Quantum Information Scrambling in Adiabatically Driven Critical Systems
Abstract
1. Introduction
2. Adiabatic Quantum Information Scrambling
3. Lipkin–Meshkov–Glick Model
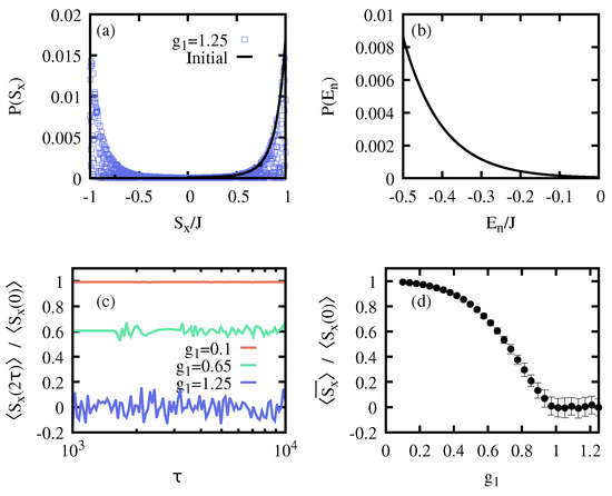
3.1. Effectiveness of the Quantum Information Scrambling

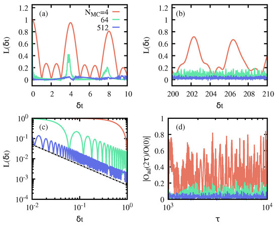
3.2. Loschmidt Echo and Out-of-Time-Ordered Correlator
3.3. Symmetry-Breaking Thermal States
4. Quantum Rabi Model
5. Conclusions
Author Contributions
Funding
Data Availability Statement
Conflicts of Interest
References
- Swingle, B.; Bentsen, G.; Schleier-Smith, M.; Hayden, P. Measuring the scrambling of quantum information. Phys. Rev. A 2016, 94, 040302. [Google Scholar] [CrossRef]
- Swingle, B. Unscrambling the physics of out-of-time-order correlators. Nat. Phys. 2018, 14, 988–990. [Google Scholar] [CrossRef]
- Xu, S.; Swingle, B. Scrambling Dynamics and Out-of-Time-Ordered Correlators in Quantum Many-Body Systems. PRX Quantum 2024, 5, 010201. [Google Scholar] [CrossRef]
- Deutsch, J.M. Quantum statistical mechanics in a closed system. Phys. Rev. A 1991, 43, 2046–2049. [Google Scholar] [CrossRef] [PubMed]
- Touil, A.; Deffner, S. Information Scrambling versus Decoherence—Two Competing Sinks for Entropy. PRX Quantum 2021, 2, 010306. [Google Scholar] [CrossRef]
- Touil, A.; Deffner, S. Information scrambling—A quantum thermodynamic perspective. Europhys. Lett. 2024, 146, 48001. [Google Scholar] [CrossRef]
- Nielsen, M.A.; Chuang, I.L. Quantum Computation and Quantum Information; Cambridge University Press: Cambridge, UK, 2000. [Google Scholar]
- Mezei, M.; Stanford, D. On entanglement spreading in chaotic systems. J. High Energy Phys. 2017, 2017, 65. [Google Scholar] [CrossRef]
- Chenu, A.; Molina-Vilaplana, J.; del Campo, A. Work Statistics, Loschmidt Echo and Information Scrambling in Chaotic Quantum Systems. Quantum 2019, 3, 127. [Google Scholar] [CrossRef]
- Campisi, M.; Goold, J. Thermodynamics of quantum information scrambling. Phys. Rev. E 2017, 95, 62127. [Google Scholar] [CrossRef] [PubMed]
- Deffner, S.; Campbell, S. Quantum Thermodynamics; Morgan & Claypool Publishers: San Rafael, CA, USA, 2019; pp. 2053–2571. [Google Scholar] [CrossRef]
- Maldacena, J.; Shenker, S.H.; Stanford, D. A bound on chaos. J. High Energy Phys. 2016, 2016, 106. [Google Scholar] [CrossRef]
- Polkovnikov, A.; Sengupta, K.; Silva, A.; Vengalattore, M. Colloquium: Nonequilibrium dynamics of closed interacting quantum systems. Rev. Mod. Phys. 2011, 83, 863–883. [Google Scholar] [CrossRef]
- Eisert, J.; Friesdorf, M.; Gogolin, C. Quantum many-body systems out of equilibrium. Nat. Phys. 2015, 11, 124–130. [Google Scholar] [CrossRef]
- Sachdev, S. Quantum Phase Transitions, 2nd ed.; Cambridge University Press: Cambridge, UK, 2011. [Google Scholar]
- Srednicki, M. Chaos and quantum thermalization. Phys. Rev. E 1994, 50, 888–901. [Google Scholar] [CrossRef] [PubMed]
