Implementation of the Simple Hyperchaotic Memristor Circuit with Attractor Evolution and Large-Scale Parameter Permission
Abstract
1. Introduction
2. Analysis of the Simple Memristor Chaotic Circuit
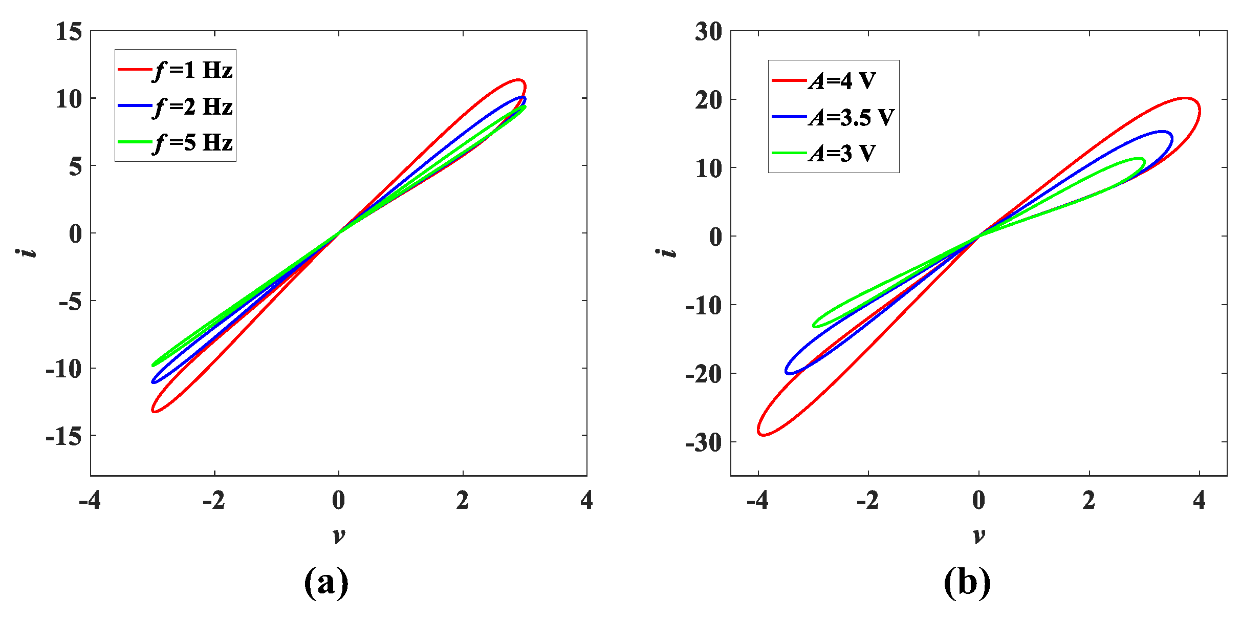
2.1. The Structure of the Magnetically Controlled Memristor Model
2.2. Design of the Simple Memristor Chaotic Circuit
3. Nonlinear Dynamics Analysis of the Simple Memristor Chaotic Circuit
3.1. Phenomenon of Attractors’ Evolution
3.2. Wide Range of Chaotic Characteristics of the Internal Parameters of the Circuit
3.3. Spectral Entropy Complexity Analysis of the Simple Memristor Chaotic Circuit
3.4. Coexistence of Attractors
3.5. Analysis of Attraction Basins
4. FPGA Implementation of the Simple Memristor Chaotic Circuit
4.1. Discretization of Simple Memristor Chaotic Circuit Model
4.2. State Machine Execution Operation
- Initialize the initial conditions of the circuit;
- Intercept the calculated 64-bit and ;
- Parallel calculation to obtain the result of , , and ;
- Repeat the above steps to calculate , , and ;
- According to Equation (11), add and shift to obtain the final result , , and .
