Next Article in Journal
A Framework for Enhancing Stock Investment Performance by Predicting Important Trading Points with Return-Adaptive Piecewise Linear Representation and Batch Attention Multi-Scale Convolutional Recurrent Neural Network
Next Article in Special Issue
Generalized Quantum Convolution for Multidimensional Data
Previous Article in Journal
A Note on the Mixing Factor of Polar Codes
Previous Article in Special Issue
Quantum Honeypots
 
 
Font Type:
Arial Georgia Verdana
Font Size:
Aa Aa Aa
Line Spacing:
Column Width:
Background:
Article

Principal Component Analysis and t-Distributed Stochastic Neighbor Embedding Analysis in the Study of Quantum Approximate Optimization Algorithm Entangled and Non-Entangled Mixing Operators

1
Centro de Investigación en Computación, Instituto Politécnico Nacional, Mexico City 07738, Mexico
2
Research Center for Quantum Physics, Huzhou University, Huzhou 310003, China
*
Authors to whom correspondence should be addressed.
Entropy 2023, 25(11), 1499; https://doi.org/10.3390/e25111499
Submission received: 13 September 2023 / Revised: 16 October 2023 / Accepted: 17 October 2023 / Published: 30 October 2023
(This article belongs to the Special Issue Advances in Quantum Computing)

Abstract

:
In this paper, we employ PCA and t-SNE analyses to gain deeper insights into the behavior of entangled and non-entangled mixing operators within the Quantum Approximate Optimization Algorithm (QAOA) at various depths. We utilize a dataset containing optimized parameters generated for max-cut problems with cyclic and complete configurations. This dataset encompasses the resulting R Z , R X , and R Y parameters for QAOA models at different depths ( 1 L , 2 L , and 3 L ) with or without an entanglement stage within the mixing operator. Our findings reveal distinct behaviors when processing the different parameters with PCA and t-SNE. Specifically, most of the entangled QAOA models demonstrate an enhanced capacity to preserve information in the mapping, along with a greater level of correlated information detectable by PCA and t-SNE. Analyzing the overall mapping results, a clear differentiation emerges between entangled and non-entangled models. This distinction is quantified numerically through explained variance in PCA and Kullback–Leibler divergence (post-optimization) in t-SNE. These disparities are also visually evident in the mapping data produced by both methods, with certain entangled QAOA models displaying clustering effects in both visualization techniques.

1. Introduction

The analysis of how Variational Quantum Algorithms (VQAs) work has been extensively studied in recent years [1,2,3,4,5]. In particular, the Quantum Approximate Optimization Algorithm (QAOA) has garnered much attention in the research community [6,7]. One of the most exciting aspects of analyzing these algorithms is understanding how they explore the problem space, what relationships exist between the rotation gates used in the circuit [6,8], and how these gates impact the overall performance of the algorithm [2,5,9]. Previous studies have attempted to shed light on these aspects [10,11] and also study the relationship between the Hamiltonian structure of a certain problem and the landscape (search space) generated [12,13]. However, as quantum hardware becomes more complex and quantum circuits become deeper, the need for a better understanding of these algorithms becomes even more critical [14,15].
In general, the analysis of QAOAs can be influenced by factors such as circuit depth and optimization strategies, which may impact the accuracy of problem results. Studies in this area often focus on the problem landscape representation, which is a critical aspect to consider when studying QAOAs from a problem resolution perspective [2,4,16,17]. However, it is important to note that there are other crucial aspects to consider when studying QAOAs, such as the extraction of information about the underlying models and their potential limitations or strengths, prior to their application to specific problems; e.g., max-sat, max-cut, Ising model, etcetera [18,19,20,21].
In this paper, our primary objective is to contribute to the existing body of knowledge by conducting an in-depth analysis of entangled and non-entangled mixing operators within the context of QAOAs. We leverage Principal Component Analysis (PCA) and t-distributed Stochastic Neighbor Embedding (t-SNE) techniques to scrutinize the parameters generated within the R Z , R X , and R Y gates across various QAOA models at different depths ( 1 L , 2 L , and 3 L ).
Our overarching goal is to discern unique patterns of behavior that can offer valuable insights into how QAOA gate parameters behave under different scenarios; specifically, whether there are discernible differences in parameter distribution when an entanglement stage is present or absent in the mixing operator. Furthermore, we aim to present a clear and insightful visualization of these behaviors, both numerically and graphically, to enhance our understanding of the underlying dynamics of the mixing operator.
Some notable examples of visualization studies in VQAs are the works by Moussa et al. (2022) [22] and Rudolph et al. (2021) [13]. In Moussa et al. (2022), t-SNE was utilized as a preprocessing step to reveal clustering tendencies in QUBO problems and assist in determining the parameters for the QAOA. They also explored the use of supervised techniques when clusters did not adequately represent the corresponding points, leading to a more effective prediction of QAOA parameters. Rudolph et al. (2021) conducted an analysis of various visualization techniques, including PCA, applied to different VQAs. Their focus was on generating a mapping of the optimization landscape for specific problems, as well as studying aspects of parameter concentration in QAOAs, and other phenomena.
In contrast, our study focuses specifically on the representation, visualization, and information extraction from the resulting QAOA parameters, which are the R Z , R X , and R Y gate values, acquired from the max-cut problem dataset. We evaluate the effectiveness of PCA and t-SNE strategies in providing comprehensive insights into the models. This evaluation encompasses both graphical representations and internal metrics derived from both methods.

2. Motivation and Methodology

The motivation for this work is rooted in the concepts discussed by D. Koch et al. (2020) [6], particularly in Lesson 10 referred to the QAOA. In their work, the authors raise the notion that the conventional mixing operator, which includes R X and R Y gates with individual gate rotations, may prove inadequate in exploring all the feasible states within the associated Hilbert space of the system. This limitation becomes particularly prominent in scenarios involving high-dimensional spaces, where individual rotations often lead to separable states, thereby impacting the overall effectiveness of the QAOA algorithm.
In response to the challenge of limited state reachability, discussed by D. Koch et al. (2020) [6], the proposed solution involves the incorporation of an entanglement stage within the mixing operator. This modification enables access to entangled states, which constitute the majority of possible states in composite quantum systems of two or more qubits. The specific structure or properties of the entanglement stage were not detailed in their work. While there have been various studies exploring the structure of entanglement stages in quantum circuits, this remains a topic with many unanswered questions and areas for further research [23,24,25].

2.1. Motivation for Studying Entangled and Non-Entangled Mixing Operator

Considering the previous ideas, several questions that motivate this work arise: Is there an observable difference in the distribution of parameter values generated by the mixing operator when we introduce an entanglement stage? Can visualization techniques like PCA or t-SNE reveal visual and/or numerical disparities in the distribution of parameter values between mixing operators with and without an entanglement stage?
In our quest to address these questions, we conducted a comprehensive review of the state of the art. Our objective was to explore whether any existing research had analyzed the distribution of parameter values across a set of solutions for a specific problem, with a particular emphasis on the visualization aspect. However, our findings indicated a gap in the literature. Most research in this domain tends to analyze each individual experiment separately and often employs techniques such as heatmaps to examine the landscape of the solution space.
While we encountered some works that touched upon related aspects, such as Moussa et al. (2022) [22] and Rudolph et al. (2021) [13], these studies primarily focused on different facets of VQAs and optimization. Their specific emphases did not align with the questions that we were trying to solve in our research. Consequently, our study represents a unique contribution to the field, shedding light on the distribution of parameter values in the context of entangled and non-entangled mixing operators within the QAOA.
In the following sections, we explain the results obtained to answer these questions, where indeed the results show differences in the mapping data (both numerically and visually) using PCA and t-SNE as our visualization techniques when we encounter an entanglement stage in the mixing operator.

2.2. Methodology of QAOA Dataset Usage

In this paper, we utilized a dataset containing the optimized parameters acquired for the phase ( R Z gates) and mixing operators ( R X and R Y gates). These parameters were obtained by applying the Quantum Approximate Optimization Algorithm (QAOA) in conjunction with the Stochastic Hill Climbing with Random Restarts (SHC-RR) optimization method to a series of max-cut problems. SHC-RR does not exhibit a specific tendency in its exploration of the search space, making it a more unbiased strategy suitable for data generation.
The dataset of optimized max-cut problems was created for an upcoming study, which also involves an analysis of QAOAs. In this work, we do not delve into the methodology of solving the max-cut problems using QAOAs or assess the quality of the optimized solutions provided in the dataset. Our sole focus is on utilizing the generated parameters associated with the optimized solutions for a set of max-cut problems. For comprehensive results, including the optimized parameters, please refer to reference [26].
Additionally, it is important to note that our analysis in this study does not consider the expected energy value or evaluated cost obtained from the solution of a particular experiment in a max-cut problem.
The dataset comprises the parameters obtained with QAOAs using SHC-RR to solve max-cut problems with cyclic and complete configurations, involving different numbers of nodes: 4 nodes (4n), 10 nodes (10n), and 15 nodes (15n). Each problem was simulated 100 times, where different QAOA depths were tested, including 1 L , 2 L , and 3 L . Additionally, each QAOA model was evaluated both with and without an entanglement stage (for every depth) in the mixing operators.
The dataset generated for a particular model and problem contains 100 simulations, each representing different solution scenarios due to the inherent variability of SHC-RR in parameter distributions. Therefore, we do not consider the quality of the solution, as each simulation could yield a better or worse-optimized result. The primary focus of this research is to extract the properties of the parameters without factoring in the quality of the solution. This approach is valid because the only difference between the compared models is the presence or absence of the entanglement stage in the mixing operator. In this comparison, the depth ( 1 L , 2 L , or 3 L ), problem type (configuration and number of nodes), and optimization method (SHC-RR) are held constant across all compared models.
PCA and t-SNE are employed in two distinct ways to analyze the QAOA models. In individual analysis, each method is applied to a specific QAOA model depth either with or without an entanglement stage in the mixing operator, for a particular max-cut problem dataset. This yields numeric and graphical results for each method, allowing us to compare the individual outcomes.
In paired analysis, we directly compare the entangled and non-entangled QAOA models (with the same depth) using a single PCA or t-SNE model. In other words, one PCA or t-SNE model is applied to the values from both datasets of QAOA parameters, representing the entangled and non-entangled versions of the QAOA model at a specific depth.
These two approaches applied to the QAOA datasets provide us with a comprehensive understanding of how the entangled and non-entangled mixing operators behave under different conditions.

3. Problems to Analyze

To provide a comprehensive foundation for understanding the differences between entangled and non-entangled mixing operators in the context of the Hamiltonian and circuit structure, this section has been developed.
We commence by offering a general overview of the max-cut problem, which serves as the basis for the dataset’s content. Subsequently, we explore the fundamental structure of the phase operator, which plays a crucial role in comprehending the two distinct types of max-cut problems found in the dataset. Finally, we arrive at the crux of our investigation: the representation of both entangled and non-entangled mixing operators. This representation is of paramount importance, as it sets the stage for subsequent visualization and numerical analyses. It also plays a pivotal role in differentiating the entangled and non-entangled QAOA models, alongside the depth factor.

3.1. Max-Cut Problem

A maximum cut (max-cut) problem is a combinatorial optimization problem that is often used in the field of both quantum and classical computer science, and operations research. In this problem, one is given an undirected graph where each edge is associated with a weight, and the goal is to partition the vertices of the graph into two sets, called A and B, in such a way that the sum of the weights of the edges that cross between these two sets is maximized.
In Figure 1, we illustrate the process of solving a max-cut problem using a simple example. The graph in question consists of four nodes labeled from 1 to 4. To find the optimal solution, we divide the graph into two distinct groups: Group A, comprising nodes 1 and 3, and Group B, comprising nodes 2 and 4. It is important to note that, in this example and in the parameters dataset, the weighted connections between nodes are considered to be unitary, each with a value of 1. Given this assumption, the solution comes from determining the number of connections that cross between the two groups, which transition from the green-colored nodes (Group A) to the red-colored nodes (Group B). In this particular example, we observe four such connections.
When applying QAOA to address max-cut problems, the solution entails a set of values assigned to the gates of the phase and mixing operators, effectively determining the state with the highest probability of representing the optimal solution. Referring back to our previous example, this solution could manifest as either | 0101 or | 1010 state, each with an associated probability. In this representation, qubits in state 0 correspond to one group, while those in state 1 correspond to the other group. The aim is to maximize the probability of obtaining the correct solution state, ideally approaching a probability close to 100 % , contingent on the quality of the QAOA model, which encompasses factors such as gate parameter precision and the number of parameters employed.

