Analysis of Tangential Leakage Flow Characteristics of Oil-Free Scroll Expander for a Micro-Scale Compressed Air Energy Storage System
Abstract
:1. Introduction
2. Geometric Model and Leakage Model
2.1. Geometric Model
2.2. Tangential Leakage Model
3. Numerical Simulation
3.1. Meshing
3.2. Control Equations and Inlet and Outlet Boundary Conditions
3.2.1. Control Equations
3.2.2. Inlet and Outlet Boundary Conditions
3.3. Volumetric Efficiency and Grid-Independence Validation
3.3.1. Volumetric Efficiency
3.3.2. Grid-Independent Verification
4. Results and Analysis
4.1. Radial Clearance Dimensions
4.2. Rotational Speed
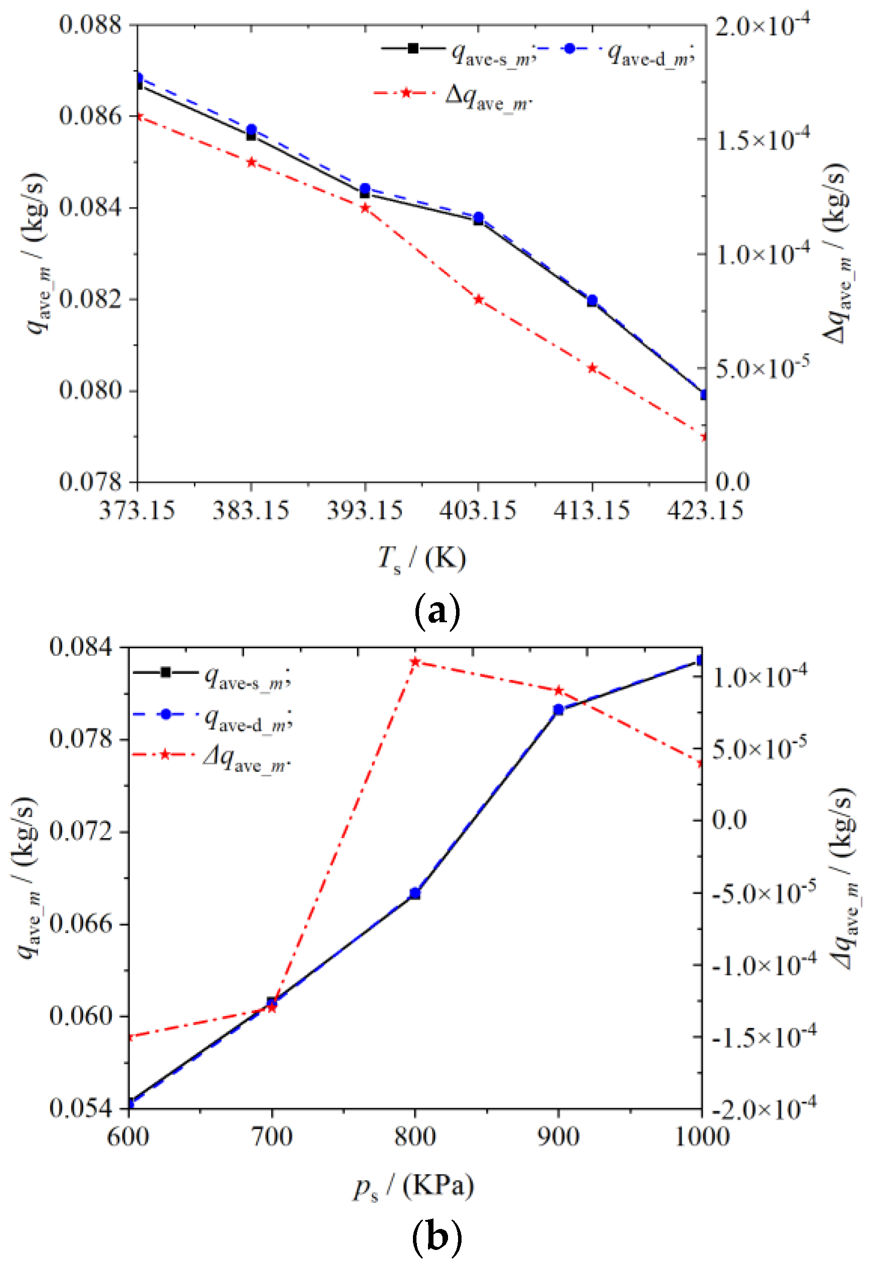
4.3. Different Inlet Pressures and Temperatures
5. Conclusions
Author Contributions
Funding
Institutional Review Board Statement
Informed Consent Statement
Data Availability Statement
Conflicts of Interest
Nomenclature
| radius of base circle, mm | |
| h | scroll tooth height, mm |
| Suc | Suction chamber |
| Bac | Backpressure chamber |
| Dis | Discharge chamber |
| E | Expression chamber |
| P1 and P2 | Monitoring points |
| D | Source term |
| s and d | Suction and discharge port |
| and | Suction and discharge port pressures, KPa |
| Rotational speed, r/min | |
| Y+ | Y Plus |
| Suction port temperature, K | |
| Simulation suction port mass flow, kg/s | |
| Suction volume, | |
| Velocity at the monitoring point, m/s | |
| Discharge port temperature, K | |
| Average discharge port temperature, K | |
| and | Suction and discharge port mass flow, kg/s |
| and | Suction and discharge port mass flow rates at different speeds, kg/s |
| Discharge port average mass flow, kg/s | |
| Greek symbols | |
| Involute generation angle, rad | |
| Solution variable | |
| ,,, and | General variables |
| Volumetric efficiency | |
| Density of the inlet, | |
| Radial clearance, mm | |
| Gas viscosity gas, | |
| Orbiting angle, ° | |
| Differences between the average outlet temperature, K | |
| differences between the average outlet mass flow, kg/s | |
| difference in volumetric efficiency |
References
- Zhou, Q.; Du, D.M.; Lu, C.; He, Q.; Liu, W.Y. A review of thermal energy storage in compressed air energy storage system. Energy 2019, 188, 115993. [Google Scholar] [CrossRef]
- Olabi, A.G.; Wilberforce, T.; Ramadan, M.; Abdelkareem, M.A.; Alami, A.H. Compressed air energy storage systems: Components and operating parameters—A review. J. Energy Storage 2021, 34, 102000. [Google Scholar] [CrossRef]
- Roos, P.; Haselbacher, A. Analytical modeling of advanced adiabatic compressed air energy storage: Literature review and new models. Renew. Sustain. Energy Rev. 2022, 163, 112464. [Google Scholar] [CrossRef]
- Song, P.P.; Wei, M.S.; Shi, L.; Syed, N.D.; Ma, C.C. A review of scroll expanders for organic Rankine cycle systems. Appl. Therm. Eng. 2015, 75, 54–64. [Google Scholar] [CrossRef]
