Exploring Relationships between Boltzmann Entropy of Images and Building Classification Accuracy in Land Cover Mapping
Abstract
1. Introduction
2. Experimental Data, Methods and Strategy
2.1. Building Image Datasets
2.2. Boltzmann Entropy as a Metric for Image Quality
2.3. DeepLabV3+ and F1 for the Classification of Buildings
2.4. A Strategy for Exploring the Potential Relationships between Boltzmann Entropy and F1 of Images
- (1)
- Analyzing the effects of building proportions on F1;
- (2)
- Exploring relationships between Boltzmann entropy and F1.
3. Exploring Relationships between Boltzmann Entropy and F1
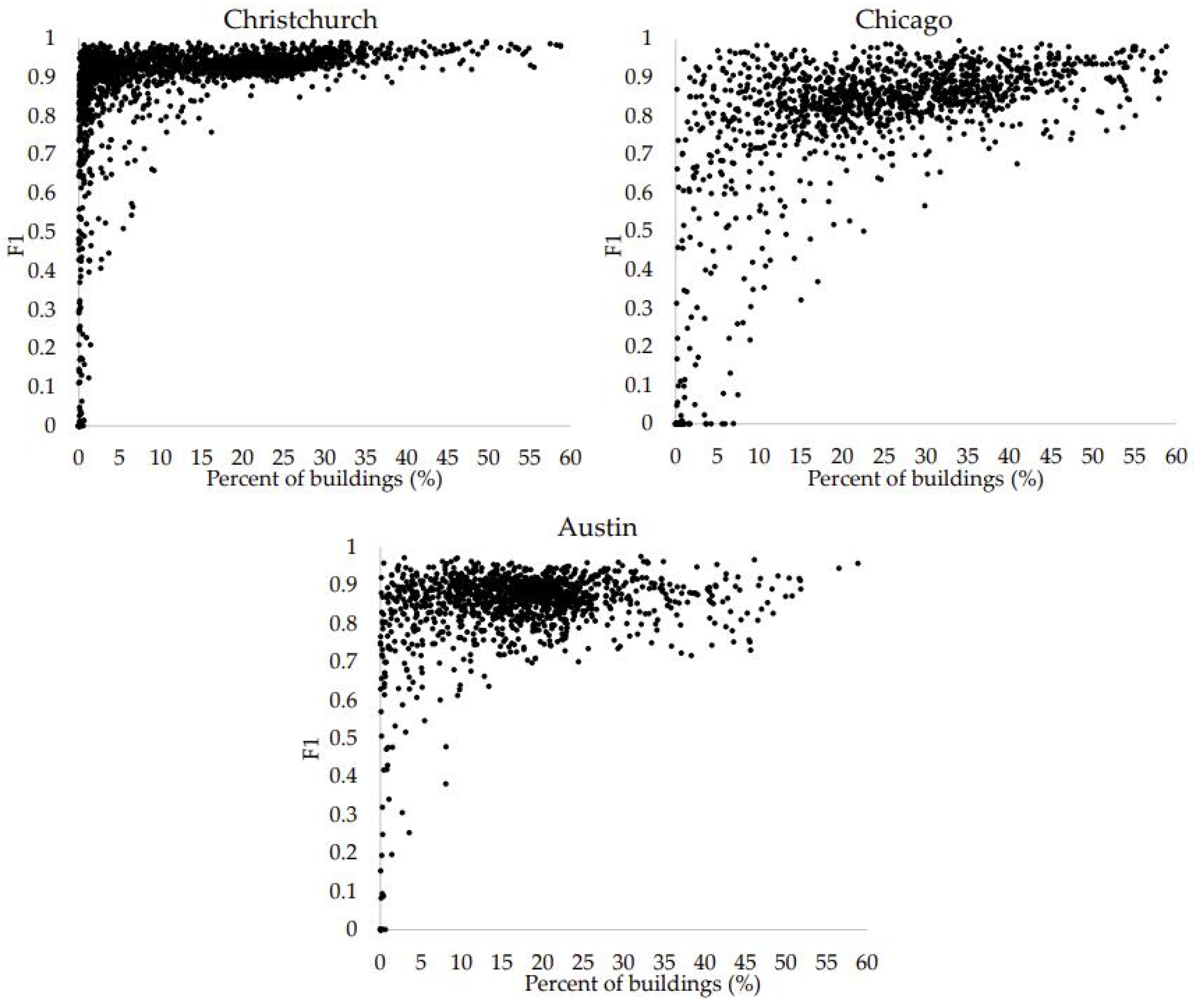
3.1. Analyzing Effects of Buildings Proportions on F1
3.2. Relationships between Boltzmann Entropy and F1: Experimental Results
4. Discussion
4.1. Possible Upper and Lower Limits of Modeled Relations
4.2. Effects of Neglecting Images with Small Building Proportions
5. Conclusions
Author Contributions
Funding
Institutional Review Board Statement
Data Availability Statement
Acknowledgments
Conflicts of Interest
References
- Brovkin, V.; Sitch, S.; Von Bloh, W.; Claussen, M.; Bauer, E.; Cramer, W. Role of land cover changes for atmospheric CO2 increase and climate change during the last 150 years. Glob. Chang. Biol. 2004, 10, 1253–1266. [Google Scholar] [CrossRef]
- Falcucci, A.; Maiorano, L.; Boitani, L. Changes in land-use/land-cover patterns in Italy and their implications for biodiversity conservation. Landsc. Ecol. 2006, 22, 617–631. [Google Scholar] [CrossRef]
- Wang, Y.; Song, C.; Cheng, C.; Wang, H.; Wang, X.; Gao, P. Modelling and evaluating the economy-resource-ecological environment system of a third-polar city using system dynamics and ranked weights-based coupling coordination degree model. Cities 2023, 133, 104151. [Google Scholar] [CrossRef]
- Gao, P.; Xie, Y.; Song, C.; Cheng, C.; Ye, S. Exploring detailed urban-rural development under intersecting population growth and food production scenarios: Trajectories for China’s most populous agricultural province to 2030. J. Geogr. Sci. 2023, 33, 222–244. [Google Scholar] [CrossRef]
- Gong, P.; Liu, H.; Zhang, M.N.; Li, C.C.; Wang, J.; Huang, H.B.; Clinton, N.; Ji, L.Y.; Li, W.Y.; Bai, Y.Q.; et al. Stable classification with limited sample: Transferring a 30-m resolution sample set collected in 2015 to mapping 10-m resolution global land cover in 2017. Sci. Bull. 2019, 64, 370–373. [Google Scholar] [CrossRef] [PubMed]
- Chen, J.; Chen, J.; Liao, A.P.; Cao, X.; Chen, L.J.; Chen, X.H.; He, C.Y.; Han, G.; Peng, S.; Lu, M.; et al. Global land cover mapping at 30m resolution: A POK-based operational approach. ISPRS J. Photogramm. Remote Sens. 2015, 103, 7–27. [Google Scholar] [CrossRef]