4.3. FPGA Implementation and Comparison
5. Conclusions
Author Contributions
Funding
Institutional Review Board Statement
Informed Consent Statement
Data Availability Statement
Conflicts of Interest
References
- Chua, L.O. Memristor-The Missing Circuit Element. IEEE Trans. Circuits Syst. 1971, 18, 507. [Google Scholar] [CrossRef]
- Chua, L.O. Resistance Switching Memories are Memristors. In Handbook of Memristor Networks; Chua, L., Sirakoulis, G., Adamatzky, A., Eds.; Springer: Cham, Switzerland, 2019; pp. 197–230. [Google Scholar]
- Chua, L.O.; Kang, S.M. Memristive Devices and Systems. Proc. IEEE 1976, 64, 209. [Google Scholar] [CrossRef]
- Strukov, D.B.; Sniider, G.S.; Stewart, D.R. The Missing Memristor Found. Nature 2008, 453, 80. [Google Scholar] [CrossRef]
- Lai, Q.; Wan, Z.; Kengne, L.K.; Kuate, P.D.K.; Chen, C.Y. Two-Memristor-Based Chaotic System With Infinite Coexisting Attractors. IEEE Trans. Circuits Syst. II Express Briefs 2021, 68, 2197. [Google Scholar] [CrossRef]
- Bao, B.C.; Zou, X.; Liu, Z.; Hu, F.W. Generalized Memory Element and Chaotic Memory System. Int. J. Bifurc. Chaos 2013, 23, 1350135. [Google Scholar] [CrossRef]
- Bao, B.C.; Xu, J.P.; Liu, Z. Initial State Dependent Dynamical Behaviors in a Memristor Based Chaotic Circuit. Chin. Phys. Lett. 2010, 27, 51. [Google Scholar]
- Zhang, X.H.; Yang, G.; Liu, S.L.; Moshayedi, A.J. Fractional-order Circuit Design with Hybrid Controlled Memristors and FPGA Implementation. Int. J. Electron. Commun. 2022, 153, 154268. [Google Scholar] [CrossRef]
- Lin, H.R.; Wang, C.H.; Hong, Q.H.; Sun, Y.C. A Multi-Stable Memristor and its Application in a Neural Network. IEEE Trans. Circuits Syst. II Express Briefs 2020, 67, 3472. [Google Scholar] [CrossRef]
- Wolf, A.; Swift, J.B.; Swinney, H.L.; Vastano, J.A. Determining Lyapunov Exponents from a Time Series. Phys. D Nonlinear Phenom. 1985, 16, 285. [Google Scholar] [CrossRef]
- Singh, J.P.; Roy, B.K. The Nature of Lyapunov Exponents is (+, +, −, −). Is It A Hyperchaotic System? Chaos Solitons Fractals 2016, 92, 73. [Google Scholar] [CrossRef]
- Wu, R.P.; Wang, C.H. A New Simple Chaotic Circuit Based on Memristor. Int. J. Bifurc. Chaos 2016, 26, 1650145. [Google Scholar] [CrossRef]
- Zhao, S.Q.; Cui, Y.; Lu, C.H.; Zhou, L.Y. A Simple Chaotic Circuit Based on Memristor and Its Analyzation of Bifurcation. Analog. Integr. Circuits Signal Process. 2022, 2022, 1. [Google Scholar] [CrossRef]
- Li, C.L.; Yang, Y.Y.; Du, J.R.; Chen, Z. A Simple Chaotic Circuit with Magnetic Flux-controlled Memristor. Eur. Phys. J. Spec. Top. 2021, 203, 1723. [Google Scholar] [CrossRef]
- Wang, N.; Zhang, G.S.; Bao, H. Bursting Oscillations and Coexisting Attractors in A Simple Memristor-capacitor-based Chaotic Circuit. Nonlinear Dyn. 2019, 97, 1477. [Google Scholar] [CrossRef]
- Ma, X.J.; Mou, J.; Liu, J.; Ma, C.G.; Yang, F.F.; Zhao, X. A Novel Simple Chaotic Circuit Based on Memristor–memcapacitor. Nonlinear Dyn. 2020, 100, 2859. [Google Scholar] [CrossRef]
- Zhang, X.F.; Tian, Z.A.; Li, J.; Cui, Z.W. A Simple Parallel Chaotic Circuit Based on Memristor. Entropy 2021, 23, 719. [Google Scholar] [CrossRef]
- Zhai, D.D.; Wang, F.Q. Simple Double-Scroll Chaotic Circuit Based on Meminductor. J. Circuits Syst. Comp. 2020, 29, 2050048. [Google Scholar] [CrossRef]
