The Longitudinal Plasma Modes of κ-Deformed Kaniadakis Distributed Plasmas Carrying Orbital Angular Momentum
Abstract
:1. Introduction
2. The Longitudinal Dielectric Function
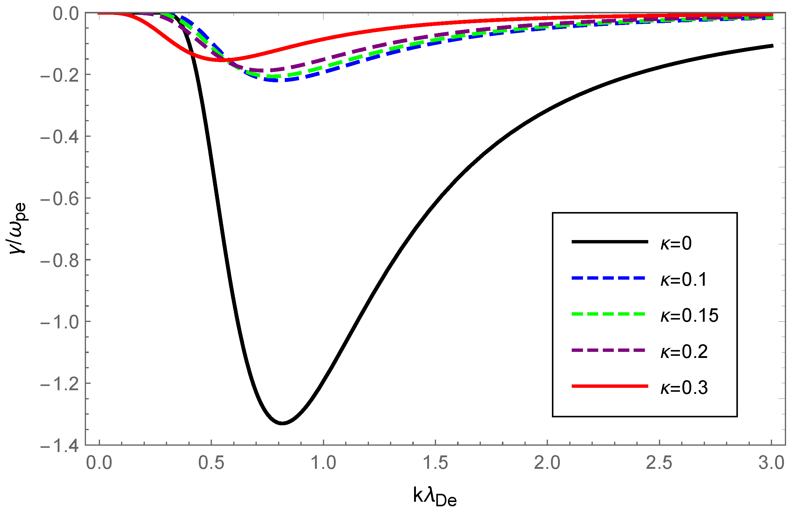
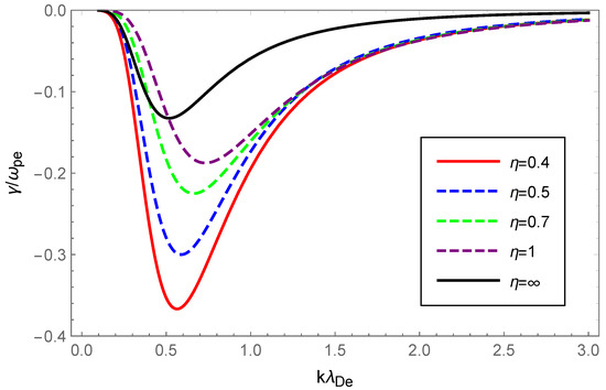
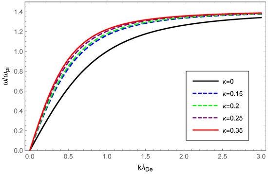
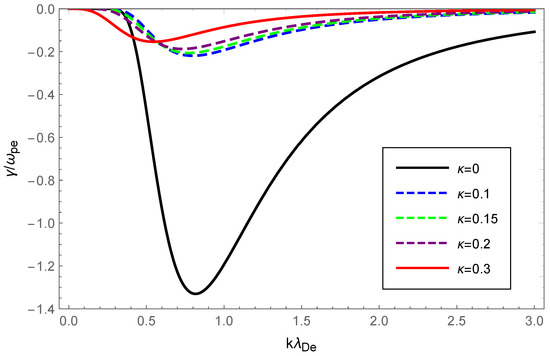
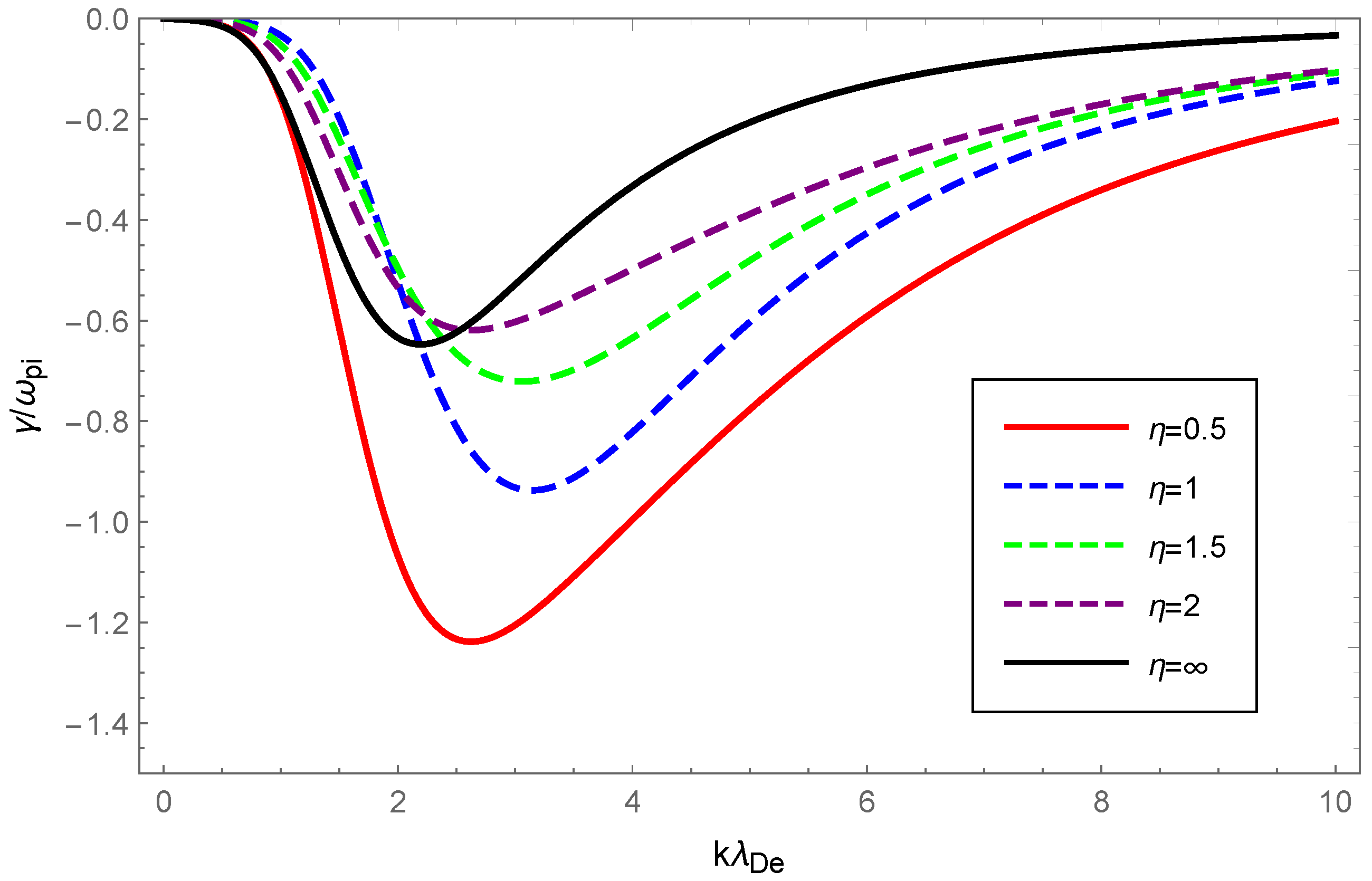
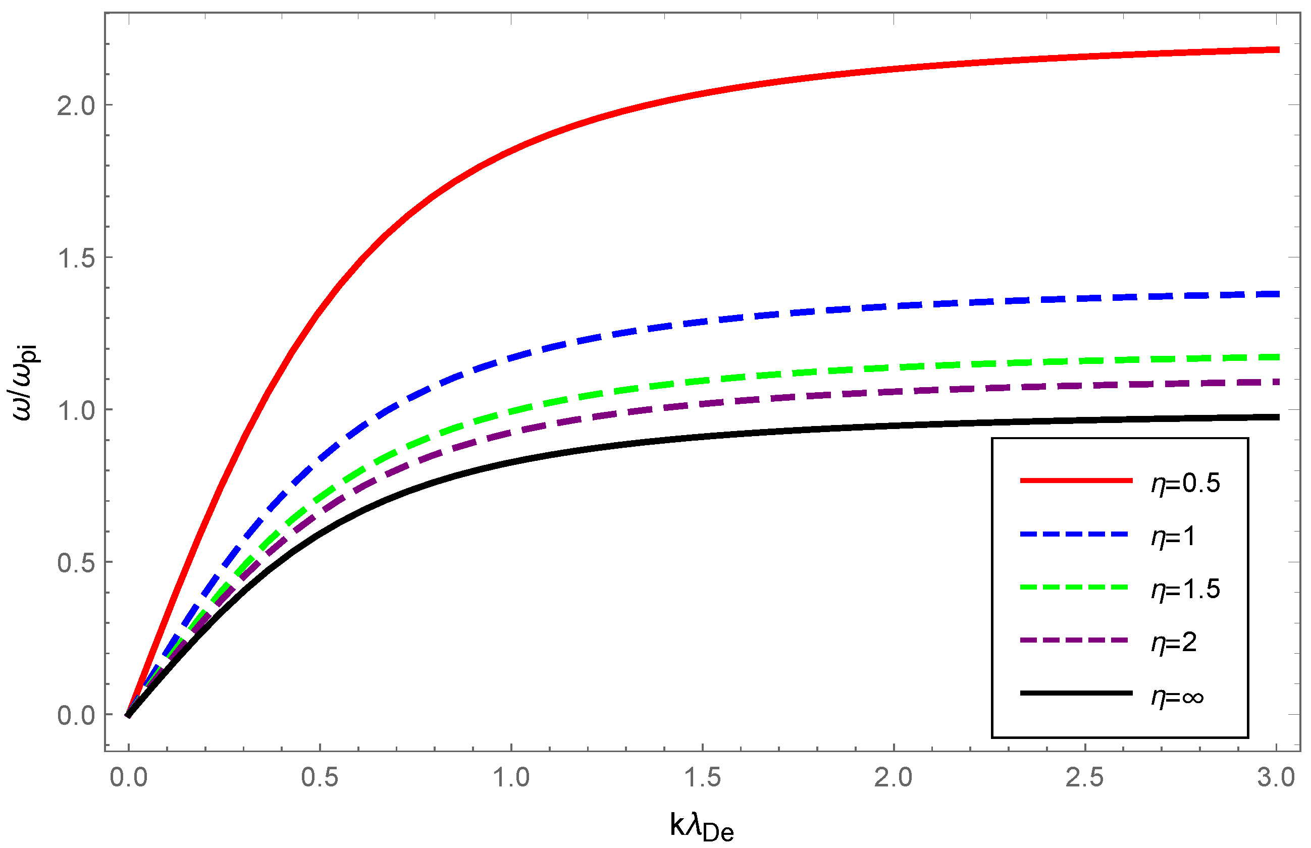
3. The Disperation and Landau Damping of Langmuir Waves
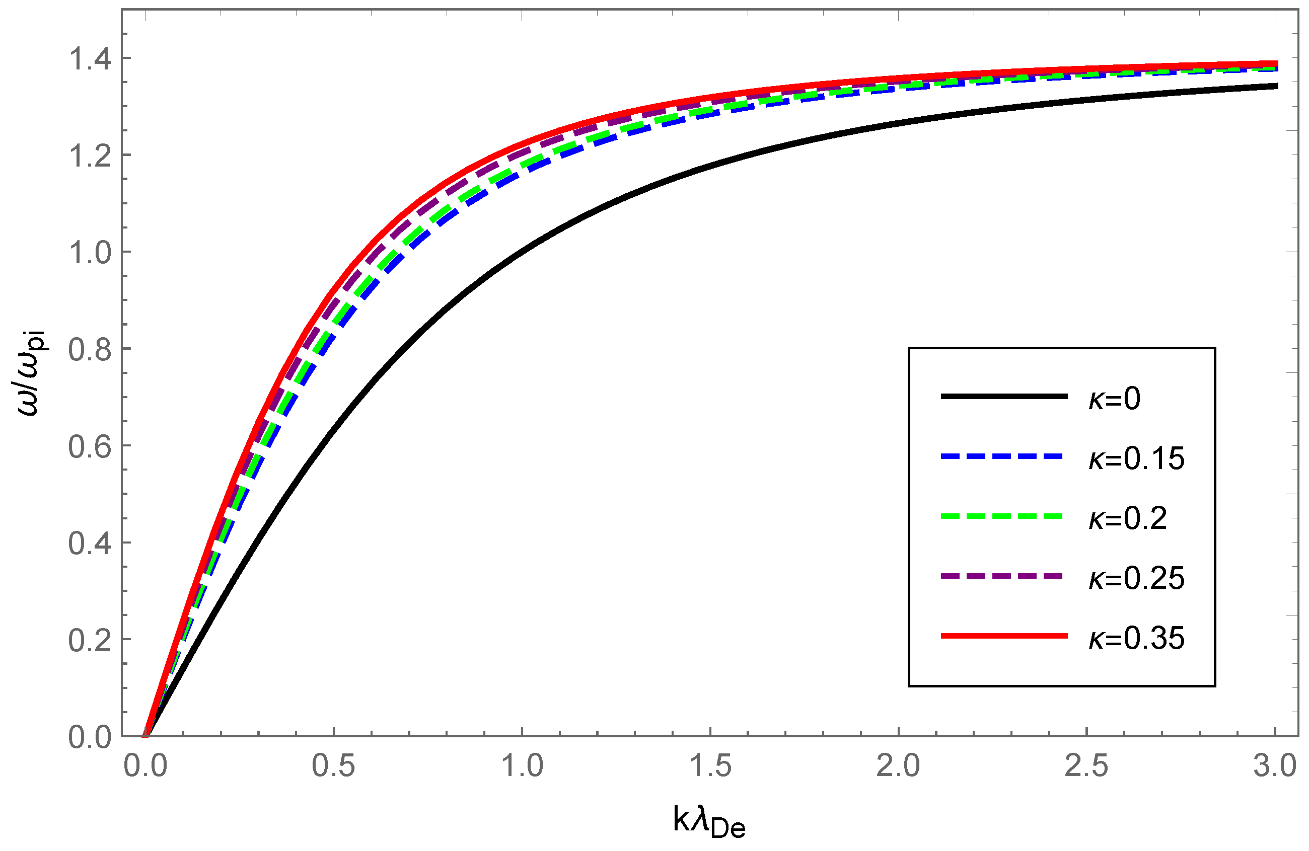
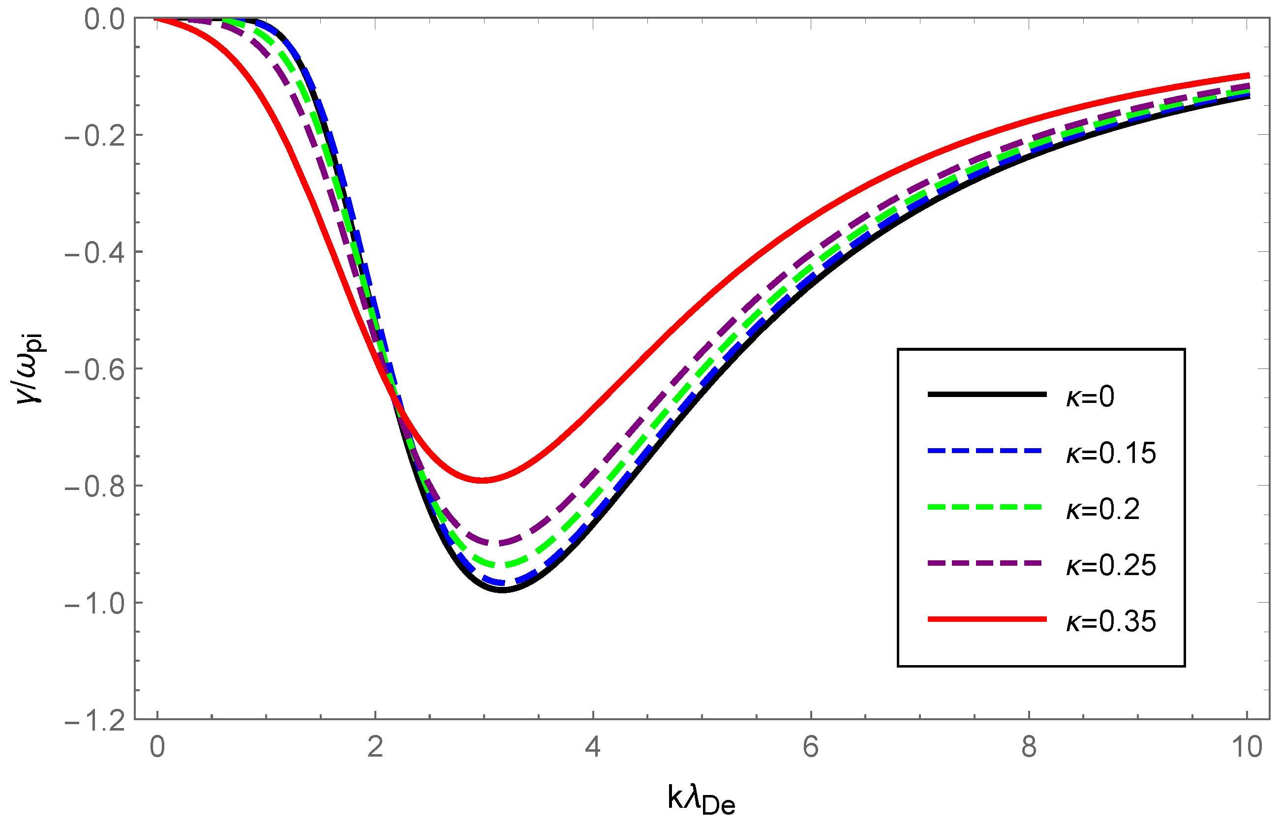
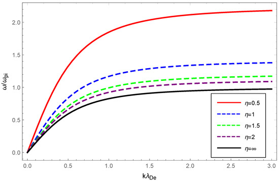
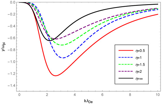
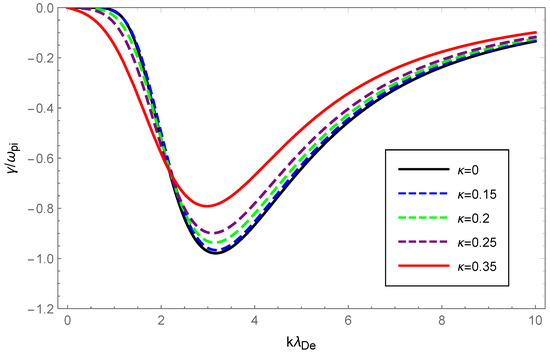
4. The Disperation and Landau Damping of Ion-Acoustic Waves
5. Discussion and Conclusions
Author Contributions
Funding
Conflicts of Interest
References
- Tamm, C.C.O.; Weiss, B. Instability and optical switching of spatial patterns in a laser. J. Opt. Soc. Am. B 1990, 7, 1034–1038. [Google Scholar] [CrossRef]
- Allen, L.; Beijersbergen, M.W.; Spreeuw, R.J.C.; Woerdman, J.P. Orbital angular momentum of light and the transformation of Laguerre-Gaussian laser modes. Phys. Rev. A 1992, 45, 8185. [Google Scholar] [CrossRef] [PubMed]
- Jackson, J.D. Classical Electrodynamics, 2nd ed.; Wiley: New York, NY, USA, 1962. [Google Scholar]
- Ohtake, Y.; Ando, T.; Fukuchi, N.; Matsumoto, N. Universal generation of higher-order multiringed Laguerre-Gaussian beams by using a spatial light modulator. Opt. Lett. 2007, 32, 1411–1413. [Google Scholar] [CrossRef] [PubMed]