- Friedl, M.A.; McIver, D.K.; Hodges, J.C.F.; Zhang, X.Y.; Muchoney, D.; Strahler, A.H.; Woodcock, C.E.; Gopal, S.; Schneider, A.; Cooper, A.; et al. Global land cover mapping from MODIS: Algorithms and early results. Remote Sens. Environ. 2002, 83, 287–302. [Google Scholar] [CrossRef]
- Giri, C.; Zhu, Z.L.; Reed, B. A comparative analysis of the Global Land Cover 2000 and MODIS land cover data sets. Remote Sens. Environ. 2005, 94, 123–132. [Google Scholar] [CrossRef]
- Tomás, L.; Fonseca, L.; Almeida, C.; Leonardi, F.; Pereira, M. Urban population estimation based on residential buildings volume using IKONOS-2 images and lidar data. Int. J. Remote Sens. 2015, 37, 1–28. [Google Scholar] [CrossRef]
- Mitsova, D.; Shuster, W.; Wang, X. A cellular automata model of land cover change to integrate urban growth with open space conservation. Landsc. Urban Plan. 2011, 99, 141–153. [Google Scholar] [CrossRef]
- Brunner, D.; Lemoine, G.; Bruzzone, L. Earthquake Damage Assessment of Buildings Using VHR Optical and SAR Imagery. IEEE Trans. Geosci. Remote Sens. 2010, 48, 2403–2420. [Google Scholar] [CrossRef]
- Cooner, A.J.; Shao, Y.; Campbell, J.B. Detection of Urban Damage Using Remote Sensing and Machine Learning Algorithms: Revisiting the 2010 Haiti Earthquake. Remote Sens. 2016, 8, 868. [Google Scholar] [CrossRef]
- Matikainen, L.; Hyyppä, J.; Ahokas, E.; Markelin, L.; Kaartinen, H. Automatic Detection of Buildings and Changes in Buildings for Updating of Maps. Remote Sens. 2010, 2, 1217–1248. [Google Scholar] [CrossRef]
- Roberts, W.; van Aardtas, J.A.; Ahmed, F. Assessment of image fusion procedures using entropy, image quality, and multispectral classification. J. Appl. Remote Sens. 2008, 2, 023522. [Google Scholar] [CrossRef]
- Xia, Y.T.; Chen, Z.Z. Quality Assessment for Remote Sensing Images: Approaches and Applications. In Proceedings of the 2015 IEEE International Conference on Systems, Man, and Cybernetics, Hong Kong, China, 9–12 October 2015; pp. 1029–1034. [Google Scholar]
- Li, S.; Yang, Z.W.; Li, H.S. Statistical Evaluation of No-Reference Image Quality Assessment Metrics for Remote Sensing Images. ISPRS Int. J. Geo-Inf. 2017, 6, 133. [Google Scholar] [CrossRef]
- Bishop, S.S.; Isaacs, J.C.; Gazagnaire, J. Survey of image quality metrics from the perspective of detection and classification performance. In Proceedings of the Detection and Sensing of Mines, Explosive Objects, and Obscured Targets XXII, Anaheim, CA, USA, 10–12 April 2017. [Google Scholar]
- Beaulieu, M.; Foucher, S.; Gagnon, L. Multi-Spectral Image Resolution Refinement using Stationary Wavelet Transform. In Proceedings of the IGARSS 2003, Toulouse, France, 21–25 July 2003; pp. 4032–4034. [Google Scholar]
