Variational Quantum Process Tomography of Non-Unitaries
Abstract
1. Introduction
2. Variational Algorithm for Approximating Non-Unitary Quantum Processes with Parametric Quantum Circuits
2.1. Ansatz of the Parametric Quantum Circuit
2.2. Cost Function on the Training Set
2.3. Gradient-Based Optimization
2.4. Evaluation Criteria
3. Case Study I: Weighted Sum of the Randomly Generated Quantum Circuits
3.1. Methods
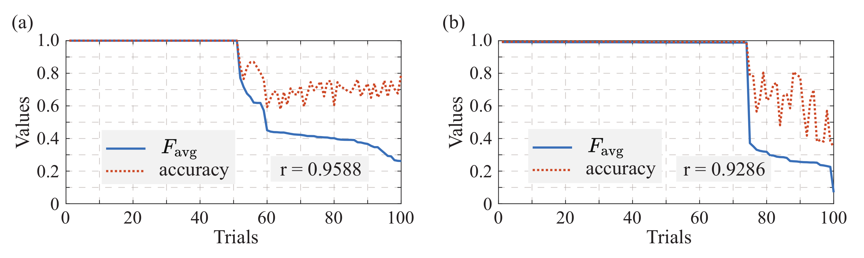
3.2. Numerical Results
- Fixed weighted sum of PQCs
- Variational weighted sum of PQCs
4. Case Study II: Imaginary Time Evolution of Heisenberg XXZ Spin Chain
4.1. Methods
- Unitary dilation
- Unitary decomposition
4.2. Numerical Results
- Unitary dilation
- Unitary decomposition
5. Conclusions
Author Contributions
Funding
Institutional Review Board Statement
Informed Consent Statement
Data Availability Statement
Conflicts of Interest
Abbreviations
| VQPT | Variational quantum process tomography |
| SQPT | Standard quantum process tomography |
| PQC | Parametric quantum circuit |
| VQA | Variational quantum algorithm |
| RQC | Randomly-generated quantum circuit |
Appendix A
| n | d | # of Paras. | Max. | Max. Accuracy | ||
|---|---|---|---|---|---|---|
| 2 | 3 | 3 | 16 | 24 | ||
| 3 | 4 | 6 | 64 | 45 | ||
| 4 | 5 | 8 | 256 | 72 | ||
| 5 | 6 | 12 | 1024 | 105 | ||
| 6 | 7 | 35 | 4096 | 144 | ||
| 7 | 8 | 55 | 189 | |||
| 8 | 8 | 120 | 216 |
Appendix B

References
- Chuang, N. Quantum Computation and Quantum Information; Cambridge University Press: Cambridge, UK, 2000. [Google Scholar]
- Poyatos, J.; Cirac, J.I.; Zoller, P. Complete characterization of a quantum process: The two-bit quantum gate. Phys. Rev. Lett. 1997, 78, 390. [Google Scholar] [CrossRef]
- Chuang, I.L.; Nielsen, M.A. Prescription for experimental determination of the dynamics of a quantum black box. J. Mod. Opt. 1997, 44, 2455–2467. [Google Scholar] [CrossRef]
- D’Ariano, G.; Presti, P.L. Quantum tomography for measuring experimentally the matrix elements of an arbitrary quantum operation. Phys. Rev. Lett. 2001, 86, 4195. [Google Scholar] [CrossRef] [PubMed]
- Aaronson, S. The learnability of quantum states. Proc. R. Soc. A Math. Phys. Eng. Sci. 2007, 463, 3089–3114. [Google Scholar] [CrossRef]
- Bialczak, R.C.; Ansmann, M.; Hofheinz, M.; Lucero, E.; Neeley, M.; O’Connell, A.D.; Sank, D.; Wang, H.; Wenner, J.; Steffen, M. Quantum Process Tomography of a Universal Entangling Gate Implemented with Josephson Phase Qubits. Nat. Phys. 2009, 6, 409–413. [Google Scholar] [CrossRef]
- O’Brien, J.L.; Pryde, G.J.; Gilchrist, A.; James, D.F.V.; White, A. Quantum Process Tomography of a Controlled-NOT Gate. Phys. Rev. Lett. 2004, 93, 080502. [Google Scholar] [CrossRef] [PubMed]
- Childs, A.M.; Chuang, I.L.; Leung, D.W. Realization of quantum process tomography in NMR. Phys. Rev. A 2000, 64, 289–293. [Google Scholar] [CrossRef]
