Which Multivariate Multi-Scale Entropy Algorithm Is More Suitable for Analyzing the EEG Characteristics of Mild Cognitive Impairment?
Abstract
1. Introduction
2. Materials and Methods
2.1. Multivariate Multi-Scale Sample Entropy (mvMSE)
2.2. Multivariate Multi-Scale Fuzzy Entropy (mvMFE)
2.3. Refined Composite Multivariate Multi-Scale Fuzzy Entropy (RCmvMFE)
2.4. Multivariate Multi-Scale Permutation Entropy (mvMPE)
2.5. Multivariate Multi-Scale Dispersion Entropy (mvMDE)
2.6. Multivariate Multi-Scale Increment Entropy (mvMIE)
2.7. Participants and Neuropsychological Tests
2.8. EEG Recording and Preprocessing
3. Results
3.1. Simulation Analysis
3.1.1. Complexity Analysis
3.1.2. Correlation Analysis
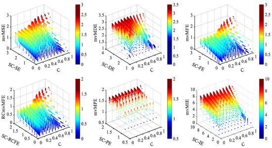
3.1.3. Joint Analysis of Coupling and Complexity
3.1.4. Noise Resistance Analysis
3.1.5. Data Length Analysis
3.2. Real EEG Data Analysis
3.2.1. The RCmvMFE Analysis of EEG
3.2.2. Correlation between EEG Entropy and Cognitive Function
4. Discussion
5. Conclusions
Author Contributions
Funding
Institutional Review Board Statement
Data Availability Statement
Conflicts of Interest
Abbreviations
| AD | Alzheimer’s disease |
| AVLT | Auditory Verbal Learning Test |
| EEG | Electroencephalogram |
| FAQ | Frequently Asked Questions |
| FDR | False Discovery Rate |
| MCI | Mild cognitive impairment |
| MMSE | Mini-mental State Examination |
| MoCA | Montreal Cognitive Assessment |
| mvMDE | Multivariate multi-scale dispersion entropy |
| mvMFE | Multivariate multi-scale fuzzy entropy |
| mvMIE | Multivariate multi-scale increment entropy |
| mvMPE | Multivariate multi-scale permutation entropy |
| mvMSE | Multivariate multi-scale sample entropy |
| RCmvMFE | Refined composite multivariate multi-scale fuzzy entropy |
| T2DM | Type 2 diabetes mellitus |
| WAIS | Wechsler Adult Intelligence Scale |
References
- Yu, Y.; Yan, L.F.; Sun, Q.; Hua, B.; Zhang, J.; Yang, Y.; Dai, Y.J.; Cui, W.X.; Xiu, S.J.; Hu, Y.C.; et al. Neurovascular decoupling in type 2 diabetes mellitus without mild cognitive impairment: Potential biomarker for early cognitive impairment. Neuroimage 2019, 200, 644–658. [Google Scholar] [CrossRef] [PubMed]
- You, Y.; Liu, Z.Z.; Chen, Y.N.; Xu, Y.; Qin, J.W.; Guo, S.; Huang, J.; Tao, J. The prevalence of mild cognitive impairment in type 2 diabetes mellitus patients: A systematic review and meta-analysis. Acta Diabetol. 2021, 58, 671–672. [Google Scholar] [CrossRef] [PubMed]
- Singh, F.; Shu, I.W.; Granholm, E.; Pineda, J.A. Revisiting the Potential of EEG Neurofeedback for Patients With Schizophrenia. Schizophr. Bull. 2020, 46, 741–742. [Google Scholar] [CrossRef] [PubMed]
- Kashefpoor, M.; Rabbani, H.; Barekatain, M. Supervised dictionary learning of EEG signals for mild cognitive impairment diagnosis. Biomed. Signal Process. Control 2019, 53, 101559. [Google Scholar] [CrossRef]
- Li, R.; Nguyen, T.; Potter, T.; Zhang, Y. Dynamic cortical connectivity alterations associated with Alzheimer’s disease: An EEG and fNIRS integration study. NeuroImage Clinical 2019, 21, 101622. [Google Scholar] [CrossRef] [PubMed]
- Datta, A.N. Hypnagogic Frontal EEG Bursts in Children: Epileptic or Not? J. Clin. Neurophysiol. 2021, 38, 536–541. [Google Scholar] [CrossRef] [PubMed]
- da Silva, G.F.; da Silva, A.S.A.; Stosic, T. Using Sample Entropy to assess complexity of wind speed dynamics. Acta Sci.-Technol. 2019, 41, 38954. [Google Scholar] [CrossRef]