- Yang, X.H.; Jing, Z.L.; Liu, G.; Hua, L.Z.; Ma, D.W. Fusion of multi-spectral and panchromatic images using fuzzy rule. Commun. Nonlinear Sci. Numer. Simul. 2007, 12, 1334–1350. [Google Scholar] [CrossRef]
- Damera-Venkata, N.; Kite, T.D.; Geisler, W.S.; Evans, B.L.; Bovik, A.C. Image Quality Assessment Based on a Degradation Model. IEEE Trans. Image Process. 2000, 9, 636–650. [Google Scholar] [CrossRef]
- Vijayaraj, V.; O’Hara, C.G.; Younan, N.H. Quality Analysis of Pansharpened Images. In Proceedings of the IGARSS 2004, Anchorage, AK, USA, 20–24 September 2004. [Google Scholar]
- Ciriza, R.; Sola, I.; Albizua, L.; Álvarez-Mozos, J.; González-Audícana, M. Automatic Detection of Uprooted Orchards Based on Orthophoto Texture Analysis. Remote Sens. 2017, 9, 492. [Google Scholar] [CrossRef]
- Vincent, O.R.; Folorunso, O. A Descriptive Algorithm for Sobel Image Edge Detection. In Proceedings of the Informing Science & IT Education Conference (InSITE), Macon, GA, USA, 12–15 June 2009; pp. 97–107. [Google Scholar]
- Gao, P.; Zhang, H.; Li, Z. An efficient analytical method for computing the Boltzmann entropy of a landscape gradient. Trans. GIS 2018, 22, 1046–1063. [Google Scholar] [CrossRef]
- Lechner, A.M.; Reinke, K.J.; Wang, Y.; Bastin, L. Interactions between landcover pattern and geospatial processing methods: Effects on landscape metrics and classification accuracy. Ecol. Complex. 2013, 15, 71–82. [Google Scholar] [CrossRef]
- Huang, H.P.; Wu, B.F.; Fan, J.L. Analysis to the relationship of classification accuracy, segmentation scale, image resolution. In Proceedings of the 2003 IEEE International Geoscience and Remote Sensing Symposium, Toulouse, France, 21–25 July 2003. [Google Scholar]
- Liu, L.; Liu, B.; Huang, H.; Bovik, A.C. (280)No-reference image quality assessment based on spatial and spectral entropies. Signal Process. Image Commun. 2014, 29, 856–863. [Google Scholar] [CrossRef]
- Smith, J.H.; Wickham, J.D.; Stehman, S.V.; Yang, L. Impacts of patch size and land-cover heterogeneity on thematic image classification accuracy. Photogramm. Eng. Remote Sens. 2002, 68, 65–70. [Google Scholar]
- Gao, P.C.; Zhang, H.; Li, Z.L. A hierarchy-based solution to calculate the configurational entropy of landscape gradients. Landsc. Ecol. 2017, 32, 1133–1146. [Google Scholar] [CrossRef]
- Cheng, X.H.; Li, Z.L. Configurational Entropy for Optimizing the Encryption of Digital Elevation Model Based on Chaos System and Linear Prediction. Appl. Sci. 2021, 11, 2402. [Google Scholar] [CrossRef]
- Gao, P.C.; Li, Z.L. Aggregation-based method for computing absolute Boltzmann entropy of landscape gradient with full thermodynamic consistency. Landsc. Ecol. 2019, 34, 1837–1847. [Google Scholar] [CrossRef]
