Ecological Function Analysis and Optimization of a Recompression S-CO2 Cycle for Gas Turbine Waste Heat Recovery
Abstract
:1. Introduction
2. Physical Model
3. Results and Discussion
3.1. Ecological Function Analysis of RCSCBC
3.2. Performance Optimization
4. Conclusions
- (1)
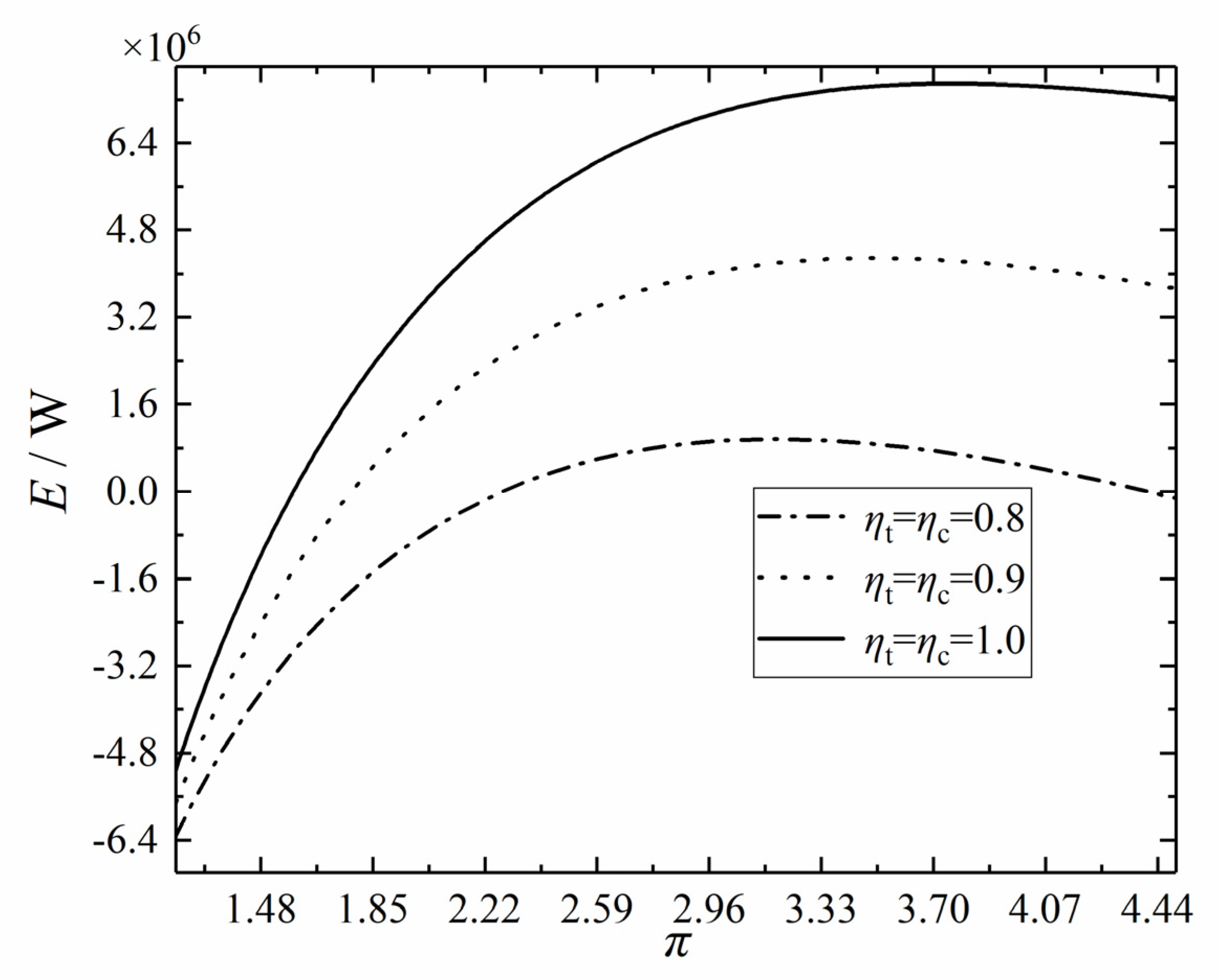
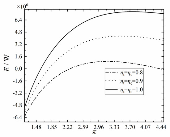
- The values of and reflect the irreversibility of the expansion process and the compression process, and the E is used as a thermodynamic index for compromising entropy yield and net power. The irreversibility of the cycle can be measured to a certain extent, that is, there is a correlation between , , and E. The higher the and , the smaller the energy loss caused by the irreversibility of the cycle, and the larger the E value.