- Ye, X.J.; Mou, J.; Luo, C.F.; Wang, Z.S. Dynamics Analysis of Wien-bridge Hyperchaotic Memristive Circuit System. Nonlinear Dyn. 2018, 92, 923. [Google Scholar] [CrossRef]
- Teng, L.; Wang, X.Y.; Ye, X.L. Hyperchaotic Behavior in the Novel Memristor-Based Symmetric Circuit System. IEEE Access 2020, 8, 151535. [Google Scholar] [CrossRef]
- Wang, X.Y.; Min, X.T.; Zhou, P.F.; Yu, D.S. Hyperchaotic Circuit Based on Memristor Feedback with Multistability and Symmetries. Complexity 2020, 2020, 2620375. [Google Scholar] [CrossRef]
- Bao, B.C.; Bao, H.; Wang, N.; Chen, M.; Xu, Q. Hidden Extreme Multistability in Memristive Hyperchaotic System. Chaos Solitons Fractals 2017, 94, 102. [Google Scholar] [CrossRef]
- Prousalis, D.A.; Volos, C.K.; Stouboulos, I.N.; Kyprianidis, I.M. Hyperchaotic Memristive System with Hidden Attractors and Its Adaptive Control Scheme. Nonlinear Dyn. 2017, 90, 1681. [Google Scholar] [CrossRef]
- Rajagopal, K.; Bayani, A.; Khalaf, A.J.M.; Namazi, H.; Jafari, S.; Pham, V.T. A No-equilibrium Memristive System with Four-wing Hyperchaotic Attractor. Int. J. Electron. Commun. 2018, 95, 207. [Google Scholar] [CrossRef]
- Bassanelli, G.; Berteloot, F. Lyapunov Exponents, Bifurcation Currents and Laminations in Bifurcation Loci. Math. Ann. 2009, 345, 1. [Google Scholar] [CrossRef]
- Spinetti-Rivera, M.; Olm, J.M.; Biel, D.; Fossas, E. Bifurcation Analysis of A Lyapunov-based Controlled Boost Converter. Commun. Nonlinear Sci. Numer. Simul. 2013, 18, 3108. [Google Scholar] [CrossRef]
- Sun, K.H.; He, S.B.; Zhu, C.X.; He, Y. Analysis of Chaotic Complexity Characteristics Based on C0 Algorithm. Acta Electon. Sin. 2013, 41, 1765. [Google Scholar]
- Natiq, H.; Said, M.R.M.; Al-Saidi, N.M.G.; Kilicman, A. Dynamics and Complexity of a New 4D Chaotic Laser System. Entropy 2013, 21, 34. [Google Scholar] [CrossRef]
- He, S.B.; Sun, K.H.; Zhu, C.X. Complexity Analyses of Multi-wing Chaotic Systems. Chin. Phys. B 2013, 22, 050506. [Google Scholar] [CrossRef]
- Glasner, E.; Weiss, B. Sensitive Dependence on Initial Conditions. Nonlinearity 1993, 6, 1067. [Google Scholar] [CrossRef]
- Chen, C.J.; Chen, J.Q.; Bao, H.; Chen, M.; Bao, B.C. Coexisting Multi-stable Patterns in Memristor Synapse-coupled Hopfield Neural Network with Two Neurons. Nonlinear Dyn. 2019, 95, 3385. [Google Scholar] [CrossRef]
- Wang, G.Y.; Yuan, F.; Chen, G.R.; Zhang, Y. Coexisting Multiple Attractors and Riddled Basins of A Memristive System. Chaos 2018, 28, 013125. [Google Scholar] [CrossRef]
- Lai, Q.; Chen, C.Y.; Zhao, X.W.; Kengne, J.; Volos, C. Constructing Chaotic System With Multiple Coexisting Attractors. IEEE Access 2019, 7, 24051. [Google Scholar] [CrossRef]
- Li, C.; Min, F.H.; Li, C.B. Multiple Coexisting Attractors of the Serial–parallel Memristor-based Chaotic System and Its Adaptive Generalized Synchronization. Nonlinear Dyn. 2018, 94, 2785. [Google Scholar] [CrossRef]
- Cui, L.; Luo, W.H.; Ou, Q.L. Analysis of Basins of Attraction of New Coupled Hidden Attractor System. Chaos Solitons Fractals 2021, 146, 110913. [Google Scholar] [CrossRef]
- Ding, L.; Cui, L.; Yu, F.; Jin, J. Basin of Attraction Analysis of New Memristor-Based Fractional-Order Chaotic System. Complexity 2021, 2021, 5578339. [Google Scholar] [CrossRef]
