A Physics-Informed Generative Car-Following Model for Connected Autonomous Vehicles
Abstract
1. Introduction
- In the design of hybrid models, an explicit weighting parameter is often employed to balance the contributions of physics-based and data-driven models or represent the weight for loss terms in the loss function. Although this approach enables the optimization of the hybrid model’s performance by fine-tuning the balance between the two models, it can present challenges in parameter tuning and overfitting. This may lead to increased computational costs and poor generalization to unseen data. Furthermore, this approach may reduce the model’s adaptability to new situations due to its inability to capture inherent dynamics between physics-based and data-driven models.
- When developing hybrid car-following models for CAVs, the incorporated physics-based models are often general models that simulate human driving behavior, such as the intelligent driver model (IDM) and the optimal velocity model (OVM). However, since these models are not specifically tailored for CAVs, their integration may impact the performance of the hybrid model.
- While recent studies have demonstrated the potential of hybrid car-following models to improve the performance of CAVs, there remains a need for the extensive evaluation and validation of these models in mixed traffic flow. This would involve high-fidelity simulations that consider the complex interactions between CAVs and HVs, as well as diverse driving scenarios and environments.
- The proposed PICGAN model eliminates the need for explicit weighting parameters, bringing together the benefits of both physics-based and deep-learning-based approaches. This unique combination enhances the adaptability and generalization capabilities of the car-following model.
- The hybrid framework incorporates a custom physics-based model designed specifically for CAVs, namely, the control model developed by the PATH laboratory based on actual vehicle implementation. This integration enhances the applicability and performance of the hybrid model in CAV scenarios.
- Numerical simulations are conducted to assess the performance of the proposed hybrid car-following model. Specifically, we employ a platoon simulation to verify the model’s stability, and we use a periodic boundary condition to gauge the model’s effectiveness in mixed traffic flow scenarios.
2. Literature Review
2.1. Conventional Car-Following Models
2.2. Hybrid Car-Following Models
3. Methodology
3.1. Physics-Based Car-Following Models
3.1.1. Intelligent Driver Model
3.1.2. Cooperative Adaptive Cruise Control Model
3.2. Conditional GAN-Based (CGAN) Car-Following Model
3.3. Physics-Informed CGAN-Based (PICGAN) Car-Following Model
3.3.1. Architecture of PICGAN
| Algorithm 1: PICGAN-based car-following model training |
|
3.3.2. Generator Structure within PICGAN
3.3.3. Discriminator Structure within PICGAN
4. Results
4.1. Data Preparation
- Gap distance less than 120 m, to avoid free-flow traffic conditions.
- Vehicle length less than 5 m, to exclude trucks.
- Car-following duration of no less than 30 s continuously, to minimize the influence of lane changing.
4.2. Model Training
- Training Iterations: The learning algorithm iterates through the complete training dataset for a total of 5000 times (epochs), and each batch contains 128 instances. The performance of the generator was evaluated after each iteration to ensure the optimal parameters were captured.
- Neuron Configuration: Within the encoder–decoder architecture of the generator, there are 32 neurons in the LSTM units. In contrast, the hidden layers of the discriminators are configured with 64 neurons.
- Activation Function: The generator employs the hyperbolic tangent function, denoted as , as its activation function. However, for the discriminators, the hidden layers utilize the leaky ReLU function, while the output layers use the sigmoid function.
- Optimizer Selection: The Adam optimizer [63], as it is efficient in training deep learning car-following models [38,44,45], was chosen. Its parameters were set as follows: learning rate () = 0.00005, first moment estimate () = 0.9, second moment estimate () = 0.999, smoothing term () = 1e-08, and decay = 0.0.
4.3. Model Performance
4.4. Platoon Simulation
4.5. Mixed Traffic Flow Simulation
5. Conclusions
- The case study demonstrates that the PICGAN model exhibits superior performance in trajectory reproduction, effectively mimicking human driving behavior. Comparative analyses suggest that the PICGAN_IDM model holds promise as a strong contender to replace existing conventional models in trajectory prediction tasks.
