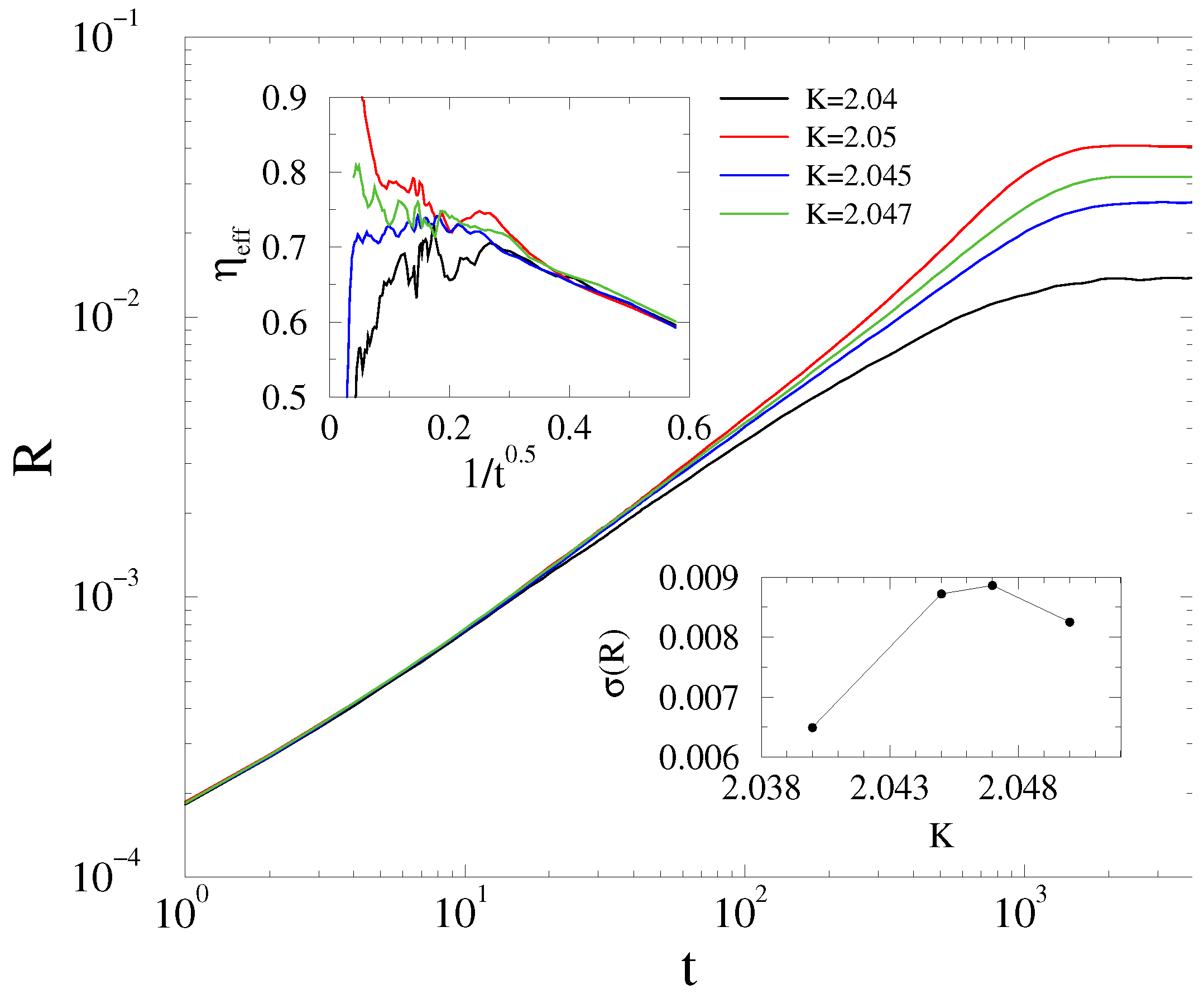
3.2. Regular Lattice Kuramoto Order Parameter Behavior
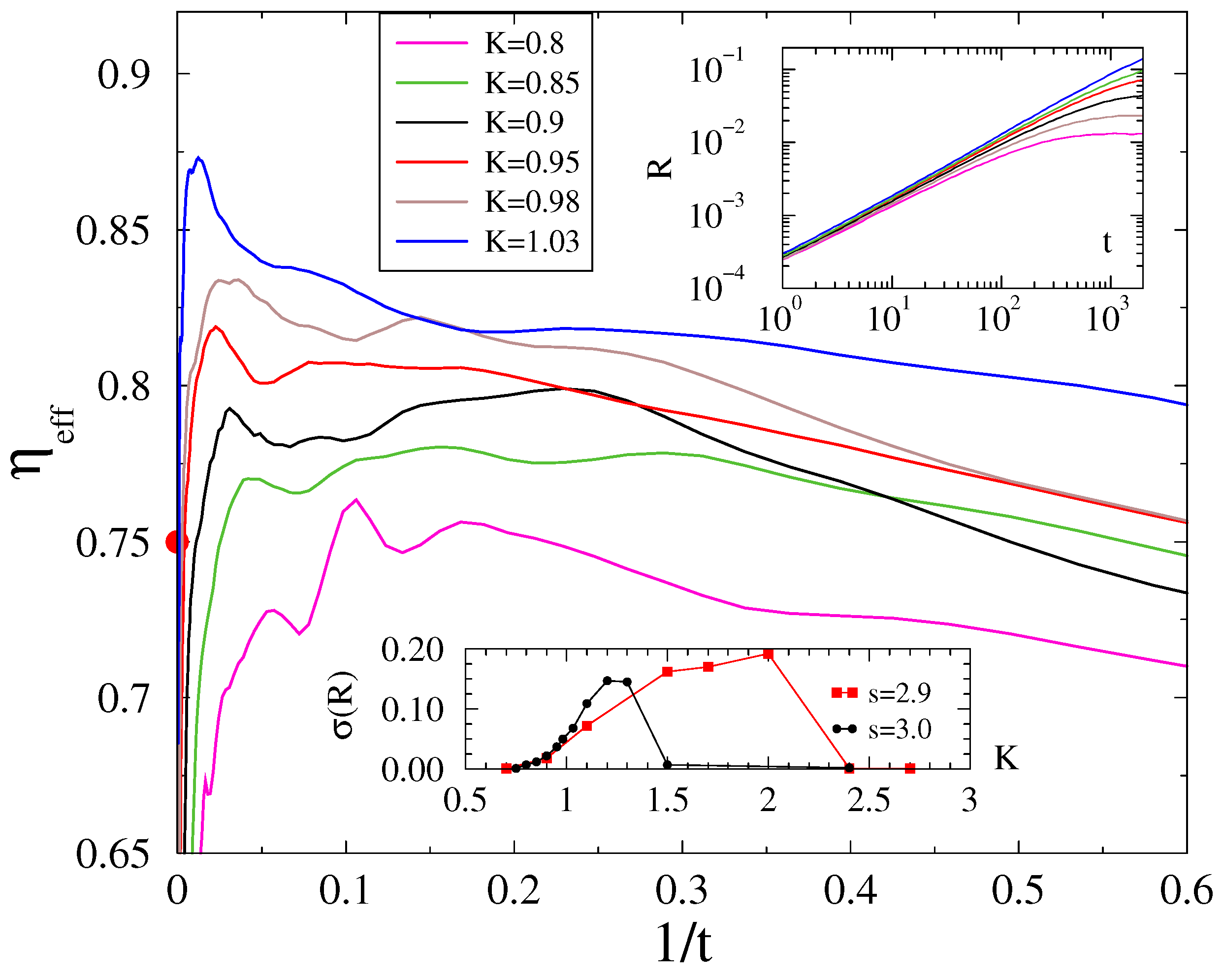
3.3. The Ll Graph Order Parameter Results
4. Discussion
Author Contributions
Funding
Informed Consent Statement
Data Availability Statement
Acknowledgments
Conflicts of Interest
References
- Deco, G.; Jirsa, V.K. Ongoing Cortical Activity at Rest: Criticality, Multistability, and Ghost Attractors. J. Neurosci. 2012, 32, 3366–3375. [Google Scholar] [CrossRef] [PubMed]
- Arenas, A.; Díaz-Guilera, A.; Kurths, J.; Moreno, Y.; Zhou, C. Synchronization in complex networks. Phys. Rep. 2008, 469, 93–153. [Google Scholar] [CrossRef]
- Acebrón, J.; Bonilla, L.; Vicente, C.; Ritort, F.; Spigler, R. The Kuramoto model: A simple paradigm for synchronization phenomena. Rev. Mod. Phys. 2005, 77, 137–185. [Google Scholar] [CrossRef]
- Pikovsky, A.; Kurths, J.; Rosenblum, M.; Kurths, J. Synchronization: A Universal Concept in Nonlinear Sciences; Cambridge Nonlinear Science Series; Cambridge University Press: Cambridge, UK, 2003. [Google Scholar]
- Kuramoto, Y. Chemical Oscillations, Waves, and Turbulence; Springer Series in Synergetics; Springer: Berlin/Heidelberg, Germany, 2012. [Google Scholar]
- Hong, H.; Park, H.; Choi, M. Collective synchronization in spatially extended systems of coupled oscillators with random frequencies. Phys. Rev. Stat. Nonlinear Soft Matter Phys. 2005, 72, 036217. [Google Scholar] [CrossRef]
- Um, J.; Hong, H.; Park, H. Nature of synchronization transitions in random networks of coupled oscillators. Phys. Rev. E 2014, 89, 012810. [Google Scholar] [CrossRef]