- (2)
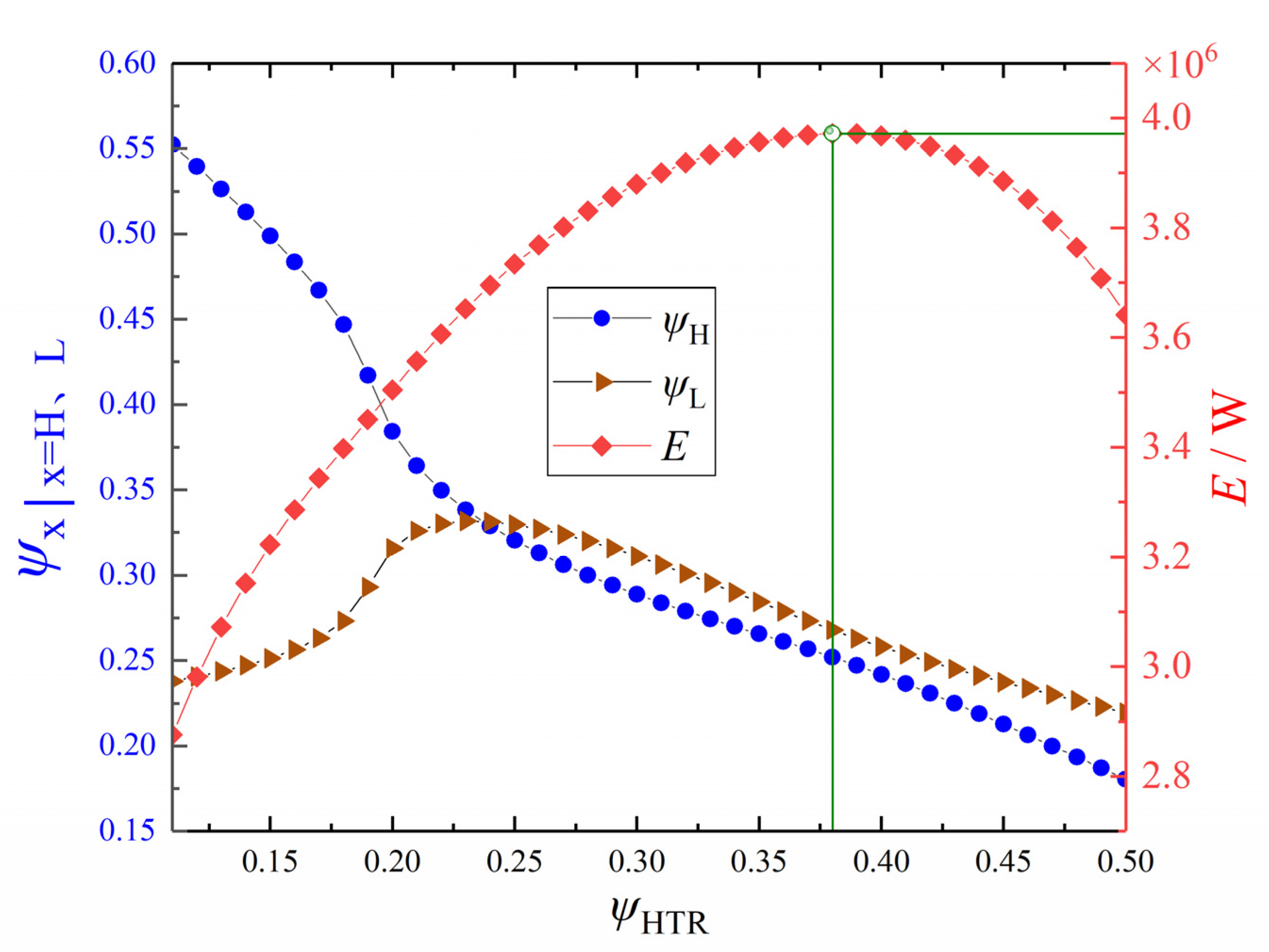
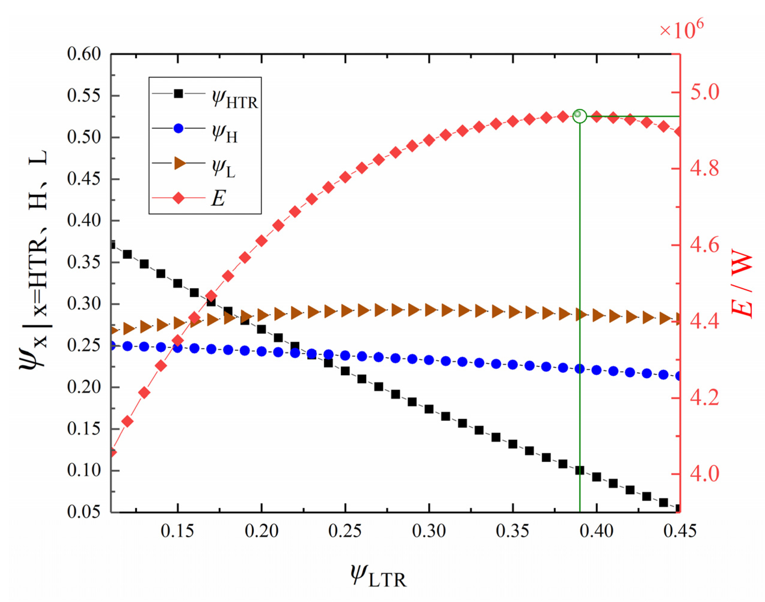
- When the is small, the , heater and HTR are the main influencing factors on the ecological function. When the is large, the influences of the re-compressor, LTR, and cooler on the E increases. A reasonable adjustment of the distribution ratios of , , , and can make the cycle performance better, but plays a much more important role.
- (3)
- Each cycle parameter not only affects the performance of the cycle, but also has a mutual influence relationship. The ecological function can be increased by 12.13%, 31.52%, 52.2%, 93.26%, and 96.99% compared with the IDP after one-, two-, three-, four-, and five-time optimizations.
Author Contributions
Funding
Informed Consent Statement
Data Availability Statement
Acknowledgments
Conflicts of Interest
Nomenclature
| Specific heat capacity at constant pressure, | |
| E | Ecological function, W |
| h | Specific enthalpy, |
| m | Mass flow rate, |
| p | Pressure, Mpa |
| Q | Heat transfer rate, W |
| sg | Entropy production rate, |
| T | Temperature, K |
| U | Heat conductance, |
| W | Net power output, W |
| x | Diversion coefficient |
| Greek letters | |
| Heat conductance distribution ratio | |
| Pressure ratio | |
| η | Efficiency |
| Subscripts | |
| c | Compressor |
| Heat source | |
| High temperature regenerator | |
| in | Inlet or inside |
| Cold source | |
| Low temperature regenerator | |
| out | Outlet or outside |
| Re-compressor | |
| Total | |
| t | Turbine |
| Abbreviations | |
| BC | Brayton cycle |
| FTT | Finite-time thermodynamics |
| GT | Gas turbine |
| HCDR | Heat conductance distribution ratio |
| HEX | Heat exchanger |
| NPO | Net power output |
| RCSCBC | Recompression S-CO2 Brayton cycle |
| S-CO2 | Supercritical Carbon-dioxide |
| SCBC | S-CO2 Brayton cycle |
| TEF | Thermal Efficiency |
| WF | Working Fluid |
References
- Wright, S.A.; Parma, E.J.J.; Vernon, M.E.; Fleming, D.D.; Rochau, G.E.; Suo-Anttila, A.J.; Rashdan, A.A.; Tsvetkov, P.V. Supercritical CO2 direct cycle Gas Fast Reactor (SC-GFR) concept. Off. Sci. Tech. Inf. Tech. Rep. 2011, 91–94. [Google Scholar]
- Luo, D.; Huang, D.G. Thermodynamic and exergoeconomic investigation of various SCO2 Brayton cycles for next generation nuclear reactors. Energy Convers. Manag. 2020, 209, 112649. [Google Scholar] [CrossRef]