3.2. Hamiltonian and Circuit Description

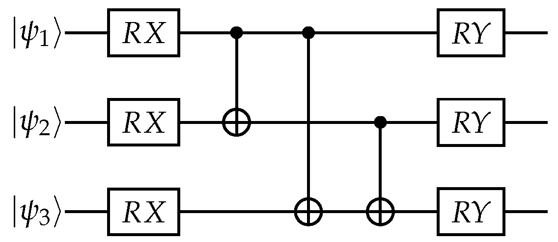
Transitioning to the discussion of the Hamiltonian and circuit description, we begin by elucidating the distinctions between the non-entangled and entangled mixing operators, as depicted in the figure below.
Within the dataset, each of the QAOA models’ depth has a different number of parameters, namely, the 1 L model has one set of R Z , R Z , and R Y parameter values, the 2 L model has two sets of R Z , R X , and R Y parameter values, and the 3 L model has three sets of R Z , R X , and R Y parameter values. Each QAOA model is evaluated both with and without the inclusion of an entanglement stage in the mixing operator (see Figure 2).
In Figure 3, we provide a visual representation of the various levels of QAOA quantum circuit depths. Each of the 1 L , 2 L , and 3 L depths corresponds to the number of pairs of phase and mixing operator applications in the QAOA model dataset, 1 L being a pair of operators, 2 L two pairs of operators, and 3 L three pairs of operators. Detailed explanations of these operators will be presented in the following sections.
As a side note, each of the 10 and 15-node problem datasets contain experiments using 1 L , 2 L , and 3 L depths. However, for the four-node problem datasets, we have only depths of 1 L and 2 L due to their relatively simpler nature.
The Hamiltonian configurations for dataset problems can be viewed in the following phase operators for the cyclic and complete configuration.
U ( H c y c , γ ) = e i γ H c y c = j , k e i γ Z j Z k
In the max-cut problem with the cyclic configuration, the representation of the phase operator can be expressed using Equation (1), where j , k denotes the notation for neighboring nodes. For instance, in the case of the four-node problem, this equation can be interpreted as connections between nodes 1 to 2, nodes 2 to 3, nodes 3 to 4, and nodes 4 to 1, where the final connection completes the cycle.
U ( H c o m , γ ) = e i γ H c o m = j , k j k e i γ Z j Z k
For the complete configuration, the representation for the phase operator follows Equation (2). In this case, there is a connection between every pair of nodes in the graph, excluding self-connections j , k j k . Also, connections between nodes are not repeated, meaning that a connection from node j to node k is considered the same as a connection from node k to node j. This is due to the absence of directionality in the max-cut problem.
U ( H B , β 1 , β 2 ) = e i β 1 β 2 H B = j e i β 1 X j e i β 2 Y j ,
The mixing operator without entanglement for both max-cut configurations is represented by Equation (3). This equation includes R X and R Y rotations in the mixing operator with the associated parameters for each gate.
The entangled mixing operator includes an additional term compared to the non-entangled case. This term is generated by applying C N O T gates between each qubit (node) in the system, similar to the complete configuration. The equation representing the C N O T action is as follows:
e i π 4 I Z I X = I 0 0 X = 1 0 0 0 0 1 0 0 0 0 0 1 0 0 1 0 ,
to represent the entangled mixing operator in our notation, we use the expression e i I j X k to indicate that qubit j is controlling qubit k as the target. By adding the term e i I j X k to the previous mixing operator without entanglement, we obtain the following expression:
U ( H B , β 1 , β 2 ) = e i β 1 β 2 H B = j e i β 1 X j j , k j k e i I j X k j e i β 2 Y j ,
which represents the mixing operator with an entanglement stage between the R X and R Y rotations. The entanglement stage generates interactions between each pair of qubits in the system, ensuring that there are no repeated interactions and no self-interactions.
The quantum circuit representation of the two types of tested mixing operators can be seen in Figure 4 and Figure 5. Figure 4 corresponds to the non-entangled mixing operator, while Figure 5 corresponds to the entangled mixing operator.
Both methods (PCA and t-SNE) are applied to each model, where the models are 1 L considering one phase operator with one associated parameter γ and one mixing operator with two associated parameters β 1 and β 2 ; a 2 L model that has two phase operators with γ 1 and γ 2 and two mixing operators (connected between each phase operator, one per operator) with β 1 1 , β 1 2 , and β 2 1 and β 2 2 ; and a 3 L model that was tested for some problems (not all) with γ 1 , γ 2 , and γ 3 with the corresponding six parameters for the three mixing operators (two for each operator, as in the previous cases).

4. PCA and t-SNE Description

In this section, we explain how the PCA and t-SNE approach is used to analyze the properties of the QAOA dataset.

4.1. PCA

Principal component analysis is a method (with statistical or geometric interpretation) that aims to reduce the dimensionality of a dataset, retaining as much of the original information as possible [27,28].
PCA operates by employing specific structures known as principal components, which are designed to capture the maximum variance in the directions they are projected. Utilizing these principal components, we have the ability to transform the original data into a new coordinate system. Typically, the first two principal components are used for this transformation, enabling the data to be visualized in a more interpretable and meaningful manner [27,28].
In our study, our PCA process commenced with the calculation of the covariance between a pair of the resulting parameter values of R Z , R X , and R Y gates obtained from a particular experiment within the dataset. It is important to note that there could be multiple sets of values depending on the model under consideration.
c o v ( i , j ) = 1 n 1 k = 1 n x k , i x k , j
We use Equation (6) to calculate the covariance between parameters of the R Z and R X , R Z and R Y , and R X and R Y gates, where n takes a value of 100, which is the number of experiments performed for each QAOA model in a particular max-cut problem.
Σ = i j c o v ( i , j )
Then, we calculate the eigenvalues and eigenvectors of the resulting covariance matrix (Equation (7)) for the parameters of a certain model in the dataset.
Let i = 1 , 2 , , n , where n < N is the number of principal components and N is the dimension of the original data. Let θ = [ θ 1 , θ 2 , , θ N ] be the original data vector, P i T be the transpose of the eigenvector matrix (obtained using Σ ), and ϕ = [ ϕ 1 , ϕ 2 , , ϕ n ] be the resulting transformed vector in the principal component space. The projection using PCA can be described as follows:
ϕ i = P i T θ i ,
where Equation (8) represents the projection (via the dot product between P i T and θ i ) onto a principal component i represented by ϕ i . This process is then repeated to obtain all the principal components, where each new component is orthogonal to the previous ones.
V a r ( ϕ 1 ) V a r ( ϕ 2 ) V a r ( ϕ i ) > 0
The variance of the principal components follows the relationship described by Equation (9). This equation indicates that the variance of the principal components generally decreases as the index increases. Consequently, higher index values correspond to a reduced amount of variance information contained in the data.

4.2. t-SNE

The t-distributed stochastic neighbor embedding method is similar to PCA in the sense that it is used as an algorithm for data visualization and dimensionality reduction. The main difference (besides the methodology) with t-SNE is its capability to represent non-linear relationships in the data and its ability to preserve the high-dimensional structure of the original data into a lower-dimensional space [29,30].
The t-SNE algorithm creates pairwise similarities using a Gaussian kernel by measuring the distance between the points in the original dataset. Then, the algorithm generates probability distributions over pairs of points, where the probability of being similar is related to the pairwise similarity. The resulting selected objects get mapped to a similar probability distribution in a lower-dimensional space. The algorithm minimizes the difference between the two selected distributions with the objective of finding a lower-dimensional representation that preserves the original data structure [29,30].
Similar to the PCA method, our approach involves utilizing the parameters of the R Z , R X , and R Y gates for algorithm development. In this instance, we compute pairwise similarities by measuring the distance between each pair of parameter gate values within the dataset.
p i j = p j | i + p i | j 2 n
In the equations, p j | i and p i | j represent the conditional probabilities of a point j given point i and vice versa, with n denoting the total number of points in the dataset. Notably, for t-SNE, p i i and p j j are both zero, and p i j is equivalent to p j i . Equation (10) is responsible for computing pairwise similarities within the original space. For instance, it calculates the similarity between a specific parameter of an R Z gate and the parameter of an R X gate. This calculation is repeated for each pair of parameter gate values in the dataset, specific to a given QAOA model. Then,
q i j = 1 + y i y j 2 1 k l 1 + y k y l 2 1 ,
is applied to create the map candidates y = y 1 , y 2 , , y n in the lower dimensional space. These candidates are initially set randomly, commonly using a Gaussian distribution with a small variance centered at the origin. In order to find the best mapping relations, t-SNE minimizes the Kullback–Leibler divergence, given by:
K L ( P | | Q ) = i j p i j l o g p i j q i j

5. Experiments and Results

The PCA method attempts to find correlations between data by analyzing the variance between points in the dataset and then reducing the original attributes into a new basis with fewer dimensions. For the experiments performed in this study, we also obtained the explained variance to identify how much variance or information is presented in each component. To compare the entangled and non-entangled models, we performed a PCA model individually and for each pair of models (with compatible dimensions) that differed only in the entanglement stage of the mixing operator.
In t-SNE, we follow a similar procedure; however, t-SNE provides us with information about the relationships between the data using a different method. Specifically, t-SNE generates dimensionality reduction by modeling the data as a pairwise probability distribution, where each distribution represents the likelihood of each data point being related to other data points. During the process of representing the data in a lower-dimensional space, the algorithm reduces the Kullback–Leibler divergence, which is based on the relative Shannon entropy. The new represented data hold as much information as possible from the original data points. In our experiments, we also obtained the Kullback–Leibler divergence (KL-Divergence) after optimization, which represents the amount of information loss in the final embedding. A low divergence value is generally considered as better, as it indicates that the low-dimensional embedding is a good representation of the high-dimensional data, while a high divergence value indicates a significant loss of information in the final embedding. In simpler terms, a lower KL-Divergence value signifies better information preservation. This means that there are more detectable correlations between the data when utilizing t-SNE.

5.1. PCA Applied to QAOA Dataset

In our application of PCA to each dataset, we initially performed an individual PCA analysis using the first three PCA components and recorded the corresponding explained variance. Subsequently, we compared the individual PCA projections by pairing models that had the same number of parameter gate values (same dimensions). This comparison involved using the first three PCA components of both models and examining how the combined PCA projection differed from the original individual maps. This allowed us to assess the variations between the projections.
It is important to note that the PCA individual and paired approaches were applied to all three different levels of depth to establish a fair basis for comparison between models. For the 1 L depth level, which corresponds to the 3 p model (three parameters), PCA is not necessary for dimensionality reduction since the number of parameters is equal to the number of PCA components that we are seeking. However, employing PCA in this case allows us to identify correlations between the parameters, indicating the relative importance of certain gates within the QAOA. For the 2 L and 3 L depth levels, corresponding to the 6 p (six parameters) and 9 p (nine parameters) models, respectively, the first three PCA components provide information about parameter correlations within the QAOA as well as dimensionality reduction.
Table 1 presents the explained variances for the individual PCA projections for the 4n cyclic configuration max-cut problem. In the case of the first 1 L model, which comprises three parameters, we observed that the second row ( 3 p entangled model) exhibited a decrease in correlation in the first PCA component compared to the non-entangled model. This decrease in correlation suggests a reduced significance of this component in terms of representation importance.
However, the second and third values increased in the 3 p entangled model, indicating an increased contribution to the variance for the remaining PCA components.
For the 6 p parameter models, the entangled model demonstrated higher explained variance values when comparing the first three components. Consequently, the total amount of variance contained in the components increased.
In Figure 6, we present individual PCA graphs for the 4 n cyclic max-cut problem. The first two graphs of the red model (non-entangled 3 p ) exhibit particular line patterns for PCA 1 vs. PCA 2 and PCA 1 vs. PCA 3.
For the blue (entangled 3 p ) model, a similar line behavior is observed in the first graph (PCA 1 vs. PCA 2) with one more line compared to the non-entangled model. For the last two graphs, PCA 1 vs. PCA 3 and PCA 2 vs. PCA 3, a separation pattern with two groups is visible.
In the 6 p parameter ( 2 L depth) models, the green model (non-entangled) does not exhibit any recognizable pattern or cluster in the graphs. For the purple (entangled) model, PCA 1 vs. PCA 2 has three distinct cluster lines, but no recognizable patterns are observed in the rest of the planes.
In the case of using a pair PCA model in the 4n cyclic max-cut problem for the 3 p and 6 p , the results for the PCA components are shown in Table 2. The PCA explained values for the 3 p pair model follow an intermediate trend between the entangled and non-entangled models of the separate PCA model.
For the 6 p pair model, the variance of the PCA components seems to be closer to the 6 p non-entangled model from the separate PCA models. Additionally, the sum of the first three components for the 6 p accounts for only 60 % of the information variance, which indicates that, for that type of model, it is harder to find a specific trend due to the low original information maintained in the new map.
In Figure 7, we present the pair PCA model for the 3 p and 6 p models. In the 3 p models (red non-entangled and blue entangled), we observe that the behavior from the individual graphs is preserved. However, when we have both entangled and non-entangled models, we can see how the data of the models are projected in different areas while still following the same patterns as in the previous graphs.
In the 6 p models, the previous patterns do not hold, and the distribution of projected points seems to be random in the majority of the graphs. Only the PCA 1 vs. PCA 3 graph shows some pattern with small centered line clusters for the entangled model (purple), while the non-entangled model (green) is more scattered compared to the purple data.

5.2. t-SNE Applied to QAOA Dataset

t-SNE was used as an additional method to identify patterns in the QAOA dataset. We aim to have multiple tools to extract information about the entanglement stage and investigate how these stages affect the overall relationships between the data.
We used different perplexity values for t-SNE analysis, which is an important parameter that determines the number of nearest neighbors used in the lower dimensional representation. We tested three different values of perplexity—3, 30 (the default value in the Sklearn package), and 99 (an extra value of 199 only for pair models)—with the goal of identifying different data behaviors at different perplexity levels. We used PCA for initialization embedding (inside t-SNE) as it provides a more globally stable solution compared to random initialization, which allows for a more precise comparison between models.
Also, as in the case of PCA, we created individual and paired t-SNE graphs for each dataset problem and for each model using 3 p parameters, 6 p parameters, and 9 p parameters (for the 10n and 15n problems).
For the first problem dataset, at a perplexity of 3, the non-entangled models had higher (worse) KL-D values after the mapping compared to the entangled models as shown in Table 3. At a perplexity of 30, the 3 p non-entangled model had a better (lower) KL-D value compared to the entangled model, and for the 6 p models, the entangled model still had a better KL-D value compared to the non-entangled one.
Finally, at 99 perplexity, all models showed good KL-D values, indicating a better mapping for all the perplexity values tested, where the non-entangled and entangled models had a slight difference and the non-entangled models performed slightly better at this perplexity; however, this can be considered as negligible.
The individual t-SNE graphs for the 4n cyclic max-cut problem are shown in Figure 8. For the 3 p non-entangled model (red), the most significant pattern can be observed at the 99 perplexity level, which has a linear pattern similar to the one obtained in the PCA graph for that particular model and problem dataset. For the 3 p entangled model (blue), the 30 perplexity level shows a two-cluster pattern, and the 99 perplexity level shows a circular pattern with no data points in the center of the plane.
For the 6 p non-entangled model (green), the 30 perplexity level has a similar distribution to the one obtained in the PCA individual graph for the same model, with a random distribution pattern. And, for the 6 p entangled model (purple), the most significant pattern can be observed at the 99 perplexity level, which has an external circle with a middle line pattern.
The KL-D values for the pair models in the 4n cyclic max-cut problem are presented in Table 4. Interestingly, all the best KL-D values were obtained by the 3 p models. Consistent with the individual t-SNE analysis, the best KL-D values were obtained with the highest perplexity value.
In the pair t-SNE models graphs (Figure 9) for the 4n cyclic max-cut problem dataset, we start by focusing on the 3 p models non-entangled and entangled (red and blue, respectively) at 199 perplexity. The line patterns of the red model are maintained, but the blue model shows a completely different distribution, where it has a similar pattern to the red model. The entangled model data contain the red points at the center, but, at the extremes, the red model seems to contain the blue data.
For the 6 p models non-entangled and entangled (green and purple, respectively), interesting results are seen at the 99 and 199 perplexity values. The purple model tends to be grouped in certain areas of the plane at 99 perplexity, while the green model has a random distribution in the plane with no particular pattern. For 199 perplexity, the patterns seen in the individual graphs are maintained, with an elliptical behavior, and, in particular, the purple model shows a line pattern at the center.