- Shabani, A.; Kosut, R.; Mohseni, M.; Rabitz, H.; Broome, M.; Almeida, M.; Fedrizzi, A.; White, A. Efficient measurement of quantum dynamics via compressive sensing. Phys. Rev. Lett. 2011, 106, 100401. [Google Scholar] [CrossRef]
- Riebe, M.; Kim, K.; Schindler, P.; Monz, T.; Schmidt, P.; Körber, T.; Hänsel, W.; Häffner, H.; Roos, C.; Blatt, R. Process tomography of ion trap quantum gates. Phys. Rev. Lett. 2006, 97, 220407. [Google Scholar] [CrossRef] [PubMed]
- Govia, L.; Ribeill, G.; Ristè, D.; Ware, M.; Krovi, H. Bootstrapping quantum process tomography via a perturbative ansatz. Nat. Commun. 2020, 11, 1–9. [Google Scholar] [CrossRef]
- Rodionov, A.V.; Veitia, A.; Barends, R.; Kelly, J.; Sank, D.; Wenner, J.; Martinis, J.M.; Kosut, R.L.; Korotkov, A.N. Compressed sensing quantum process tomography for superconducting quantum gates. Phys. Rev. B 2014, 90, 144504. [Google Scholar] [CrossRef]
- Flammia, S.T.; Gross, D.; Liu, Y.K.; Eisert, J. Quantum tomography via compressed sensing: Error bounds, sample complexity and efficient estimators. New J. Phys. 2012, 14, 095022. [Google Scholar] [CrossRef]
- Guo, C.; Modi, K.; Poletti, D. Tensor-network-based machine learning of non-Markovian quantum processes. Phys. Rev. A 2020, 102, 062414. [Google Scholar] [CrossRef]
- Torlai, G.; Wood, C.J.; Acharya, A.; Carleo, G.; Carrasquilla, J.; Aolita, L. Quantum process tomography with unsupervised learning and tensor networks. arXiv 2020, arXiv:2006.02424. [Google Scholar]
- Knill, E.; Leibfried, D.; Reichle, R.; Britton, J.; Blakestad, R.B.; Jost, J.D.; Langer, C.; Ozeri, R.; Seidelin, S.; Wineland, D.J. Randomized benchmarking of quantum gates. Phys. Rev. A 2008, 77, 012307. [Google Scholar] [CrossRef]
- Magesan, E.; Gambetta, J.M.; Emerson, J. Scalable and robust randomized benchmarking of quantum processes. Phys. Rev. Lett. 2011, 106, 180504. [Google Scholar] [CrossRef] [PubMed]
- Flammia, S.T.; Liu, Y.K. Direct fidelity estimation from few Pauli measurements. Phys. Rev. Lett. 2011, 106, 230501. [Google Scholar] [CrossRef]
- Caro, M.C.; Datta, I. Pseudo-dimension of quantum circuits. Quantum Mach. Intell. 2020, 2, 1–14. [Google Scholar] [CrossRef]
- Popescu, C.M. Learning bounds for quantum circuits in the agnostic setting. Quantum Inf. Process. 2021, 20, 1–24. [Google Scholar] [CrossRef]
- Chen, C.C.; Watabe, M.; Shiba, K.; Sogabe, M.; Sakamoto, K.; Sogabe, T. On the Expressibility and Overfitting of Quantum Circuit Learning. ACM Trans. Quantum Comput. 2021, 2, 1–24. [Google Scholar] [CrossRef]
- Abbas, A.; Sutter, D.; Zoufal, C.; Lucchi, A.; Figalli, A.; Woerner, S. The power of quantum neural networks. Nat. Comput. Sci. 2021, 1, 403–409. [Google Scholar] [CrossRef]