- Espinel Blanco, E.; Valencia Ochoa, G.; Duarte Forero, J. Thermodynamic, Exergy and Environmental Impact Assessment of S-CO2 Brayton Cycle Coupled with ORC as Bottoming Cycle. Energies 2020, 13, 2259. [Google Scholar] [CrossRef]
- Saeed, M.; Khatoon, S.; Kim, M. Design optimization and performance analysis of a supercritical carbon dioxide recompression Brayton cycle based on the detailed models of the cycle components. Energy Convers. Manag. 2019, 196, 242–260. [Google Scholar] [CrossRef]
- Kim, S.; Cho, Y.; Kim, M.S.; Kim, M. Characteristics and optimization of supercritical CO2 recompression power cycle and the influence of pinch point temperature difference of recuperators. Energy 2018, 147, 1216–1226. [Google Scholar] [CrossRef]
- Padilla, R.V.; Too, Y.C.S.; Benito, R.; Stein, W. Exergetic analysis of supercritical CO2 Brayton cycles integrated with solar central receivers. Appl. Energy 2015, 148, 348–365. [Google Scholar] [CrossRef]
- Jokar, M.A.; Ahmadi, M.H.; Sharifpur, M.; Meyer, J.P.; Pourfayaz, F.; Ming, T. Thermodynamic evaluation and multi-objective optimization of molten carbonate fuel cell-supercritical CO2 Brayton cycle hybrid system. Energy Convers. Manag. 2017, 153, 538–556. [Google Scholar] [CrossRef]
- Wang, S.; Li, B. Thermodynamic Analysis and Optimization of a Novel Power-Water Cogeneration System for Waste Heat Recovery of Gas Turbine. Entropy 2021, 23, 1656. [Google Scholar] [CrossRef]
- Montes, M.J.; Linares, J.I.; Barbero, R.; Moratilla, B.Y. Optimization of a New Design of Molten Salt-to-CO2 Heat Exchanger Using Exergy Destruction Minimization. Entropy 2020, 22, 883. [Google Scholar] [CrossRef]
- Rogalev, N.; Rogalev, A.; Kindra, V.; Komarov, I.; Zlyvko, O. Structural and Parametric Optimization of S–CO2 Nuclear Power Plants. Entropy 2021, 23, 1079. [Google Scholar] [CrossRef]
- Siddiqui, M.E.; Almitani, K.H. Proposal and Thermodynamic Assessment of S-CO2 Brayton Cycle Layout for Improved Heat Recovery. Entropy 2020, 22, 305. [Google Scholar] [CrossRef] [PubMed] [Green Version]
- Al-Sulaiman, F.A.; Atif, M. Performance comparison of different supercritical carbon dioxide Brayton cycles integrated with a solar power tower. Energy 2015, 82, 61–71. [Google Scholar] [CrossRef]
- Vasquez, P.R.; Too, Y.C.S.; Benito, R.; McNaughton, R.; Stein, W. Multi-objective thermodynamic optimisation of supercritical CO2 Brayton cycles integrated with solar central receivers. Int. J. Sustain. Energy 2018, 37, 1–20. [Google Scholar] [CrossRef]
