On the Capacity of the Peak-Limited and Band-Limited Channel
Abstract
1. Introduction
2. System Model
3. Analysis
3.1. General Analysis
- Generating, numerically or analytically, a signal at a random direction distributed uniformly on the N − 1 sphere. This is conducted by drawing all the samples independently from a Gaussian distribution.
- Scaling the generated signal to observe the peak limit of x(t) at any time and sampling it at Nyquist rate to obtain the vector x. The resulting length L of x determines the local radius r (DFO) in this direction.
- Averaging as defined in (8) over many directions yields the volume of the convex body.
3.2. Sampled Discrete Analysis
3.3. Refinement to Continuous Signals
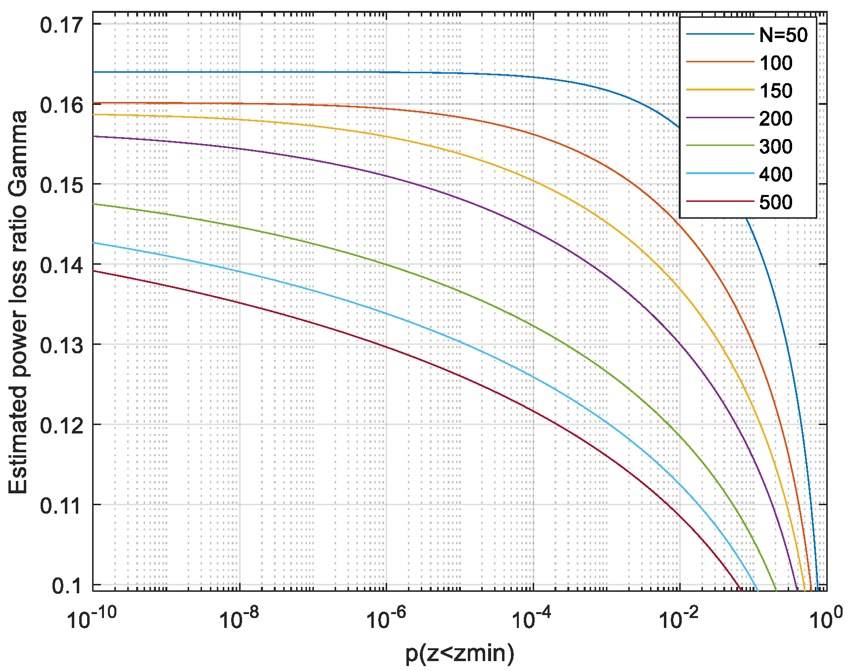
4. Monte Carlo Evaluation
5. Bandpass Signals
6. Conclusions
| The Bound | Results of [5] | Results of [6] | This Work, General Result, But Remains Conjecture | This Work | This Work, CP-FDE Signalling, Duration of 101 Nyquist Intervals |
|---|---|---|---|---|---|
| Low-pass lower bound | 0.0361 = π/32e | 0.04470 | γ > 0.15 | γ = 0.18 | |
| Low-pass upper bound | 0.2342 = 2/πe Also presented in [1]. | 0.2342 = 2/πe | |||
| Bandpass lower bound | = 0.0284 | γ > 0.245 | γ = 0.284 | ||
| Bandpass upper bound |
Author Contributions
Funding
Institutional Review Board Statement
Data Availability Statement
Acknowledgments
Conflicts of Interest
Appendix A. Bounds
- Extension to complex-valued signals:
Appendix B. Importance Sampling in the N-Cube
- Extension to the complex-valued case:
Appendix C. Symbols, Variables and Abbreviations
| Symbol or Abbreviation | Meaning |
| APL | Average Power Limited |
| AWGN | Additive White Gaussian Noise |
| B | Bandwidth |
| b, bold italic letters | Vector of Samples of b(t) |
| C | Capacity |
| Ca | Capacity Over the APL Channel |
| CDF | Cumulative Distribution Function |
| CGC | Constrained Gaussian Channel |
| CP-FDE | Cyclic Prefix-Assisted Frequency Domain Equalization |
| DFO | Distance From the Origin |
| DPD | Digital Pre-Distortion |
| EPI | Entropy Power Inequality |
| Eθ | The Statistical Expectation with Respect to θ |
| f | Frequency |
| F | Cumulative Distribution Function |
| FDMA | Frequency Domain Multiple Access |
| FFT | Fast Fourier Transform |
| h | Differential Entropy |
| I(x;y) | Mutual Information |
| i.i.d. | Independently and Identically Distributed |
| IFFT | Inverse Fast Fourier Transform |
| L | Length of the Signal Vector x |
| Log | The Natural Logarithm |
| LTE | Long-Term Evolution |
| MIMO | Multiple Input Multiple Output |
| MUI | Mutual Information |
| N | Duration of Message in Nyquist Intervals |
| n(t) | White Gaussian Noise |
| N0 | Noise Power Spectral Density |
| Nsim | Number of Simulated Vectors |
| P | Power and Peak Power |
| PAPR | Peak to Average Power Ratio |
| Pc | Probability factor in Importance Sampling |
| Probability Density Function | |
| Pe | The Entropy Power |
| PPL | Peak-Power Limited |
| PSD | Power Spectral Density |
| px(x) or p(x). | Probability Density Function of x |
| Q(x) | The Q-function |
| r | Distance From the Origin |
| RN | The N-Dimensional Vector Space Of Real Variables |
| SC-FDMA | Single-Carrier FDMA |
| SNR | Signal to Noise Ratio |
| The Area of the Unit N − 1 Sphere | |
| t | Continuous Time |
| T | Nyquist Interval |
| Var | Variance |
| The Volume of the N-Dimensional Ball with Unit Radius | |
| Vx | Volume Occupied by all Permissible Vectors x |