- Kang, H.; Zhang, X.F.; Zhang, G.B. Phase permutation entropy: A complexity measure for nonlinear time series incorporating phase information. Phys. A Stat. Mech. Appl. 2021, 568, 125686. [Google Scholar] [CrossRef]
- Nezafati, M.; Temmar, H.; Keilholz, S.D. Functional MRI Signal Complexity Analysis Using Sample Entropy. Front. Neurosci. 2020, 14, 700. [Google Scholar] [CrossRef]
- Pincus, S.M. Approximate entropy as a measure of system complexity. Proc. Natl. Acad. Sci. USA 1991, 88, 2297–2301. [Google Scholar] [CrossRef]
- Pincus, S.M.; Viscarello, R.R. Approximate entropy: A regularity measure for fetal heart rate analysis. Obstet. Gynecol. 1992, 79, 249–255. [Google Scholar] [PubMed]
- Nie, J.; Ji, M.; Chu, Y.; Meng, X.; Wang, Y.; Zhong, J.; Lin, L. Human pulses reveal health conditions by a piezoelectret sensor via the approximate entropy analysis. Nano Energy 2019, 58, 528–535. [Google Scholar] [CrossRef]
- Richman, J.S.; Moorman, J.R. Physiological time-series analysis using approximate entropy and sample entropy. Am. J. Physiol. Heart Circ. Physiol. 2000, 278, H2039–H2049. [Google Scholar] [CrossRef] [PubMed]
- Montesinos, L.; Castaldo, R.; Pecchia, L. On the use of approximate entropy and sample entropy with centre of pressure time-series. J. Neuroeng. Rehabil. 2018, 15, 116. [Google Scholar] [CrossRef] [PubMed]
- Bandt, C.; Pompe, B. Permutation entropy: A natural complexity measure for time series. Phys. Rev. Lett. 2002, 88, 174102. [Google Scholar] [CrossRef] [PubMed]
- Seker, M.; Ozbek, Y.; Yener, G.; Ozerdem, M.S. Complexity of EEG Dynamics for Early Diagnosis of Alzheimer’s Disease Using Permutation Entropy Neuromarker. Comput. Methods Programs Biomed. 2021, 206, 106116. [Google Scholar] [CrossRef]
- Chen, W.; Wang, Z.; Xie, H.; Yu, W. Characterization of surface EMG signal based on fuzzy entropy. IEEE Trans. Neural. Syst. Rehab. Eng. 2007, 15, 266–272. [Google Scholar] [CrossRef]
- Liu, X.; Jiang, A.; Xu, N.; Xue, J. Increment Entropy as a Measure of Complexity for Time Series. Entropy 2016, 18, 22. [Google Scholar] [CrossRef]
- Rostaghi, M.; Azami, H. Dispersion Entropy: A Measure for Time-Series Analysis. IEEE Signal Proc. Let. 2016, 23, 610–614. [Google Scholar] [CrossRef]
- Rostaghi, M.; Ashory, M.R.; Azami, H. Application of dispersion entropy to status characterization of rotary machines. J. Sound Vibrat. 2019, 438, 291–308. [Google Scholar] [CrossRef]
- Ahmed, M.U.; Mandic, D.P. Multivariate Multiscale Entropy Analysis. IEEE Signal Proc. Let. 2012, 19, 91–94. [Google Scholar] [CrossRef]
- Labate, D.; La Foresta, F.; Morabito, G.; Palamara, I.; Morabito, F.C. Entropic Measures of EEG Complexity in Alzheimer’s Disease Through a Multivariate Multiscale Approach. IEEE Sens. J. 2013, 13, 3284–3292. [Google Scholar] [CrossRef]
- Mao, X.G.; Shang, P.J. A new method for tolerance estimation of multivariate multiscale sample entropy and its application for short-term time series. Nonlinear Dyn. 2018, 94, 1739–1752. [Google Scholar] [CrossRef]
- Yin, Y.; Shang, P.J. Multivariate multiscale sample entropy of traffic time series. Nonlinear Dyn. 2016, 86, 479–488. [Google Scholar] [CrossRef]
- Li, P.; Liu, C.Y.; Li, L.P.; Ji, L.Z.; Yu, S.Y.; Liu, C.C. Multiscale multivariate fuzzy entropy analysis. Acta Phys. Sin. 2013, 62, 122–130. [Google Scholar] [CrossRef]
- Azami, H.; Escudero, J. Refined composite multivariate generalized multiscale fuzzy entropy: A tool for complexity analysis of multichannel signals. Phys. A Stat. Mech. Appl. 2017, 465, 261–276. [Google Scholar] [CrossRef]