- Anton, M.; James, J.S. Investigation of alternative layouts for the supercritical carbon dioxide Brayton cycle for a sodiumcooled fast reactor. Nucl. Eng. Des. 2009, 239, 1362–1371. [Google Scholar]
- Alharbi, S.; Elsayed, M.L.; Chow, L.C. Exergoeconomic analysis and optimization of an integrated system of supercritical CO2 Brayton cycle and multi-effect desalination. Energy 2020, 197, 117225. [Google Scholar] [CrossRef]
- Liu, Z.; Ju, Y.P.; Zhang, C.H. Thermodynamic Design of A Supercritical CO2 Brayton Cycle for 40 MW Shipboard Application. Compress. Blower Fan Technol. 2019, 61, 67–71. [Google Scholar]
- Li, B.; Wang, S.; Wang, K.; Song, L. Comparative investigation on the supercritical carbon dioxide power cycle for waste heat recovery of gas turbine. Energy Convers. Manag. 2021, 228, 113670. [Google Scholar] [CrossRef]
- Khadse, A.; Blanchette, L.; Kapat, J.; Vasu, S.; Hossain, J.; Donazzolo, A. Optimization of Supercritical CO2 Brayton Cycle for Simple Cycle Gas Turbines Exhaust Heat Recovery Using Genetic Algorithm. J. Energy Resour. Technol. 2018, 140, 71601. [Google Scholar] [CrossRef]
- Mohammadi, K.; Ellingwood, K.; Powell, K. A novel triple power cycle featuring a gas turbine cycle with supercritical carbon dioxide and organic Rankine cycles: Thermoeconomic analysis and optimization. Energy Convers. Manag. 2020, 220, 113123. [Google Scholar] [CrossRef]
- Saeed, M.; Kim, M. A newly proposed supercritical carbon dioxide Brayton cycle configuration to enhance energy sources integration capability. Energy 2022, 239, 121868. [Google Scholar] [CrossRef]
- Khatoon, S.; Ishaque, S.; Kim, M. Modeling and analysis of air-cooled heat exchanger integrated with supercritical carbon dioxide recompression Brayton cycle. Energy Convers. Manag. 2021, 232, 113895. [Google Scholar] [CrossRef]
- Bejan, A. General criterion for rating heat-exchanger performance. Int. J. Heat Mass Transf. 1978, 21, 655–658. [Google Scholar] [CrossRef]
- Andresen, B.; Berry, R.S.; Nitzan, A.; Salamon, P. Thermodynamics in finite time. I. The step-Carnot cycle. Phys. Rev. A 1977, 15, 2086–2093. [Google Scholar] [CrossRef]
- Bejan, A. Entropy generation minimization: The new thermodynamics of finite-size devices and finite-time processes. J. Appl. Phys. 1996, 79, 1191–1218. [Google Scholar] [CrossRef] [Green Version]
- Hoffmann, K.H.; Burzler, J.; Fischer, A.; Schaller, M.; Schubert, S. Optimal Process Paths for Endoreversible Systems. J. Non-Equil. Ther. 2003, 28, 233–268. [Google Scholar] [CrossRef]