| x = (x1 … xn … xN) | Vector of Nyquist-Rate Samples of x(t) |
| x(t) | Continuous Input Signal |
| y(t) | Continuous Output Signal |
| z | Maximal Abs. Value of the Nyquist-Rate Samples of x(t) |
| zc | Maximal Absolute Value of x(t) |
| α | Correction Factor by Prasad |
| γ | Lower Bound on the Power Loss Ratio |
| θ | Angles from the Origin to Points on the Surface of the Convex Body |
| ρ | Signal to Noise Ratio |
| σn2 | Noise power |
References
- Shannon, C.E.; Weaver, W. The Mathematical Theory of Communication; University of Illinois Press: Champaign, IL, USA, 1949. [Google Scholar]
- Haider, M.F.; You, F.; He, S.; Rahkonen, T.; Aikio, J.P. Predistortion-Based Linearization for 5G and Beyond Millimeter-Wave Transceiver Systems: A Comprehensive Survey. IEEE Commun. Surv. Tutor. 2022, 24, 2029–2072. [Google Scholar] [CrossRef]
- Ugolini, A. Physical and MAC Layer Techniques for Next Generation Satellite Communications. Ph.D. Thesis, Università Degli Studi Di Parma, Parma, Italy, 2016. [Google Scholar]
- Miller, S.L.; O’Dea, R.J. Peak power and bandwidth efficient linear modulation. IEEE Trans. Commun. 1998, 46, 1639–1648. [Google Scholar] [CrossRef]
- Shamai, S. On the capacity of a Gaussian channel with peak power and bandlimited input signals. AEU Arch. Fur Elektron. Und Ubertragungstechnik 1988, 42, 340–346. [Google Scholar]
- Wang, Y.; Zhou, J.; Zhang, W. Capacity bounds for bandlimited Gaussian channels with peak-to-average-power-ratio constraint. In Proceedings of the 2018 IEEE Information Theory Workshop, ITW 2018, Guangzhou, China, 25–29 November 2018. [Google Scholar] [CrossRef]
- Ochiai, H.; Imai, H. On the distribution of the peak-to-average power ratio in OFDM signals. IEEE Trans. Commun. 2001, 49, 282–289. [Google Scholar] [CrossRef]
- Savaux, V.; Louet, Y. PAPR Analysis as a ratio of two random variables: Application to multicarrier systems with low subcarriers number. IEEE Trans. Commun. 2018, 66, 5732–5739. [Google Scholar] [CrossRef]
- Sayyari, R.; Pourrostam, J.; Ahmadi, H. Efficient PAPR reduction scheme for OFDM-NOMA systems based on DSI & precoding methods. Phys. Commun. 2021, 47, 101372. [Google Scholar] [CrossRef]
- Ozarow, L.H.; Wyner, A.D.; Ziv, J. Achievable rates for a constrained Gaussian channel. IEEE Trans. Inf. Theory 1988, 34, 365–370. [Google Scholar] [CrossRef]
- Neuhaus, P.; Dörpinghaus, M.; Fettweis, G. Zero-crossing modulation for wideband systems employing 1-bit quantization and temporal oversampling: Transceiver design and performance evaluation. IEEE Open J. Commun. Soc. 2021, 2, 1915–1934. [Google Scholar] [CrossRef]
- Shamai, S.; Bar-David, I. Upper bounds on capacity for a constrained Gaussian channel. IEEE Trans. Inf. Theory 1989, 35, 1079–1084. [Google Scholar] [CrossRef]
- Bar-David, I. On the Capacity of Peak Power Constrained Gaussian Channels. In Performance Limits in Communication Theory and Practice; NATO ASI Series; Springer: Dordrecht, The Netherlands, 1988. [Google Scholar] [CrossRef]
- Shepp, L.A. Covariance of unit processes. In Proceedings of the Working Conference on Stochastic Processes, Santa Barbara, CA, USA; 1967; pp. 205–218. [Google Scholar]
- Shamai, S.; Chayat, N. The autocorrelation function of a peak-power-limited process. Signal Process. 1991, 24, 127–136. [Google Scholar] [CrossRef]
- Smith, J.G. The information capacity of amplitude- and variance-constrained scalar gaussian channels. Inf. Control 1971, 18, 203–219. [Google Scholar] [CrossRef]