- Wang, X.; Pham, V.T.; Jafari, S.; Volos, C.; Munoz-Pacheco, J.M.; Tlelo-Cuautle, E. A New Chaotic System With Stable Equilibrium: From Theoretical Model to Circuit Implementation. IEEE Access 2017, 5, 8851. [Google Scholar] [CrossRef]
- Rezk, A.A.; Madian, A.H.; Radwan, A.G.; Saliman, A.M. Reconfigurable Chaotic Pseudo Random Number Generator Based on FPGA. Int. J. Electron. Commun. 2019, 98, 174. [Google Scholar] [CrossRef]
- Kumar, T.N.; Almurib, H.A.F.; Lombardi, F. Design of A Memristor-based Look-up Table (LUT) for Low-energy Operation of FPGAs. Integration 2016, 55, 1. [Google Scholar] [CrossRef]
- Alombah, N.H.; Tchendjeu, A.E.T.; Romanic, K.; Talla, F.C.; Fotsin, H.B. FPGA Implementation of a Novel Two-internal-State Memristor and its Two Component Chaotic Circuit. Indian J. Sci. Technol. 2021, 14, 2257. [Google Scholar] [CrossRef]
- Hagras, E.A.A.; Saber, M. Low Power and High-speed FPGA Implementation for 4D Memristor Chaotic System for Image Encryption. Multimed. Tools Appl. 2020, 79, 23203. [Google Scholar] [CrossRef]
- Yu, F.; Li, L.X.; He, B.Y.; Liu, L.; Qian, S.; Huang, Y.Y. Design and FPGA Implementation of a Pseudorandom Number Generator Based on a Four-Wing Memristive Hyperchaotic System and Bernoulli Map. IEEE Access 2019, 7, 181884. [Google Scholar] [CrossRef]
- Wang, R.; Li, C.B.; Cicek, S.; Rajagopal, K.; Zhang, X. A Memristive Hyperjerk Chaotic System: Amplitude Control, FPGA Design, and Prediction with Artificial Neural Network. Complexity 2021, 2021, 6636813. [Google Scholar]
- Yu, F.; Liu, L.; He, B.Y.; Huang, Y.Y.; Shi, C.Q.; Cai, S. Recent Advances in Modeling, Analysis, and Synchronization of Chaotic Systems. Complexity 2019, 2019, 4047957. [Google Scholar]
- Jia, S.H.; Li, Y.X.; Shi, Q.Y.; Huang, X. Design and FPGA Implementation of A Memristor-based Multi-scroll Hyperchaotic System. Chin. Phys. B 2022, 87, 070505. [Google Scholar] [CrossRef]
- Kuznetsov, N.V.; Mokaev, T.N.; Vasilyev, P.A. Numerical Justification of Leonov Conjecture on Lyapunov Dimension of Rossler Attractor. Commun. Nonlinear Sci. Numer. Simul. 2014, 19, 1027. [Google Scholar] [CrossRef]























| No. | Parameter a | Lyapunov Exponents | State | Lyapunov Dimension |
|---|---|---|---|---|
| 1 | 0.01 | 0.0609, 0.0144, 0, −0.0529 | Hyperchaos | 4.4234 |
| 2 | 0.65 | 0.0156, 0, 0, −0.0112 | Chaos | 4.3929 |
| 3 | 4.69 | 0.1745, 0, −0.0118, −0.1566 | Chaos | 4.0389 |
| 4 | 6.00 | 0.0388, 0.0125, 0, −0.0440 | Hyperchaos | 4.1659 |
| 5 | 10.70 | 0.0123, 0.0115, 0, −0.0144 | Hyperchaos | 4.6528 |
| 6 | 43.90 | 0.0140, 0.0078, 0, −0.0133 | Hyperchaos | 4.6391 |
| 7 | 100.00 | 0.0112, 0.0108, 0, −0.0128 | Hyperchaos | 4.7188 |
| 8 | 160.00 | 0.0112, 0.0092, 0, −0.0127 | Hyperchaos | 4.6063 |
| 9 | 182.50 | 0.0108, 0.0091, 0, −0.0127 | Hyperchaos | 4.5669 |
| No. | Parameter b | Lyapunov Exponents | State | Lyapunov Dimension |
|---|---|---|---|---|
| 1 | 0.01 | 0.0152, 0, 0, −0.0174 | Chaos | 3.8736 |
| 2 | 0.11 | 0.0103, 0.0100, 0, −0.0134 | Hyperchaos | 4.5149 |
| 3 | 0.21 | 0.0111, 0.0086, 0, −0.0139 | Hyperchaos | 4.4173 |
| 4 | 0.50 | 0.0139, 0.0058, 0, −0.0115 | Hyperchaos | 4.7130 |
| 5 | 0.53 | 0.0151, 0.0053, 0, −0.0122 | Hyperchaos | 4.6721 |