5.3. Results Analysis

In this subsection, we provide a comprehensive overview of our findings. We observed distinct parameter distribution patterns between entangled and non-entangled models across all datasets, whether in individual or paired analysis. Furthermore, numerical disparities were evident, as seen in the explained variance for PCA and KL-Divergence in t-SNE, highlighting the differences between the two mixing operator variants.
In the results obtained from the PCA method, the 3 p models (corresponding to the 1 L depth) for both cyclic and complete max-cut problems exhibit the best values for explained variance in the first three components. This is due to the fact that these models have the same number of parameters (dimensions) as the number of PCA components, resulting in no dimensionality reduction and no loss of information. This characteristic sets these models apart, and it is interesting to observe that there are differences between the components, indicating correlations between certain gate parameters within the QAOA. However, further studies are needed to determine the specific interactions between gates that are more significant, which are perceived as greater variances for certain PCA components.
From a graphical perspective, the 3 p models tend to exhibit linear pattern behaviors, where the type of problem where the parameter values come from contributes to a certain consistency in the observed patterns.
In the 6 p models (corresponding to 2 L depth) analyzed using PCA, we observe more interesting behaviors due to the increased complexity of these models. The dimensionality reduction provided by the first three PCA components allows for a more effective application of the PCA strategy overall.
Examining the results of explained variances in the individual PCA graphs for the cyclic configuration problem datasets of 4n, 10n, and 15n (Table 1, Table A3 and Table A7), we find that the entangled models consistently yield to better (higher) values in the PCA components. This behavior is interesting as it indicates a discernible difference between the entangled and non-entangled models. It suggests that the presence of the entanglement stage in the mixing operator leads to a greater amount of information (variance) contained in the QAOA parameters, which can be detected and maintained by the PCA method.
From a graphical standpoint, focusing on the PCA 1 vs. PCA 2 plane, which contains the most relevant or informative data, as seen in Figure 6, Figure A3 and Figure A9, there are noticeable differences between the non-entangled (green) and entangled (purple) models. In the case of the non-entangled models, the distribution of mapped data appears to be random, which can be attributed to the individual rotations (gates) of the model. On the other hand, the entangled models exhibit clustering behaviors, leading to distinct visual differences in the graphs. Despite the PCA method being unaware of the fact that the processed data originate from an entangled circuit, it is capable of detecting and representing the differences in data distribution.
Also, in the case of the 6 p models for complete configuration problems, the 4n, 10n, and 15n problem datasets (Table A1, Table A5 and Table A9), we observe a similar behavior as seen in the cyclic problem datasets. The entangled models consistently exhibit higher values in the PCA components compared to the non-entangled models, which could be seen in the individual variance for each PCA component (most cases) and the total amount of variance contained by the PCA model (all cases).
Examining the graphical representations (Figure A1, Figure A6 and Figure A12), most of the entangled models exhibit clustering behaviors, while the non-entangled models do not show a clear pattern or distribution. These observations further highlight the distinguishing characteristics between entangled and non-entangled models in terms of their PCA representations.
For the 9 p models ( 3 L depth), both in the cyclic and complete configurations, we once again observe higher PCA values for the entangled models regardless of the type of problem. However, it is important to note that the total amount of variance in the 9 p models is relatively low. Consequently, when examining the graphical representations (Figure A4, Figure A7, Figure A10 and Figure A13), we should not draw definitive conclusions. The observed behaviors or patterns in the graphs tend to vary from one problem to another. Therefore, further analysis and investigation are needed to fully understand the implications of the PCA results for 9 p (or more complex) models.
In the pair PCA models, we observed a decreasing trend in variances as the number of parameters increased, namely for the 3 p , 6 p , and 9 p models. It is important to note that the 3 p models should not be compared in the same manner as the 6 p and 9 p models due to the number of PCA components generated.
The purpose of the paired graphs (Figure 7, Figure A2, Figure A5, Figure A8, Figure A11 and Figure A14) was to determine if the individual behaviors could be captured within a pair PCA. This would suggest that differences between parameters in QAOA models could be detected within the same PCA. In most cases, the individual behaviors were indeed maintained in the pair graphs, supporting the notion that distinct parameter characteristics could be identified using the pair PCA approach.
For the t-SNE analysis, the results presented in Table 3, Table A11, Table A13, Table A15, Table A17 and Table A19 show a clear tendency of generating better (lower) KL-Divergence values for the entangled models, with the difference being more pronounced depending on the perplexity value.
In the individual t-SNE analysis, the best results were generally generated by the 3 p models. This can be attributed to the fact that these models have only three parameters (only one set of R Z , R X , and R Y gate parameters), and the t-SNE projection to the plane does not lose a significant amount of information in the process. The best KL values were reported at 99 perplexity, where all the models generated good values that were closer to zero.
For the paired t-SNE models presented in Table 4, Table A12, Table A14, Table A16, Table A18 and Table A20, the best KL values were also reported for the 3 p models. In this case, the quality of the reported values decreased as the number of parameters increased for the majority of perplexity values tested.
The worst KL values were obtained at 30 perplexity. At 199 perplexity, we obtained the best KL values, similar to the individual case at 99 perplexity. Most paired models generated good KL-Divergence values, indicating a better representation in the low-dimensional space when using the t-SNE method.
In the graphical results for the individual t-SNE models presented in Figure 8, Figure A15, Figure A17, Figure A18, Figure A20, Figure A21, Figure A23, Figure A24, Figure A26 and Figure A27, we selected the graphs generated at 99 perplexity as the best representation due to the value of the KL-Divergence value.
In the 3 p models, we observed similar behaviors as those observed in the PCA graphs. The non-entangled 3 p model (red) consistently exhibited a three-line cluster pattern across different problems and depths of the QAOA model. On the other hand, the entangled 3 p model (blue) showed varying patterns depending on the problem type and QAOA depth, often generating line clustering patterns, although they were not as well-defined as those of the non-entangled model.
For the 6 p models, we observed similar patterns between the entangled (purple) and non-entangled (green) models. At 99 perplexity, most of the graphs displayed an elliptical pattern, with the entangled models sometimes exhibiting more pronounced grouping behavior in certain areas of the plane. The same behavior observed in the 6 p models was also reported in the more complex 9 p models, where, at the highest perplexity, both non-entangled (orange) and entangled (brown) models generated elliptical patterns, with the non-entangled models exhibiting a more evenly distributed pattern around the ellipse.
In the paired t-SNE graphical results presented in Figure 9, Figure A16, Figure A19, Figure A22, Figure A25 and Figure A28, we observed distinct patterns and behaviors. In the 3 p models, at certain perplexity values, particularly higher perplexity values like 99 or 199, clear differences were observed between the non-entangled (red) and entangled (blue) models. This indicates that the paired t-SNE is capable of differentiating between different types of data within the model.
In some cases, the distributions observed in the individual graphs were maintained in the paired t-SNE plot, while, in other cases, similarities with the PCA graphs were observed. For the 6 p models, significant differences were observed between the non-entangled (green) and entangled (purple) models. The non-entangled model tended to exhibit a more random distribution in the t-SNE plane across different perplexity values, while the entangled model showed a tendency to be more concentrated in certain areas. At 199 perplexity, both models recreated the elliptical behavior observed in the individual graphs, where the entangled model exhibited differences compared to the individual graphs.
Specifically, the entangled model showed more clusters around a certain distribution, while the non-entangled model continued to exhibit a more evenly distributed pattern.
For the 9 p models, similar behaviors were observed as in the 6 p models. The non-entangled model (orange) tended to be more evenly distributed in the t-SNE plane across different perplexity values, and a clear elliptical pattern was generated at 199 perplexity. On the other hand, the entangled model (brown) displayed a tendency to be more grouped in certain areas of the plane at different perplexity values. At 199 perplexity, the entangled models followed the elliptical pattern but appeared more compressed in certain areas of the distribution.

6. Conclusions

PCA and t-SNE show graphical and numerical differences between the parameter distributions of the QAOA models: the entangled models achieved greater correlations while the non-entangled models showed lower levels of correlations between parameters in the different QAOA models datasets.
The PCA method reveals differences in the amount of variance contained in the PCA components depending on the type of model dataset processed. The entangled models consistently exhibit higher variance values, either in each PCA component or in the total amount of variance.
However, the PCA method is not suitable for achieving good mapping in a low-dimensional space for the datasets investigated in this work. We observed a significant reduction in the amount of information captured by the PCA components as the number of parameters increased. The most complex model tested ( 9 p parameters, 3 L layers of depth) usually contained less than 50% of the original variance in the first three PCA components.
In some cases, the paired PCA graphs were able to retain the patterns observed in the individual PCA graphs, which is important for visually distinguishing between entangled and non-entangled models.
In general, t-SNE, whether applied to individual or paired models, outperformed the PCA method. This can be observed from the KL-Divergence values obtained at different perplexities, indicating a better representation in the low-dimensional space.
In the individual t-SNE models, we also noticed variations in the KL values between non-entangled and entangled models. Broadly speaking, the entangled models displayed superior (lower) KL values, which we attribute to the presence of the entanglement stage in the mixing operator. This stage enhances the capacity to preserve correlation information arising from the relationships between parameter gate values, something that the t-SNE models can effectively capture.
Lastly, in the paired t-SNE models, clear differences were observed between non-entangled and entangled models at various perplexity values. For 3 p models, more linear pattern distributions were observed, while for 6 p and 9 p models, non-entangled models exhibited more random and elliptical distributions, whereas entangled models displayed a tendency to cluster while following a certain pattern depending on the dataset. These findings highlight the ability of t-SNE to visually distinguish the differences in data relationships between non-entangled and entangled models.

7. Future Work

For future research, it is important to conduct additional investigation into the interpretation of the observed distributions. At present, it is premature to conclude whether these specific patterns occur universally in all models with an entanglement stage, regardless of the problem. It is also unclear whether different patterns may emerge in other types of problems, indicating the presence or absence of an entanglement stage in QAOAs. Further exploration and analysis are necessary to gain a comprehensive understanding of these phenomena.
Additionally, it would be valuable to explore alternative optimization methods for QAOA dataset generation in order to compare the obtained results. This analysis would help to identify which behaviors persist across different optimization methods and which ones are influenced by the specific method employed to solve the presented problems.

Author Contributions

Conceptualization, B.G.S.; Methodology, B.G.S. and S.-H.D.; Software, B.G.S.; Validation, B.G.S., G.-H.S. and S.-H.D.; Formal analysis, B.G.S., G.-H.S. and S.-H.D.; Investigation, B.G.S., G.-H.S. and S.-H.D.; Resources, B.G.S.; Data curation, B.G.S.; Writing—original draft, B.G.S.; Writing—review & editing, G.-H.S. and S.-H.D.; Visualization, B.G.S.; Supervision, G.-H.S. and S.-H.D.; Project administration, G.-H.S. and S.-H.D.; Funding acquisition, G.-H.S. and S.-H.D. All authors have read and agreed to the published version of the manuscript.

Funding

The authors acknowledge the support of the projects 20230316-SIP-IPN, 20231289-SIP-IPN, Mexico.

Data Availability Statement

All the experiment data results can be found in https://github.com/BrianSarmina/QAOA_SHC-RR (accessed on 12 September 2023).

Acknowledgments

We would like to thank the referees for making invaluable suggestions and criticisms that have improved the manuscript greatly. The author, B. Sarmina, would like to express sincere gratitude and acknowledge the support of CONACYT (National Council for Science and Technology) of Mexico for providing a scholarship during his Ph.D. program in computer science at the Center for Computing Research of Instituto Politécnico Nacional. S. H. Dong started this work on the leave of IPN due to permission of research stay in China.

Conflicts of Interest

The authors declare no conflict of interest.

Abbreviations

The following abbreviations are used in this manuscript:
QAOAQuantum Approximate Optimization Algorithm
VQAVariational Quantum Algorithm
NISQNoisy Intermediate-Scale Quantum
PCAPrincipal Component Analysis
t-SNEt-distributed Stochastic Neighbor Embedding
KL-DivergenceKullback–Leibler Divergence
SHC-RRStochastic Hill Climbing with Random Restarts

