Adiabatic Shortcuts Completion in Quantum Field Theory: Annihilation of Created Particles
Abstract
:1. Introduction
2. The Optomechanical Cavity
2.1. STA for the Field
3. A Simple Analogue: The Ermakov Equation for the Harmonic Oscillator with Time-Dependent Frequency
3.1. The Lewis-Riesenfeld Approach and the Ermakov Equation
3.2. De-Excitation of the Harmonic Oscillator
4. Completing an STA in the Optomechanical Cavity
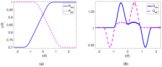
4.1. Reverse Engineering
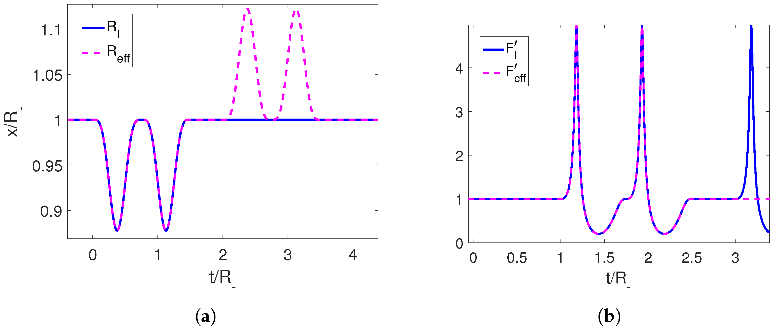
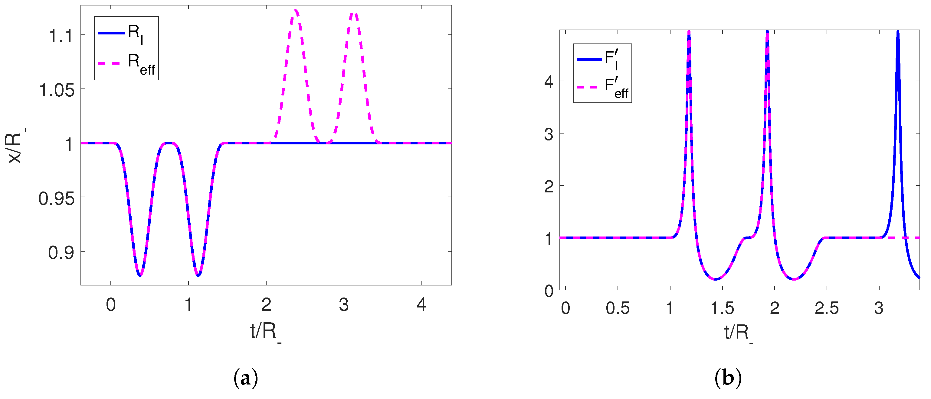
4.2. Short Pulses
4.3. Time Inversion
5. Discussion
Author Contributions
Funding
Institutional Review Board Statement
Informed Consent Statement
Data Availability Statement
Acknowledgments
Conflicts of Interest
References
- Binder, F.; Correa, L.A.; Gogolin, C.; Anders, J.; Adesso, G. (Eds.) Thermodynamics in the Quantum Regime; Springer: Berlin/Heidelberg, Germany, 2019. [Google Scholar]
- Zurek, W.H. Environment-assisted invariance, entanglement, and probabilities in quantum physics. Rev. Mod. Phys. 2003, 75, 715. [Google Scholar] [CrossRef]
- Karimi, B.; Pekola, J.P. Otto refrigerator based on a superconducting qubit: Classical and quantum performance. Phys. Rev. B 2016, 94, 184503. [Google Scholar] [CrossRef]
- Kosloff, R.; Rezek, Y. The quantum harmonic Otto cycle. Entropy 2017, 19, 136. [Google Scholar] [CrossRef]
- Del Grosso, N.F.; Lombardo, F.C.; Mazzitelli, F.D.; Villar, P.I. Quantum Otto cycle in a superconducting cavity in the nonadiabatic regime. Phys. Rev. A 2022, 105, 022202. [Google Scholar] [CrossRef]
- Moore, G.T.J. Quantum theory of the electromagnetic field in a variable-length one-dimensional cavity. Math. Phys. 1970, 11, 2679. [Google Scholar] [CrossRef]
- Dodonov, V.V. Current status of the dynamical Casimir effect. Phys. Scr. 2010, 82, 038105. [Google Scholar] [CrossRef]
- Dalvit, D.A.R.; Neto, P.A.M.; Mazzitelli, F.D. Fluctuations, dissipation and the dynamical casimir effect. Lect. Notes Phys. 2011, 834, 419. [Google Scholar]
- Nation, P.D.; Johansson, J.R.; Blencowe, M.P.; Nori, F. Colloquium: Stimulating uncertainty: Amplifying the quantum vacuum with superconducting circuits. Rev. Mod. Phys. 2012, 84, 1. [Google Scholar] [CrossRef]
- Dodonov, V.V. Fifty years of the dynamical Casimir effect. Physics 2020, 2, 67–104. [Google Scholar] [CrossRef]
- Blais, A.; Grimsmo, A.L.; Girvin, S.M.; Wallraff, A. Circuit quantum electrodynamics. Rev. Mod. Phys. 2021, 93, 025005. [Google Scholar] [CrossRef]
- Gluza, M.; Sabino, J.; Ng, N.H.Y.; Vitagliano, G.; Pezzutto, M.; Omar, Y.; Mazets, I.; Huber, M.; Schmiedmayer, J.; Eisert, J. Quantum field thermal machines. PRX Quantum 2021, 2, 030310. [Google Scholar] [CrossRef]
- Berry, M.V.J. Transitionless quantum driving. Phys. A 2009, 42, 365303. [Google Scholar] [CrossRef]
- del Campo, A. Shortcuts to adiabaticity by counterdiabatic driving. Phys. Rev. Lett. 2013, 111, 100502. [Google Scholar] [CrossRef] [PubMed]
- Chen, X.; Ruschhaupt, A.; Schmidt, S.; del Campo, A.; Guéry-Odelin, D.; Muga, J.G. Fast optimal frictionless atom cooling in harmonic traps: Shortcut to adiabaticity. Phys. Rev. Lett. 2010, 104, 063002. [Google Scholar] [CrossRef] [PubMed]
- Masuda, S.; Nakamura, K. Fast-forward problem in quantum mechanics. Phys. Rev. A 2008, 78, 062108. [Google Scholar] [CrossRef]