- Cheng, X.H.; Li, Z.L. Predicting the Lossless Compression Ratio of Remote Sensing Images with Configurational Entropy. IEEE J. Sel. Top. Appl. Earth Obs. Remote Sens. 2021, 14, 11936–11953. [Google Scholar] [CrossRef]
- Ma, L.; Crawford, M.M.; Tian, J. Local Manifold Learning-Based K-Nearest-Neighbor for Hyperspectral Image Classification. IEEE Trans. Geosci. Remote Sens. 2010, 48, 4099–4109. [Google Scholar] [CrossRef]
- Maulik, U.; Chakraborty, D. Remote Sensing Image Classification: A survey of support-vector-machine-based advanced techniques. IEEE Geosci. Remote Sens. Mag. 2017, 5, 33–52. [Google Scholar] [CrossRef]
- Belgiu, M.; Drăguţ, L. Random forest in remote sensing: A review of applications and future directions. ISPRS J. Photogramm. Remote Sens. 2016, 114, 24–31. [Google Scholar] [CrossRef]
- Ronneberger, O.; Fischer, P.; Brox, T. U-Net: Convolutional Networks for Biomedical Image Segmentation. In Proceedings of the Medical Image Computing and Computer-Assisted Intervention–MICCAI 2015: 18th International Conference, Munich, Germany, 5–9 October 2015; pp. 234–241. [Google Scholar]
- Badrinarayanan, V.; Kendall, A.; Cipolla, R. SegNet: A Deep Convolutional Encoder-Decoder Architecture for Image Segmentation. IEEE Trans. Pattern Anal. Mach. Intell. 2017, 39, 2481–2495. [Google Scholar] [CrossRef]
- Chen, L.-C.; Zhu, Y.K.; Papandreou, G.; Schroff, F.; Adam, H. Encoder-Decoder with Atrous Separable Convolution for Semantic Image Segmentation. In Proceedings of the European Conference on Computer Vision (ECCV), Munich, Germany, 8–14 September 2018; pp. 801–818. [Google Scholar]
- Mnih, V. Machine Learning for Aerial Image Labeling; University of Toronto: Toronto, ON, Canada, 2013. [Google Scholar]
- Rottensteiner, F.; Sohn, G.; Gerke, M.; Wegner, J.D.; Breitkopf, U.; Jung, J. Results of the ISPRS benchmark on urban object detection and 3D building reconstruction. ISPRS J. Photogramm. Remote Sens. 2014, 93, 256–271. [Google Scholar] [CrossRef]
- Maggiori, E.; Tarabalka, Y.; Charpiat, G.; Alliez, P. Can semantic labeling methods generalize to any city? the inria aerial image labeling benchmark. In Proceedings of the 2017 IEEE International Geoscience and Remote Sensing Symposium (IGARSS), Fort Worth, TX, USA, 23–28 July 2017; pp. 3226–3229. [Google Scholar]
- Ji, S.P.; Wei, S.Q.; Lu, M. Fully Convolutional Networks for Multisource Building Extraction from an Open Aerial and Satellite Imagery Data Set. IEEE Trans. Geosci. Remote Sens. 2019, 57, 574–586. [Google Scholar] [CrossRef]
- Ji, S.P.; Wei, S.Q. Building extraction via convolutional neural networks from an open remote sensing building dataset. Acta Geod. Cartogr. Sin. 2019, 48, 448–459. [Google Scholar] [CrossRef]
- Dalarsson, N.; Dalarsson, M.; Golubovic, L. Introductory Statistical Thermodynamics; Academic Press: Amsterdam, The Netherlands, 2011. [Google Scholar]