Appendix A. PCA Variances and Graphs

In this appendix, we present the complementary results for the experiments developed in order to have a bigger set of results to generate better insights and conclusions about the PCA analysis (and the variances obtained) applied in the max-cut problems solved using QAOAs.
The PCA explained variance for the 4n complete max-cut problem is presented in Table A1. For the 3 p models, the entangled model exhibits more variance in PCA 1 and PCA 2. However, an interesting aspect to note is that the variance in PCA 3 for the entangled model is almost zero, which is a completely different phenomenon compared to the previous explained variances of the 4n cyclic problem. The variance for the 6 p models is closer to the one observed in the previous problem. In both entangled models, the variances in PCA 1 increase compared to the same number of parameter models without entanglement.
Table A1. Individual PCA projections explained variance (4n complete) for the first 3 PCA components.
Table A1. Individual PCA projections explained variance (4n complete) for the first 3 PCA components.
ParametersPCA 1PCA 2PCA 3
3 parameters0.502988840.3115340.18547716
3 parameters ent0.574738040.424505330.00075663
6 parameters0.22831930.211899360.18558982
6 parameters ent0.239354530.220278880.18451389
Upon analyzing Figure A1, we observe that, for the 3 p models, the behavior of the non-entangled model (red) is similar to the previous problem, where the major change is presented in the PCA 1 vs. PCA 2 graph, which has the same type of linear distribution but with a different orientation. In the entangled model (blue), there is a two-line cluster pattern that differs from the previous result. It is interesting to note that these two clusters are presented in the PCA 1 vs. PCA 2 and PCA 2 vs. PCA 3 graphs, only changing the perspective. In the case of the 6 p models, the green model (non-entangled) has a similar distribution as before, with a random dispersion of points in the different plane perspectives, with no distinguishable clusters or patterns. However, for the entangled model (purple), the three-cluster behavior from the cyclic problem can be observed in the PCA 1 vs. PCA 2 graph again. This phenomenon could represent an increase in correlations between the data when the entanglement stage is implemented.
Figure A1. PCA individual graphs for 4n complete configuration max-cut problem solved using QAOA, first 3 components. Red corresponds to the 3 p parameter 1 L non-entangled, blue 3 p parameter 1 L entangled, green 6 p parameter 2 L non-entangled, and purple 6 p parameter 2 L entangled model.
Figure A1. PCA individual graphs for 4n complete configuration max-cut problem solved using QAOA, first 3 components. Red corresponds to the 3 p parameter 1 L non-entangled, blue 3 p parameter 1 L entangled, green 6 p parameter 2 L non-entangled, and purple 6 p parameter 2 L entangled model.
Entropy 25 01499 g0a1
The explained variance for pair PCA models for 3 p and 6 p (corresponding to 1 L and 2 L of depth, respectively) presented in Table A2 corresponds to the 4n complete max-cut problem. The variances obtained are similar to those in the cyclic problem, with the only noticeable difference being the variance in the PCA 3 component for the 3 p pair PCA, which is considerably lower than in the previous problem. For the 6 p pair PCA, the values are pretty close to one another, differing at most by 0.3 in the first three PCA components.
Table A2. Pair PCA projections explained variance for the first 3 PCA components for the 4n complete max-cut problem.
Table A2. Pair PCA projections explained variance for the first 3 PCA components for the 4n complete max-cut problem.
ParametersPCA 1PCA 2PCA 3
3 parameters0.46553410.348850690.18561521
6 parameters0.218514660.183434240.17652118
The pair PCA graphs for the 4n max-cut complete configuration problem are shown in Figure A2. For the 3 p models (red and blue), the PCA 1 vs. PCA 2 graph shows patterns similar to those observed in the individual PCA graphs. In the PCA 2 vs. PCA 3 graph, the pattern appears to be preserved for the non-entangled model, while the entangled model shows a distribution of points that is closer together. It is worth noting that the blue points in the PCA 1 vs. PCA 3 graph are contained in a particular line pattern that shows a clear difference between the projection of the non-entangled and entangled models. Moving on to the 6 p models (green and purple), the first PCA 1 vs. PCA 2 graph shows a scatter distribution of points for the non-entangled model (green), while the entangled model (purple) has two lightly clustered areas that are barely distinguishable. However, in the PCA 1 vs. PCA 3 graph, there is a clear pattern of three elliptic clusters for the entangled model. Adding the PCA 2 and PCA 3 graph with two clusters presented in the entangled model, these clusters can be interpreted as the pair PCA model being capable of detecting particular correlations between the non-entangled and entangled data due to the distribution of values from the different models. Overall, the pair PCA graphs suggest that the entanglement stage is capable of revealing additional information about the correlations between the different models.
Figure A2. PCA pair graphs for 4n complete configuration max-cut problem solved using QAOA, first 3 components. Red corresponds to the 3 p parameter 1 L non-entangled, blue 3 p parameter 1 L entangled, green 6 p parameter 2 L non-entangled, and purple 6 p parameter 2 L entangled model.
Figure A2. PCA pair graphs for 4n complete configuration max-cut problem solved using QAOA, first 3 components. Red corresponds to the 3 p parameter 1 L non-entangled, blue 3 p parameter 1 L entangled, green 6 p parameter 2 L non-entangled, and purple 6 p parameter 2 L entangled model.
Entropy 25 01499 g0a2
The explained variances for the 10n cyclic max-cut problem are presented in Table A3. For this problem, we compiled results for three different levels of depth: 1 L ( 3 p parameters), 2 L ( 6 p parameters), and 3 L ( 9 p parameters). The first two models ( 1 L and 2 L ) have similar results compared with the previous cyclic problem for 4n. However, it is important to mention that the entangled models with 6 p and 9 p parameters increase the amount of variance in the PCA 1 component compared with the non-entangled models. Additionally, the PCA 2 and PCA 3 components have more variance in general compared with the non-entangled models (including the 3 p model). This increase in variance around the components is due to the entanglement stage, which increases the amount of covariances between the elements.
Table A3. Individual PCA projections explained variance (10n cyclic) for the first 3 PCA components.
Table A3. Individual PCA projections explained variance (10n cyclic) for the first 3 PCA components.
ParametersPCA 1PCA 2PCA 3
3 parameters0.48240180.327591130.19000707
3 parameters ent0.425828020.295681930.27849004
6 parameters0.224218320.199582670.19614923
6 parameters ent0.277774250.203292090.18833349
9 parameters0.16811490.145303480.13463924
9 parameters ent0.177434450.16154570.14796169
The graphs for the 3 p and 6 p parameter models in the 10n cyclic max-cut problem are presented in Figure A3. For the first 3 p non-entangled model (red), the distribution is similar to that of the first cyclic problem, while the entangled model (blue) has a quite different data projection with no recognizable pattern. In the 6 p parameter models, the behavior has some similarities with the previous cyclic problem. The non-entangled model (green) has a random distribution of points with no distinguishable cluster or pattern, but in the entangled model (purple) in the PCA 1 vs. PCA 2 graph, there is one major cluster in the center with two smaller ones at the sides, which is similar to the distribution in the previous problem, where the rest of the PCA 1 vs. PCA 3 and PCA 2 vs. PCA 3 graphs (in the purple model) also seem to be conglomerating the points at the center of each graph.
Figure A3. PCA individual graphs for 10n cyclic configuration max-cut problem solved using QAOA, first 3 components. Red corresponds to the 3 p parameter 1 L non-entangled, blue 3 p parameter 1 L entangled, green 6 p parameter 2 L non-entangled, and purple 6 p parameter 2 L entangled model.
Figure A3. PCA individual graphs for 10n cyclic configuration max-cut problem solved using QAOA, first 3 components. Red corresponds to the 3 p parameter 1 L non-entangled, blue 3 p parameter 1 L entangled, green 6 p parameter 2 L non-entangled, and purple 6 p parameter 2 L entangled model.
Entropy 25 01499 g0a3
In the last 3 L depth model with 9 p parameters (Figure A4, the distribution for the non-entangled model (orange) is very similar to the 6 p non-entangled model, with a random distribution of points and no distinguishable clusters. For the entangled model, only the PCA 1 vs. PCA 2 graph seems to have a pattern, with two light clusters divided by a central line.
Figure A4. PCA individual graphs for 10n cyclic configuration max-cut problem solved using QAOA, first 3 components. Orange 9 p parameter 3 L non-entangled and purple 9 p parameter 3 L entangled model.
Figure A4. PCA individual graphs for 10n cyclic configuration max-cut problem solved using QAOA, first 3 components. Orange 9 p parameter 3 L non-entangled and purple 9 p parameter 3 L entangled model.
Entropy 25 01499 g0a4
The pair PCA explained variances for the 10n cyclic max-cut problem are presented in Table A3. The variances for the 3 p and 6 p models were very similar to the previous results, with a considerable decrease in the amount of variance represented in each PCA component as the number of parameters increased. This trend persists with the 9 p pair PCA model values.
Table A4. Pair PCA projections explained variance for the first 3 PCA components for the 10n cyclic max-cut problem.
Table A4. Pair PCA projections explained variance for the first 3 PCA components for the 10n cyclic max-cut problem.
ParametersPCA 1PCA 2PCA 3
3 parameters0.454366430.312382440.23325113
6 parameters0.218218140.19624790.17828477
9 parameters0.146727280.138509820.12026834
The pair PCA graphs are presented in Figure A5. The 3 p and 6 p models have similar behaviors to the previous cyclic problem. The 3 p model preserves almost the same distribution of points in the projection as the individual graphs, while, for the 6 p models, the green (non-entangled) model has a random distribution of points similar to the individual graph. However, the purple ( 6 p entangled) model exhibits a clear cluster pattern behavior for the PCA 1 vs. PCA 2 and PCA 1 vs. PCA 3 graphs. In the more complex models with 9 p , there is no clear behavior of the projection distribution, and due to the low variance for each PCA component presented in the graph, we cannot establish a precise interpretation of the results because the PCA mapping has lost a large amount of original information.
Figure A5. PCA pair graphs for 10n cyclic configuration max-cut problem solved using QAOA, first 3 components. Red corresponds to the 3 p parameter 1 L non-entangled, blue 3 p parameter 1 L entangled, green 6 p parameter 2 L non-entangled, purple 6 p parameter 2 L entangled model, orange 9 p parameter 3 L non-entangled, and brown 9 p parameter 3 L entangled model.
Figure A5. PCA pair graphs for 10n cyclic configuration max-cut problem solved using QAOA, first 3 components. Red corresponds to the 3 p parameter 1 L non-entangled, blue 3 p parameter 1 L entangled, green 6 p parameter 2 L non-entangled, purple 6 p parameter 2 L entangled model, orange 9 p parameter 3 L non-entangled, and brown 9 p parameter 3 L entangled model.
Entropy 25 01499 g0a5
The explained variances for the first three PCA components in the individual models for the 10n complete problem are presented in Table A5. Comparing the table with the individual variances for the cyclic problem, we observe some interesting results. Starting with the 3 p model, the entangled version shows an increase in the amount of variance associated with PCA 1 and PCA 2 compared to the non-entangled model, which is the opposite of what was observed in the cyclic problem. For the 6 p and 9 p models, the entangled versions show a decrease in the amount of variance contained in PCA 1 and PCA 2 components with respect to the non-entangled models, while PCA 3 has a greater value in general. Analyzing these results with the cyclic problem, we can observe how the problem’s structure modifies how the entanglement stage in the mixing operator can affect the variance distribution along the PCA components. However, the difference between the components in the entangled models seems to be lower compared to the non-entangled ones. Another important observation is that, in the 6 p and 9 p models, the total amount of variance captured by the first three PCA components is slightly higher in the entangled models compared to the non-entangled ones.
Table A5. Individual PCA projections explained variance (10n complete) for the first 3 PCA components.
Table A5. Individual PCA projections explained variance (10n complete) for the first 3 PCA components.
ParametersPCA 1PCA 2PCA 3
3 parameters0.497672380.332346280.16998134
3 parameters ent0.5885122900.4110876390.0004000709
6 parameters0.247206660.195828260.16085243
6 parameters ent0.236816910.195496360.17376718
9 parameters0.171812090.142086080.12933972
9 parameters ent0.159506570.147020260.14211113
The individual graphs presented in Figure A6 exhibit a behavior similar to that of the 4n complete max-cut problem. The 3 p non-entangled (red) and entangled (blue) models have almost the same type of distribution for the PCA 1 vs. PCA 2, albeit with different orientations. In the case of the 6 p non-entangled model (green), it has a similar random distribution as in the previous problems (not only the complete problems). Meanwhile, the 6 p entangled model (purple) has a major cluster on the left and two small clusters on the right in the PCA 1 vs. PCA 2 graph, and, the PCA 2 vs. PCA 3 graph has a two-cluster distribution.
Figure A6. PCA individual graphs for 10n complete configuration max-cut problem solved using QAOA, first 3 components. Red corresponds to the 3 p parameter 1 L non-entangled, blue 3 p parameter 1 L entangled, green 6 p parameter 2 L non-entangled, and purple 6 p parameter 2 L entangled model.
Figure A6. PCA individual graphs for 10n complete configuration max-cut problem solved using QAOA, first 3 components. Red corresponds to the 3 p parameter 1 L non-entangled, blue 3 p parameter 1 L entangled, green 6 p parameter 2 L non-entangled, and purple 6 p parameter 2 L entangled model.
Entropy 25 01499 g0a6
Completing the individual graphs in the 10n complete max-cut problems, we have the 9 p parameter models ( 3 L depth) in Figure A7. In this case, there is no clear behavior in the non-entangled and entangled models. This is not surprising because the amount of variance that each perspective has is very low, and it cannot give a correct representation of the original information.
