Quantum-Solving Algorithm for d’Alembert Solutions of the Wave Equation
Abstract
1. Introduction
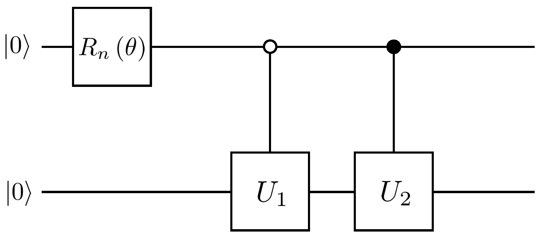
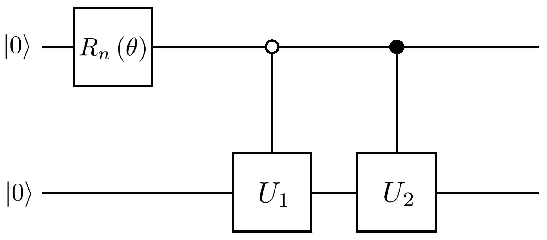
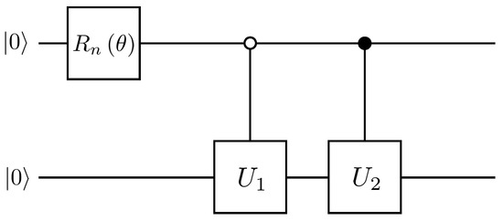
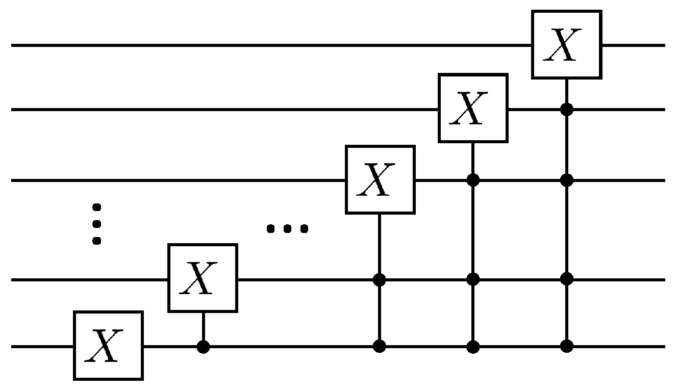
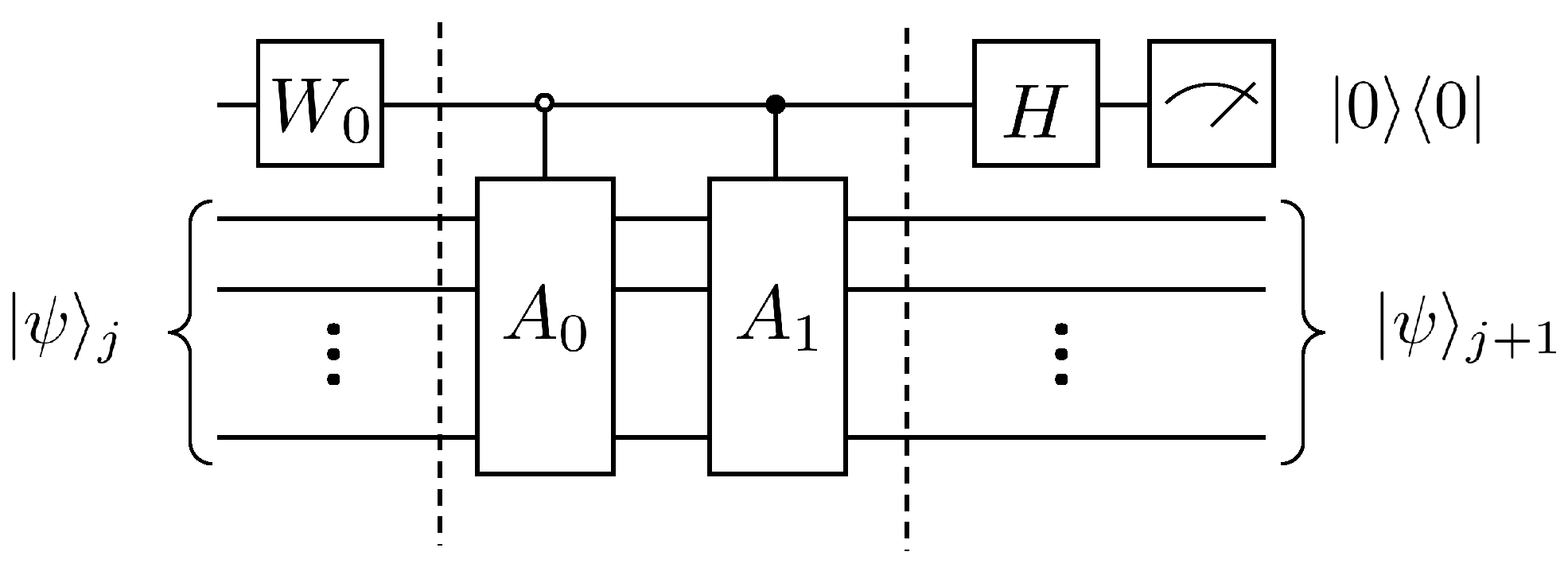
2. Duality Quantum Algorithm for Solving the First-Order Wave Equation
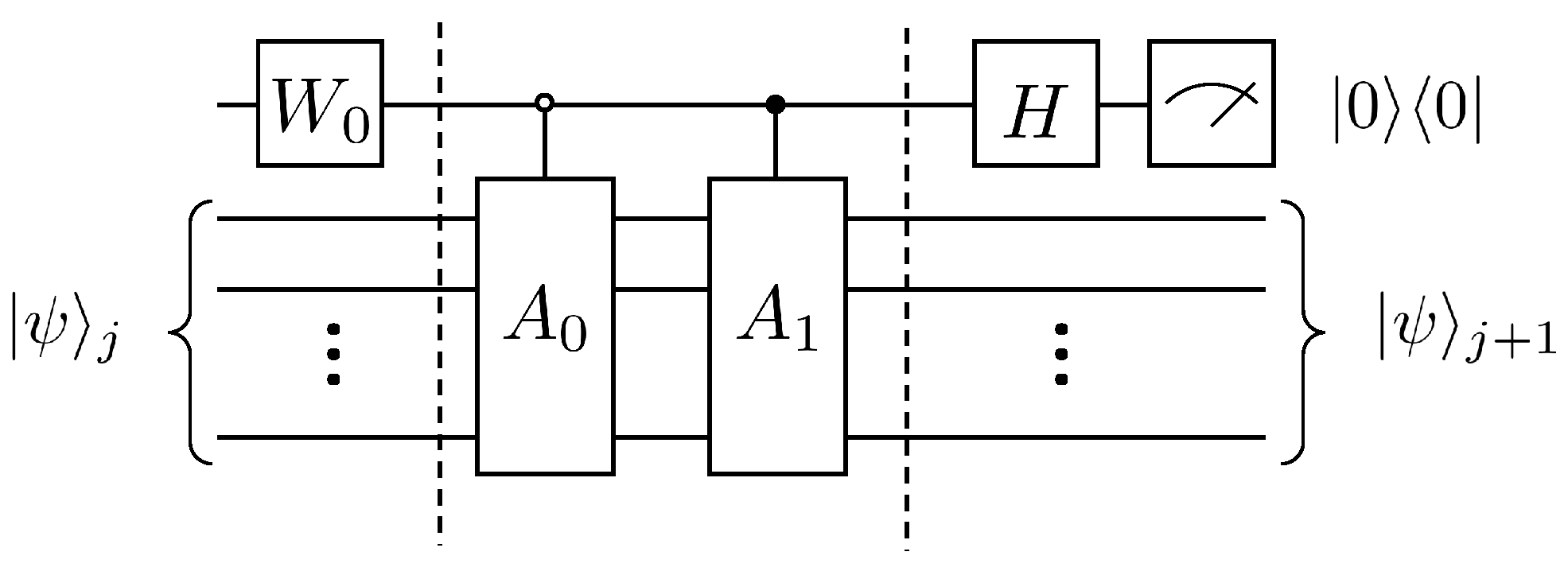
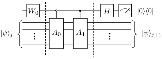
3. Duality Quantum Algorithm for the Solution of the Traveling Wave Dissipation Problem
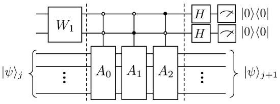
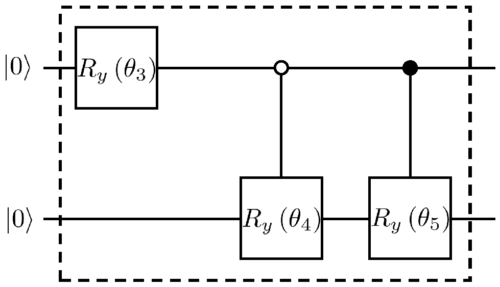
4. Duality Quantum Algorithm for Solving Traveling Wave Dispersion Problems
5. Discussion
Funding
Institutional Review Board Statement
Informed Consent Statement
Data Availability Statement
Conflicts of Interest
Appendix A

References
- Lloyd, S. Universal Quantum Simulators. Science 1996, 273, 1073–1078. [Google Scholar] [CrossRef] [PubMed]
- Aharonov, D.; Ta-Shma, A. Adiabatic quantum state generation and statistical zero knowledge. In Proceedings of the Thirty-Fifth Annual ACM Symposium on Theory of Computing, San Diego, CA, USA, 9–11 June 2003. [Google Scholar]
- Berry, D.W.; Childs, A.M.; Cleve, R.; Kothari, R.; Somma, R.D. Simulating Hamiltonian dynamics with a truncated Taylor series. Phys. Rev. Lett. 2015, 114, 090502. [Google Scholar] [CrossRef] [PubMed]
- Low, G.H.; Chuang, I.L. Hamiltonian Simulation by Qubitization. Quantum 2019, 3, 163. [Google Scholar] [CrossRef]
- Harrow, A.W.; Hassidim, A.; Lloyd, S. Quantum algorithm for linear systems of equations. Phys. Rev. Lett. 2009, 103, 150502. [Google Scholar] [CrossRef] [PubMed]