- Kaufman, A.M.; Tai, M.E.; Lukin, A.; Rispoli, M.; Schittko, R.; Preiss, P.M.; Greiner, M. Quantum thermalization through entanglement in an isolated many-body system. Science 2016, 353, 794–800. [Google Scholar] [CrossRef]
- Rigol, M.; Dunjko, V.; Olshanii, M. Thermalization and its mechanism for generic isolated quantum systems. Nature 2008, 452, 854–858. [Google Scholar] [CrossRef]
- Mi, X.; Roushan, P.; Quintana, C.; Mandrà, S.; Marshall, J.; Neill, C.; Arute, F.; Arya, K.; Atalaya, J.; Babbush, R.; et al. Information scrambling in quantum circuits. Science 2021, 374, 1479–1483. [Google Scholar] [CrossRef]
- Zhu, Q.; Sun, Z.H.; Gong, M.; Chen, F.; Zhang, Y.R.; Wu, Y.; Ye, Y.; Zha, C.; Li, S.; Guo, S.; et al. Observation of Thermalization and Information Scrambling in a Superconducting Quantum Processor. Phys. Rev. Lett. 2022, 128, 160502. [Google Scholar] [CrossRef]
- Gómez-Ruiz, F.J.; Mendoza-Arenas, J.J.; Rodríguez, F.J.; Tejedor, C.; Quiroga, L. Universal two-time correlations, out-of-time-ordered correlators, and Leggett-Garg inequality violation by edge Majorana fermion qubits. Phys. Rev. B 2018, 97, 235134. [Google Scholar] [CrossRef]
- Landsman, K.A.; Figgatt, C.; Schuster, T.; Linke, N.M.; Yoshida, B.; Yao, N.Y.; Monroe, C. Verified quantum information scrambling. Nature 2019, 567, 61–65. [Google Scholar] [CrossRef]
- Monaco, G.L.; Innocenti, L.; Cilluffo, D.; Chisholm, D.A.; Lorenzo, S.; Palma, G.M. Quantum scrambling via accessible tripartite information. Quantum Sci. Technol. 2023, 8, 035006. [Google Scholar] [CrossRef]
- Seshadri, A.; Madhok, V.; Lakshminarayan, A. Tripartite mutual information, entanglement, and scrambling in permutation symmetric systems with an application to quantum chaos. Phys. Rev. E 2018, 98, 052205. [Google Scholar] [CrossRef]
- Gärttner, M.; Bohnet, J.G.; Safavi-Naini, A.; Wall, M.L.; Bollinger, J.J.; Rey, A.M. Measuring out-of-time-order correlations and multiple quantum spectra in a trapped-ion quantum magnet. Nat. Phys. 2017, 13, 781–786. [Google Scholar] [CrossRef]
- Zhang, Y.L.; Huang, Y.; Chen, X. Information scrambling in chaotic systems with dissipation. Phys. Rev. B 2019, 99, 014303. [Google Scholar] [CrossRef]
- Huang, Y.; Brandão, F.G.S.L.; Zhang, Y.L. Finite-Size Scaling of Out-of-Time-Ordered Correlators at Late Times. Phys. Rev. Lett. 2019, 123, 010601. [Google Scholar] [CrossRef]
- Alba, V.; Calabrese, P. Quantum information scrambling after a quantum quench. Phys. Rev. B 2019, 100, 115150. [Google Scholar] [CrossRef]
- Wang, J.H.; Cai, T.Q.; Han, X.Y.; Ma, Y.W.; Wang, Z.L.; Bao, Z.H.; Li, Y.; Wang, H.Y.; Zhang, H.Y.; Sun, L.Y.; et al. Information scrambling dynamics in a fully controllable quantum simulator. Phys. Rev. Res. 2022, 4, 043141. [Google Scholar] [CrossRef]
- Omanakuttan, S.; Chinni, K.; Blocher, P.D.; Poggi, P.M. Scrambling and quantum chaos indicators from long-time properties of operator distributions. Phys. Rev. A 2023, 107, 032418. [Google Scholar] [CrossRef]