- Peng, B.; Arnaud, L.; Vincent, L.; Xie, X.Z.; Gong, H.F. Recent Advances on the Oil-Free Scroll Compressor. Recent Pat. Mech. Eng. 2016, 9, 37–47. [Google Scholar]
- Sun, J.; Peng, B.; Zhu, B.G. Numerical Simulation and Experimental Study of Oil-Free Double-Warp Air Scroll Compressor. J. Shanghai Jiaotong Univ. 2022, 56, 611–621. [Google Scholar]
- Peng, B.; Vincent, L.; Arnaud, L.; Zhang, H.S.; Gong, H.F. Variable thickness scroll compressor performance analysis—Part I: Geometric and thermodynamic modeling. Proc. Inst. Mech. Eng. Part E J. Process Mech. Eng. 2016, 231, 633–640. [Google Scholar]
- Fadhel, A.; Elias, B.K.; Pierre, N.; Assaad, Z. Experimental investigation and modeling of a hermetic scroll expander. Appl. Energy 2016, 181, 256–267. [Google Scholar]
- Emhardt, S.; Tian, G.H.; Song, P.P.; Chew, J.; Wei, M.S. CFD modelling of small scale ORC scroll expanders using variable wall thicknesses. Energy 2020, 199, 117399. [Google Scholar] [CrossRef]
- Fanti, G.R.; Romão, D.A.; de Almeida, R.B.; de Mello, P.E.B. Influence of flank clearance on the performance of a scroll expander prototype. Energy 2020, 193, 116823. [Google Scholar] [CrossRef]
- Oh, J.; Jeong, H.; Kim, J.; Lee, H. Numerical and experimental investigation on thermal-hydraulic characteristics of a scroll expander for organic Rankine cycle. Appl. Energy 2020, 278, 115672. [Google Scholar] [CrossRef]
- Pereira, E.L.L.; Deschamps, C.J. Numerical analysis and correlations for radial and tangential leakage of gas in scroll compressors. Int. J. Refrig. 2020, 110, 239–247. [Google Scholar] [CrossRef]
- Wang, J.J.; Liu, T. Leakage Model of Axial Clearance and Test of Scroll Compressors. J. Shanghai Jiaotong Univ. (Sci.) 2020, 25, 531–537. [Google Scholar] [CrossRef]
- Peng, B.; Sun, Y. Investigation of Mathematical Modeling and Experiment for Variable Thickness Scroll Compressor. J. Mech. Eng. 2015, 51, 185–191. [Google Scholar] [CrossRef]
- Li, Y.J.; Zhong, Y.; Meng, F.; Zheng, Y.H.; Sun, D.H. Entropy Production Analysis of a Vertical Mixed-Flow Pump Device with Different Guide Vane Meridians. Entropy 2022, 24, 1370. [Google Scholar] [CrossRef]
- Tian, S.G.; Zhao, Y.Y.; Dong, K.R.; Liu, G.B.; Yang, Q.C.; Li, L.S. Internal Flow and Cavitation Analysis of Scroll Oil Pump by CFD Method. Processes 2021, 9, 1705. [Google Scholar] [CrossRef]
- Sun, S.H.; Wang, X.W.; Guo, P.C.; Wu, K.; Liu, G.B. Numerical analysis of the transient leakage flow in axial clearance of a scroll refrigeration compressor. Proc. Inst. Mech. Eng. Part E J. Process Mech. Eng. 2019, 236, 1989–1996. [Google Scholar] [CrossRef]
- Zheng, S.Y.; Wei, M.S.; Hu, C.X.; Song, P.P.; Tian, R. Flow characteristics of tangential leakage in a scroll compressor for automobile heat pump with CO₂. Sci. China Technol. Sci. 2021, 64, 971–983. [Google Scholar] [CrossRef]