- Torlai, G.; Mazzola, G.; Carrasquilla, J.; Troyer, M.; Melko, R.; Carleo, G. Neural-network quantum state tomography. Nat. Phys. 2018, 14, 447–450. [Google Scholar] [CrossRef]
- Khatri, S.; LaRose, R.; Poremba, A.; Cincio, L.; Sornborger, A.T.; Coles, P.J. Quantum-assisted quantum compiling. Quantum 2019, 3, 140. [Google Scholar] [CrossRef]
- Liu, Y.; Wang, D.; Xue, S.; Huang, A.; Fu, X.; Qiang, X.; Xu, P.; Huang, H.L.; Deng, M.; Guo, C.; et al. Variational quantum circuits for quantum state tomography. Phys. Rev. A 2020, 101, 052316. [Google Scholar] [CrossRef]
- Xue, S.; Liu, Y.; Wang, Y.; Zhu, P.; Guo, C.; Wu, J. Variational quantum process tomography of unitaries. Phys. Rev. A 2022, 105, 032427. [Google Scholar] [CrossRef]
- Arute, F.; Arya, K.; Babbush, R.; Bacon, D.; Bardin, J.C.; Barends, R.; Biswas, R.; Boixo, S.; Brandao, F.G.; Buell, D.A.; et al. Quantum supremacy using a programmable superconducting processor. Nature 2019, 574, 505–510. [Google Scholar] [CrossRef]
- Wu, Y.; Bao, W.S.; Cao, S.; Chen, F.; Chen, M.C.; Chen, X.; Chung, T.H.; Deng, H.; Du, Y.; Fan, D.; et al. Strong quantum computational advantage using a superconducting quantum processor. Phys. Rev. Lett. 2021, 127, 180501. [Google Scholar] [CrossRef]
- Cerezo, M.; Arrasmith, A.; Babbush, R.; Benjamin, S.C.; Endo, S.; Fujii, K.; McClean, J.R.; Mitarai, K.; Yuan, X.; Cincio, L.; et al. Variational quantum algorithms. Nat. Rev. Phys. 2021, 3, 625–644. [Google Scholar] [CrossRef]
- Kandala, A.; Mezzacapo, A.; Temme, K.; Takita, M.; Brink, M.; Chow, J.M.; Gambetta, J.M. Hardware-efficient variational quantum eigensolver for small molecules and quantum magnets. Nature 2017, 549, 242–246. [Google Scholar] [CrossRef]
- Hadfield, S.; Wang, Z.; O’gorman, B.; Rieffel, E.G.; Venturelli, D.; Biswas, R. From the quantum approximate optimization algorithm to a quantum alternating operator ansatz. Algorithms 2019, 12, 34. [Google Scholar] [CrossRef]
- Schuld, M.; Bergholm, V.; Gogolin, C.; Izaac, J.; Killoran, N. Evaluating analytic gradients on quantum hardware. Phys. Rev. A 2019, 99, 032331. [Google Scholar] [CrossRef]
- Liu, J.; Lim, K.H.; Wood, K.L.; Huang, W.; Guo, C.; Huang, H.L. Hybrid quantum-classical convolutional neural networks. Sci. China Phys. Mech. Astron. 2021, 64, 1–8. [Google Scholar] [CrossRef]
- Nielsen, M.A. A simple formula for the average gate fidelity of a quantum dynamical operation. Phys. Lett. A 2002, 303, 249–252. [Google Scholar] [CrossRef]
- Buhrman, H.; Cleve, R.; Watrous, J.; De Wolf, R. Quantum fingerprinting. Phys. Rev. Lett. 2001, 87, 167902. [Google Scholar] [CrossRef] [PubMed]
- Boixo, S.; Isakov, S.V.; Smelyanskiy, V.N.; Babbush, R.; Ding, N.; Jiang, Z.; Bremner, M.J.; Martinis, J.M.; Neven, H. Characterizing quantum supremacy in near-term devices. Nat. Phys. 2018, 14, 595–600. [Google Scholar] [CrossRef]