- Swati, B.K.; Venkanna, B.V. Basic Thermodynamics; PHI Learning: Delhi, India, 2010. [Google Scholar]
- Boltzmann, L. Weitere Studien über das Wärmegleichgewicht unter Gasmolekülen [Further studies on the thermal equilibrium of gas molecules]. Sitz. Akad. Wiss. 1872, 66, 275–370. [Google Scholar]
- Ben-Naim, A. A Farewell to Entropy: Statistical Thermodynamics Based on Information; World Scientific: Singapore, 2008. [Google Scholar]
- Bailey, K.D. Entropy systems theory. In Systems Science and Cybernetics; Parra-Luna, F., Ed.; Eolss Publishers/UNESCO: Oxford, UK, 2009; pp. 149–166. [Google Scholar]
- Cushman, S.A. Calculating the configurational entropy of a landscape mosaic. Landsc. Ecol. 2015, 31, 481–489. [Google Scholar] [CrossRef]
- Li, J.; Huang, X.; Tu, L.; Zhang, T.; Wang, L. A review of building detection from very high resolution optical remote sensing images. GIScience Remote Sens. 2022, 59, 1199–1225. [Google Scholar] [CrossRef]









| Confidence Interval | |||
|---|---|---|---|
| Christchurch (Image Number: 2114 SCC = −0.448) | Chicago (Image Number: 1269 SCC = −0.259) | Austin (Image Number: 1245 SCC = −0.252) | |
| 95% | (−0.485, −0.407) | (−0.313, −0.207) | (−0.307, −0.196) |
| 90% | (−0.479, −0.413) | (−0.304, −0.218) | (−0.297, −0.206) |
| 85% | (−0.475, −0.417) | (−0.298, −0.222) | (−0.293, −0.213) |
| 80% | (−0.473, −0.422) | (−0.295, −0.226) | (−0.288, −0.218) |
| 75% | (−0.470, −0.425) | (−0.292, −0.229) | (−0.284, −0.222) |
| 70% | (−0.468, −0.427) | (−0.288, −0.232) | (−0.282, −0.225) |
| 65% | (−0.466, −0.429) | (−0.285, −0.235) | (−0.279, −0.229) |
| 60% | (−0.464, −0.431) | (−0.282, −0.237) | (−0.276, −0.231) |
| 55% | (−0.463, −0.433) | (−0.280, −0.239) | (−0.273, −0.233) |
| 50% | (−0.461, −0.435) | (−0.278, −0.241) | (−0.271, −0.235) |
| 45% | (−0.460, −0.436) | (−0.275, −0.243) | (−0.269, −0.237) |
| 40% | (−0.458, −0.438) | (−0.273, −0.245) | (−0.267, −0.238) |
| 35% | (−0.456, −0.440) | (−0.271, −0.247) | (−0.266, −0.240) |
| 30% | (−0.455, −0.441) | (−0.269, −0.248) | (−0.264, −0.242) |
| 25% | (−0.454, −0.442) | (−0.268, −0.250) | (−0.262, −0.244) |
| 20% | (−0.452, −0.443) | (−0.266, −0.252) | (−0.260, −0.245) |
| 15% | (−0.452, −0.444) | (−0.264, −0.254) | (−0.258, −0.247) |
| 10% | (−0.450, −0.445) | (−0.262, −0.255) | (−0.256, −0.249) |
| 5% | (−0.449, −0.446) | (−0.261, −0.257) | (−0.254, −0.251) |
| Confidence Interval | |||
|---|---|---|---|
| Christchurch (Image Number: 2415, Including 301 Images with Building Proportions Smaller than 1% SCC = −0.395) | Chicago (Image Number: 1311, Including 42 Images with Building Proportions Smaller than 1% SCC = −0.217) | Austin (Image Number: 1301, Including 56 Images with Building Proportions Smaller than 1% SCC = −0.221) | |