- Um, J.; Hong, H.; Park, H. Validity of annealed approximation in a high-dimensional system. Sci. Rep. 2024, 14, 6816. [Google Scholar] [CrossRef]
- Juhász, R.; Kelling, J.; Ódor, G. Critical dynamics of the Kuramoto model on sparse random networks. J. Stat. Mech. Theory Exp. 2019, 2019, 053403. [Google Scholar] [CrossRef]
- Daido, H. Superslow relaxation in identical phase oscillators with random and frustrated interactions. Chaos: Interdiscip. J. Nonlinear Sci. 2018, 28, 045102. [Google Scholar] [CrossRef]
- Millán, A.P.; Torres, J.J.; Bianconi, G. Complex network geometry and frustrated synchronization. Sci. Rep. 2018, 8, 9910. [Google Scholar] [CrossRef]
- Villegas, P.; Moretti, P.; Muñoz, M. Frustrated hierarchical synchronization and emergent complexity in the human connectome network. Sci. Rep. 2014, 4, 5990. [Google Scholar] [CrossRef]
- Griffiths, R.B. Nonanalytic Behavior Above the Critical Point in a Random Ising Ferromagnet. Phys. Rev. Lett. 1969, 23, 17–19. [Google Scholar] [CrossRef]
- Millán, A.P.; Torres, J.J.; Bianconi, G. Synchronization in network geometries with finite spectral dimension. Phys. Rev. 2019, 99. [Google Scholar] [CrossRef] [PubMed]
- Sarkar, M.; Enss, T.; Defenu, N. Universality of critical dynamics on a complex network. Phys. Rev. B 2024, 110, 014208. [Google Scholar] [CrossRef]
- Ódor, G.; Kelling, J. Critical synchronization dynamics of the Kuramoto model on connectome and small world graphs. Sci. Rep. 2019, 9, 19621. [Google Scholar] [CrossRef]
- Choi, C.; Ha, M.; Kahng, B. Extended finite-size scaling of synchronized coupled oscillators. Phys. Rev. Stat. Nonlinear Soft Matter Phys. 2013, 88, 032126. [Google Scholar] [CrossRef]