- Bouland, A.; Fefferman, B.; Nirkhe, C.; Vazirani, U. On the complexity and verification of quantum random circuit sampling. Nat. Phys. 2019, 15, 159–163. [Google Scholar] [CrossRef]
- Znidaric, M.; Prosen, T.; Prelovsek, P. Many-body localization in the Heisenberg XXZ magnet in a random field. Phys. Rev. B 2008, 77, 514–518. [Google Scholar] [CrossRef]
- McArdle, S.; Jones, T.; Endo, S.; Li, Y.; Benjamin, S.C.; Yuan, X. Variational ansatz-based quantum simulation of imaginary time evolution. NPJ Quantum Inf. 2019, 5, 1–6. [Google Scholar] [CrossRef]
- Nagy, B.S.; Foias, C.; Bercovici, H.; Kérchy, L. Harmonic Analysis of Operators on Hilbert Space; Springer: Berlin/Heidelberg, Germany, 2010. [Google Scholar]
- Schlimgen, A.W.; Head-Marsden, K.; Sager, L.M.; Narang, P.; Mazziotti, D.A. Quantum simulation of open quantum systems using a unitary decomposition of operators. Phys. Rev. Lett. 2021, 127, 270503. [Google Scholar] [CrossRef]
- Benesty, J.; Chen, J.; Huang, Y.; Cohen, I. Pearson correlation coefficient. In Noise Reduction in Speech Processing; Springer: Berlin/Heidelberg, Germany, 2009; pp. 1–4. [Google Scholar]






| Max. | Avg. | Max. | Avg. | ||
|---|---|---|---|---|---|
| n | 1 | d | 2 | 3 | # of Paras. 4 | Max. | Max. Accuracy | |
|---|---|---|---|---|---|---|---|---|
| Decomposition | 2 | − | 2 | 4 | 16 | 72 | ||
| 3 | − | 4 | 8 | 4096 | 180 | |||
| 4 | − | 4 | 10 | 240 | ||||
| Dilation | 4 | 5 | 6 | 10 | 1024 | 105 | ||
| 5 | 6 | 7 | 20 | 4096 | 144 | |||
| 6 | 7 | 8 | 55 | 189 |
Disclaimer/Publisher’s Note: The statements, opinions and data contained in all publications are solely those of the individual author(s) and contributor(s) and not of MDPI and/or the editor(s). MDPI and/or the editor(s) disclaim responsibility for any injury to people or property resulting from any ideas, methods, instructions or products referred to in the content. |
© 2023 by the authors. Licensee MDPI, Basel, Switzerland. This article is an open access article distributed under the terms and conditions of the Creative Commons Attribution (CC BY) license (https://creativecommons.org/licenses/by/4.0/).
Share and Cite
Xue, S.; Wang, Y.; Liu, Y.; Shi, W.; Wu, J. Variational Quantum Process Tomography of Non-Unitaries. Entropy 2023, 25, 90. https://doi.org/10.3390/e25010090
Xue S, Wang Y, Liu Y, Shi W, Wu J. Variational Quantum Process Tomography of Non-Unitaries. Entropy. 2023; 25(1):90. https://doi.org/10.3390/e25010090
Chicago/Turabian StyleXue, Shichuan, Yizhi Wang, Yong Liu, Weixu Shi, and Junjie Wu. 2023. "Variational Quantum Process Tomography of Non-Unitaries" Entropy 25, no. 1: 90. https://doi.org/10.3390/e25010090
APA StyleXue, S., Wang, Y., Liu, Y., Shi, W., & Wu, J. (2023). Variational Quantum Process Tomography of Non-Unitaries. Entropy, 25(1), 90. https://doi.org/10.3390/e25010090