- Matsumoto, N.; Ando, T.; Inoue, T.; Ohtake, Y.J. Generation of high-quality higher-order Laguerre-Gaussian beams using liquid-crystal-on-silicon spatial light modulator. Opt. Soc. Am. A 2008, 25, 1642–1651. [Google Scholar] [CrossRef]
- Verbeeck, J.; Tian, H.; Schattschneider, P. Production and application of electron vortex beams. Nature 2010, 467, 301–304. [Google Scholar] [CrossRef]
- Uchida, M.; Tonomura, A. Generation of electron beams carrying orbital angular momentum. Nature 2010, 464, 737–739. [Google Scholar] [CrossRef]
- Taira, Y.; Hayakawa, T.; Katoh, M. Gamma-ray vortices from nonlinear inverse Thomson scattering of circularly polarized light. Sci. Rep. 2017, 7, 5018. [Google Scholar] [CrossRef]
- Zhang, Z.C.; Hai, L.; Fu, S.Y. Advances on solid-state vortex laser. Photonics 2022, 9, 215. [Google Scholar] [CrossRef]
- Ruan, X.C.; Shi, W.H.; Chen, G.J.; Zhao, W. High-rate continuous-variable quantum key distribution with orbital angular momentum multiplexing. Entropy 2021, 23, 1187. [Google Scholar] [CrossRef]
- Willner, A.E.; Ren, Y.; Xie, G.; Yan, Y.L. Recent advances in high-capacity free-space optical and radiofrequency communications using orbital angular momentum multiplexing. Philos. Trans. R. Soc. A Math. Phys. Eng. Sci. 2017, 375, 20150439. [Google Scholar] [CrossRef] [Green Version]