- Zheng, J.; Tu, D.; Pan, H.; Hu, X.; Liu, T.; Liu, Q. A Refined Composite Multivariate Multiscale Fuzzy Entropy and Laplacian Score-Based Fault Diagnosis Method for Rolling Bearings. Entropy 2017, 19, 585. [Google Scholar] [CrossRef]
- Wang, Y.; Yang, Y. Refined composite multivariate multiscale fuzzy Entropy analysis of horizontal oil-water two-phase flow. In Proceedings of the 12th International Conference on Computer Science and Education (ICCSE), Houston, TX, USA, 22–25 August 2017; pp. 423–428. [Google Scholar]
- Chu, H.; Wu, Z.; Zhang, W. Refined Composite Multivariate Multiscale Fractional Fuzzy Entropy: Measuring the Dynamical Complexity of Multichannel Financial Data. Complexity 2021, 6, 8173590. [Google Scholar] [CrossRef]
- Morabito, F.C.; Labate, D.; La Foresta, F.; Bramanti, A.; Morabito, G.; Palamara, I. Multivariate Multi-Scale Permutation Entropy for Complexity Analysis of Alzheimer’s Disease EEG. Entropy 2012, 14, 1186–1202. [Google Scholar] [CrossRef]
- Azami, H.; Fernandez, A.; Escudero, J. Multivariate Multiscale Dispersion Entropy of Biomedical Times Series. Entropy 2019, 21, 913. [Google Scholar] [CrossRef]
- Wang, D.; Jin, N. Multivariate multiscale increment entropy: A complexity measure for detecting flow pattern transition in multiphase flows. Nonlinear Dyn. 2020, 100, 3855–3856. [Google Scholar] [CrossRef]
- Lu, H.B.; Liu, J.; Gu, G.H.; Li, X.L.; Yin, S.M.; Cui, D. Nonlinear Phase Synchronization Analysis of EEG Signals in Amnesic Mild Cognitive Impairment with Type 2 Diabetes Mellitus. Neuroscience 2021, 472, 26–32. [Google Scholar] [CrossRef] [PubMed]
- Duan, F.; Huang, Z.; Sun, Z.; Zhang, Y.; Zhao, Q.; Cichocki, A.; Yang, Z.; Sole-Casals, J. Topological Network Analysis of Early Alzheimer’s Disease Based on Resting-State EEG. IEEE Trans. Neural Syst. Rehab. Eng. 2020, 28, 2167–2171. [Google Scholar] [CrossRef] [PubMed]
- Castellanos, N.P.; Makarov, V.A. Recovering EEG brain signals: Artifact suppression with wavelet enhanced independent component analysis. J. Neurosci. Methods 2006, 158, 300–312. [Google Scholar] [CrossRef] [PubMed]
- Cui, D.; Pu, W.; Liu, J.; Bian, Z.; Li, Q.; Wang, L.; Gu, G. A new EEG synchronization strength analysis method: S-estimator based normalized weighted-permutation mutual information. Neural Netw. 2016, 82, 30–38. [Google Scholar] [CrossRef] [PubMed]
- Li, P.; Liu, C.; Wang, X.; Li, L.; Yang, L.; Chen, Y.; Liu, C. Testing pattern synchronization in coupled systems through different entropy-based measures. Med. Biol. Eng. Comput. 2013, 51, 581–591. [Google Scholar] [CrossRef]
- Li, X.; Zhang, J.; Li, X.-D.; Cui, W.; Su, R. Neurofeedback Training for Brain Functional Connectivity Improvement in Mild Cognitive Impairment. J. Med. Biol. Eng. 2020, 40, 484–495. [Google Scholar] [CrossRef]
- Su, R.; Li, X.; Liu, Y.; Cui, W.; Xie, P.; Han, Y. Evaluation of the Brain Function State During Mild Cognitive Impairment Based on Weighted Multiple Multiscale Entropy. Front. Aging Neurosci. 2021, 13. [Google Scholar] [CrossRef]
- Mizuno, T.; Takahashi, T.; Cho, R.Y.; Kikuchi, M.; Murata, T.; Takahashi, K.; Wada, Y. Assessment of EEG dynamical complexity in Alzheimer’s disease using multiscale entropy. Clin. Neurophysiol. 2010, 121, 1438–1446. [Google Scholar] [CrossRef]
- Yang, A.C.; Wang, S.-J.; Lai, K.-L.; Tsai, C.-F.; Yang, C.-H.; Hwang, J.-P.; Lo, M.-T.; Huang, N.E.; Peng, C.-K.; Fuh, J.-L. Cognitive and neuropsychiatric correlates of EEG dynamic complexity in patients with Alzheimer’s disease. Prog. Neuro-Psychopharmacol. Biol. Psychiatry 2013, 47, 52–61. [Google Scholar] [CrossRef]
