Mapping Guaranteed Positive Secret Key Rates for Continuous Variable Quantum Key Distribution
Abstract
1. Introduction
2. DM-CVQKD Protocols
2.1. M-PSK: Phase Shift Keying
2.2. M-QAM: Quadrature Amplitude Modulation
2.3. M-APSK: Amplitude Phase Shift Keying
3. Methods
4. Results
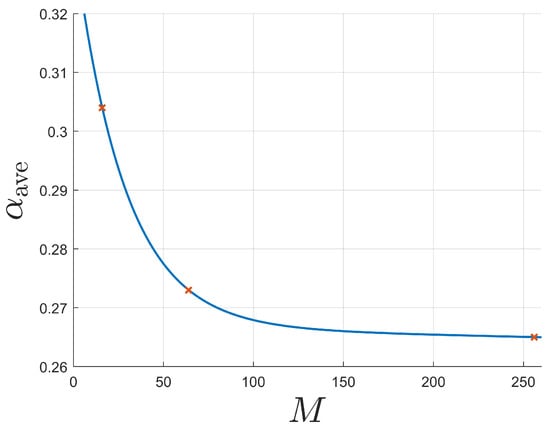
4.1. Intra-Protocol Comparison
- 16-APSK: = 0.304 SNU.
- 64-APSK: = 0.273 SNU.
- 256-APSK: = 0.265 SNU.
4.2. Inter-Protocol Comparison
- 16-PSK: = 0.256 SNU.
- 16-APSK: = 0.210 SNU.
- 16-QAM: = 0.193 SNU.
5. Discussion
6. Conclusions
Author Contributions
Funding
Institutional Review Board Statement
Data Availability Statement
Acknowledgments
Conflicts of Interest
Appendix A. Similar Regions

References
- Bennett, C.H.; Brassard, G. Quantum cryptography: Public key distribution and coin tossing. In Proceedings of the IEEE International Conference on Computer, System and Signal Processing, Bangalore, India, 10–12 December 1984; pp. 175–179. [Google Scholar]
- Scarani, V.; Bechmann-Pasquinucci, H.; Cerf, N.J.; Dušek, M.; Lütkenhaus, N.; Peev, M. The security of practical quantum key distribution. Rev. Mod. Phys. 2009, 81, 1301. [Google Scholar] [CrossRef]
- Braunstein, S.L.; Van Loock, P. Quantum information with continuous variables. Rev. Mod. Phys. 2005, 77, 513. [Google Scholar] [CrossRef]
- Weedbrook, C.; Pirandola, S.; García-Patrón, R.; Cerf, N.J.; Ralph, T.C.; Shapiro, J.H.; Lloyd, S. Gaussian quantum information. Rev. Mod. Phys. 2012, 84, 621. [Google Scholar] [CrossRef]
- Laudenbach, F.; Pacher, C.; Fung, C.H.F.; Poppe, A.; Peev, M.; Schrenk, B.; Hentschel, M.; Walther, P.; Hübel, H. Continuous-variable quantum key distribution with Gaussian modulation—The theory of practical implementations. Adv. Quantum Technol. 2018, 1, 1800011. [Google Scholar] [CrossRef]
- Denys, A.; Brown, P.; Leverrier, A. Explicit asymptotic secret key rate of continuous-variable quantum key distribution with an arbitrary modulation. Quantum 2021, 5, 540. [Google Scholar] [CrossRef]
- Grosshans, F.; Grangier, P. Continuous variable quantum cryptography using coherent states. Phys. Rev. Lett. 2002, 88, 057902. [Google Scholar] [CrossRef]
- Almeida, M.; Pereira, D.; Muga, N.J.; Facão, M.; Pinto, A.N.; Silva, N.A. Secret key rate of multi-ring M-APSK continuous variable quantum key distribution. Opt. Express 2021, 29, 38669–38682. [Google Scholar] [CrossRef]
- Almeida, M.; Pereira, D.; Muga, N.J.; Facao, M.; Pinto, A.N.; Silva, N.A. CV-QKD Security Limits Using Higher-Order Probabilistic Shaped Regular M-APSK Constellations. Available online: https://sol.sbc.org.br/index.php/wquantum/article/download/21494/21318/ (accessed on 19 October 2023).