Figure A7. PCA individual graphs for 10n complete configuration max-cut problem solved using QAOA, first 3 components. Orange 9 p parameter 3 L non-entangled and brown 9 p parameter 3 L entangled model.
Figure A7. PCA individual graphs for 10n complete configuration max-cut problem solved using QAOA, first 3 components. Orange 9 p parameter 3 L non-entangled and brown 9 p parameter 3 L entangled model.
Entropy 25 01499 g0a7
The explained variances for the 10n complete max-cut problem are presented in Table A5. The values of variance are very similar to the ones obtained in the cyclic problem, showing a decreasing trend in importance (due to the decrease in variance) with an increase in the number of parameters. In the case of the 9 p models, the amount of variance in the first three components is less than 40 % .
Table A6. Pair PCA projections explained variance for the first 3 PCA components for the 10n complete max-cut problem.
Table A6. Pair PCA projections explained variance for the first 3 PCA components for the 10n complete max-cut problem.
ParametersPCA 1PCA 2PCA 3
3 parameters0.465141430.344104860.19075371
6 parameters0.201488070.191061150.17569887
9 parameters0.15690940.1376590.12379254
The pair PCA model for the 10n complete max-cut problem is presented in Figure A8. In the case of the 3 p models, the distribution is very similar to the individual graphs, with changes observed in the PCA 1 vs. PCA 3 and PCA 2 vs. PCA 3 distributions for the entangled model (blue). For the 6 p parameter models, the distribution shows no clear pattern or clusters, with only two light clusters and some outliers in the PCA 1 vs. PCA 2 plot. However, due to the low variance of the PCA components, these results cannot be considered conclusive. Finally, for the 9 p models, the distribution appears to be random, with no clear patterns observed. Again, due to the low variance, these results are to be expected.
Figure A8. PCA pair graphs for 10n complete configuration max-cut problem solved using QAOA, first 3 components. Red corresponds to the 3 p parameter 1 L non-entangled, blue 3 p parameter 1 L entangled, green 6 p parameter 2 L non-entangled, purple 6 p parameter 2 L entangled model, orange 9 p parameter 3 L non-entangled, and brown 9 p parameter 3 L entangled model.
Figure A8. PCA pair graphs for 10n complete configuration max-cut problem solved using QAOA, first 3 components. Red corresponds to the 3 p parameter 1 L non-entangled, blue 3 p parameter 1 L entangled, green 6 p parameter 2 L non-entangled, purple 6 p parameter 2 L entangled model, orange 9 p parameter 3 L non-entangled, and brown 9 p parameter 3 L entangled model.
Entropy 25 01499 g0a8
The results shown in Table A7 exhibit similar behavior to those observed in the 10n cyclic problem. For the 3 p models, the non-entangled model demonstrates greater values for PCA 1 and PCA 2, whereas the entangled model produces a more evenly distributed variance in PCA 2 and PCA 3. For the 6 p models, the entangled model displays higher variance values for PCA 1 and PCA 2, as well as for the first three components, which is consistent with the earlier findings. In the case of the 9 p models, the entangled model has higher values for all PCA components, although the difference is not substantial. Overall, these results suggest that the entangled models generally perform better in terms of the amount of variance information that the model is able to detect and project in the new PCA space.
Table A7. Individual PCA projections explained variance (15n cyclic) for the first 3 PCA components.
Table A7. Individual PCA projections explained variance (15n cyclic) for the first 3 PCA components.
ParametersPCA 1PCA 2PCA 3
3 parameters0.46476240.328605270.20663233
3 parameters ent0.388262810.348280840.26345635
6 parameters0.227132730.195192850.18337327
6 parameters ent0.271831770.235698360.19037519
9 parameters0.15921660.14912760.14043665
9 parameters ent0.177165640.157073670.13968417
For the individual PCA graphs of the 15n cyclic max-cut problem, refer to Figure A9. In the 3 p models, both non-entangled (red) and entangled (blue), we observe a behavior similar to previous experiments. Particularly, interesting patterns can be observed in the PCA 1 vs. PCA 2 and PCA 2 vs. PCA 3 planes. Shifting our focus to the 6 p models, the non-entangled model (green) exhibits patterns consistent with previous observations, with no clear discernible behavior or pattern across different PCA planes. However, for the entangled model (purple), the presence of the three-line clustering behavior, previously observed in the PCA 1 vs. PCA 2 plane for the 4n and 10n cyclic problems, reappears.
Figure A9. PCA individual graphs for 15n cyclic configuration max-cut problem solved using QAOA, first 3 components. Red corresponds to the 3 p parameter 1 L non-entangled, blue 3 p parameter 1 L entangled, green 6 p parameter 2 L non-entangled, and purple 6 p parameter 2 L entangled model.
Figure A9. PCA individual graphs for 15n cyclic configuration max-cut problem solved using QAOA, first 3 components. Red corresponds to the 3 p parameter 1 L non-entangled, blue 3 p parameter 1 L entangled, green 6 p parameter 2 L non-entangled, and purple 6 p parameter 2 L entangled model.
Entropy 25 01499 g0a9
In the 9 p parameters models (Figure A10), no clear patterns can be distinguished in both the non-entangled (yellow) and entangled (brown) models. This lack of clear patterns is not surprising considering the low variance associated with the first three PCA components. As previously mentioned, when the variance is low, it becomes more challenging to achieve a meaningful mapping in the low-dimensional space using PCA.
Figure A10. PCA individual graphs for 15n cyclic configuration max-cut problem solved using QAOA, first 3 components. Orange 9 p parameter 3 L non-entangled and brown 9 p parameter 3 L entangled model.
Figure A10. PCA individual graphs for 15n cyclic configuration max-cut problem solved using QAOA, first 3 components. Orange 9 p parameter 3 L non-entangled and brown 9 p parameter 3 L entangled model.
Entropy 25 01499 g0a10
Now, regarding the pair PCA models in the 15n cyclic problem, we observe similar behavior as in the previous cyclic problem. The 3 p models present the best PCA values, which is not surprising since this model has the same dimension as the PCA components. The 6 p models accumulate approximately 60% of the variance in the original data for the first three PCA components, making them the second-best performing models. Finally, the 9 p models have lower PCA values, with less than 40% of the variance of the data in the first three components.
Table A8. Pair PCA projections explained variance for the first 3 PCA components for the 15n cyclic max-cut problem.
Table A8. Pair PCA projections explained variance for the first 3 PCA components for the 15n cyclic max-cut problem.
ParametersPCA 1PCA 2PCA 3
3 parameters0.419277310.344982660.23574004
6 parameters0.232655550.186335410.18280923
9 parameters0.152911390.143121750.12984339
The results presented in Figure A11 exhibit similar patterns to those observed in previous problems for the 3 p and 6 p models. In particular, for the 6 p models, both the entangled (purple) and non-entangled (green) models continue to exhibit their respective distribution behaviors. The non-entangled model displays a scattered distribution in the PCA 1 vs. PCA 2 plane, while the entangled model demonstrates clustering behavior in the PCA 1 vs. PCA 3 plane. However, for the 9 p models, neither the entangled (brown) nor the non-entangled (yellow) models exhibit clear patterns. The only noticeable difference is that the data points in the entangled model tend to be closer together, although this distinction is difficult to discern.
Figure A11. PCA pair graphs for 15n cyclic configuration max-cut problem solved using QAOA, first 3 components. Red corresponds to the 3 p parameter 1 L non-entangled, blue 3 p parameter 1 L entangled, green 6 p parameter 2 L non-entangled, purple 6 p parameter 2 L entangled model, orange 9 p parameter 3 L non-entangled, and brown 9 p parameter 3 L entangled model.
Figure A11. PCA pair graphs for 15n cyclic configuration max-cut problem solved using QAOA, first 3 components. Red corresponds to the 3 p parameter 1 L non-entangled, blue 3 p parameter 1 L entangled, green 6 p parameter 2 L non-entangled, purple 6 p parameter 2 L entangled model, orange 9 p parameter 3 L non-entangled, and brown 9 p parameter 3 L entangled model.
Entropy 25 01499 g0a11
The final problem examined using PCA is the 15n complete configuration max-cut problem. The individual PCA variances are presented in Table A9. In the 3 p models (both entangled and non-entangled), the behavior aligns with the previous findings. However, in the 6 p models, the distribution of explained variance differs from the 10n complete configuration problem. Here, the entangled model demonstrates a noticeable increase in variance due to the presence of the entanglement stage, resembling the behavior observed in the cyclic problems. Similarly, in the 9 p models, the entangled QAOA exhibits a higher total amount of variance in the first 3 PCA components, mirroring the results observed in the 6 p models. Additionally, consistent with the 10n problem, the total amount of variance is higher in the entangled models for both the 6 p and 9 p cases.
Table A9. Individual PCA projections explained variance (15n complete) for the first 3 PCA components.
Table A9. Individual PCA projections explained variance (15n complete) for the first 3 PCA components.
ParametersPCA 1PCA 2PCA 3
3 parameters0.417757290.352619590.22962311
3 parameters ent0.387238630.366559320.24620205
6 parameters0.225556480.196893210.18005628
6 parameters ent0.284027240.214461950.18652736
9 parameters0.164461560.151457790.14506611
9 parameters ent0.189995790.160758220.13010846
The individual graphs using PCA for the 15n complete max-cut problem are presented in Figure A12. In the 3 p models, both the entangled (blue) and non-entangled (red) models exhibit patterns similar to those observed in the previous 4n and 10n problems. However, there are some differences in the entangled model, particularly in the PCA 1 vs. PCA 2 and PCA 1 vs. PCA 3 planes, where more line patterns are observed compared to the one or two line patterns seen in the previous problems. Moving on to the 6 p models, the non-entangled model (green) continues the trend observed in previous problems, showing no clear tendency or discernible behavior in the data distribution. In contrast, the entangled model (purple) exhibits no clear distribution in the PCA 1 vs. PCA 2 plane, which is different from the patterns observed in the 4n and 10n problems. The PCA 1 vs. PCA 3 plane shows some noisy cluster distribution, but it is not well-defined.
Figure A12. PCA individual graphs for 15n complete configuration max-cut problem solved using QAOA, first 3 components. Red corresponds to the 3 p parameter 1 L non-entangled, blue 3 p parameter 1 L entangled, green 6 p parameter 2 L non-entangled, and purple 6 p parameter 2 L entangled model.
Figure A12. PCA individual graphs for 15n complete configuration max-cut problem solved using QAOA, first 3 components. Red corresponds to the 3 p parameter 1 L non-entangled, blue 3 p parameter 1 L entangled, green 6 p parameter 2 L non-entangled, and purple 6 p parameter 2 L entangled model.
Entropy 25 01499 g0a12
In the 9 p models depicted in Figure A13, no clear or distinguishable patterns can be observed in both the non-entangled (yellow) and entangled (brown) models. This behavior is consistent with the patterns observed in the 10n complete max-cut problem.
Figure A13. PCA individual graphs for 15n complete configuration max-cut problem solved using QAOA, first 3 components. Orange 9 p parameter 3 L non-entangled and brown 9 p parameter 3 L entangled model.
Figure A13. PCA individual graphs for 15n complete configuration max-cut problem solved using QAOA, first 3 components. Orange 9 p parameter 3 L non-entangled and brown 9 p parameter 3 L entangled model.
Entropy 25 01499 g0a13
The explained variance for the 15n complete max-cut problem is presented in Table A10. The distribution of PCA variance per model follows a similar trend to that observed in the previous problems. The 3 p models exhibit the highest variance values, which is expected as the number of parameters matches the number of PCA components. As the number of parameters increases, the quality of the components decreases, resulting in lower variance values. Notably, the 6 p models show a slight increase in the total amount of variance compared to the 10n problem, bringing them closer to the values obtained in the cyclic problems. The variance values for the 9 p models are similar to those observed in the 10n problems, both for cyclic and complete configurations, representing the lowest values among the tested models.
Table A10. Pair PCA projections explained variance for the first 3 PCA components for the 15n complete max-cut problem.
Table A10. Pair PCA projections explained variance for the first 3 PCA components for the 15n complete max-cut problem.
ParametersPCA 1PCA 2PCA 3
3 parameters0.360355050.354009240.28563571
6 parameters0.245501260.196578420.16664964
9 parameters0.15123820.139676180.12791876
The pair PCA graphs for the 15n complete max-cut problem are presented in Figure A14. In the 3 p models, both non-entangled (red) and entangled (blue), the essence of the individual graphs is preserved, similar to the previous pair graphs. However, the 6 p models do not exhibit a clear behavior or pattern in any of the planes. This behavior is consistent with the 15n cyclic problem but differs from the distribution observed in the 4n and 10n complete problems, where some clustering patterns were observed. Lastly, in the 9 p models, the non-entangled model (yellow) displays a random distribution pattern across all planes, while the entangled model (brown) shows a slightly more concentrated patterns in certain areas, as seen in the PCA 1 vs. PCA 2 and PCA 1 vs. PCA 3 planes.
Figure A14. PCA pair graphs for 15n complete configuration max-cut problem solved using QAOA, first 3 components. Red corresponds to the 3 p parameter 1 L non-entangled, blue 3 p parameter 1 L entangled, green 6 p parameter 2 L non-entangled, purple 6 p parameter 2 L entangled model, orange 9 p parameter 3 L non-entangled, and brown 9 p parameter 3 L entangled model.
Figure A14. PCA pair graphs for 15n complete configuration max-cut problem solved using QAOA, first 3 components. Red corresponds to the 3 p parameter 1 L non-entangled, blue 3 p parameter 1 L entangled, green 6 p parameter 2 L non-entangled, purple 6 p parameter 2 L entangled model, orange 9 p parameter 3 L non-entangled, and brown 9 p parameter 3 L entangled model.
Entropy 25 01499 g0a14