- Chen, R.; Zhou, H.; Moretti, M.; Wang, X. Orbital angular momentum waves: Generation, detection, and emerging applications. IEEE Commun. Surv. Tutor. 2020, 22, 840–868. [Google Scholar] [CrossRef]
- Willner, A.E.; Liu, C. Perspective on using multiple orbital-angular-momentum beams for enhanced capacity in free-space optical communication links. J. Nanophotonics 2020, 10, 225. [Google Scholar] [CrossRef]
- Tamburini, F.; Thidé, B.; Molina, T.G. Twisting of light around rotating black holes. Nat. Phys. 2011, 7, 195–197. [Google Scholar] [CrossRef]
- Gwak, B. Coalescence of Kerr black holes—Binary systems from GW150914 to GW170814. Entropy 2019, 21, 1017. [Google Scholar] [CrossRef]
- Mendonça, J.T.; Thidé, B.; Then, U. Stimulated Raman and Brillouin backscattering of collimated beams carrying orbital angular momentum. Phys. Rev. Lett. 2009, 102, 185005. [Google Scholar] [CrossRef]
- Shukla, P.K. Alfvénic tornadoes in a magnetized plasma. J. Geophys. Res. Space Phys. 2013, 118, 1–4. [Google Scholar] [CrossRef]
- Vieira, J.; Mendonça, J.T. Nonlinear laser driven donut wakefields for positron and electron acceleration. Phys. Rev. Lett. 2014, 112, 215001. [Google Scholar] [CrossRef]
- Vieira, J. Amplification and generation of ultra-intense twisted laser pulses via stimulated Raman scattering. Nat. Commun. 2016, 7, 10371. [Google Scholar] [CrossRef]
- Ali, S.; Davies, J.R.; Mendonça, J.T. Inverse Faraday effect with linearly polarized laser Pulses. Phys. Rev. Lett. 2010, 105, 035001. [Google Scholar] [CrossRef]