| 6 | 0.57 | 0.0157, 0.0076, 0, −0.0124 | Hyperchaos | 4.8790 |
| 7 | 3.80 | 0.1138, 0, −0.0143, −0.1006 | Chaos | 3.9891 |
| 8 | 49.60 | 0.0142, 0, 0, −0.0161 | Chaos | 3.8820 |
| 9 | 54.60 | 0.0172, 0, 0, −0.0187 | Chaos | 3.9198 |
| No. | Parameter c | Lyapunov Exponents | State | Lyapunov Dimension |
|---|---|---|---|---|
| 1 | 0.01 | 0.0505, 0.0080, 0, −0.0575 | Hyperchaos | 4.0174 |
| 2 | 0.30 | 0.0156, 0.0118, 0, −0.0163 | Hyperchaos | 4.6810 |
| 3 | 0.71 | 0.1225, 0.0124, 0, −0.1212 | Hyperchaos | 4.1130 |
| 4 | 1.12 | 0.0103, 0.0053, 0, −0.0115 | Hyperchaos | 4.3565 |
| 5 | 2.95 | 0.0171, 0, 0, −0.0130 | Chaos | 4.3154 |
| 6 | 3.18 | 0.0173, 0.0070, 0, −0.0125 | Hyperchaos | 4.9440 |
| 7 | 3.74 | 0.0166, 0, −0.0077, −0.0122 | Chaos | 3.7295 |
| 8 | 4.38 | 0.0159, 0, 0, −0.0156 | Chaos | 4.0192 |
| 9 | 11.15 | 0.0192, 0, 0, −0.0184 | Chaos | 4.0435 |
| Parameter a | Parameter b | Lyapunov Exponents | Lyapunov Dimension | Dynamic Behavior |
|---|---|---|---|---|
| 8 | 1 | 0.0433, 0.0159, 0, −0.0521 | 4.1363 | hyperchaotic state |
| 200 | 1 | 0.0495, 0.0079, 0, −0.0366 | 4.5683 | hyperchaotic state |
| 8 | 100 | 0.0478, 0, 0, −0.0524 | 4.1363 | chaotic state |
| 1000 | 100 | 0.0617, 0, −0.0172, −0.0501 | 3.8882 | chaotic state |
| Changed Initial Variable Values | Initial Conditions | Figure 19 |
|---|---|---|
| , | = (13, 1, 0.1, 0.1), = (−13, −1, 0.1, 0.1) | (a), (d) |
| , | = (−12, 0.1, 3, 0.1), = (−12, 0.1, −3, 0.1) | (b), (e) |
| , | = (2, 0.1, 0.1, 0.01), = (2, 0.1, 0.1, −0.01) | (c), (f) |
| , | = (0.1, −3, 3, 0.1), = (0.1, −3, −3, 0.1) | (g), (j) |
| , | = (0.1, 0.5, 0.1, 2), = (0.1, 0.5, 0.1, −2) | (h), (k) |
| , | = (0.1, 0.1, 2, −2), = (0.1, 0.1, −2, 2) | (i), (l) |
Disclaimer/Publisher’s Note: The statements, opinions and data contained in all publications are solely those of the individual author(s) and contributor(s) and not of MDPI and/or the editor(s). MDPI and/or the editor(s) disclaim responsibility for any injury to people or property resulting from any ideas, methods, instructions or products referred to in the content. |
© 2023 by the authors. Licensee MDPI, Basel, Switzerland. This article is an open access article distributed under the terms and conditions of the Creative Commons Attribution (CC BY) license (https://creativecommons.org/licenses/by/4.0/).
Share and Cite
Yang, G.; Zhang, X.; Moshayedi, A.J. Implementation of the Simple Hyperchaotic Memristor Circuit with Attractor Evolution and Large-Scale Parameter Permission. Entropy 2023, 25, 203. https://doi.org/10.3390/e25020203
Yang G, Zhang X, Moshayedi AJ. Implementation of the Simple Hyperchaotic Memristor Circuit with Attractor Evolution and Large-Scale Parameter Permission. Entropy. 2023; 25(2):203. https://doi.org/10.3390/e25020203
Chicago/Turabian StyleYang, Gang, Xiaohong Zhang, and Ata Jahangir Moshayedi. 2023. "Implementation of the Simple Hyperchaotic Memristor Circuit with Attractor Evolution and Large-Scale Parameter Permission" Entropy 25, no. 2: 203. https://doi.org/10.3390/e25020203
APA StyleYang, G., Zhang, X., & Moshayedi, A. J. (2023). Implementation of the Simple Hyperchaotic Memristor Circuit with Attractor Evolution and Large-Scale Parameter Permission. Entropy, 25(2), 203. https://doi.org/10.3390/e25020203