Appendix B. t-SNE Graphs and KL Divergence Values

In this appendix, we present the complementary results for the experiments developed using t-SNE analysis (and KL-D values obtained) applied in the max-cut problems solved using the QAOA.
The results for KL-D for individual t-SNE in the 4n complete max-cut problem are presented in Table A11. In general, the values for 3 and 30 perplexity have values that are closer compared to the cyclic 4n problem, with the entangled models having a better perplexity value (lower) compared to the non-entangled models. The best KL-D values were obtained with the 99 perplexity, which is interpreted as the best model that represents the original properties of the data.
Table A11. Individual KL-Divergence for 4n complete max-cut problem with different numbers of perplexity, considering the 3 p non-entangled, 3 p entangled, 6 p non-entangled, and 6 p entangled models.
Table A11. Individual KL-Divergence for 4n complete max-cut problem with different numbers of perplexity, considering the 3 p non-entangled, 3 p entangled, 6 p non-entangled, and 6 p entangled models.
ParametersKL-D (3 per)KL-D (30 per)KL-D (99 per)
3 parameters0.153246340.173913480.00002262
3 parameters ent0.143602890.056892930.00003242
6 parameters0.559606020.522872810.00004825
6 parameters ent0.374285550.380091760.00002795
The individual graphs for the 4n complete max-cut problem (Figure A15) show that the 3 p non-entangled (red) model has a distribution similar to the previous problem, and, specifically for the 99 perplexity, the three-line pattern is similar to the one obtained before. The pattern in this perplexity value is also similar to some perspectives obtained in the PCA graphs. The 3 p entangled (blue) model has very different patterns than the ones obtained in the cyclic problem. The most interesting results are the similarities of the two-line clusterization obtained at the 30 and 99 perplexity, which replicate some patterns from PCA graphs obtained in the same problem. Moving to the 6 p models, the non-entangled (green) model has a random distribution behavior observed in the cyclic problem and the PCA graphs at the 30 perplexity. At the 99 perplexity, the elliptical pattern of the cyclic problem is observed again, but with a wider edge compared to the cyclic t-SNE graph. Last, for the 6 p entangled (purple) model, the 99 perplexity shows a particular pattern with two small elongated clusters at the extremes of the graph and two small clusters at the center of the plane with some outlier points trying to connect both small clusters.
Figure A15. t-SNE individual graphs for 4n complete configuration max-cut problem solved using QAOA, with different perplexity values 3, 30, and 99. Red corresponds to the 3 p parameter 1 L non-entangled, blue 3 p parameter 1 L entangled, green 6 p parameter 2 L non-entangled, and purple 6 p parameter 2 L entangled model.
Figure A15. t-SNE individual graphs for 4n complete configuration max-cut problem solved using QAOA, with different perplexity values 3, 30, and 99. Red corresponds to the 3 p parameter 1 L non-entangled, blue 3 p parameter 1 L entangled, green 6 p parameter 2 L non-entangled, and purple 6 p parameter 2 L entangled model.
Entropy 25 01499 g0a15
The KL-D results for the pair t-SNE models in the 4n complete max-cut problem are presented in Table A12. The results from 3 to 99 perplexity are quite similar to those obtained in the cyclic problem, where the 3 p model shows better KL-D results, leading to a better representation of the data in the final plane. However, in the case of the 199 perplexity, the 6 p parameter models exhibit better KL-D values, which is a different result compared to the cyclic problem.
Table A12. Pair KL-Divergence for 4n complete max-cut problem with different numbers of perplexity, considering the 3 p parameters (non-entangled and entangled) and 6 p parameters (non-entangled and entangled) models.
Table A12. Pair KL-Divergence for 4n complete max-cut problem with different numbers of perplexity, considering the 3 p parameters (non-entangled and entangled) and 6 p parameters (non-entangled and entangled) models.
KL-Divergence
Parameters3 per30 per99 per199 per
3 parameters0.177885520.224465970.114834720.00005328
6 parameters0.586458860.775810.362950950.00005059
In the pair graphs for the 4n complete configuration (Figure A16), we can observe interesting behavior patterns starting with the 3 p models. The entangled model (blue) shows a similar pattern in all perplexity values, which can be observed more clearly from the 30 to 199 perplexity range. The blue model distributes itself over particular areas on the t-SNE mapped plane, but with a smooth distribution of mapped points. For the 6 p models, the most interesting distribution is observed at a 199 perplexity value. Here, the mapped data distribution is very similar to the one obtained in the cyclic problem. However, in this case, there are only a few points that cross the middle of the elliptic pattern.
Figure A16. t-SNE pair graphs for 4n pair complete configuration max-cut problem solved using QAOA, with different perplexity values 3, 30, 99, and 199. Red corresponds to the 3 p parameter 1 L non-entangled, blue 3 p parameter 1 L entangled, green 6 p parameter 2 L non-entangled, and purple 6 p parameter 2 L entangled model.
Figure A16. t-SNE pair graphs for 4n pair complete configuration max-cut problem solved using QAOA, with different perplexity values 3, 30, 99, and 199. Red corresponds to the 3 p parameter 1 L non-entangled, blue 3 p parameter 1 L entangled, green 6 p parameter 2 L non-entangled, and purple 6 p parameter 2 L entangled model.
Entropy 25 01499 g0a16
Table A13. Individual KL-Divergence for 10n cyclic max-cut problem with different perplexity values, considering the 3 p non-entangled, 3 p entangled, 6 p non-entangled, 6 p entangled, 9 p non-entangled, and 9 p entangled models.
Table A13. Individual KL-Divergence for 10n cyclic max-cut problem with different perplexity values, considering the 3 p non-entangled, 3 p entangled, 6 p non-entangled, 6 p entangled, 9 p non-entangled, and 9 p entangled models.
ParametersKL-D (3 per)KL-D (30 per)KL-D (99 per)
3 parameters0.114494740.187972170.00002232
3 parameters ent0.087140750.171039970.00004818
6 parameters0.619642020.538613620.00004456
6 parameters ent0.337823120.400358290.0000446
9 parameters0.65993220.604570090.00003925
9 parameters ent0.6907590.548878850.00004668
When analyzing the 10n max-cut problem with cyclic configuration using t-SNE, we observed that the 3 p entangled model performed the best in terms of KL-D value for the 3 perplexity. However, as the number of parameters increased, the quality of the projected model decreased, but, on average, entangled models produced better results than non-entangled ones. For the 30 perplexity, the 3 p entangled model remained the best, and all the entangled models had better KL-D results. At the 99 perplexity, the 3 p non-entangled model had the best KL-D value, but every model at this perplexity level showed a good KL-D value, which enabled a good representation of the data in the t-SNE plane.
The graphs for the 10n cyclic max-cut problem are presented in Figure A17. The patterns observed in the 3 p models, both entangled (blue) and non-entangled (red), are pretty similar to the ones observed in the 4n problem. For the 6 p non-entangled model (green), the distribution of data is similar to the one obtained in the 4n problem. However, for the entangled model (purple) at 99 perplexity, the elliptic behavior is no longer distinguishable. In this case, the green and purple models at 99 perplexity have a similar distribution of points.
Figure A17. t-SNE individual graphs for 10n cyclic configuration max-cut problem solved using QAOA, with different perplexity values 3, 30, and 99. Red corresponds to the 3 p parameter 1 L non-entangled, blue 3 p parameter 1 L entangled, green 6 p parameter 2 L non-entangled, and purple 6 p parameter 2 L entangled model.
Figure A17. t-SNE individual graphs for 10n cyclic configuration max-cut problem solved using QAOA, with different perplexity values 3, 30, and 99. Red corresponds to the 3 p parameter 1 L non-entangled, blue 3 p parameter 1 L entangled, green 6 p parameter 2 L non-entangled, and purple 6 p parameter 2 L entangled model.
Entropy 25 01499 g0a17
In Figure A18, at 99 perplexity, the 9 p non-entangled model (orange) exhibits a similar elliptic pattern as the 6 p non-entangled model, while the entangled model (brown) displays a more defined elliptic pattern.
Figure A18. t-SNE individual graphs for 10n cyclic configuration max-cut problem solved using QAOA, with different perplexity values 3, 30, and 99. Orange corresponds to the 9 p parameter 3 L non-entangled and brown 9 p parameter 3 L entangled.
Figure A18. t-SNE individual graphs for 10n cyclic configuration max-cut problem solved using QAOA, with different perplexity values 3, 30, and 99. Orange corresponds to the 9 p parameter 3 L non-entangled and brown 9 p parameter 3 L entangled.
Entropy 25 01499 g0a18
Table A14 presents the pair KL-D divergences for different depth QAOA models. For the first three perplexity values (3, 30, and 99), the best KL-D values were obtained by the 3 p models. At 30 perplexity, it is interesting to see a value greater than 1 obtained by the 9 p models, which is the highest (lower quality) value obtained so far. Finally, at 199 perplexity, the best KL-D values for each t-SNE model were obtained, with the best KL-D value corresponding to the 9 p models.
Table A14. Pair KL-Divergence for 10n cyclic max-cut problem with different perplexity values, considering the 3 p parameters (non-entangled and entangled), 6 p parameters (non-entangled and entangled), and 9 p parameters (non-entangled and entangled) models.
Table A14. Pair KL-Divergence for 10n cyclic max-cut problem with different perplexity values, considering the 3 p parameters (non-entangled and entangled), 6 p parameters (non-entangled and entangled), and 9 p parameters (non-entangled and entangled) models.
KL-Divergence
Parameters3 per30 per99 per199 per
3 parameters0.127180320.224816070.14366080.00006457
6 parameters0.618639110.738452080.376297090.0000484
9 parameters0.803851781.043501730.4237940.00004115
The pair t-SNE model graphs for the 10n cyclic max-cut problem can be seen in Figure A19. At the 3 perplexity, the non-entangled models (red, green, and orange) seem to be distributed in specific patterns in the plane, while the entangled models (blue, purple, and brown) match in certain areas of the t-SNE plane. Moving on to the 30 perplexity, the 3 p models (red non-entangled and blue entangled) distribute in very particular patterns that cannot be interpreted as a specific structure. In the 6 p models, the green (non-entangled) model seems to have a smooth random distribution, while the purple (entangled) model is concentrated in certain areas of the plane. The 9 p model follows a similar behavior as the 6 p graph, where the orange (non-entangled) model is almost randomly distributed, and the brown (entangled) model is more concentrated. For the 99 perplexity, the 3 p graph has a similar pattern to the one observed in the 4n cyclic problem, where the red and blue models have fewer matches compared to the previous perplexity values. In the 6 p graph, the behavior is similar to the one observed at the 30 perplexity, where the green (non-entangled) model is scattered in the t-SNE plane and the purple (entangled) model is more concentrated in certain areas. For the 9 p graph, there is a difference between the orange (non-entangled) and brown (entangled) models, where the orange model maintains the scattered distribution and the brown model has three areas where most of the points are plotted. Finally, at the 199 perplexity, the 3 p graph has a distribution that forms a rotated square with no additional specific behavior. The 6 p graph has a completely different distribution from the ones observed in previous graphs, even in different problems. The scale of the graph is very small, generating the presence of outliers and a particular cluster containing both entangled (purple) and non-entangled (green) models. In the 9 p graph, both orange (non-entangled) and brown (entangled) models have an elliptic pattern, where the orange model is more scattered compared to the brown model, which preserves the elliptic pattern better.
The KL-Divergence values presented in Table A15 show similar results to those observed in the 10n cyclic problem, where most of the entangled models present a better KL-Divergence value after optimization, resulting in a better mapping of points in the t-SNE plane.
Figure A19. t-SNE pair graphs for 10n cyclic configuration max-cut problem solved using QAOA, with different perplexity values 3, 30, 99, and 199. Red corresponds to the 3 p parameter 1 L non-entangled, blue 3 p parameter 1 L entangled, green 6 p parameter 2 L non-entangled, purple 6 p parameter 2 L entangled, orange 9 p parameter 3 L non-entangled, and brown 9 p parameter 3 L entangled model.
Figure A19. t-SNE pair graphs for 10n cyclic configuration max-cut problem solved using QAOA, with different perplexity values 3, 30, 99, and 199. Red corresponds to the 3 p parameter 1 L non-entangled, blue 3 p parameter 1 L entangled, green 6 p parameter 2 L non-entangled, purple 6 p parameter 2 L entangled, orange 9 p parameter 3 L non-entangled, and brown 9 p parameter 3 L entangled model.
Entropy 25 01499 g0a19
Table A15. Individual KL-Divergence for 10n complete max-cut problem with different perplexity values, considering the 3 p non-entangled, 3 p entangled, 6 p non-entangled, 6 p entangled, 9 p non-entangled, and 9 p entangled models.
Table A15. Individual KL-Divergence for 10n complete max-cut problem with different perplexity values, considering the 3 p non-entangled, 3 p entangled, 6 p non-entangled, 6 p entangled, 9 p non-entangled, and 9 p entangled models.
ParametersKL-D (3 per)KL-D (30 per)KL-D (99 per)
3 parameters0.11086790.151534570.00001909
3 parameters ent0.132751360.050324150.00004749
6 parameters0.485243410.514129580.00005262
6 parameters ent0.411681470.422439370.00003066
9 parameters0.732690810.68972540.00004309
9 parameters ent0.871098520.637365940.00004298
Figure A20 displays the individual t-SNE graphs for the 10n complete configuration max-cut problem. For the 3 p models, the red (non-entangled) and blue (entangled) models at 3 perplexity do not exhibit a clear pattern, consistent with previous results. At 30 perplexity, the entangled model generates a line with an empty space in the middle, and the non-entangled model continues without a clear pattern. At 99 perplexity, the non-entangled (red) model presents a pattern similar to the one seen in the 4n problem with a complete configuration, as well as a similar pattern to the one obtained in the individual PCA graphs (PCA 1 vs. PCA 2) for the 4n and 10n problems with a similar configuration. The entangled model (blue) at 99 perplexity presents a two-line pattern, similar to the one obtained in the previous 4n problem and the individual PCA graphs (PCA 1 vs. PCA 2) for the 4n and 10n complete configuration problems. For the 6 p models, at 3 and 30 perplexity, there is no clear pattern, consistent with previous results. However, at 99 perplexity, the non-entangled (green) model appears to be distributed in an elliptical pattern at the sides of the t-SNE plane, and the entangled (purple) model creates four clusters distributed at the sides of the plane. This last result shares some similarities with the 4n complete configuration problem.
Figure A20. t-SNE individual graphs for 10n complete configuration max-cut problem solved using QAOA, with different perplexity values 3, 30, and 99. Red corresponds to the 3 p parameter 1 L non-entangled, blue 3 p parameter 1 L entangled, green 6 p parameter 2 L non-entangled, and purple 6 p parameter 2 L entangled model.
Figure A20. t-SNE individual graphs for 10n complete configuration max-cut problem solved using QAOA, with different perplexity values 3, 30, and 99. Red corresponds to the 3 p parameter 1 L non-entangled, blue 3 p parameter 1 L entangled, green 6 p parameter 2 L non-entangled, and purple 6 p parameter 2 L entangled model.
Entropy 25 01499 g0a20
Figure A21. t-SNE individual graphs for 10n complete configuration max-cut problem solved using QAOA, with different perplexity values 3, 30, and 99. Orange corresponds to the 9 p parameter 3 L non-entangled and brown 9 p parameter 3 L entangled.
Figure A21. t-SNE individual graphs for 10n complete configuration max-cut problem solved using QAOA, with different perplexity values 3, 30, and 99. Orange corresponds to the 9 p parameter 3 L non-entangled and brown 9 p parameter 3 L entangled.
Entropy 25 01499 g0a21
The individual t-SNE graphs for the 10n complete configuration max-cut problem are shown in Figure A7. At both 3 and 30 perplexity, there is no clear pattern observed, with the distribution appearing random with no apparent clusters. At 99 perplexity, there is also no distinguishable pattern observed, which is different from the elliptical behavior observed in the 10n cyclic problem but consistent with the individual PCA graphs obtained for the same problem.
The KL-Divergence values for the pair-wise t-SNE models are presented in Table A16. The values are similar to those observed in the cyclic problem with 10n, where the worst KL-D values were obtained at 30 perplexity, particularly in the 9p parameter models, and the best KL-D values were obtained at 199 perplexity. The overall best performance was seen in the 9p models.
Table A16. Pair KL-Divergence for 10n complete max-cut problem with different perplexity values, considering the 3 p parameters (non-entangled and entangled), 6 p parameters (non-entangled and entangled), and 9 p parameters (non-entangled and entangled) models.
Table A16. Pair KL-Divergence for 10n complete max-cut problem with different perplexity values, considering the 3 p parameters (non-entangled and entangled), 6 p parameters (non-entangled and entangled), and 9 p parameters (non-entangled and entangled) models.
KL-Divergence
Parameters3 per30 per99 per199 per