- Ali, S.; Mendonça, J.T. Inverse Faraday effect with plasmon beams. Plasma Phys. Control. Fusion 2011, 53, 045007. [Google Scholar] [CrossRef]
- Shahzad, K.; Ali, S. Finite orbital angular momentum states and Laguerre-Gaussian potential in two-temperature electron plasmas. Space Sci. 2014, 353, 3–8. [Google Scholar] [CrossRef]
- Ali, S.; Bukhari, S.; Ikram, M.; Mendonça, J.T. Dust oscillons with finite OAM and dust self-gravity effects. Phys. Scr. 2019, 105, 055602. [Google Scholar] [CrossRef]
- Katoh, M.; Fujimoto, M.; Kawaguchi, H.; Tsuchiya, K. Angular momentum of twisted radiation from an electron in spiral motion. Phys. Rev. Lett. 2017, 118, 094801. [Google Scholar] [CrossRef]
- Leyser, T.B.; Norin, L.; McCarrick, M.; Pedersen, T.R. Radio pumping of ionospheric plasma with orbital angular momentum. Phys. Rev. Lett. 2009, 102, 065004. [Google Scholar] [CrossRef] [PubMed]
- Vieira, J.; Mendonça, J.T.; Quere, F. Optical control of the topology of laser-plasma accelerators. Phys. Rev. Lett. 2018, 121, 054801. [Google Scholar] [CrossRef] [PubMed]
- Shi, Y.; Vieira, J.; Trines, R.M.G.M.; Bingham, R. Magnetic field generation in plasma waves driven by copropagating intense twisted lasers. Phys. Rev. Lett. 2018, 121, 145002. [Google Scholar] [CrossRef]
- Mendonça, J.T.; Ali, S.; Thidé, B. Plasmons with orbital angular momentum. Phys. Plasmas 2009, 16, 112103. [Google Scholar] [CrossRef]