- Escudero, J.; Abásolo, D.; Hornero, R.; Espino, P.; López, M. Analysis of electroencephalograms in Alzheimer’s disease patients with multiscale entropy. Physiol. Meas. 2006, 27, 1091. [Google Scholar] [CrossRef] [PubMed]
- Chai, X.K.; Weng, X.H.; Zhang, Z.M.; Lu, Y.T.; Liu, G.T.; Niu, H.J. Quantitative EEG in Mild Cognitive Impairment and Alzheimer’s Disease by AR-Spectral and Multi-scale Entropy Analysis. In Proceedings of the IUPESM World Congress on Medical Physics and Biomedical Engineering, Prague, Czech Republic, 3–8 June 2018; pp. 159–163. [Google Scholar]
- Hsu, C.F.; Chao, H.H.; Yang, A.C.; Yeh, C.W.; Hsu, L.; Chi, S. Discrimination of Severity of Alzheimer’s Disease with Multiscale Entropy Analysis of EEG Dynamics. Appl. Sci. 2020, 10, 1244. [Google Scholar] [CrossRef]









| Factors | MCI Group | Control Group | p-Value |
|---|---|---|---|
| Subject count | 12 | 8 | -- |
| Age | 71.083 ± 6.828 | 71.375 ± 7.539 | 0.929 |
| MoCA | 23.000 ± 1.758 | 26.875 ± 1.246 | p < 0.001 *** |
| MMSE | 28.416 ± 1.928 | 28.750 ± 0.462 | 0.576 |
| BOSTON naming | 19.333 ± 0.887 | 19.750 ± 0.462 | 0.188 |
| AVLT immediate recall | 5.891 ± 1.693 | 7.850 ± 1.619 | 0.019 * |
| AVLT delayed recall | 4.333 ± 3.498 | 9.625 ± 2.133 | 0.001 ** |
| AVLT long-delayed recognition | 11.000 ± 4.177 | 13.750 ± 1.388 | 0.091 |
| Semantic fluency test | 18.250 ± 4.092 | 18.625 ± 3.248 | 0.831 |
| Trail test A | 62.818 ± 18.296 | 62.125 ± 19.445 | 0.938 |
| Trail test B | 116.454 ± 38.388 | 105.125 ± 40.814 | 0.544 |
| WAIS | 11.000 ± 2.898 | 13.875 ± 1.125 | 0.017 * |
| FAQ | 2.723 ± 3.849 | 0.625 ± 1.767 | 0.171 |
Disclaimer/Publisher’s Note: The statements, opinions and data contained in all publications are solely those of the individual author(s) and contributor(s) and not of MDPI and/or the editor(s). MDPI and/or the editor(s) disclaim responsibility for any injury to people or property resulting from any ideas, methods, instructions or products referred to in the content. |
© 2023 by the authors. Licensee MDPI, Basel, Switzerland. This article is an open access article distributed under the terms and conditions of the Creative Commons Attribution (CC BY) license (https://creativecommons.org/licenses/by/4.0/).
Share and Cite
Liu, J.; Lu, H.; Zhang, X.; Li, X.; Wang, L.; Yin, S.; Cui, D. Which Multivariate Multi-Scale Entropy Algorithm Is More Suitable for Analyzing the EEG Characteristics of Mild Cognitive Impairment? Entropy 2023, 25, 396. https://doi.org/10.3390/e25030396
Liu J, Lu H, Zhang X, Li X, Wang L, Yin S, Cui D. Which Multivariate Multi-Scale Entropy Algorithm Is More Suitable for Analyzing the EEG Characteristics of Mild Cognitive Impairment? Entropy. 2023; 25(3):396. https://doi.org/10.3390/e25030396
Chicago/Turabian StyleLiu, Jing, Huibin Lu, Xiuru Zhang, Xiaoli Li, Lei Wang, Shimin Yin, and Dong Cui. 2023. "Which Multivariate Multi-Scale Entropy Algorithm Is More Suitable for Analyzing the EEG Characteristics of Mild Cognitive Impairment?" Entropy 25, no. 3: 396. https://doi.org/10.3390/e25030396
APA StyleLiu, J., Lu, H., Zhang, X., Li, X., Wang, L., Yin, S., & Cui, D. (2023). Which Multivariate Multi-Scale Entropy Algorithm Is More Suitable for Analyzing the EEG Characteristics of Mild Cognitive Impairment? Entropy, 25(3), 396. https://doi.org/10.3390/e25030396