3 parameters0.152654350.199960870.111780390.00005902
6 parameters0.562954190.787924410.389253770.00004848
9 parameters0.903294681.031779290.437180940.00004415
Figure A22. t-SNE pair graphs for 10n complete configuration max-cut problem solved using QAOA, with different perplexity values 3, 30, 99, and 199. Red corresponds to the 3 p parameter 1 L non-entangled, blue 3 p parameter 1 L entangled, green 6 p parameter 2 L non-entangled, purple 6 p parameter 2 L entangled, orange 9 p parameter 3 L non-entangled, and brown 9 p parameter 3 L entangled model.
Figure A22. t-SNE pair graphs for 10n complete configuration max-cut problem solved using QAOA, with different perplexity values 3, 30, 99, and 199. Red corresponds to the 3 p parameter 1 L non-entangled, blue 3 p parameter 1 L entangled, green 6 p parameter 2 L non-entangled, purple 6 p parameter 2 L entangled, orange 9 p parameter 3 L non-entangled, and brown 9 p parameter 3 L entangled model.
Entropy 25 01499 g0a22
The pair graphs obtained for the 10n complete configuration problem can be seen in Figure A8. For the 3 p non-entangled (red) and entangled (blue) models, similar patterns are observed as in the individual t-SNE graphs, where the entangled model preserves a two-line clusterization and the non-entangled model generates different types of lines that can be observed from 99 to 199 perplexity. It is also important to mention that the distribution for the 3 p models is very similar to the ones observed in the 4n complete configuration problem in PCA 1 vs. PCA 2 and the paired t-SNE graphs. For the 6 p models, the most interesting behavior is presented at 199 perplexity, where the non-entangled (green) model has an elliptical pattern with some points at the center, and the entangled (purple) model has two definite areas where the points are plotted, which are two parts of the elliptical pattern. This pattern has many similarities with the 4n nodes problem at the same perplexity. For the 9 p models, in general, the non-entangled model (orange) seems to be randomly distributed at different perplexities, while the entangled (brown) model tends to be more concentrated in certain areas of the t-SNE plane. At 199 perplexity, both models tend to generate an elliptical behavior, where the non-entangled model is better distributed around the ellipse, and the entangled model is more scattered; this pattern is similar to the one observed in the 9 p models for the 10n cyclic problem.
The KL-Divergence values presented in Table A17 correspond to the 15n cyclic problem. At a perplexity of 3, the entangled approaches consistently produced better KL values across all models, with the best KL value obtained in the 3 p entangled model. At a perplexity of 30, the trend of entangled models performing better in terms of KL values continues for the more complex models with 6 p and 9 p ( 2 L and 3 L depths, respectively). At a perplexity of 99, all models exhibit good KL values, which are closer to zero. When comparing these results with those reported in the 10n cyclic problem, we observe a consistent trend where entangled models generally yield better KL-Divergence values for different perplexities. Additionally, the best KL values for mapping are obtained at a perplexity of 99.
Table A17. Individual KL-Divergence for 15n cyclic max-cut problem with different perplexity values, considering the 3 p non-entangled, 3 p entangled, 6 p non-entangled, 6 p entangled, 9 p non-entangled, and 9 p entangled models.
Table A17. Individual KL-Divergence for 15n cyclic max-cut problem with different perplexity values, considering the 3 p non-entangled, 3 p entangled, 6 p non-entangled, 6 p entangled, 9 p non-entangled, and 9 p entangled models.
ParametersKL-D (3 per)KL-D (30 per)KL-D (99 per)
3 parameters0.122959030.192035560.0000241
3 parameters ent0.108324280.245147970.0000398
6 parameters0.639138880.51055670.00004167
6 parameters ent0.39307570.451140370.00003364
9 parameters0.714602830.665170010.00004309
9 parameters ent0.647838590.555024740.00004505
In the t-SNE individual graphs for the 15n cyclic max-cut problem (Figure A23), we observe similar behaviors as in the previous 4n and 10n cyclic problems. For the 3 p models, both the non-entangled (red) and entangled (blue) models exhibit different patterns at different perplexities, and at a perplexity of 99, the non-entangled model generates the line pattern observed in previous t-SNE and PCA graphs. In the case of the 6 p models, both the non-entangled (green) and entangled (purple) models show distributions that are consistent with previous problems. The non-entangled model generates an elliptic pattern with some points in the middle, while the entangled model exhibits a similar external pattern but with a more pronounced line in the middle.
The patterns observed in the 9 p models at 3 and 30 perplexity (Figure A24) closely resemble those observed in the 10n cyclic and complete configuration problems. At 99 perplexity, the distribution of the non-entangled model (orange) is consistent with the previous problems, while the distribution of the entangled model (brown) follows a similar trend but with additional noise. The general pattern can still be perceived, but it is not as clear as in the previous cyclic problem.
For the paired t-SNE models of the 15n cyclic max-cut problem presented in Table A18, the observed values are similar to those of the 10n cyclic problem. At 3 perplexity, the best KL value corresponds to the paired 3p model, and as the number of parameters increases, the quality of KL-Divergence values decreases. At 30 perplexity, the best value is again obtained by the 3p models, but overall, this perplexity level yields the worst KL values. The trend of the KL quality decreasing with an increasing number of parameters persists. At 99 perplexity, the values for the 6p and 9p models are improved compared to the previous perplexities, but the 3p models remain the best performers. Finally, at 199 perplexity, the overall best KL values are reported, with all models exhibiting good KL-Divergence values, indicating a well-mapped low-dimensional space where the 6p models yield the best KL value in this case.
Figure A23. t-SNE individual graphs for 15n cyclic configuration max-cut problem solved using QAOA, with different perplexity values 3, 30, and 99. Red corresponds to the 3 p parameter 1 L non-entangled, blue 3 p parameter 1 L entangled, green 6 p parameter 2 L non-entangled, and purple 6 p parameter 2 L entangled model.
Figure A23. t-SNE individual graphs for 15n cyclic configuration max-cut problem solved using QAOA, with different perplexity values 3, 30, and 99. Red corresponds to the 3 p parameter 1 L non-entangled, blue 3 p parameter 1 L entangled, green 6 p parameter 2 L non-entangled, and purple 6 p parameter 2 L entangled model.
Entropy 25 01499 g0a23
Figure A24. t-SNE individual graphs for 15n cyclic configuration max-cut problem solved using QAOA, with different perplexity values 3, 30, and 99. Orange corresponds to the 9 p parameter 3 L non-entangled and brown 9 p parameter 3 L entangled.
Figure A24. t-SNE individual graphs for 15n cyclic configuration max-cut problem solved using QAOA, with different perplexity values 3, 30, and 99. Orange corresponds to the 9 p parameter 3 L non-entangled and brown 9 p parameter 3 L entangled.
Entropy 25 01499 g0a24
The graphical representation of the paired t-SNE models is presented in Figure A25. Starting with the 3p models, both non-entangled (red) and entangled (blue) present similar behaviors as in the 10n cyclic case. From 3 to 99 perplexity values, the patterns of both models appear relatively similar, with each model tending to group more in certain areas. At 199 perplexity, the difference between models becomes more pronounced, where the non-entangled model exhibits a pattern with three lines, while the entangled model simulates a containment pattern of the non-entangled model. For the 6p models, the observed behaviors are also similar to those reported in the 10n cyclic problem. The non-entangled model (green) appears more scattered in the plane from 3 to 99 perplexity, while the entangled model (purple) tends to be more concentrated in certain areas. At 199 perplexity, the non-entangled and entangled models share a closer distribution, but the entangled model stands out due to the presence of three soft clusters. Finally, for the 9p models, the distributions are similar to the 6p models from 3 to 99 perplexity, where the non-entangled model (orange) shows a random distribution across most of the t-SNE plane, while the entangled model (brown) exhibits a higher concentration in certain areas. At 199 perplexity, both models generate an elliptical pattern, with the entangled model being more grouped in certain parts of the elliptical pattern.
Table A18. Pair KL-Divergence for 15n cyclic max-cut problem with different perplexity values, considering the 3 p parameters (non-entangled and entangled), 6 p parameters (non-entangled and entangled), and 9 p parameters (non-entangled and entangled) models.
Table A18. Pair KL-Divergence for 15n cyclic max-cut problem with different perplexity values, considering the 3 p parameters (non-entangled and entangled), 6 p parameters (non-entangled and entangled), and 9 p parameters (non-entangled and entangled) models.
KL-Divergence
Parameters3 per30 per99 per199 per
3 parameters0.133074880.269934240.179198160.00004499
6 parameters0.643153430.821228980.345024530.00004286
9 parameters0.86008431.035657410.424686970.00004554
Figure A25. t-SNE pair graphs for 15n cyclic configuration max-cut problem solved using QAOA, with different perplexity values 3, 30, 99, and 199. Red corresponds to the 3 p parameter 1 L non-entangled, blue 3 p parameter 1 L entangled, green 6 p parameter 2 L non-entangled, purple 6 p parameter 2 L entangled, orange 9 p parameter 3 L non-entangled, and brown 9 p parameter 3 L entangled model.
Figure A25. t-SNE pair graphs for 15n cyclic configuration max-cut problem solved using QAOA, with different perplexity values 3, 30, 99, and 199. Red corresponds to the 3 p parameter 1 L non-entangled, blue 3 p parameter 1 L entangled, green 6 p parameter 2 L non-entangled, purple 6 p parameter 2 L entangled, orange 9 p parameter 3 L non-entangled, and brown 9 p parameter 3 L entangled model.
Entropy 25 01499 g0a25
The last individual t-SNE KL-Divergence values correspond to the 15n complete max-cut problem, and they are presented in Table A19. At 3 perplexity, the entangled models for 6 p and 9 p present better KL values. However, for the 3 p models, the non-entangled model has the best KL value overall, which differs from the values observed in the 10n complete problem where only the 6 p entangled model was better than the non-entangled model. At 30 perplexity, all the entangled models show better values compared to their corresponding non-entangled models. This behavior is similar to what was observed in the 10n complete problem at the same perplexity. Finally, at 99 perplexity, all the models exhibit good KL-Divergence values, with the best value obtained by the 3 p entangled model. Overall, the KL values for this problem demonstrate better results for the entangled models. They also share more similarities with the values observed in the 15n cyclic problem and, at certain perplexities, with the 10n complete problem.
Table A19. Individual KL-Divergence for 15n complete max-cut problem with different perplexity values, considering the 3 p non-entangled, 3 p entangled, 6 p non-entangled, 6 p entangled, 9 p non-entangled, and 9 p entangled models.
Table A19. Individual KL-Divergence for 15n complete max-cut problem with different perplexity values, considering the 3 p non-entangled, 3 p entangled, 6 p non-entangled, 6 p entangled, 9 p non-entangled, and 9 p entangled models.
ParametersKL-D (3 per)KL-D (30 per)KL-D (99 per)
3 parameters0.095989670.212835710.00005414
3 parameters ent0.210843410.168792960.00003727
6 parameters0.626664880.567351940.00003864
6 parameters ent0.346228330.424806480.00004639
9 parameters0.826306640.662075340.00004564
9 parameters ent0.667980070.579834940.00004709
The graphs for the 15n complete max-cut problem can be viewed in Figure A26. For the 3 p models, non-entangled (red) and entangled (blue), at 3 perplexity, we observe similar patterns to those observed in previous problems. At 30 perplexity, the distribution is different from what was observed in the 10n complete problem, resembling the pattern observed in the 15n cyclic problem. At 99 perplexity, the non-entangled model exhibits a similar three-line pattern as in previous problems, but the entangled model shows a distribution with two separate areas from the middle, forming line patterns. For the 6 p models, non-entangled (green) and entangled (purple), the behavior at 3 and 30 perplexity is similar to what was reported in the 10n complete and 15n cyclic problems. At 99 perplexity, the non-entangled model displays an elliptic pattern with some random points around it, while the entangled model generates a deformed elliptic pattern, resembling a butterfly-like distribution.
Figure A26. t-SNE individual graphs for 15n complete configuration max-cut problem solved using QAOA, with different perplexity values 3, 30, and 99. Red corresponds to the 3 p parameter 1 L non-entangled, blue 3 p parameter 1 L entangled, green 6 p parameter 2 L non-entangled, and purple 6 p parameter 2 L entangled model.
Figure A26. t-SNE individual graphs for 15n complete configuration max-cut problem solved using QAOA, with different perplexity values 3, 30, and 99. Red corresponds to the 3 p parameter 1 L non-entangled, blue 3 p parameter 1 L entangled, green 6 p parameter 2 L non-entangled, and purple 6 p parameter 2 L entangled model.
Entropy 25 01499 g0a26
Finally, for the 9 p models, the graphical results are presented in Figure A27. At 3 and 30 perplexity, the patterns observed for the non-entangled (orange) and entangled (brown) models are similar to the ones observed in the 10n complete and 15n cyclic problems. At 99 perplexity, both the non-entangled and entangled models exhibit a tendency to concentrate more toward the sides of the t-SNE plane, creating a somewhat elliptical pattern that is not very distinct.
Figure A27. t-SNE individual graphs for 15n complete configuration max-cut problem solved using QAOA, with different perplexity values 3, 30, and 99. Orange corresponds to the 9 p parameter 3 L non-entangled and brown 9 p parameter 3 L entangled.
Figure A27. t-SNE individual graphs for 15n complete configuration max-cut problem solved using QAOA, with different perplexity values 3, 30, and 99. Orange corresponds to the 9 p parameter 3 L non-entangled and brown 9 p parameter 3 L entangled.
Entropy 25 01499 g0a27
The KL-Divergence values for the paired t-SNE models in the 15n complete max-cut problem are presented in Table A20. The values at 3, 30, and 99 perplexity exhibit similar behaviors to the 15n cyclic problem, where the best KL value was generated by the 3 p models and the worst values were obtained at 30 perplexity for the 9 p models specifically. Furthermore, at 199 perplexity, the best KL values were reported, with all the models generating good values and the best among them being the 9p models.
Table A20. Pair KL-Divergence for 15n complete max-cut problem with different perplexity values, considering the 3 p parameters (non-entangled and entangled), 6 p parameters (non-entangled and entangled), and 9 p parameters (non-entangled and entangled) models.
Table A20. Pair KL-Divergence for 15n complete max-cut problem with different perplexity values, considering the 3 p parameters (non-entangled and entangled), 6 p parameters (non-entangled and entangled), and 9 p parameters (non-entangled and entangled) models.
KL-Divergence
Parameters3 per30 per99 per199 per
3 parameters0.151602480.260599610.1655350.00004839
6 parameters0.61804420.751351120.348694620.0000503
9 parameters0.9435331.020619990.438959420.00003921
The paired t-SNE models for the 15n complete max-cut problem are presented in Figure A28. In the 3 p models, non-entangled (red) and entangled (blue), the behavior observed at different perplexities is very similar between them, with no clear distribution even at 199 perplexity. This result differs from the patterns observed in the 10n complete problem and the 15n cyclic problem. Moving on to the 6 p models, the patterns observed in the non-entangled (green) and entangled (purple) models are consistent with the previous graphs. The non-entangled model tends to be randomly scattered across the plane, while the entangled model shows more grouping behavior at 3, 30, and 99 perplexities. Only at 199 perplexity do the models distribute themselves at the sides of the plane, with the entangled model being more concentrated in certain areas of the distribution. Finally, for the 9 p models, at 3, 30, and 99 perplexities, the non-entangled (orange) and entangled (brown) models exhibit similar distributions to the 6 p models. The non-entangled model is more scattered, while the entangled model generates small group patterns in certain areas of the plane. At 199 perplexity, both models exhibit some sort of elliptical pattern previously observed in other problems, with the non-entangled model showing a more pronounced elliptic shape and the entangled model following the pattern but with less smoothness.
Figure A28. t-SNE pair graphs for 15n complete configuration max-cut problem solved using QAOA, with different perplexity values 3, 30, 99, and 199. Red corresponds to the 3 p parameter 1 L non-entangled, blue 3 p parameter 1 L entangled, green 6 p parameter 2 L non-entangled, purple 6 p parameter 2 L entangled, orange 9 p parameter 3 L non-entangled, and brown 9 p parameter 3 L entangled model.
Figure A28. t-SNE pair graphs for 15n complete configuration max-cut problem solved using QAOA, with different perplexity values 3, 30, 99, and 199. Red corresponds to the 3 p parameter 1 L non-entangled, blue 3 p parameter 1 L entangled, green 6 p parameter 2 L non-entangled, purple 6 p parameter 2 L entangled, orange 9 p parameter 3 L non-entangled, and brown 9 p parameter 3 L entangled model.
Entropy 25 01499 g0a28