- The PICGAN_PATH model successfully directed CAVs in platoon simulations, indicating its ability to manage consistent, continuous traffic flows with minimal errors. It also shows superior stability compared to the previously developed CGAN model, with less variation in vehicle speed and gap distances.
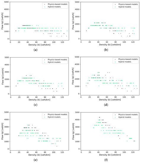
- The merits of the PICGAN model are further substantiated in a mixed traffic flow environment under periodic boundary conditions. The introduction of our hybrid model substantially improves the stability and efficiency of the mixed traffic flow.
Author Contributions
Funding
Institutional Review Board Statement
Informed Consent Statement
Data Availability Statement
Conflicts of Interest
References
- Karpatne, A.; Atluri, G.; Faghmous, J.H.; Steinbach, M.; Banerjee, A.; Ganguly, A.; Shekhar, S.; Samatova, N.; Kumar, V. Theory-guided data science: A new paradigm for scientific discovery from data. IEEE Trans. Knowl. Data Eng. 2017, 29, 2318–2331. [Google Scholar] [CrossRef]
- Raissi, M.; Perdikaris, P.; Karniadakis, G.E. Physics-informed neural networks: A deep learning framework for solving forward and inverse problems involving nonlinear partial differential equations. J. Comput. Phys. 2019, 378, 686–707. [Google Scholar] [CrossRef]
- Yu, T.; Canales-Rodríguez, E.J.; Pizzolato, M.; Piredda, G.F.; Hilbert, T.; Fischi-Gomez, E.; Weigel, M.; Barakovic, M.; Cuadra, M.B.; Granziera, C.; et al. Model-informed machine learning for multi-component T2 relaxometry. Med. Image Anal. 2021, 69, 101940. [Google Scholar] [CrossRef] [PubMed]
- Alber, M.; Buganza Tepole, A.; Cannon, W.R.; De, S.; Dura-Bernal, S.; Garikipati, K.; Karniadakis, G.; Lytton, W.W.; Perdikaris, P.; Petzold, L.; et al. Integrating machine learning and multiscale modeling—perspectives, challenges, and opportunities in the biological, biomedical, and behavioral sciences. NPJ Digit. Med. 2019, 2, 115. [Google Scholar] [CrossRef] [PubMed]
- Mo, Z.; Shi, R.; Di, X. A physics-informed deep learning paradigm for car-following models. Transp. Res. Part C Emerg. Technol. 2021, 130, 103240. [Google Scholar] [CrossRef]
- Xu, L.; Ma, J.; Wang, Y. A Car-Following Model considering the Effect of Following Vehicles under the Framework of Physics-Informed Deep Learning. J. Adv. Transp. 2022, 2022, 3398862. [Google Scholar] [CrossRef]
- Mo, Z.; Di, X. Uncertainty quantification of car-following behaviors: Physics-informed generative adversarial networks. In Proceedings of the the 28th ACM SIGKDD in conjunction with the 11th International Workshop on Urban Computing (UrbComp2022), Washington, DC, USA, 15 August 2022. [Google Scholar]
- Wang, Y.; Feng, Y. IDM-Follower: A Model-Informed Deep Learning Method for Long-Sequence Car-Following Trajectory Prediction. arXiv 2022, arXiv:2210.10965. [Google Scholar]
- Naing, H.; Cai, W.; Nan, H.; Tiantian, W.; Liang, Y. Dynamic Data-driven Microscopic Traffic Simulation using Jointly Trained Physics-guided Long Short-Term Memory. ACM Trans. Model. Comput. Simul. 2022, 32, 1–27. [Google Scholar] [CrossRef]
- Pipes, L.A. An operational analysis of traffic dynamics. J. Appl. Phys. 1953, 24, 274–281. [Google Scholar] [CrossRef]