- Andresen, B.; Salamon, P.; Berry, R.S. Thermodynamics in finite time. Phys. Today 2008, 37, 62–70. [Google Scholar] [CrossRef]
- Chen, L.; Wu, C.; Sun, F. Finite Time Thermodynamic Optimization or Entropy Generation Minimization of Energy Systems. J. Non-Equil. Ther. 2000, 24, 327–359. [Google Scholar] [CrossRef]
- Hoffmann, K.H. An introduction to endoreversible thermodynamics. Atti Accad. Peloritana Pericolanti 2008, 86, 1–18. [Google Scholar]
- Ge, Y.; Chen, L.; Sun, F. Progress in Finite Time Thermodynamic Studies for Internal Combustion Engine Cycles. Entropy 2016, 18, 139. [Google Scholar] [CrossRef] [Green Version]
- Andresen, B. Current trends in finite-time thermodynamics. Angew. Chem. 2015, 50, 2690–2704. [Google Scholar] [CrossRef]
- Açıkkalp, E. Exergetic sustainability evaluation of irreversible Carnot refrigerator. Phys. A Stat. Mech. Appl. 2015, 436, 311–320. [Google Scholar] [CrossRef]
- Feng, H.J.; Chen, W.J.; Chen, L.G.; Tang, W. Power and efficiency optimizations of an irreversible regenerative organic Rankine cycle. Energy Convers. Manag. 2020, 220, 113079. [Google Scholar] [CrossRef]
- Wang, L.; Bu, X.; Li, H. Multi-objective optimization and off-design evaluation of organic rankine cycle (ORC) for low-grade waste heat recovery. Energy 2020, 203, 117809. [Google Scholar] [CrossRef]
- Zerom, M.S.; Gonca, G. Multi-criteria performance analysis of dual miller cycle—Organic rankine cycle combined power plant. Energy Convers. Manag. 2020, 221, 113121. [Google Scholar] [CrossRef]
- Ahmadi, M.H.; Ahmadi, M.A.; Sadatsakkak, S.A. Thermodynamic analysis and performance optimization of irreversible Carnot refrigerator by using multi-objective evolutionary algorithms (MOEAs). Renew. Sustain. Energy Rev. 2015, 51, 1055–1070. [Google Scholar] [CrossRef]
- Elghool, A.; Basrawi, F.; Ibrahim, H.; Ibrahim, T.K.; Ishak, M.; Yusof, T.M.; Bagaber, S.A. Enhancing the performance of a thermo-electric generator through multi-objective optimisation of heat pipes-heat sink under natural convection. Energy Convers. Manag. 2020, 209, 112626. [Google Scholar] [CrossRef]
- Zhou, C.; Zhuang, Y.; Zhang, L.; Liu, L.; Shen, S. A novel pinch-based method for process integration and optimization of Kalina cycle. Energy Convers. Manag. 2020, 209, 112630. [Google Scholar] [CrossRef]