- Leyton, S.K.; Osborne, T.J. A quantum algorithm to solve nonlinear differential equations. arXiv 2008, arXiv:0812.4423. [Google Scholar]
- Berry, D.W. High-order quantum algorithm for solving linear differential equations. J. Phys. A Math. Theor. 2014, 47, 105301. [Google Scholar] [CrossRef]
- Costa, P.C.S.; Jordan, S.P.; Ostrander, A. Quantum algorithm for simulating the wave equation. Phys. Rev. A 2019, 99, 012323. [Google Scholar] [CrossRef]
- Gonzalez-Conde, J.; Rodríguez-Rozas, Á.; Solano, E.; Sanz, M. Pricing financial derivatives with exponential quantum speedup. arXiv 2021, arXiv:2101.0402. [Google Scholar]
- Berry, D.W.; Childs, A.M.; Ostrander, A.; Wang, G. Quantum Algorithm for Linear Differential Equations with Exponentially Improved Dependence on Precision. Commun. Math. Phys. 2017, 356, 1057–1081. [Google Scholar] [CrossRef]
- Childs, A.M.; Liu, J.P. Quantum Spectral Methods for Differential Equations. Commun. Math. Phys. 2020, 375, 1427–1457. [Google Scholar] [CrossRef]
- Cao, Y.; Papageorgiou, A.; Petras, I.; Traub, J.F.; Kais, S. Quantum algorithm and circuit design solving the Poisson equation. New J. Phys. 2013, 15, 013021. [Google Scholar] [CrossRef]
- Gui-lu, L. General Quantum Interference Principle and Duality Computer. Commun. Theor. Phys. 2006, 45, 825–844. [Google Scholar] [CrossRef]
- Long, G.L.; Liu, Y. Duality quantum computing. Front. Comput. Sci. China 2008, 2, 167–178. [Google Scholar] [CrossRef]
- Gui-lu, L.; Yang, L.; Chuan, W. Allowable Generalized Quantum Gates. Commun. Theor. Phys. 2009, 51, 65–67. [Google Scholar] [CrossRef]
- Gudder, S.P. Mathematical Theory of Duality Quantum Computers. Quantum Inf. Process. 2007, 6, 37–48. [Google Scholar] [CrossRef]