- Mendonça, J.T. Kinetic description of electron plasma waves with orbital angular momentum. Phys. Plasmas 2012, 9, 112113. [Google Scholar] [CrossRef]
- Khan, S.A.; Rehman, A.; Mendonça, J.T. Kinetic study of ion-acoustic plasma vortices. Phys. Plasmas 2014, 21, 092109. [Google Scholar] [CrossRef]
- Rehman, A.; Ali, S.; Khan, S.A. Twisted electron-acoustic waves in plasmas. Phys. Plasmas 2016, 23, 082122. [Google Scholar] [CrossRef]
- Khan, S.A.; Fukuyama, A. On kinetic electrostatic plasma waves carrying orbital angular momentum. Phys. Plasmas 2021, 28, 047507. [Google Scholar] [CrossRef]
- Kaniadakis, G. Statistical mechanics in the context of special relativity. Phys. Rev. E 2002, 66, 056125. [Google Scholar] [CrossRef]
- Rényi, A. On a new axiomatic theory of probability. Acta Math. Hung. 1955, 6, 285–335. [Google Scholar] [CrossRef]
- Tsallis, C. Possible generalization of Boltzmann-Gibbs statistics. J. Stat. Phys. 1988, 52, 479–487. [Google Scholar] [CrossRef]
- Tsallis, C.; Cirto, L.J.L. Black hole thermodynamical entropy. Eur. Phys. J. C 2013, 73, 2487. [Google Scholar] [CrossRef]
- Douglas, P.; Bergamini, S.; Renzoni, F. Tunable tsallis distributions in dissipative optical lattices. Phys. Rev. Lett. 2006, 96, 110601. [Google Scholar] [CrossRef]
- Liu, B.; Goree, J. Superdiffusion and non-Gaussian statistics in a driven-dissipative 2D dusty plasma. Phys. Rev. Lett. 2008, 100, 055003. [Google Scholar] [CrossRef]
- Kaniadakis, G. Non-linear kinetics underlying generalized statistics. Physica A 2001, 296, 405–425. [Google Scholar] [CrossRef]