- Hong, H.; Chaté, H.; Park, H.; Tang, L.H. Entrainment transition in populations of random frequency oscillators. Phys. Rev. Lett. 2007, 99, 184101. [Google Scholar] [CrossRef]
- Deng, S.; Ódor, G. Chimera-like states in neural networks and power systems. Chaos Interdiscip. J. Nonlinear Sci. 2024, 34, 033135. [Google Scholar] [CrossRef]
- Deuflhard, P. Order and stepsize control in extrapolation methods. Numer. Math. 1983, 41, 399–422. [Google Scholar] [CrossRef]
- Bulirsch, R.; Stoer, J. Numerical Treatment of Ordinary Differential Equations by Extrapolation Methods. Numer. Math. 1966, 8, 1–13. [Google Scholar] [CrossRef]
- Ahnert, K.; Mulansky, M. Odeint–Solving Ordinary Differential Equations in C++. AIP Conf. Proc. 2011, 1389, 1586–1589. [Google Scholar] [CrossRef]
- Demidov, D.; Ahnert, K.; Rupp, K.; Gottschling, P. Programming CUDA and OpenCL: A Case Study Using Modern C++ Libraries. SIAM J. Sci. Comput. 2013, 35, C453–C472. [Google Scholar] [CrossRef]
- Ahnert, K.; Demidov, D.; Mulansky, M. Solving Ordinary Differential Equations on GPUs. In Numerical Computations with GPUs; Kindratenko, V., Ed.; Springer International Publishing: Cham, Switzerland, 2014. [Google Scholar] [CrossRef]
- Juhász, R. Competition between quenched disorder and long-range connections: A numerical study of diffusion. Phys. Rev. 2012, 85, 011118. [Google Scholar] [CrossRef]
- Chung, F.R. Spectral Graph Theory; American Mathematical Society: Providence, RI, USA, 1997; Volume 92. [Google Scholar]