- Heyl, M.; Pollmann, F.; Dóra, B. Detecting Equilibrium and Dynamical Quantum Phase Transitions in Ising Chains via Out-of-Time-Ordered Correlators. Phys. Rev. Lett. 2018, 121, 016801. [Google Scholar] [CrossRef]
- Sun, Z.; Cai, J.; Tang, Q.; Hu, Y.; Fan, H. Out-of-Time-Order Correlators and Quantum Phase Transitions in the Rabi and Dicke Models. Annalen der Physik 2020, 532, 1900270. [Google Scholar] [CrossRef]
- Wei, B.B.; Sun, G.; Hwang, M.J. Dynamical scaling laws of out-of-time-ordered correlators. Phys. Rev. B 2019, 100, 195107. [Google Scholar] [CrossRef]
- Dağ, C.B.; Sun, K.; Duan, L.M. Detection of Quantum Phases via Out-of-Time-Order Correlators. Phys. Rev. Lett. 2019, 123, 140602. [Google Scholar] [CrossRef] [PubMed]
- Dorner, R.; Goold, J.; Cormick, C.; Paternostro, M.; Vedral, V. Emergent Thermodynamics in a Quenched Quantum Many-Body System. Phys. Rev. Lett. 2012, 109, 160601. [Google Scholar] [CrossRef] [PubMed]
- Varizi, A.D.; Vieira, A.P.; Cormick, C.; Drumond, R.C.; Landi, G.T. Quantum coherence and criticality in irreversible work. Phys. Rev. Res. 2020, 2, 033279. [Google Scholar] [CrossRef]
- Bayat, A.; Apollaro, T.J.G.; Paganelli, S.; De Chiara, G.; Johannesson, H.; Bose, S.; Sodano, P. Nonequilibrium critical scaling in quantum thermodynamics. Phys. Rev. B 2016, 93, 201106. [Google Scholar] [CrossRef]
- Abah, O.; De Chiara, G.; Paternostro, M.; Puebla, R. Harnessing nonadiabatic excitations promoted by a quantum critical point: Quantum battery and spin squeezing. Phys. Rev. Res. 2022, 4, L022017. [Google Scholar] [CrossRef]
- Vijayan, V.; Chotorlishvili, L.; Ernst, A.; Katsnelson, M.I.; Parkin, S.S.P.; Mishra, S.K. Plasmonic skyrmion quantum thermodynamics. arXiv 2023, arXiv:2312.05656. [Google Scholar]
- Cejnar, P.; Macek, M.; Heinze, S.; Jolie, J.; Dobeš, J. Monodromy and excited-state quantum phase transitions in integrable systems: Collective vibrations of nuclei. J. Phys. A Math. Theor. 2006, 39, L515. [Google Scholar] [CrossRef]
- Caprio, M.; Cejnar, P.; Iachello, F. Excited state quantum phase transitions in many-body systems. Ann. Phys. 2008, 323, 110–1135. [Google Scholar] [CrossRef]
- Brandes, T. Excited-state quantum phase transitions in Dicke superradiance models. Phys. Rev. E 2013, 88, 032133. [Google Scholar] [CrossRef]
- Stránský, P.; Macek, M.; Cejnar, P. Excited-state quantum phase transitions in systems with two degrees of freedom: Level density, level dynamics, thermal properties. Ann. Phys. 2014, 345, 73–97. [Google Scholar] [CrossRef]
- Stránský, P.; Macek, M.; Leviatan, A.; Cejnar, P. Excited-state quantum phase transitions in systems with two degrees of freedom: II. Finite-size effects. Ann. Phys. 2015, 356, 57–82. [Google Scholar] [CrossRef]
- Cejnar, P.; Stránský, P.; Macek, M.; Kloc, M. Excited-state quantum phase transitions. J. Phys. A Math. Theor. 2021, 54, 133001. [Google Scholar] [CrossRef]
- Puebla, R.; Relaño, A.; Retamosa, J. Excited-state phase transition leading to symmetry-breaking steady states in the Dicke model. Phys. Rev. A 2013, 87, 023819. [Google Scholar] [CrossRef]