- Rossani, A.; Scarfone, A.M. Generalized kinetic equations for a system of interacting atoms and photons: Theory and simulations. J. Phys. A 2004, 37, 4955. [Google Scholar] [CrossRef]
- Biro, T.S.; Kaniadakis, G. Two generalizations of the Boltzmann equation. Eur. Phys. J. B 2006, 50, 3–6. [Google Scholar] [CrossRef] [Green Version]
- Casas, G.A.; Nobre, F.D.E.; Curado, M.F. Entropy production and nonlinear Fokker-Planck equations. Phys. Rev. E 2012, 86, 061136. [Google Scholar] [CrossRef]
- Kaniadakis, G.; Hristopulos, D.T. Nonlinear kinetics on lattices based on the kinetic interaction principle. Entropy 2018, 20, 426. [Google Scholar] [CrossRef]
- Ourabah, K.; Tribeche, M. Planck radiation law and Einstein coefficients reexamined in Kaniadakis κ statistics. Phys. Rev. E 2014, 89, 062130. [Google Scholar] [CrossRef]
- Ourabah, K.; Hamici-Bendimerad, A.H.; Tribeche, M. Quantum entanglement and Kaniadakis entropy. Phys. Scr. 2015, 90, 045101. [Google Scholar] [CrossRef]
- Teweldeberhan, A.M.; Miller, H.G.; Tegen, G. κ-deformed statistics and the formation of a quark-gluon plasma. Int. J. Mod. Phys. E 2003, 12, 669. [Google Scholar] [CrossRef]
- Moretto, E.; Pasquali, S.; Trivellato, B. A non-Gaussian option pricing model based on Kaniadakis exponential deformation. Eur. Phys. J. B. 2017, 90, 179. [Google Scholar] [CrossRef]
- Trivellato, B. Deformed exponentials and applications to finance. Entropy 2013, 15, 3471–3489. [Google Scholar] [CrossRef]