- Chandler, R.E.; Herman, R.; Montroll, E.W. Traffic dynamics: Studies in car following. Oper. Res. 1958, 6, 165–184. [Google Scholar] [CrossRef]
- Gazis, D.C.; Herman, R.; Rothery, R.W. Nonlinear follow-the-leader models of traffic flow. Oper. Res. 1961, 9, 545–567. [Google Scholar] [CrossRef]
- Herman, R. Car-following and steady state flow. In Proceedings of the Theory of Traffic Flow Symposium Proceedings, Detroit, MI, USA, 8–9 December 1959; pp. 1–13. [Google Scholar]
- Lee, G. A generalization of linear car-following theory. Oper. Res. 1966, 14, 595–606. [Google Scholar] [CrossRef]
- Ahmed, K.I. Modeling drivers’ acceleration and lane changing behavior. Ph.D. Thesis, Massachusetts Institute of Technology, Cambridge, MA, USA, 1999. [Google Scholar]
- Koutsopoulos, H.N.; Farah, H. Latent class model for car following behavior. Transp. Res. Part B Methodol. 2012, 46, 563–578. [Google Scholar] [CrossRef]
- Helly, W. Simulation of Bottlenecks in Single-Lane Traffic Flow; TRID: Washington, DC, USA, 1959.
- Gipps, P.G. A behavioural car-following model for computer simulation. Transp. Res. Part B Methodol. 1981, 15, 105–111. [Google Scholar] [CrossRef]
- Bando, M.; Hasebe, K.; Nakayama, A.; Shibata, A.; Sugiyama, Y. Dynamical model of traffic congestion and numerical simulation. Phys. Rev. E 1995, 51, 1035. [Google Scholar] [CrossRef]
- Treiber, M.; Hennecke, A.; Helbing, D. Congested traffic states in empirical observations and microscopic simulations. Phys. Rev. E 2000, 62, 1805. [Google Scholar] [CrossRef]
- Wiedemann, R. Simulation of road traffic flow. In Reports of the Institute for Transport and Communication; University of Karlsruhe: Karlsruhe, Germany, 1974. [Google Scholar]
- Fellendorf, M.; Vortisch, P. Microscopic traffic flow simulator VISSIM. In Fundamentals of Traffic Simulation; Springer: Berlin/Heidelberg, Germany, 2010; pp. 63–93. [Google Scholar]
- Newell, G.F. A simplified car-following theory: A lower order model. Transp. Res. Part B Methodol. 2002, 36, 195–205. [Google Scholar] [CrossRef]
- Laval, J.A.; Leclercq, L. A mechanism to describe the formation and propagation of stop-and-go waves in congested freeway traffic. Philos. Trans. R. Soc. A Math. Phys. Eng. Sci. 2010, 368, 4519–4541. [Google Scholar] [CrossRef]
- Zheng, Z.; Ahn, S.; Chen, D.; Laval, J. Freeway traffic oscillations: Microscopic analysis of formations and propagations using wavelet transform. Procedia-Soc. Behav. Sci. 2011, 17, 702–716. [Google Scholar] [CrossRef]
- Chen, D.; Laval, J.; Zheng, Z.; Ahn, S. A behavioral car-following model that captures traffic oscillations. Transp. Res. Part B Methodol. 2012, 46, 744–761. [Google Scholar] [CrossRef]
- Laval, J.A.; Toth, C.S.; Zhou, Y. A parsimonious model for the formation of oscillations in car-following models. Transp. Res. Part B Methodol. 2014, 70, 228–238. [Google Scholar] [CrossRef]
- Toledo, T.; Koutsopoulos, H.N.; Ahmed, K.I. Estimation of vehicle trajectories with locally weighted regression. Transp. Res. Rec. 2007, 1999, 161–169. [Google Scholar] [CrossRef]
- Papathanasopoulou, V.; Antoniou, C. Towards data-driven car-following models. Transp. Res. Part C Emerg. Technol. 2015, 55, 496–509. [Google Scholar] [CrossRef]