- Zha, H.B.; Song, Y.X.; Wang, J.; Jiang, Y.; Qiu, X.Q. A Gas Leakage Model in the Leakage Clearance of Scroll Compressor. J. Eng. Thermophys. 2016, 37, 1438–1443. [Google Scholar]
- Rak, J.; Pietrowicz, S.; Gnutek, Z. 3D numerical calculations of tangent leakages in scroll compressor during unsteady process. Prog. Comput. Fluid Dyn. Int. J. 2017, 17, 344–351. [Google Scholar] [CrossRef]
- Sun, S.H.; Wu, K.; Guo, P.C.; Yan, J.G. Analysis of the three-dimensional transient flow in a scroll refrigeration compressor. Appl. Therm. Eng. 2017, 127, 1086–1094. [Google Scholar] [CrossRef]
- Zhang, Q.Q.; Feng, J.M.; Wen, J.; Peng, X.Y. 3D transient CFD modelling of a scroll-type hydrogen pump used in FCVs. Int. J. Hydrogen Energy 2018, 43, 19231–19241. [Google Scholar] [CrossRef]
- Fadiga, E.; Casari, N.; Suman, A.; Pinelli, M. Structured Mesh Generation and Numerical Analysis of a Scroll Expander in an Open-Source Environment. Energies 2020, 13, 666. [Google Scholar] [CrossRef]
- Zheng, S.Y.; Wei, M.S.; Song, P.P.; Hu, C.X.; Tian, R. Thermodynamics and flow unsteadiness analysis of trans-critical CO₂ in a scroll compressor for mobile heat pump air-conditioning system. Appl. Therm. Eng. 2020, 175, 115368. [Google Scholar] [CrossRef]
- Sun, J.; Peng, B.; Zhu, B.G. Performance Analysis and Test Research of PEMFC Oil-Free Positive Displacement Compressor for Vehicle. Energies 2021, 14, 7329. [Google Scholar] [CrossRef]
- Sun, J.; Peng, B.; Zhu, B.G. Numerical Simulation and Experimental Research of Oil-Free Scroll Air Compressor Based on CFD. Recent Pat. Mech. Eng. 2022, 15, 328–339. [Google Scholar]
- Zhu, Z.Q.; Ju, S.J.; Wu, Z.C. Laminar flow active/passive control technology. Acta Aeronaut. Et Astronaut. Sin. 2016, 37, 2065–2090. [Google Scholar]
- Liu, X.W.; Zhao, M.; Li, C.; Yao, S.T.; Zhang, T.L. Research on the Radial Labyrinth of Scroll Compressor. J. Mech. Eng. 2012, 48, 97–104. [Google Scholar] [CrossRef]
- Zheng, S.Y.; Wei, M.S.; Hu, C.X.; Song, P.P.; Tian, R.; Li, Y.H.; Sun, J.X.; Wu, D. Impact of micro-grooves in scroll wrap tips on the performance of a trans-critical CO₂ scroll compressor. Int. J. Refrig. 2021, 131, 493–504. [Google Scholar] [CrossRef]
- Zheng, S.Y.; Wei, M.S.; Zhou, Y.; Hu, C.X.; Song, P.P. Tangential leakage flow control with seal-grooves on the static scroll of a CO₂ scroll compressor. Appl. Therm. Eng. 2022, 208, 118213. [Google Scholar] [CrossRef]
- Sun, J.; Peng, B.; Zhu, B.G. The internal thermodynamic characteristics and performance test of the new oil-free scroll compressor. J. Jilin Univ. (Eng. Technol. Ed.) 2022, 52, 2778–2787. [Google Scholar]
- Feng, Y.Q.; Xu, J.W.; He, Z.X.; Hung, T.C.; Shao, M.; Zhang, F.Y. Numerical simulation and optimal design of scroll expander applied in a small-scale organic rankine cycle. Energy 2022, 260, 124981. [Google Scholar] [CrossRef]