- Kaniadakis, G.; Baldi, M.M.; Deisboeck, T.S. The κ-statistics approach to epidemiology. Sci. Rep. 2020, 10, 19949. [Google Scholar] [CrossRef]
- Beck, C.; Cohen, E.G.D. Superstatistics. Physical A 2003, 322, 267–275. [Google Scholar] [CrossRef]
- Ourabah, K.; Gougam, L.A.; Tribeche, M. Nonthermal and suprathermal distributions as a consequence of superstatistics. Phys. Rev. E 2015, 91, 012133. [Google Scholar] [CrossRef]
- Chen, H.; Zhang, S.X.; Liu, S.Q. Jeans gravitational instability with κ-deformed Kaniadakis distribution. Chin. Phys. Lett. 2017, 34, 075101. [Google Scholar] [CrossRef]
- Chen, H.; Zhang, S.X.; Liu, S.Q. The longitudinal plasmas modes of κ-deformed Kaniadakis distributed plasmas. Phys. Plasmas 2017, 24, 022125. [Google Scholar] [CrossRef]
- He, K.R. Jeans analysis with κ-deformed Kaniadakis distribution in f (R) gravity. Phys. Scr. 2020, 97, 025601. [Google Scholar] [CrossRef]
- Yang, W.H.; Xiong, Y.Z.; Chen, H.; Liu, S.Q. Jeans gravitational instability with κ-deformed Kaniadakis distribution in eddington-inspired born–infield gravity. Chin. Phys. B 2020, 29, 110401. [Google Scholar] [CrossRef]
- Chen, Q.; Qin, H.; Liu, J. Photons, phonons, and plasmons with orbital angular momentum in plasmas. Sci. Rep. 2017, 7, 41731. [Google Scholar] [CrossRef]
- Gougam, L.A.; Tribeche, M. Electron-acoustic waves in a plasma with a κ-deformed Kaniadakis electron distribution. Phys. Plasmas 2016, 23, 014501. [Google Scholar] [CrossRef]