- Becir, A.; El-Orany, F.; Wahiddin, M. Continuous-variable quantum key distribution protocols with eight-state discrete modulation. Int. J. Quantum Inf. 2012, 10, 1250004. [Google Scholar] [CrossRef]
- Zhang, H.; Fang, J.; He, G. Improving the performance of the four-state continuous-variable quantum key distribution by using optical amplifiers. Phys. Rev. A 2012, 86, 022338. [Google Scholar] [CrossRef]
- Lin, J.; Upadhyaya, T.; Lütkenhaus, N. Asymptotic security analysis of discrete-modulated continuous-variable quantum key distribution. Phys. Rev. X 2019, 9, 041064. [Google Scholar] [CrossRef]
- Djordjevic, I.B. Optimized-eight-state CV-QKD protocol outperforming Gaussian modulation based protocols. IEEE Photon. J. 2019, 11, 4500610. [Google Scholar] [CrossRef]
- Wang, Z.; Malaney, R.; Green, J. Inter-satellite quantum key distribution at terahertz frequencies. In Proceedings of the ICC 2019, 2019 IEEE International Conference on Communications (ICC), Shanghai, China, 20–24 May 2019; IEEE: Piscataway, NJ, USA, 2019; pp. 1–7. [Google Scholar]
- Liu, C.; Zhu, C.; Li, Z.; Nie, M.; Yang, H.; Pei, C. Continuous-variable quantum secret sharing based on thermal terahertz sources in inter-satellite wireless links. Entropy 2021, 23, 1223. [Google Scholar] [CrossRef] [PubMed]
- Liu, C.; Zhu, C.; Nie, M.; Yang, H.; Pei, C. Composable security for inter-satellite continuous-variable quantum key distribution in the terahertz band. Opt. Express 2022, 30, 14798–14816. [Google Scholar] [CrossRef] [PubMed]
- Liu, C.; Zhu, C.; Liu, X.; Nie, M.; Yang, H.; Pei, C. Multicarrier multiplexing continuous-variable quantum key distribution at terahertz bands under indoor environment and in inter-satellite links communication. IEEE Photon. J. 2021, 13, 7600113. [Google Scholar] [CrossRef]
- Wang, S.; Huang, P.; Wang, T.; Zeng, G. Atmospheric effects on continuous-variable quantum key distribution. New J. Phys. 2018, 20, 083037. [Google Scholar] [CrossRef]
- Kish, S.P.; Villaseñor, E.; Malaney, R.; Mudge, K.A.; Grant, K.J. Feasibility assessment for practical continuous variable quantum key distribution over the satellite-to-Earth channel. Quantum Eng. 2020, 2, e50. [Google Scholar] [CrossRef]
- Dequal, D.; Trigo Vidarte, L.; Roman Rodriguez, V.; Vallone, G.; Villoresi, P.; Leverrier, A.; Diamanti, E. Feasibility of satellite-to-ground continuous-variable quantum key distribution. NPJ Quantum Inf. 2021, 7, 3. [Google Scholar] [CrossRef]
- Pirandola, S. Satellite quantum communications: Fundamental bounds and practical security. Phys. Rev. Res. 2021, 3, 023130. [Google Scholar] [CrossRef]
- Sayat, M.T.; Shajilal, B.; Kish, S.P.; Assad, S.M.; Symul, T.; Lam, P.K.; Rattenbury, N.J.; Cater, J.E. Satellite-to-Ground Continuous Variable Quantum Key Distribution: The Gaussian and Discrete Modulated Protocols in Low Earth Orbit. IEEE Trans. Commun. 2024, 72, 3244–3255. [Google Scholar] [CrossRef]
- Mao, Y.; Wu, X.; Huang, W.; Liao, Q.; Deng, H.; Wang, Y.; Guo, Y. Monte Carlo-based performance analysis for underwater continuous-variable quantum key distribution. Appl. Sci. 2020, 10, 5744. [Google Scholar] [CrossRef]
- Xiang, Y.; Wang, Y.; Ruan, X.; Zuo, Z.; Guo, Y. Improving the discretely modulated underwater continuous-variable quantum key distribution with heralded hybrid linear amplifier. Phys. Scr. 2021, 96, 065103. [Google Scholar] [CrossRef]