- He, Z.; Zheng, L.; Guan, W. A simple nonparametric car-following model driven by field data. Transp. Res. Part B Methodol. 2015, 80, 185–201. [Google Scholar] [CrossRef]
- Wei, D.; Liu, H. Analysis of asymmetric driving behavior using a self-learning approach. Transp. Res. Part B Methodol. 2013, 47, 1–14. [Google Scholar] [CrossRef]
- Wu, C.; Kreidieh, A.; Parvate, K.; Vinitsky, E.; Bayen, A.M. Flow: Architecture and benchmarking for reinforcement learning in traffic control. arXiv 2017, arXiv:1710.05465. [Google Scholar]
- Zhu, M.; Wang, X.; Wang, Y. Human-like autonomous car-following model with deep reinforcement learning. Transp. Res. Part C Emerg. Technol. 2018, 97, 348–368. [Google Scholar] [CrossRef]
- Gao, H.; Shi, G.; Xie, G.; Cheng, B. Car-following method based on inverse reinforcement learning for autonomous vehicle decision-making. Int. J. Adv. Robot. Syst. 2018, 15, 1729881418817162. [Google Scholar] [CrossRef]
- Huang, Z.; Wu, J.; Lv, C. Driving behavior modeling using naturalistic human driving data with inverse reinforcement learning. IEEE Trans. Intell. Transp. Syst. 2021, 23, 10239–10251. [Google Scholar] [CrossRef]
- Zhou, M.; Qu, X.; Li, X. A recurrent neural network based microscopic car following model to predict traffic oscillation. Transp. Res. Part C Emerg. Technol. 2017, 84, 245–264. [Google Scholar] [CrossRef]
- Huang, X.; Sun, J.; Sun, J. A car-following model considering asymmetric driving behavior based on long short-term memory neural networks. Transp. Res. Part C Emerg. Technol. 2018, 95, 346–362. [Google Scholar] [CrossRef]
- Ma, L.; Qu, S. A sequence to sequence learning based car-following model for multi-step predictions considering reaction delay. Transp. Res. Part C Emerg. Technol. 2020, 120, 102785. [Google Scholar] [CrossRef]
- Zhu, M.; Du, S.S.; Wang, X.; Pu, Z.; Wang, Y. TransFollower: Long-Sequence Car-Following Trajectory Prediction through Transformer. arXiv 2022, arXiv:2202.03183. [Google Scholar] [CrossRef]
- Kuefler, A.; Morton, J.; Wheeler, T.; Kochenderfer, M. Imitating driver behavior with generative adversarial networks. In Proceedings of the 2017 IEEE Intelligent Vehicles Symposium (IV), Los Angeles, CA, USA, 11–14 June 2017; pp. 204–211. [Google Scholar]
- Greveling, D.P. Modelling human driving behaviour using Generative Adversarial Networks. Ph.D. Thesis, Faculty of Science and Engineering, Maastricht, The Netherlands, 2018. [Google Scholar]
- Zhou, Y.; Fu, R.; Wang, C.; Zhang, R. Modeling Car-Following Behaviors and Driving Styles with Generative Adversarial Imitation Learning. Sensors 2020, 20, 5034. [Google Scholar] [CrossRef]
- Bhattacharyya, R.; Wulfe, B.; Phillips, D.J.; Kuefler, A.; Morton, J.; Senanayake, R.; Kochenderfer, M.J. Modeling human driving behavior through generative adversarial imitation learning. IEEE Trans. Intell. Transp. Syst. 2022, 24, 2874–2887. [Google Scholar] [CrossRef]
- Shi, H.; Dong, S.; Wu, Y.; Li, S.; Zhou, Y.; Ran, B. Generative Adversarial Network for Car Following Trajectory Generation and Anomaly Detection. 2022. Available online: https://ssrn.com/abstract=4111253 (accessed on 15 May 2023).