- Long, G.L. Grover algorithm with zero theoretical failure rate. Phys. Rev. A 2001, 64, 022307. [Google Scholar] [CrossRef]
- Guilu, L.; Weilin, Z.; Yansong, L.; Li, N. Arbitrary phase rotation of the marked state cannot be used for Grover’s quantum search algorithm. Commun. Theor. Phys. 1999, 32, 335. [Google Scholar] [CrossRef][Green Version]
- Long, G.L.; Li, Y.S.; Zhang, W.L.; Niu, L. Phase matching in quantum searching. Phys. Lett. A 1999, 262, 27–34. [Google Scholar] [CrossRef]
- Zhu, Y.; Wang, Z.; Yan, B.; Wei, S. Robust Quantum Search with Uncertain Number of Target States. Entropy 2021, 23, 1649. [Google Scholar] [CrossRef]
- Berry, D.W.; Childs, A.M.; Kothari, R. Hamiltonian Simulation with Nearly Optimal Dependence on all Parameters. In Proceedings of the 2015 IEEE 56th Annual Symposium on Foundations of Computer Science, Berkeley, CA, USA, 17–20 October 2015; pp. 792–809. [Google Scholar]
- Wei, S.; Ruan, D.; Long, G.L. Duality quantum algorithm efficiently simulates open quantum systems. Sci. Rep. 2016, 6, 30727. [Google Scholar] [CrossRef]
- Childs, A.M.; Kothari, R.; Somma, R.D. Quantum Algorithm for Systems of Linear Equations with Exponentially Improved Dependence on Precision. SIAM J. Comput. 2017, 46, 1920–1950. [Google Scholar] [CrossRef]
- Barenco, A.; Bennett, C.H.; Cleve, R.; DiVincenzo, D.P.; Margolus, N.; Shor, P.; Sleator, T.; Smolin, J.A.; Weinfurter, H. Elementary gates for quantum computation. Phys. Rev. A At. Mol. Opt. Phys. 1995, 52, 3457–3467. [Google Scholar] [CrossRef]
- Montanaro, A.; Pallister, S. Quantum algorithms and the finite element method. Phys. Rev. A 2016, 93, 032324. [Google Scholar] [CrossRef]
- Yoder, T.J.; Low, G.H.; Chuang, I.L. Fixed-point quantum search with an optimal number of queries. Phys. Rev. Lett. 2014, 113, 210501. [Google Scholar] [CrossRef] [PubMed]