- Torrontegui, E.; Chen, X.; Modugno, M.; Schmidt, S.; Ruschhaupt, A.; Muga, J.G. Fast transport of Bose–Einstein condensates. New J. Phys. 2012, 14, 013031. [Google Scholar] [CrossRef]
- Guéry-Odelin, D.; Ruschhaupt, A.; Kiely, A.; Torrontegui, E.; Martínez-Garaot, S.; Muga, J.G. Shortcuts to adiabaticity: Concepts, methods, and applications. Rev. Mod. Phys. 2019, 91, 045001. [Google Scholar] [CrossRef]
- Palmero, M.; Bowler, R.; Gaebler, J.P.; Leibfried, D.; Muga, J.G. Fast transport of mixed-species ion chains within a Paul trap. Phys. Rev. A 2014, 90, 053408. [Google Scholar] [CrossRef]
- Torrontegui, E.; Chen, X.; Modugno, M.; Ruschhaupt, A.; Guéry-Odelin, D.; Muga, J.G. Fast transitionless expansion of cold atoms in optical Gaussian-beam traps. Phys. Rev. A 2012, 85, 033605. [Google Scholar] [CrossRef]
- Dowdall, T.; Benseny, A.; Busch, T.; Ruschhaupt, A. Fast and robust quantum control based on Pauli blocking. Phys. Rev. A 2017, 96, 043601. [Google Scholar] [CrossRef]
- Amri, S.; Corgier, R.; Sugny, D.; Rasel, E.M.; Gaaloul, N.; Charron, E. Optimal control of the transport of Bose-Einstein condensates with atom chips. Sci. Rep. 2019, 9, 5346. [Google Scholar] [CrossRef] [PubMed]
- Cakmak, B.; Mustecaplioulu, O.E. Spin quantum heat engines with shortcuts to adiabaticity. Phys. Rev. E 2019, 99, 032108. [Google Scholar] [CrossRef]
- Abah, O.; Abah, M. Paternostro Shortcut-to-adiabaticity Otto engine: A twist to finite-time thermodynamics. Phys. Rev. E 2019, 99, 022110. [Google Scholar] [CrossRef] [PubMed]
- Abah, O.; Lutz, E. Performance of shortcut-to-adiabaticity quantum engines. Phys. Rev. E 2018, 98, 032121. [Google Scholar] [CrossRef]
- Abah, O.; Lutz, E. Energy efficient quantum machines. Europhys. Lett. 2017, 118, 40005. [Google Scholar] [CrossRef]
- del Campo, A.; Goold, J.; Paternostro, M. More bang for your buck: Super-adiabatic quantum engines. Sci. Rep. 2014, 4, 6208. [Google Scholar] [CrossRef]
- Beau, M.; Jaramillo, J.; del Campo, A. Scaling-Up Quantum Heat Engines Efficiently via Shortcuts to Adiabaticity. Entropy 2016, 18, 168. [Google Scholar] [CrossRef]
- Keller, T.; Fogarty, T.; Li, J.; Busch, T. Feshbach engine in the Thomas-Fermi regime. Phys. Rev. Res. 2020, 2, 033335. [Google Scholar] [CrossRef]
- Li, J.; Fogarty, T.; Campbell, S.; Chen, X.; Busch, T. An efficient nonlinear Feshbach engine. New J. Phys. 2018, 20, 015005. [Google Scholar] [CrossRef]
- Del Grosso, N.F.; Lombardo, F.C.; Mazzitelli, F.D.; Villar, P.I. Shortcut to adiabaticity in a cavity with a moving mirror. Phys. Rev. A 2022, 105, 052217. [Google Scholar] [CrossRef]
- Calzetta, E. Not-quite-free shortcuts to adiabaticity. Phys. Rev. A 2018, 98, 032107. [Google Scholar] [CrossRef]
- Del Grosso, N.F.; Lombardo, F.C.; Mazzitelli, F.D.; Villar, P.I. Fast adiabatic control of an optomechanical cavity. Entropy 2023, 25, 18. [Google Scholar] [CrossRef] [PubMed]
- Dalvit, D.A.; Mazzitelli, F.D. Creation of photons in an oscillating cavity with two moving mirrors. Phys. Rev. A 1999, 59, 3049. [Google Scholar] [CrossRef]
- Lewis, H.R., Jr. Classical and quantum systems with time-dependent harmonic-oscillator-type Hamiltonians. Phys. Rev. Lett. 1967, 18, 510. [Google Scholar] [CrossRef]
- Davies, P.C.W.; Fulling, S.A. Radiation from a moving mirror in two-dimensional space-time: Conformal anomaly. Proc. Roy. Soc. Lond. A 1976, 348, 393. [Google Scholar]