- Puebla, R.; Relaño, A. Non-thermal excited-state quantum phase transitions. Europhys. Lett. 2013, 104, 50007. [Google Scholar] [CrossRef]
- Puebla, R.; Relaño, A. Irreversible processes without energy dissipation in an isolated Lipkin-Meshkov-Glick model. Phys. Rev. E 2015, 92, 012101. [Google Scholar] [CrossRef]
- Corps, A.L.; Relaño, A. Constant of Motion Identifying Excited-State Quantum Phases. Phys. Rev. Lett. 2021, 127, 130602. [Google Scholar] [CrossRef]
- Corps, A.L.; Relaño, A. Dynamical and excited-state quantum phase transitions in collective systems. Phys. Rev. B 2022, 106, 024311. [Google Scholar] [CrossRef]
- Corps, A.L.; Relaño, A. Theory of Dynamical Phase Transitions in Quantum Systems with Symmetry-Breaking Eigenstates. Phys. Rev. Lett. 2023, 130, 100402. [Google Scholar] [CrossRef]
- Gómez-Ruiz, F.J.; Acevedo, O.L.; Rodríguez, F.J.; Quiroga, L.; Johnson, N.F. Pulsed Generation of Quantum Coherences and Non-classicality in Light-Matter Systems. Front. Phys. 2018, 6, 92. [Google Scholar] [CrossRef]
- Gómez-Ruiz, F.; Acevedo, O.; Quiroga, L.; Rodríguez, F.; Johnson, N. Quantum Hysteresis in Coupled Light–Matter Systems. Entropy 2016, 18, 319. [Google Scholar] [CrossRef]
- Lipkin, H.; Meshkov, N.; Glick, A. Validity of many-body approximation methods for a solvable model. Nucl. Phys. 1965, 62, 188–198. [Google Scholar] [CrossRef]
- Dusuel, S.; Vidal, J. Finite-size scaling exponents of the Lipkin-Meshkov-Glick model. Phys. Rev. Lett. 2004, 93, 237204. [Google Scholar] [CrossRef] [PubMed]
- Leyvraz, F.; Heiss, W.D. Large-N scaling behavior of the Lipkin-Meshkov-Glick Model. Phys. Rev. Lett. 2005, 95, 050402. [Google Scholar] [CrossRef] [PubMed]
- Vidal, J.; Dusuel, S.; Barthel, T. Entanglement entropy in collective models. J. Stat. Mech. 2007, 2007, P01015. [Google Scholar] [CrossRef]
- Ribeiro, P.; Vidal, J.; Mosseri, R. Thermodynamical limit of the Lipkin-Meshkov-Glick model. Phys. Rev. Lett. 2007, 99, 050402. [Google Scholar] [CrossRef]
- Ribeiro, P.; Vidal, J.; Mosseri, R. Exact spectrum of the Lipkin-Meshkov-Glick model in the thermodynamic limit and finite-size corrections. Phys. Rev. E 2008, 78, 021106. [Google Scholar] [CrossRef]
- Dicke, R.H. Coherence in Spontaneous Radiation Processes. Phys. Rev. 1954, 93, 99–110. [Google Scholar] [CrossRef]
- Emary, C.; Brandes, T. Quantum Chaos Triggered by Precursors of a Quantum Phase Transition: The Dicke Model. Phys. Rev. Lett. 2003, 90, 044101. [Google Scholar] [CrossRef]
- Hwang, M.J.; Puebla, R.; Plenio, M.B. Quantum phase transition and universal dynamics in the Rabi model. Phys. Rev. Lett. 2015, 115, 180404. [Google Scholar] [CrossRef]
- Puebla, R.; Hwang, M.J.; Plenio, M.B. Excited-state quantum phase transition in the Rabi model. Phys. Rev. A 2016, 94, 023835. [Google Scholar] [CrossRef]