| 95% | (−0.434, −0.356) | (−0.269, −0.164) | (−0.276, −0.168) |
| 90% | (−0.426, −0.364) | (−0.260, −0.170) | (−0.266, −0.176) |
| 85% | (−0.423, −0.366) | (−0.256, −0.176) | (−0.260, −0.182) |
| 80% | (−0.421, −0.369) | (−0.252, −0.180) | (−0.255, −0.187) |
| 75% | (−0.418, −0.372) | (−0.248, −0.184) | (−0.253, −0.190) |
| 70% | (−0.416, −0.374) | (−0.246, −0.187) | (−0.250, −0.194) |
| 65% | (−0.414, −0.376) | (−0.243, −0.191) | (−0.247, −0.197) |
| 60% | (−0.411, −0.378) | (−0.241, −0.192) | (−0.245, −0.199) |
| 55% | (−0.410, −0.380) | (−0.238, −0.195) | (−0.243, −0.202) |
| 50% | (−0.408, −0.382) | (−0.235, −0.198) | (−0.240, −0.203) |
| 45% | (−0.407, −0.384) | (−0.233, −0.201) | (−0.238, −0.205) |
| 40% | (−0.405, −0.386) | (−0.231, −0.202) | (−0.235, −0.207) |
| 35% | (−0.404, −0.387) | (−0.230, −0.205) | (−0.234, −0.209) |
| 30% | (−0.403, −0.389) | (−0.229, −0.207) | (−0.232, −0.211) |
| 25% | (−0.402, −0.390) | (−0.227, −0.209) | (−0.231, −0.213) |
| 20% | (−0.400, −0.391) | (−0.225, −0.210) | (−0.228, −0.215) |
| 15% | (−0.399, −0.393) | (−0.223, −0.212) | (−0.226, −0.216) |
| 10% | (−0.398, −0.393) | (−0.222, −0.215) | (−0.225, −0.218) |
| 5% | (−0.397, −0.395) | (−0.220, −0.217) | (−0.223, −0.220) |
Disclaimer/Publisher’s Note: The statements, opinions and data contained in all publications are solely those of the individual author(s) and contributor(s) and not of MDPI and/or the editor(s). MDPI and/or the editor(s) disclaim responsibility for any injury to people or property resulting from any ideas, methods, instructions or products referred to in the content. |
© 2023 by the authors. Licensee MDPI, Basel, Switzerland. This article is an open access article distributed under the terms and conditions of the Creative Commons Attribution (CC BY) license (https://creativecommons.org/licenses/by/4.0/).
Share and Cite
Li, Z.; Lan, T.; Li, Z.; Gao, P. Exploring Relationships between Boltzmann Entropy of Images and Building Classification Accuracy in Land Cover Mapping. Entropy 2023, 25, 1182. https://doi.org/10.3390/e25081182
Li Z, Lan T, Li Z, Gao P. Exploring Relationships between Boltzmann Entropy of Images and Building Classification Accuracy in Land Cover Mapping. Entropy. 2023; 25(8):1182. https://doi.org/10.3390/e25081182
Chicago/Turabian StyleLi, Zhipeng, Tian Lan, Zhilin Li, and Peichao Gao. 2023. "Exploring Relationships between Boltzmann Entropy of Images and Building Classification Accuracy in Land Cover Mapping" Entropy 25, no. 8: 1182. https://doi.org/10.3390/e25081182
APA StyleLi, Z., Lan, T., Li, Z., & Gao, P. (2023). Exploring Relationships between Boltzmann Entropy of Images and Building Classification Accuracy in Land Cover Mapping. Entropy, 25(8), 1182. https://doi.org/10.3390/e25081182

