Noise Transfer Approach to GKP Quantum Circuits
Abstract
1. Introduction
2. Signal and Fluctuation Operators
2.1. Cat States
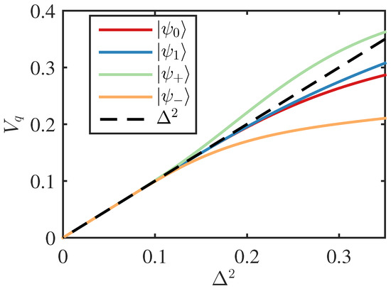
2.2. GKP States
3. Operator Evolution and Feedforward
4. GKP Error Correction
4.1. Ideal Case
4.2. Loss Tolerance
4.3. Logical Errors
5. Discussion and Conclusions
Author Contributions
Funding
Data Availability Statement
Acknowledgments
Conflicts of Interest
References
- Bachor, H.; Ralph, T.C. A Guide to Experiment in Quantum Optics, 3rd ed.; Wiley: Hoboken, NJ, USA, 2019. [Google Scholar]
- Weedbrook, C.; Pirandola, S.; Garcıa-Patron, R.; Cerf, N.J.; Ralph, T.C.; Shapiro, J.H.; Lloyd, S. Gaussian Quantum Information. Rev. Mod. Phys. 2012, 84, 621. [Google Scholar] [CrossRef]
- Ralph, T.C.; Gilchrist, A.; Milburn, G.J.; Munro, W.J.; Glancy, S. Quantum Computation with Coherent Optical States. Phys. Rev. A 2003, 68, 042319. [Google Scholar] [CrossRef]
- Gottesman, D.; Kitaev, A.; Preskil, J. Encoding a qubit in an oscillator. Phys. Rev. A 2001, 64, 012310. [Google Scholar] [CrossRef]
- Menicucci, N.C. Fault-Tolerant Measurement-Based Quantum Computing with Continuous-Variable Cluster States. Phys. Rev. Lett. 2014, 112, 120504. [Google Scholar] [CrossRef] [PubMed]
- Pantaleoni, G.; Baragiola, B.Q.; Menicucci, N.C. Modular bosonic subsystem codes. Phys. Rev. Lett. 2020, 125, 040501. [Google Scholar] [CrossRef] [PubMed]
- Tzitrin, I.; Bourassa, J.E.; Menicucci, N.C.; Sabapathy, K.K. Progress towards practical qubit computation using approximate Gottesman-Kitaev-Preskill codes. Phys. Rev. A 2020, 101, 032315. [Google Scholar] [CrossRef]
- Bourassa, J.E.; Alexander, R.N.; Vasmer, M.; Patil, A.; Tzitrin, I.; Matsuura, T.; Su, D.; Baragiola, B.Q.; Guha, S.; Dauphinais, G.; et al. Blueprint for a scalable photonic fault-tolerant quantum computer. Quantum 2021, 5, 392. [Google Scholar] [CrossRef]
- Hillmann, T.; Quijandría, F.; Grimsmo, A.L.; Ferrini, G. Performance of Teleportation-Based Error-Correction Circuits for Bosonic Codes with Noisy Measurements. PRX Quantum 2022, 3, 020334. [Google Scholar] [CrossRef]
- Glancy, S.; Knill, E. Error analysis for encoding a qubit in an oscillator. Phys. Rev. A 2006, 73, 012325. [Google Scholar] [CrossRef]
- Menicucci, N.C.; van Loock, P.; Gu, M.; Weedbrook, C.; Ralph, T.C.; Nielsen, M.A. Universal Quantum Computation with Continuous-Variable Cluster States. Phys. Rev. Lett. 2006, 97, 110501. [Google Scholar] [CrossRef] [PubMed]
- Baragiola, B.Q.; Pantaleoni, G.; Alexander, R.N.; Karanjai, A.; Menicucci, N.C. All-Gaussian Universality and Fault Tolerance with the Gottesman-Kitaev-Preskill Code. Phys. Rev. Lett. 2019, 123, 200502. [Google Scholar] [CrossRef] [PubMed]
- Schmidt, F.; Miller, D.; van Loock, P. Error-corrected quantum repeaters with Gottesman-Kitaev-Preskill qudits. Phys. Rev. A 2024, 109, 042427. [Google Scholar] [CrossRef]







Disclaimer/Publisher’s Note: The statements, opinions and data contained in all publications are solely those of the individual author(s) and contributor(s) and not of MDPI and/or the editor(s). MDPI and/or the editor(s) disclaim responsibility for any injury to people or property resulting from any ideas, methods, instructions or products referred to in the content. |
© 2024 by the authors. Licensee MDPI, Basel, Switzerland. This article is an open access article distributed under the terms and conditions of the Creative Commons Attribution (CC BY) license (https://creativecommons.org/licenses/by/4.0/).
Share and Cite
Ralph, T.C.; Winnel, M.S.; Swain, S.N.; Marshman, R.J. Noise Transfer Approach to GKP Quantum Circuits. Entropy 2024, 26, 874. https://doi.org/10.3390/e26100874
Ralph TC, Winnel MS, Swain SN, Marshman RJ. Noise Transfer Approach to GKP Quantum Circuits. Entropy. 2024; 26(10):874. https://doi.org/10.3390/e26100874
Chicago/Turabian StyleRalph, Timothy C., Matthew S. Winnel, S. Nibedita Swain, and Ryan J. Marshman. 2024. "Noise Transfer Approach to GKP Quantum Circuits" Entropy 26, no. 10: 874. https://doi.org/10.3390/e26100874
APA StyleRalph, T. C., Winnel, M. S., Swain, S. N., & Marshman, R. J. (2024). Noise Transfer Approach to GKP Quantum Circuits. Entropy, 26(10), 874. https://doi.org/10.3390/e26100874