- Bakemeier, L.; Alvermann, A.; Fehske, H. Quantum phase transition in the Dicke model with critical and noncritical entanglement. Phys. Rev. A 2012, 85, 043821. [Google Scholar] [CrossRef]
- Puebla, R. Finite-component dynamical quantum phase transitions. Phys. Rev. B 2020, 102, 220302. [Google Scholar] [CrossRef]
- Felicetti, S.; Le Boité, A. Universal Spectral Features of Ultrastrongly Coupled Systems. Phys. Rev. Lett. 2020, 124, 040404. [Google Scholar] [CrossRef]
- Bastarrachea-Magnani, M.A.; Lerma-Hernández, S.; Hirsch, J.G. Comparative quantum and semiclassical analysis of atom-field systems. II. Chaos and regularity. Phys. Rev. A 2014, 89, 032102. [Google Scholar] [CrossRef]
- Relaño, A.; Bastarrachea-Magnani, M.A.; Lerma-Hernández, S. Approximated integrability of the Dicke model. Europhys. Lett. 2017, 116, 50005. [Google Scholar] [CrossRef]
- Lóbez, C.M.; Relaño, A. Entropy, chaos, and excited-state quantum phase transitions in the Dicke model. Phys. Rev. E 2016, 94, 012140. [Google Scholar] [CrossRef]
- Corps, Á.L.; Molina, R.A.; Relaño, A. Chaos in a deformed Dicke model. J. Phys. A Math. Theor. 2022, 55, 084001. [Google Scholar] [CrossRef]
- Zibold, T.; Nicklas, E.; Gross, C.; Oberthaler, M.K. Classical Bifurcation at the Transition from Rabi to Josephson Dynamics. Phys. Rev. Lett. 2010, 105, 204101. [Google Scholar] [CrossRef]
- Jurcevic, P.; Shen, H.; Hauke, P.; Maier, C.; Brydges, T.; Hempel, C.; Lanyon, B.P.; Heyl, M.; Blatt, R.; Roos, C.F. Direct observation of dynamical quantum phase transitions in an interacting many-body system. Phys. Rev. Lett. 2017, 119, 080501. [Google Scholar] [CrossRef]
- Caneva, T.; Fazio, R.; Santoro, G.E. Adiabatic quantum dynamics of the Lipkin-Meshkov-Glick model. Phys. Rev. B 2008, 78, 104426. [Google Scholar] [CrossRef]
- Kwok, H.M.; Ning, W.Q.; Gu, S.J.; Lin, H.Q. Quantum criticality of the Lipkin-Meshkov-Glick model in terms of fidelity susceptibility. Phys. Rev. E 2008, 78, 032103. [Google Scholar] [CrossRef] [PubMed]
- Yuan, Z.G.; Zhang, P.; Li, S.S.; Jing, J.; Kong, L.B. Scaling of the Berry phase close to the excited-state quantum phase transition in the Lipkin model. Phys. Rev. A 2012, 85, 044102. [Google Scholar] [CrossRef]
- Acevedo, O.L.; Quiroga, L.; Rodríguez, F.J.; Johnson, N.F. New dynamical scaling universality for quantum networks across adiabatic quantum phase transitions. Phys. Rev. Lett. 2014, 112, 030403. [Google Scholar] [CrossRef]
- Salvatori, G.; Mandarino, A.; Paris, M.G.A. Quantum metrology in Lipkin-Meshkov-Glick critical systems. Phys. Rev. A 2014, 90, 022111. [Google Scholar] [CrossRef]
- Campbell, S.; De Chiara, G.; Paternostro, M.; Palma, G.M.; Fazio, R. Shortcut to Adiabaticity in the Lipkin-Meshkov-Glick Model. Phys. Rev. Lett. 2015, 114, 177206. [Google Scholar] [CrossRef]
- Campbell, S. Criticality revealed through quench dynamics in the Lipkin-Meshkov-Glick model. Phys. Rev. B 2016, 94, 184403. [Google Scholar] [CrossRef]
- Defenu, N.; Enss, T.; Kastner, M.; Morigi, G. Dynamical Critical Scaling of Long-Range Interacting Quantum Magnets. Phys. Rev. Lett. 2018, 121, 240403. [Google Scholar] [CrossRef]