- Zhao, W.; Shi, R.; Ruan, X.; Guo, Y.; Mao, Y.; Feng, Y. Monte Carlo-based security analysis for multi-mode continuous-variable quantum key distribution over underwater channel. Quantum Inf. Process. 2022, 21, 186. [Google Scholar] [CrossRef]
- Huang, D.; Lin, D.; Wang, C.; Liu, W.; Fang, S.; Peng, J.; Huang, P.; Zeng, G. Continuous-variable quantum key distribution with 1 Mbps secure key rate. Opt. Express 2015, 23, 17511–17519. [Google Scholar] [CrossRef] [PubMed]
- Zhang, Y.; Li, Z.; Chen, Z.; Weedbrook, C.; Zhao, Y.; Wang, X.; Huang, Y.; Xu, C.; Zhang, X.; Wang, Z.; et al. Continuous-variable QKD over 50 km commercial fiber. Quantum Sci. Technol. 2019, 4, 035006. [Google Scholar] [CrossRef]
- Zhang, Y.; Chen, Z.; Pirandola, S.; Wang, X.; Zhou, C.; Chu, B.; Zhao, Y.; Xu, B.; Yu, S.; Guo, H. Long-distance continuous-variable quantum key distribution over 202.81 km of fiber. Phys. Rev. Lett. 2020, 125, 010502. [Google Scholar] [CrossRef]
- Ren, S.; Yang, S.; Wonfor, A.; Penty, R.; White, I. Experimental demonstration of high key rate and low complexity CVQKD system with local local oscillator. In Proceedings of the 2020 Optical Fiber Communications Conference and Exhibition (OFC), San Diego, CA, USA, 8–12 March 2020; IEEE: Piscataway, NJ, USA, 2020; pp. 1–3. [Google Scholar]
- Leverrier, A.; Grangier, P. Unconditional Security Proof of Long-Distance Continuous-Variable Quantum Key Distribution with Discrete Modulation. Phys. Rev. Lett. 2009, 102, 180504. [Google Scholar] [CrossRef]
- Wang, H.; Li, Y.; Pi, Y.; Pan, Y.; Shao, Y.; Ma, L.; Zhang, Y.; Yang, J.; Zhang, T.; Huang, W.; et al. Sub-Gbps key rate four-state continuous-variable quantum key distribution within metropolitan area. Commun. Phys. 2022, 5, 162. [Google Scholar] [CrossRef]
- Ghorai, S.; Grangier, P.; Diamanti, E.; Leverrier, A. Asymptotic security of continuous-variable quantum key distribution with a discrete modulation. Phys. Rev. X 2019, 9, 021059. [Google Scholar] [CrossRef]
- Renner, R. Symmetry of large physical systems implies independence of subsystems. Nat. Phys. 2007, 3, 645–649. [Google Scholar] [CrossRef]
- Renner, R.; Cirac, J.I. de Finetti Representation Theorem for Infinite-Dimensional Quantum Systems and Applications to Quantum Cryptography. Phys. Rev. Lett. 2009, 102, 110504. [Google Scholar] [CrossRef]
- Matsuura, T.; Maeda, K.; Sasaki, T.; Koashi, M. Finite-size security of continuous-variable quantum key distribution with digital signal processing. Nat. Commun. 2021, 12, 252. [Google Scholar] [CrossRef] [PubMed]
- Yamano, S.; Matsuura, T.; Kuramochi, Y.; Sasaki, T.; Koashi, M. Finite-size security proof of binary-modulation continuous-variable quantum key distribution using only heterodyne measurement. arXiv 2022, arXiv:2208.11983. [Google Scholar] [CrossRef]
- Kanitschar, F.; George, I.; Lin, J.; Upadhyaya, T.; Lütkenhaus, N. Finite-Size Security for Discrete-Modulated Continuous-Variable Quantum Key Distribution Protocols. arXiv 2023, arXiv:2301.08686. [Google Scholar] [CrossRef]
- Johnson, S.J.; Lance, A.M.; Ong, L.; Shirvanimoghaddam, M.; Ralph, T.; Symul, T. On the problem of non-zero word error rates for fixed-rate error correction codes in continuous variable quantum key distribution. New J. Phys. 2017, 19, 023003. [Google Scholar] [CrossRef]