- Liu, Z.; Li, Z.; Xie, D.S.; Wu, H.W. Unsteady characteristic and flow mechanism of a scroll compressor in small-scale compressed air energy storage system. J. Energy Storage 2022, 51, 104368. [Google Scholar] [CrossRef]
- White, F.M. Fluid Mechanics, 7th ed.; McGraw-Hill: New York, NY, USA, 2009; pp. 150–156. [Google Scholar]















| Number of Grids | Volumetric Efficiency (%) | Calculation Time (Hours) |
|---|---|---|
| 1,169,982 | 80.0591 | 10 |
| 2,014,142 | 80.2236 | 16 |
| 2,858,032 | 80.2832 | 30 |
| 3,702,462 | 80.2845 | 42 |
| Method | Volumetric Efficiency (%) | Isentropic Efficiency (%) |
|---|---|---|
| Simulation value | 80.2832 | 41.3265 |
| Experimental value | 89.1456 | 47.5254 |
| 0.2 | 370.0328 | - | 0.0799 | - | 80.2832 | - |
| 0.3 | 375.5833 | 5.5505 | 0.0882 | 0.0083 | 79.6817 | −0.6015 |
| 0.4 | 382.9840 | 7.4007 | 0.1101 | 0.0219 | 77.1226 | −2.5591 |
| 0.5 | 394.4550 | 11.4710 | 0.1159 | 0.0058 | 75.2311 | −1.8915 |
| n (r/min) | (K) | (K) | (kg/s) | (kg/s) | (%) | (%) |
|---|---|---|---|---|---|---|
| 2000 | 379.2842 | 9.2514 | 0.0545 | −0.0254 | 76.9314 | −3.3518 |
| 3000 | 370.0328 | - | 0.0799 | - | 80.2832 | - |
| 5000 | 367.4159 | −2.6169 | 0.1158 | 0.0359 | 85.6879 | 5.4047 |
Disclaimer/Publisher’s Note: The statements, opinions and data contained in all publications are solely those of the individual author(s) and contributor(s) and not of MDPI and/or the editor(s). MDPI and/or the editor(s) disclaim responsibility for any injury to people or property resulting from any ideas, methods, instructions or products referred to in the content. |
© 2023 by the authors. Licensee MDPI, Basel, Switzerland. This article is an open access article distributed under the terms and conditions of the Creative Commons Attribution (CC BY) license (https://creativecommons.org/licenses/by/4.0/).
Share and Cite
Sun, J.; Peng, B.; Zhu, B.; Li, Y. Analysis of Tangential Leakage Flow Characteristics of Oil-Free Scroll Expander for a Micro-Scale Compressed Air Energy Storage System. Entropy 2023, 25, 339. https://doi.org/10.3390/e25020339
Sun J, Peng B, Zhu B, Li Y. Analysis of Tangential Leakage Flow Characteristics of Oil-Free Scroll Expander for a Micro-Scale Compressed Air Energy Storage System. Entropy. 2023; 25(2):339. https://doi.org/10.3390/e25020339
Chicago/Turabian StyleSun, Jian, Bin Peng, Bingguo Zhu, and Yaohong Li. 2023. "Analysis of Tangential Leakage Flow Characteristics of Oil-Free Scroll Expander for a Micro-Scale Compressed Air Energy Storage System" Entropy 25, no. 2: 339. https://doi.org/10.3390/e25020339
APA StyleSun, J., Peng, B., Zhu, B., & Li, Y. (2023). Analysis of Tangential Leakage Flow Characteristics of Oil-Free Scroll Expander for a Micro-Scale Compressed Air Energy Storage System. Entropy, 25(2), 339. https://doi.org/10.3390/e25020339