- Puebla, R.; Smirne, A.; Huelga, S.F.; Plenio, M.B. Universal Anti-Kibble-Zurek Scaling in Fully Connected Systems. Phys. Rev. Lett. 2020, 124, 230602. [Google Scholar] [CrossRef]
- Mzaouali, Z.; Puebla, R.; Goold, J.; El Baz, M.; Campbell, S. Work statistics and symmetry breaking in an excited-state quantum phase transition. Phys. Rev. E 2021, 103, 032145. [Google Scholar] [CrossRef]
- Garbe, L.; Abah, O.; Felicetti, S.; Puebla, R. Critical quantum metrology with fully-connected models: From Heisenberg to Kibble–Zurek scaling. Quantum Sci. Technol. 2022, 7, 035010. [Google Scholar] [CrossRef]
- Gamito, J.; Khalouf-Rivera, J.; Arias, J.M.; Pérez-Fernández, P.; Pérez-Bernal, F. Excited-state quantum phase transitions in the anharmonic Lipkin-Meshkov-Glick model: Static aspects. Phys. Rev. E 2022, 106, 044125. [Google Scholar] [CrossRef] [PubMed]
- Garbe, L.; Abah, O.; Felicetti, S.; Puebla, R. Exponential time-scaling of estimation precision by reaching a quantum critical point. Phys. Rev. Res. 2022, 4, 043061. [Google Scholar] [CrossRef]
- Santini, A.; Lumia, L.; Collura, M.; Giachetti, G. Semiclassical Quantum Trajectories in the Monitored Lipkin-Meshkov-Glick Model. arXiv 2024, arXiv:2407.20314. [Google Scholar]
- Cejnar, P.; Stránský, P. Impact of quantum phase transitions on excited-level dynamics. Phys. Rev. E 2008, 78, 031130. [Google Scholar] [CrossRef]
- Pérez-Fernández, P.; Relaño, A. From thermal to excited-state quantum phase transition: The Dicke model. Phys. Rev. E 2017, 96, 012121. [Google Scholar] [CrossRef]






Disclaimer/Publisher’s Note: The statements, opinions and data contained in all publications are solely those of the individual author(s) and contributor(s) and not of MDPI and/or the editor(s). MDPI and/or the editor(s) disclaim responsibility for any injury to people or property resulting from any ideas, methods, instructions or products referred to in the content. |
© 2024 by the authors. Licensee MDPI, Basel, Switzerland. This article is an open access article distributed under the terms and conditions of the Creative Commons Attribution (CC BY) license (https://creativecommons.org/licenses/by/4.0/).
Share and Cite
Puebla, R.; Gómez-Ruiz, F.J. Quantum Information Scrambling in Adiabatically Driven Critical Systems. Entropy 2024, 26, 951. https://doi.org/10.3390/e26110951
Puebla R, Gómez-Ruiz FJ. Quantum Information Scrambling in Adiabatically Driven Critical Systems. Entropy. 2024; 26(11):951. https://doi.org/10.3390/e26110951
Chicago/Turabian StylePuebla, Ricardo, and Fernando J. Gómez-Ruiz. 2024. "Quantum Information Scrambling in Adiabatically Driven Critical Systems" Entropy 26, no. 11: 951. https://doi.org/10.3390/e26110951
APA StylePuebla, R., & Gómez-Ruiz, F. J. (2024). Quantum Information Scrambling in Adiabatically Driven Critical Systems. Entropy, 26(11), 951. https://doi.org/10.3390/e26110951