- Burioni, R.; Cassi, D. Universal properties of spectral dimension. Phys. Rev. Lett. 1996, 76, 1091. [Google Scholar] [CrossRef] [PubMed]
- Millán, A.P.; Gori, G.; Battiston, F.; Enss, T.; Defenu, N. Complex networks with tuneable spectral dimension as a universality playground. Phys. Rev. Res. 2021, 3, 023015. [Google Scholar] [CrossRef]






Disclaimer/Publisher’s Note: The statements, opinions and data contained in all publications are solely those of the individual author(s) and contributor(s) and not of MDPI and/or the editor(s). MDPI and/or the editor(s) disclaim responsibility for any injury to people or property resulting from any ideas, methods, instructions or products referred to in the content. |
© 2024 by the authors. Licensee MDPI, Basel, Switzerland. This article is an open access article distributed under the terms and conditions of the Creative Commons Attribution (CC BY) license (https://creativecommons.org/licenses/by/4.0/).
Share and Cite
Ódor, G.; Deng, S.; Kelling, J. Frustrated Synchronization of the Kuramoto Model on Complex Networks. Entropy 2024, 26, 1074. https://doi.org/10.3390/e26121074
Ódor G, Deng S, Kelling J. Frustrated Synchronization of the Kuramoto Model on Complex Networks. Entropy. 2024; 26(12):1074. https://doi.org/10.3390/e26121074
Chicago/Turabian StyleÓdor, Géza, Shengfeng Deng, and Jeffrey Kelling. 2024. "Frustrated Synchronization of the Kuramoto Model on Complex Networks" Entropy 26, no. 12: 1074. https://doi.org/10.3390/e26121074
APA StyleÓdor, G., Deng, S., & Kelling, J. (2024). Frustrated Synchronization of the Kuramoto Model on Complex Networks. Entropy, 26(12), 1074. https://doi.org/10.3390/e26121074