- Ma, L.; Qu, S. Application of conditional generative adversarial network to multi-step car-following modeling. Front. Neurorobotics 2023, 17, 1148892. [Google Scholar] [CrossRef]
- Yang, D.; Zhu, L.; Liu, Y.; Wu, D.; Ran, B. A novel car-following control model combining machine learning and kinematics models for automated vehicles. IEEE Trans. Intell. Transp. Syst. 2018, 20, 1991–2000. [Google Scholar] [CrossRef]
- Li, Y.; Lu, X.; Ren, C.; Zhao, H. Fusion modeling method of car-following characteristics. IEEE Access 2019, 7, 162778–162785. [Google Scholar] [CrossRef]
- Wu, F.; Work, D.B. Connections between classical car following models and artificial neural networks. In Proceedings of the 2018 21st International Conference on Intelligent Transportation Systems (ITSC), Maui, HI, USA, 4–7 November 2018; pp. 3191–3198. [Google Scholar]
- Yan, R.; Jiang, R.; Jia, B.; Huang, J.; Yang, D. Hybrid car-following strategy based on deep deterministic policy gradient and cooperative adaptive cruise control. IEEE Trans. Autom. Sci. Eng. 2021, 19, 2816–2824. [Google Scholar] [CrossRef]
- Yavas, U.; Kumbasar, T.; Ure, N.K. Model-Based Reinforcement Learning for Advanced Adaptive Cruise Control: A Hybrid Car Following Policy. In Proceedings of the 2022 IEEE Intelligent Vehicles Symposium (IV), Aachen, Germany, 5–9 June 2022; pp. 1466–1472. [Google Scholar]
- Soldevila, I.E.; Knoop, V.L.; Hoogendoorn, S. Car-following described by blending data-driven and analytical models: A gaussian process regression approach. Transp. Res. Rec. 2021, 2675, 1202–1213. [Google Scholar] [CrossRef]
- Zhang, Y.; Chen, X.; Wang, J.; Zheng, Z.; Wu, K. A generative car-following model conditioned on driving styles. Transp. Res. Part C Emerg. Technol. 2022, 145, 103926. [Google Scholar] [CrossRef]
- Milanés, V.; Shladover, S.E.; Spring, J.; Nowakowski, C.; Kawazoe, H.; Nakamura, M. Cooperative adaptive cruise control in real traffic situations. IEEE Trans. Intell. Transp. Syst. 2013, 15, 296–305. [Google Scholar] [CrossRef]
- Milanés, V.; Shladover, S.E. Modeling cooperative and autonomous adaptive cruise control dynamic responses using experimental data. Transp. Res. Part C Emerg. Technol. 2014, 48, 285–300. [Google Scholar] [CrossRef]
- Shladover, S.E.; Su, D.; Lu, X.Y. Impacts of cooperative adaptive cruise control on freeway traffic flow. Transp. Res. Rec. 2012, 2324, 63–70. [Google Scholar] [CrossRef]
- Mirza, M.; Osindero, S. Conditional generative adversarial nets. arXiv 2014, arXiv:1411.1784. [Google Scholar]
- FHWA. The Next Generation Simulation (NGSIM) [Online]. 2008. Available online: http://www.ngsim.fhwa.dot.gov/ (accessed on 15 May 2023).
- Montanino, M.; Punzo, V. Reconstructed NGSIM I80-1. COST ACTION TU0903—MULTITUDE. 2013. Available online: http://www.multitude-project.eu/exchange/101.html (accessed on 15 May 2023).