- Mani, H.; Gehring, T.; Grabenweger, P.; Ömer, B.; Pacher, C.; Andersen, U.L. Multiedge-type low-density parity-check codes for continuous-variable quantum key distribution. Phys. Rev. A 2021, 103, 062419. [Google Scholar] [CrossRef]
- Jeong, S.; Jung, H.; Ha, J. Rate-compatible multi-edge type low-density parity-check code ensembles for continuous-variable quantum key distribution systems. NPJ Quantum Inf. 2022, 8, 6. [Google Scholar] [CrossRef]
- Pirandola, S. Composable security for continuous variable quantum key distribution: Trust levels and practical key rates in wired and wireless networks. Phys. Rev. Res. 2021, 3, 043014. [Google Scholar] [CrossRef]









| Parameter | Value |
|---|---|
| Transmittance (T) | 0–1 (increments of 0.05) |
| Excess noise () | 0.001–0.5 (increments of 0.001) |
| Alpha () | 0.1–0.5 (increments of 0.0001) |
| Reconciliation Efficiency () | 0.95 |
| Detection | Heterodyne |
| Coefficient | 16-PSK | 16-QAM | 16-APSK | 64-APSK | 256-APSK |
|---|---|---|---|---|---|
| 0.09639 | 0.1118 | 0.1007 | 0.1081 | 0.1114 | |
| –0.2603 | –0.1984 | –0.2023 | –0.1963 | –0.1970 | |
| 36.92 | 19.61 | 26.09 | 21.39 | 19.85 | |
| 0.6855 | 0.4022 | 0.4828 | 0.4083 | 0.4009 | |
| –62.34 | –11.44 | –24.24 | –13.88 | –11.75 | |
| 1203 | –193.4 | –130.1 | –204.8 | –194.2 | |
| –0.4796 | –0.2398 | –0.3155 | –0.246 | –0.2396 | |
| 56.30 | 5.976 | 16.24 | 7.638 | 6.253 | |
| –2614 | –43.86 | –250.8 | –67.33 | –49.49 | |
| 38,670 | 2101 | 4708 | 2640 | 2195 | |
| R-Square | 0.9822 | 0.9980 | 0.9976 | 0.9977 | 0.9978 |
Disclaimer/Publisher’s Note: The statements, opinions and data contained in all publications are solely those of the individual author(s) and contributor(s) and not of MDPI and/or the editor(s). MDPI and/or the editor(s) disclaim responsibility for any injury to people or property resulting from any ideas, methods, instructions or products referred to in the content. |
© 2024 by the authors. Licensee MDPI, Basel, Switzerland. This article is an open access article distributed under the terms and conditions of the Creative Commons Attribution (CC BY) license (https://creativecommons.org/licenses/by/4.0/).
Share and Cite
Sayat, M.T.; Thearle, O.; Shajilal, B.; Kish, S.P.; Lam, P.K.; Rattenbury, N.J.; Cater, J.E. Mapping Guaranteed Positive Secret Key Rates for Continuous Variable Quantum Key Distribution. Entropy 2024, 26, 865. https://doi.org/10.3390/e26100865
Sayat MT, Thearle O, Shajilal B, Kish SP, Lam PK, Rattenbury NJ, Cater JE. Mapping Guaranteed Positive Secret Key Rates for Continuous Variable Quantum Key Distribution. Entropy. 2024; 26(10):865. https://doi.org/10.3390/e26100865
Chicago/Turabian StyleSayat, Mikhael T., Oliver Thearle, Biveen Shajilal, Sebastian P. Kish, Ping Koy Lam, Nicholas J. Rattenbury, and John E. Cater. 2024. "Mapping Guaranteed Positive Secret Key Rates for Continuous Variable Quantum Key Distribution" Entropy 26, no. 10: 865. https://doi.org/10.3390/e26100865
APA StyleSayat, M. T., Thearle, O., Shajilal, B., Kish, S. P., Lam, P. K., Rattenbury, N. J., & Cater, J. E. (2024). Mapping Guaranteed Positive Secret Key Rates for Continuous Variable Quantum Key Distribution. Entropy, 26(10), 865. https://doi.org/10.3390/e26100865