- Birrell, N.D.; Davies, P.C.W. Quantum Fields in Curved Space; Cambridge University Press: Cambridge, UK, 1984. [Google Scholar]
- Lewis, H.R., Jr.; Riesenfeld, W.B. An exact quantum theory of the time-dependent harmonic oscillator and of a charged particle in a time-dependent electromagnetic field. J. Math. Phys. 1969, 10, 1458. [Google Scholar] [CrossRef]
- Gjaja, I.; Bhattacharjee, A. Asymptotics of reflectionless potentials. Phys. Rev. Lett. 1992, 68, 2413. [Google Scholar] [CrossRef]
- Coelho, S.S.; Queiroz, L.; Alves, D.T. Squeezing equivalence of quantum harmonic oscillators under different frequency jumps. arXiv 2023, arXiv:2306.05577. [Google Scholar]
- Hu, B.L.; Kang, G.; Matacz, A. Squeezed vacua and the quantum statistics of cosmological particle creation. Int. J. Mod. Phys. A 1994, 9, 991. [Google Scholar] [CrossRef]
- Theis, L.S.; Motzoi, F.; Machnes, S.; Wilhelm, F.K. Counteracting systems of diabaticities using DRAG controls: The status after 10 years. Europhys. Lett. 2018, 123, 60001. [Google Scholar] [CrossRef]
- Wilson, C.M.; Johansson, G.; Pourkabirian, A.; Simoen, M.; Johansson, J.R.; Duty, T.; Nori, F.; Delsing, P. Observation of the dynamical Casimir effect in a superconducting circuit. Nature 2011, 479, 376–379. [Google Scholar] [CrossRef] [PubMed]
- Svensson, I.M.; Pierre, M.; Simoen, M.; Wustmann, W.; Krantz, P.; Bengtsson, A.; Johansson, G.; Bylander, J.; Shumeiko, V.; Delsing, P. Microwave photon generation in a doubly tunable superconducting resonator. J. Phys. Conf. Ser. 2011, 969, 012146. [Google Scholar] [CrossRef]
- Sanz, M.; Wieczorek, W.; Gröblacher, S.; Solano, E. Electro-mechanical Casimir effect. Quantum 2018, 2, 91. [Google Scholar] [CrossRef]








Disclaimer/Publisher’s Note: The statements, opinions and data contained in all publications are solely those of the individual author(s) and contributor(s) and not of MDPI and/or the editor(s). MDPI and/or the editor(s) disclaim responsibility for any injury to people or property resulting from any ideas, methods, instructions or products referred to in the content. |
© 2023 by the authors. Licensee MDPI, Basel, Switzerland. This article is an open access article distributed under the terms and conditions of the Creative Commons Attribution (CC BY) license (https://creativecommons.org/licenses/by/4.0/).
Share and Cite
Del Grosso, N.F.; Lombardo, F.C.; Mazzitelli, F.D.; Villar, P.I. Adiabatic Shortcuts Completion in Quantum Field Theory: Annihilation of Created Particles. Entropy 2023, 25, 1249. https://doi.org/10.3390/e25091249
Del Grosso NF, Lombardo FC, Mazzitelli FD, Villar PI. Adiabatic Shortcuts Completion in Quantum Field Theory: Annihilation of Created Particles. Entropy. 2023; 25(9):1249. https://doi.org/10.3390/e25091249
Chicago/Turabian StyleDel Grosso, Nicolás F., Fernando C. Lombardo, Francisco D. Mazzitelli, and Paula I. Villar. 2023. "Adiabatic Shortcuts Completion in Quantum Field Theory: Annihilation of Created Particles" Entropy 25, no. 9: 1249. https://doi.org/10.3390/e25091249
APA StyleDel Grosso, N. F., Lombardo, F. C., Mazzitelli, F. D., & Villar, P. I. (2023). Adiabatic Shortcuts Completion in Quantum Field Theory: Annihilation of Created Particles. Entropy, 25(9), 1249. https://doi.org/10.3390/e25091249