- Chen, X.C.; Li, X.Q. Comment on “Plasma oscillations and nonextensive statistics”. Phys. Rev. E 2012, 86, 068401. [Google Scholar] [CrossRef] [Green Version]








Publisher’s Note: MDPI stays neutral with regard to jurisdictional claims in published maps and institutional affiliations. |
© 2022 by the authors. Licensee MDPI, Basel, Switzerland. This article is an open access article distributed under the terms and conditions of the Creative Commons Attribution (CC BY) license (https://creativecommons.org/licenses/by/4.0/).
Share and Cite
Tan, L.; Yang, Q.; Chen, H.; Liu, S. The Longitudinal Plasma Modes of κ-Deformed Kaniadakis Distributed Plasmas Carrying Orbital Angular Momentum. Entropy 2022, 24, 1211. https://doi.org/10.3390/e24091211
Tan L, Yang Q, Chen H, Liu S. The Longitudinal Plasma Modes of κ-Deformed Kaniadakis Distributed Plasmas Carrying Orbital Angular Momentum. Entropy. 2022; 24(9):1211. https://doi.org/10.3390/e24091211
Chicago/Turabian StyleTan, Ling, Qiaoyun Yang, Hui Chen, and Sanqiu Liu. 2022. "The Longitudinal Plasma Modes of κ-Deformed Kaniadakis Distributed Plasmas Carrying Orbital Angular Momentum" Entropy 24, no. 9: 1211. https://doi.org/10.3390/e24091211
APA StyleTan, L., Yang, Q., Chen, H., & Liu, S. (2022). The Longitudinal Plasma Modes of κ-Deformed Kaniadakis Distributed Plasmas Carrying Orbital Angular Momentum. Entropy, 24(9), 1211. https://doi.org/10.3390/e24091211