- Montanino, M.; Punzo, V. Trajectory data reconstruction and simulation-based validation against macroscopic traffic patterns. Transp. Res. Part B Methodol. 2015, 80, 82–106. [Google Scholar] [CrossRef]
- Mitchell, M. An Introduction to Genetic Algorithms; MIT Press: Cambridge, MA, USA, 1998. [Google Scholar]
- Saifuzzaman, M.; Zheng, Z.; Haque, M.M.; Washington, S. Revisiting the Task–Capability Interface model for incorporating human factors into car-following models. Transp. Res. Part B Methodol. 2015, 82, 1–19. [Google Scholar] [CrossRef]
- Ma, L.; Qu, S.; Song, L.; Zhang, J.; Ren, J. Human-like car-following modeling based on online driving style recognition. Electron. Res. Arch. 2023, 31, 3264–3290. [Google Scholar] [CrossRef]
- Kingma, D.P.; Ba, J. Adam: A method for stochastic optimization. arXiv 2014, arXiv:1412.6980. [Google Scholar]
- Treiber, M.; Kesting, A.; Helbing, D. Delays, inaccuracies and anticipation in microscopic traffic models. Phys. A Stat. Mech. Its Appl. 2006, 360, 71–88. [Google Scholar] [CrossRef]
- Ma, L.; Qu, S.; Ren, J.; Zhang, X. Mixed traffic flow of human-driven vehicles and connected autonomous vehicles: String stability and fundamental diagram. Math. Biosci. Eng. 2023, 20, 2280–2295. [Google Scholar] [CrossRef] [PubMed]
- Li, P.Y.; Shrivastava, A. Traffic flow stability induced by constant time headway policy for adaptive cruise control vehicles. Transp. Res. Part C Emerg. Technol. 2002, 10, 275–301. [Google Scholar] [CrossRef]














| Calibrated value | 2.02 | 1.43 | 22.89 | 1.40 | 2.75 |
| Model | Mean (SD) | Min | Max | Percentile [25%, 50%, 75%] |
|---|---|---|---|---|
| IDM | 26.74 (38.70) | 1.21 | 374.28 | [8.28, 14.87, 29.91] |
| Seq2Seq | 21.60 (28.42) | 0.73 | 233.29 | [7.57, 12.27, 25.23] |
| CGAN | 19.58 (22.73) | 0.33 | 229.12 | [6.66, 13.01, 24.18] |
| PICGAN_IDM | 18.47 (18.08) | 1.03 | 189.32 | [6.54, 13.52, 25.90] |
| PICGAN_PATH | 22.69 (23.99) | 0.80 | 267.67 | [7.17, 16.10, 29.57] |
Disclaimer/Publisher’s Note: The statements, opinions and data contained in all publications are solely those of the individual author(s) and contributor(s) and not of MDPI and/or the editor(s). MDPI and/or the editor(s) disclaim responsibility for any injury to people or property resulting from any ideas, methods, instructions or products referred to in the content. |
© 2023 by the authors. Licensee MDPI, Basel, Switzerland. This article is an open access article distributed under the terms and conditions of the Creative Commons Attribution (CC BY) license (https://creativecommons.org/licenses/by/4.0/).
Share and Cite
Ma, L.; Qu, S.; Song, L.; Zhang, Z.; Ren, J. A Physics-Informed Generative Car-Following Model for Connected Autonomous Vehicles. Entropy 2023, 25, 1050. https://doi.org/10.3390/e25071050
Ma L, Qu S, Song L, Zhang Z, Ren J. A Physics-Informed Generative Car-Following Model for Connected Autonomous Vehicles. Entropy. 2023; 25(7):1050. https://doi.org/10.3390/e25071050
Chicago/Turabian StyleMa, Lijing, Shiru Qu, Lijun Song, Zhiteng Zhang, and Jie Ren. 2023. "A Physics-Informed Generative Car-Following Model for Connected Autonomous Vehicles" Entropy 25, no. 7: 1050. https://doi.org/10.3390/e25071050
APA StyleMa, L., Qu, S., Song, L., Zhang, Z., & Ren, J. (2023). A Physics-Informed Generative Car-Following Model for Connected Autonomous Vehicles. Entropy, 25(7), 1050. https://doi.org/10.3390/e25071050