- Toyama, F.; Van Dijk, W.; Nogami, Y. Quantum search with certainty based on modified Grover algorithms: Optimum choice of parameters. Quantum Inf. Process. 2013, 12, 1897–1914. [Google Scholar] [CrossRef]
- Kondrashuk, I.; Notte-Cuello, E.A.; Poblete-Cantellano, M.; Rojas-Medar, M.A. On the time-dependent grade-two model for the magnetohydrodynamic flow: 2D case. arXiv 2015, arXiv:1506.00670. [Google Scholar]











Disclaimer/Publisher’s Note: The statements, opinions and data contained in all publications are solely those of the individual author(s) and contributor(s) and not of MDPI and/or the editor(s). MDPI and/or the editor(s) disclaim responsibility for any injury to people or property resulting from any ideas, methods, instructions or products referred to in the content. |
© 2022 by the author. Licensee MDPI, Basel, Switzerland. This article is an open access article distributed under the terms and conditions of the Creative Commons Attribution (CC BY) license (https://creativecommons.org/licenses/by/4.0/).
Share and Cite
Zhu, Y. Quantum-Solving Algorithm for d’Alembert Solutions of the Wave Equation. Entropy 2023, 25, 62. https://doi.org/10.3390/e25010062
Zhu Y. Quantum-Solving Algorithm for d’Alembert Solutions of the Wave Equation. Entropy. 2023; 25(1):62. https://doi.org/10.3390/e25010062
Chicago/Turabian StyleZhu, Yuanye. 2023. "Quantum-Solving Algorithm for d’Alembert Solutions of the Wave Equation" Entropy 25, no. 1: 62. https://doi.org/10.3390/e25010062
APA StyleZhu, Y. (2023). Quantum-Solving Algorithm for d’Alembert Solutions of the Wave Equation. Entropy, 25(1), 62. https://doi.org/10.3390/e25010062