- Zhang, J.; Yang, L.-L.; Hanzo, L.; Gharavi, H. Advances in Cooperative Single-Carrier FDMA Communications: Beyond LTE-Advanced. IEEE Commun. Surv. Tutor. 2015, 17, 730–756. [Google Scholar] [CrossRef]
- Peleg, M.; Shamai, S. Geometrical bounds on the capacity of the binary bipolar input AWGN channel. In Proceedings of the IEEE COMCAS 2024 Conference, Tel Aviv, Israel, 9–11 July 2024. [Google Scholar]
- Peleg, M.; Shamai, S. On the Capacity of the Peak Limited and Band Limited Channel. arXiv 2024, arXiv:2410.04912. [Google Scholar]
- Blachman, N. The convolution inequality for entropy powers. IEEE Trans. Inf. Theory 1965, 11, 267–271. [Google Scholar] [CrossRef]
- Klain, D.A. Invariant valuations on star-shaped sets. Adv. Math. 1997, 125, 95–113. [Google Scholar] [CrossRef]
- Marsaglia, G. Choosing a Point from the Surface of a Sphere. Ann. Math. Stat. 1972, 43, 645–646. [Google Scholar] [CrossRef]
- Diebolt, J.; Posse, C. On the density of the maximum of smooth Gaussian processes. Ann. Probab. 1996, 24, 1104–1129. [Google Scholar] [CrossRef]
- David, H.A.; Nagaraja, H.N. Order Statistics, 3rd ed.; Wiley: Hoboken, NJ, USA, 2004; ISBN 978-0-471-65401-8. [Google Scholar]
- Tong, Y.L. Order Statistics of Normal Variables. In The Multivariate Normal Distribution; Springer Series in Statistics; Springer: New York, NY, USA, 1990. [Google Scholar] [CrossRef]
- Prasad, R. OFDM for Wireless Communications Systems; Chapter 6; Artech House: London, UK, 2004. [Google Scholar]
- Shamai, S.; Bar-David, I. The Capacity of Average and Peak-Power-Limited Quadrature Gaussian Channels. IEEE Trans. Inf. Theory 1995, 41, 1060–1071. [Google Scholar] [CrossRef]
- Dytso, A.; Goldenbaum, M.; Poor, H.V.; Shamai, S. Amplitude constrained MIMO channels: Properties of optimal input distributions and bounds on the capacity. Entropy 2019, 21, 200. [Google Scholar] [CrossRef] [PubMed]
- Favano, A.; Ferrari, M.; Magarini, M.; Barletta, L. The Capacity of the Amplitude-Constrained Vector Gaussian Channel. In Proceedings of the 2021 IEEE International Symposium on Information Theory, Melbourne, Victoria, Australia, 12–20 July 2021. [Google Scholar]

















Disclaimer/Publisher’s Note: The statements, opinions and data contained in all publications are solely those of the individual author(s) and contributor(s) and not of MDPI and/or the editor(s). MDPI and/or the editor(s) disclaim responsibility for any injury to people or property resulting from any ideas, methods, instructions or products referred to in the content. |
© 2024 by the authors. Licensee MDPI, Basel, Switzerland. This article is an open access article distributed under the terms and conditions of the Creative Commons Attribution (CC BY) license (https://creativecommons.org/licenses/by/4.0/).
Share and Cite
Peleg, M.; Shamai, S. On the Capacity of the Peak-Limited and Band-Limited Channel. Entropy 2024, 26, 1049. https://doi.org/10.3390/e26121049
Peleg M, Shamai S. On the Capacity of the Peak-Limited and Band-Limited Channel. Entropy. 2024; 26(12):1049. https://doi.org/10.3390/e26121049
Chicago/Turabian StylePeleg, Michael, and Shlomo Shamai. 2024. "On the Capacity of the Peak-Limited and Band-Limited Channel" Entropy 26, no. 12: 1049. https://doi.org/10.3390/e26121049
APA StylePeleg, M., & Shamai, S. (2024). On the Capacity of the Peak-Limited and Band-Limited Channel. Entropy, 26(12), 1049. https://doi.org/10.3390/e26121049