References

  1. Farhi, E.; Goldstone, J.; Gutmann, S. A quantum approximate optimization algorithm. arXiv 2014, arXiv:1411.4028. [Google Scholar]
  2. Sack, S.H.; Serbyn, M. Quantum annealing initialization of the quantum approximate optimization algorithm. Quantum 2021, 5, 491. [Google Scholar] [CrossRef]
  3. Alam, M.; Ash-Saki, A.; Ghosh, S. Accelerating quantum approximate optimization algorithm using machine learning. In Proceedings of the 2020 Design, Automation & Test in Europe Conference & Exhibition (DATE), Grenoble, France, 9–13 March 2020; pp. 686–689. [Google Scholar]
  4. Shaydulin, R.; Safro, I.; Larson, J. Multistart methods for quantum approximate optimization. In Proceedings of the 2019 IEEE High Performance Extreme Computing Conference (HPEC), Waltham, MA, USA, 24–26 September 2019; pp. 1–8. [Google Scholar]
  5. Sud, J.; Hadfield, S.; Rieffel, E.; Tubman, N.; Hogg, T. A Parameter Setting Heuristic for the Quantum Alternating Operator Ansatz. Bull. Am. Phys. Soc. 2023. [Google Scholar] [CrossRef]
  6. Koch, D.; Patel, S.; Wessing, L.; Alsing, P.M. Fundamentals in quantum algorithms: A tutorial series using Qiskit continued. arXiv 2020, arXiv:2008.10647. [Google Scholar]
  7. Guerreschi, G.G.; Matsuura, A.Y. QAOA for Max-Cut requires hundreds of qubits for quantum speed-up. Sci. Rep. 2019, 9, 6903. [Google Scholar] [CrossRef] [PubMed]
  8. Marshall, J.; Wudarski, F.; Hadfield, S.; Hogg, T. Characterizing local noise in QAOA circuits. IOP SciNotes 2020, 1, 025208. [Google Scholar] [CrossRef]
  9. Bärtschi, A.; Eidenbenz, S. Grover mixers for QAOA: Shifting complexity from mixer design to state preparation. In Proceedings of the 2020 IEEE International Conference on Quantum Computing and Engineering (QCE), Denver, CO, USA, 12–16 October 2020; pp. 72–82. [Google Scholar]
  10. Galda, A.; Liu, X.; Lykov, D.; Alexeev, Y.; Safro, I. Transferability of optimal QAOA parameters between random graphs. In Proceedings of the 2021 IEEE International Conference on Quantum Computing and Engineering (QCE), Broomfield, CO, USA, 17–22 October 2021; pp. 171–180. [Google Scholar]
  11. Akshay, V.; Rabinovich, D.; Campos, E.; Biamonte, J. Parameter concentrations in quantum approximate optimization. Phys. Rev. A 2021, 104, L010401. [Google Scholar] [CrossRef]
  12. Stęchły, M.; Gao, L.; Yogendran, B.; Fontana, E.; Rudolph, M. Connecting the Hamiltonian structure to the QAOA energy and Fourier landscape structure. arXiv 2023, arXiv:2305.13594. [Google Scholar]
  13. Rudolph, M.S.; Sim, S.; Raza, A.; Stechly, M.; McClean, J.R.; Anschuetz, E.R.; Serrano, L.; Perdomo-Ortiz, A. ORQVIZ: Visualizing High-Dimensional Landscapes in Variational Quantum Algorithms. arXiv 2021, arXiv:2111.04695. [Google Scholar]
  14. Xue, C.; Chen, Z.Y.; Wu, Y.C.; Guo, G.P. Effects of quantum noise on quantum approximate optimization algorithm. Chin. Phys. Lett. 2021, 38, 030302. [Google Scholar] [CrossRef]
  15. Boulebnane, S.; Montanaro, A. Predicting parameters for the Quantum Approximate Optimization Algorithm for MAX-CUT from the infinite-size limit. arXiv 2021, arXiv:2110.10685. [Google Scholar]
  16. Wang, Z.; Hadfield, S.; Jiang, Z.; Rieffel, E.G. Quantum approximate optimization algorithm for MaxCut: A fermionic view. Phys. Rev. A 2018, 97, 022304. [Google Scholar] [CrossRef]
  17. Willsch, M.; Willsch, D.; Jin, F.; De Raedt, H.; Michielsen, K. Benchmarking the quantum approximate optimization algorithm. Quantum Inf. Process. 2020, 19, 1–24. [Google Scholar] [CrossRef]
  18. Yu, Y.; Cao, C.; Wang, X.B.; Shannon, N.; Joynt, R. Solution of SAT problems with the adaptive-bias quantum approximate optimization algorithm. Phys. Rev. Res. 2023, 5, 023147. [Google Scholar] [CrossRef]
  19. Herrman, R.; Treffert, L.; Ostrowski, J.; Lotshaw, P.C.; Humble, T.S.; Siopsis, G. Impact of graph structures for QAOA on MaxCut. Quantum Inf. Process. 2021, 20, 289. [Google Scholar] [CrossRef]
  20. Pagano, G.; Bapat, A.; Becker, P.; Collins, K.S.; De, A.; Hess, P.W.; Kaplan, H.B.; Kyprianidis, A.; Tan, W.L.; Baldwin, C.; et al. Quantum approximate optimization of the long-range Ising model with a trapped-ion quantum simulator. Proc. Natl. Acad. Sci. USA 2020, 117, 25396–25401. [Google Scholar] [CrossRef] [PubMed]
  21. Pelofske, E.; Baertschi, A.; Eidenbenz, S. Short-Depth QAOA Circuits and Quantum Annealing on Higher-Order Ising Models; Technical Report; Los Alamos National Laboratory (LANL): Los Alamos, NM, USA, 2023. [Google Scholar]
  22. Moussa, C.; Wang, H.; Bäck, T.; Dunjko, V. Unsupervised strategies for identifying optimal parameters in Quantum Approximate Optimization Algorithm. EPJ Quantum Technol. 2022, 9, 11. [Google Scholar] [CrossRef]
  23. Chen, Y.; Zhu, L.; Mayhall, N.J.; Barnes, E.; Economou, S.E. How much entanglement do quantum optimization algorithms require? In Proceedings of the Quantum 2.0. Optica Publishing Group, Boston, MA, USA, 13–16 June 2022; p. QM4A-2. [Google Scholar]
  24. Sreedhar, R.; Vikstål, P.; Svensson, M.; Ask, A.; Johansson, G.; García-Álvarez, L. The Quantum Approximate Optimization Algorithm performance with low entanglement and high circuit depth. arXiv 2022, arXiv:2207.03404. [Google Scholar]
  25. Dupont, M.; Didier, N.; Hodson, M.J.; Moore, J.E.; Reagor, M.J. Entanglement perspective on the quantum approximate optimization algorithm. Phys. Rev. A 2022, 106, 022423. [Google Scholar] [CrossRef]
  26. Sarmina, B. QAOA_SHC-RR. 2023. Available online: https://github.com/BrianSarmina/QAOA_SHC-RR (accessed on 12 September 2023).
  27. Vidal, R.; Ma, Y.; Sastry, S.S.; Vidal, R.; Ma, Y.; Sastry, S.S. Principal Component Analysis; Springer: Berlin/Heidelberg, Germany, 2016. [Google Scholar]
  28. Shlens, J. A tutorial on principal component analysis. arXiv 2014, arXiv:1404.1100. [Google Scholar]
  29. Van der Maaten, L.; Hinton, G. Visualizing data using t-SNE. J. Mach. Learn. Res. 2008, 9, 2579–2605. [Google Scholar]
  30. Van Der Maaten, L. Accelerating t-SNE using tree-based algorithms. J. Mach. Learn. Res. 2014, 15, 3221–3245. [Google Scholar]
Figure 1. Max-cut example.
Figure 1. Max-cut example.
Entropy 25 01499 g001
Figure 2. Non-entangled and entangled mixing operators.
Figure 2. Non-entangled and entangled mixing operators.
Entropy 25 01499 g002
Figure 3. Levels of depth, with one pair of phase and mixing operator 1 L , two pairs 2 L , and three pairs 3 L .
Figure 3. Levels of depth, with one pair of phase and mixing operator 1 L , two pairs 2 L , and three pairs 3 L .
Entropy 25 01499 g003
Figure 4. Individual rotations in mixing operators.
Figure 4. Individual rotations in mixing operators.
Entropy 25 01499 g004
Figure 5. Entangled rotations in mixing operators.
Figure 5. Entangled rotations in mixing operators.
Entropy 25 01499 g005
Figure 6. PCA individual graphs for 4n cyclic configuration max-cut problem solved using QAOA, first 3 components. Red corresponds to the 3 p parameter 1 L non-entangled, blue 3 p parameter 1 L entangled, green 6 p parameter 2 L non-entangled, and purple 6 p parameter 2 L entangled model.
Figure 6. PCA individual graphs for 4n cyclic configuration max-cut problem solved using QAOA, first 3 components. Red corresponds to the 3 p parameter 1 L non-entangled, blue 3 p parameter 1 L entangled, green 6 p parameter 2 L non-entangled, and purple 6 p parameter 2 L entangled model.
Entropy 25 01499 g006
Figure 7. PCA pair graphs for 4n cyclic configuration max-cut problem solved using QAOA, first 3 components. Red corresponds to the 3 p parameter 1 L non-entangled, blue 3 p parameter 1 L entangled, green 6 p parameter 2 L non-entangled, and purple 6 p parameter 2 L entangled model.
Figure 7. PCA pair graphs for 4n cyclic configuration max-cut problem solved using QAOA, first 3 components. Red corresponds to the 3 p parameter 1 L non-entangled, blue 3 p parameter 1 L entangled, green 6 p parameter 2 L non-entangled, and purple 6 p parameter 2 L entangled model.
Entropy 25 01499 g007
Figure 8. t-SNE individual graphs for 4n cyclic configuration max-cut problem solved using QAOA, with different perplexity values 3, 30, and 99. Red corresponds to the 3 p parameter 1 L non-entangled, blue 3 p parameter 1 L entangled, green 6 p parameter 2 L non-entangled, and purple 6 p parameter 2 L entangled model.
Figure 8. t-SNE individual graphs for 4n cyclic configuration max-cut problem solved using QAOA, with different perplexity values 3, 30, and 99. Red corresponds to the 3 p parameter 1 L non-entangled, blue 3 p parameter 1 L entangled, green 6 p parameter 2 L non-entangled, and purple 6 p parameter 2 L entangled model.
Entropy 25 01499 g008
Figure 9. t-SNE pair graphs for 4n cyclic configuration max-cut problem solved using QAOA, with different perplexity values 3, 30, 99, and 199. Red corresponds to the 3 p parameter 1 L non-entangled, blue 3 p parameter 1 L entangled, green 6 p parameter 2 L non-entangled, and purple 6 p parameter 2 L entangled model.
Figure 9. t-SNE pair graphs for 4n cyclic configuration max-cut problem solved using QAOA, with different perplexity values 3, 30, 99, and 199. Red corresponds to the 3 p parameter 1 L non-entangled, blue 3 p parameter 1 L entangled, green 6 p parameter 2 L non-entangled, and purple 6 p parameter 2 L entangled model.
Entropy 25 01499 g009
Table 1. Individual PCA projections explained variance (4n cyclic) for the first 3 PCA components.
Table 1. Individual PCA projections explained variance (4n cyclic) for the first 3 PCA components.
ParametersPCA 1PCA 2PCA 3
3 p0.443171790.293591840.26323637
3 p ent0.41890220.303279910.2778179
6 p0.239186610.209093590.16835319
6 p ent0.29495650.226153790.1985824
Table 2. Pair PCA projections explained variance for the first 3 PCA components for the 4n cyclic max-cut problem.
Table 2. Pair PCA projections explained variance for the first 3 PCA components for the 4n cyclic max-cut problem.
ParametersPCA 1PCA 2PCA 3
3 p0.427012480.298294860.27469266
6 p0.225973910.192265760.18187536
Table 3. Individual KL-Divergence for 4n cyclic max-cut problem with different numbers of perplexity, considering the 3 p non-entangled, 3 p entangled, 6 p non-entangled, and 6 p entangled models.
Table 3. Individual KL-Divergence for 4n cyclic max-cut problem with different numbers of perplexity, considering the 3 p non-entangled, 3 p entangled, 6 p non-entangled, and 6 p entangled models.
KL-Divergence
ParametersKL-DKL-DKL-D
3 p0.126581610.189689640.00003131
3 p ent0.085514780.207805040.00004092
6 p0.558636310.49511540.00003326
6 p ent0.356037350.390023560.00004086
Table 4. Pair KL-Divergence for 4n cyclic max-cut problem with different numbers of perplexity, considering the 3 p parameters (non-entangled and entangled) and 6 p parameters (non-entangled and entangled) models.
Table 4. Pair KL-Divergence for 4n cyclic max-cut problem with different numbers of perplexity, considering the 3 p parameters (non-entangled and entangled) and 6 p parameters (non-entangled and entangled) models.
KL-Divergence
Parameter3 per30 per
3 p0.118278040.24608216
6 p0.588299210.73377264
99 per199 per
3 p0.179055150.00003183
6 p0.339700550.00004709
Disclaimer/Publisher’s Note: The statements, opinions and data contained in all publications are solely those of the individual author(s) and contributor(s) and not of MDPI and/or the editor(s). MDPI and/or the editor(s) disclaim responsibility for any injury to people or property resulting from any ideas, methods, instructions or products referred to in the content.

Share and Cite

MDPI and ACS Style

Sarmina, B.G.; Sun, G.-H.; Dong, S.-H. Principal Component Analysis and t-Distributed Stochastic Neighbor Embedding Analysis in the Study of Quantum Approximate Optimization Algorithm Entangled and Non-Entangled Mixing Operators. Entropy 2023, 25, 1499. https://doi.org/10.3390/e25111499

AMA Style

Sarmina BG, Sun G-H, Dong S-H. Principal Component Analysis and t-Distributed Stochastic Neighbor Embedding Analysis in the Study of Quantum Approximate Optimization Algorithm Entangled and Non-Entangled Mixing Operators. Entropy. 2023; 25(11):1499. https://doi.org/10.3390/e25111499

Chicago/Turabian Style

Sarmina, Brian García, Guo-Hua Sun, and Shi-Hai Dong. 2023. "Principal Component Analysis and t-Distributed Stochastic Neighbor Embedding Analysis in the Study of Quantum Approximate Optimization Algorithm Entangled and Non-Entangled Mixing Operators" Entropy 25, no. 11: 1499. https://doi.org/10.3390/e25111499

APA Style

Sarmina, B. G., Sun, G.-H., & Dong, S.-H. (2023). Principal Component Analysis and t-Distributed Stochastic Neighbor Embedding Analysis in the Study of Quantum Approximate Optimization Algorithm Entangled and Non-Entangled Mixing Operators. Entropy, 25(11), 1499. https://doi.org/10.3390/e25111499

Note that from the first issue of 2016, this journal uses article numbers instead of page numbers. See further details here.

Article Metrics

Back to TopTop