- Feng, H.; Qin, W.; Chen, L.; Cai, C.; Ge, Y.; Xia, S. Power output, thermal efficiency and exergy-based ecological performance optimizations of an irreversible KCS-34 coupled to variable temperature heat reservoirs. Energy Convers. Manag. 2020, 205, 112424. [Google Scholar] [CrossRef]
- Ahmadi, M.H.; Ahmadi, M.A.; Maleki, A.; Pourfayaz, F.; Bidi, M.; Acikkalp, E. Exergetic sustainability evaluation and multi-objective optimization of performance of an irreversible nanoscale Stirling refrigeration cycle operating with Maxwell–Boltzmann gas. Renew. Sustain. Energy Rev. 2017, 78, 80–92. [Google Scholar] [CrossRef]
- Ahmadi, M.H.; Ahmadi, M.A.; Pourfayaz, F.; Hosseinzade, H.; Acıkkalp, E.; Tlili, I.; Feidt, M. Designing a powered combined Otto and Stirling cycle power plant through multi-objective optimization approach. Renew. Sustain. Energy Rev. 2016, 62, 585–595. [Google Scholar] [CrossRef]
- Cheng, C.; Chen, C. Power optimization of an irreversible Brayton heat engine. Energy Source 1997, 19, 461–474. [Google Scholar] [CrossRef]
- Cheng, C.Y.; Chen, C.K. Efficiency Optimizations of an Irreversible Brayton Heat Engine. J. Energy Resour. Technol. 1998, 120, 143–148. [Google Scholar] [CrossRef]
- Cheng, C.Y.; Chen, C.K. Ecological optimization of an irreversible Brayton heat engine. J. Phys. D Appl. Phys. 1999, 32, 350. [Google Scholar] [CrossRef]
- Ust, Y.; Sahin, B.; Kodal, A.; Akcay, I.H. Ecological coefficient of performance analysis and optimization of an irreversible regenerative-Brayton heat engine. Appl. Energy 2006, 83, 558–572. [Google Scholar] [CrossRef]
- Kaushik, S.C.; Tyagi, S.K. Finite time thermodynamic analysis of an irreversible regenerative closed cycle brayton heat engine. Int. J. Sol. Energy 2002, 22, 141–151. [Google Scholar] [CrossRef]
- Tyagi, S.K.; Chen, J.; Kaushik, S.C. The performance characteristics of an irreversible regenerative intercooled Brayton cycle at maximum thermoeconomic function. Int. J. Ambient. Energy 2005, 26, 155–168. [Google Scholar] [CrossRef]
- Tyagi, S.K.; Kaushik, S.C. Ecological optimisation of an irreversible regenerative intercooled Brayton heat engine with direct heat loss. Int. J. Ambient. Energy 2005, 26, 81–92. [Google Scholar] [CrossRef]
- Tyagi, S.K.; Wang, S.W.; Chen, G.M.; Han, X.H.; Kaushik, S.C. Optimal criteria for different parameters of an irreversible regenerative intercooled Brayton cycle under maximum power and maximum ecological COP conditions. Int. J. Ambient. Energy 2005, 26, 155–168. [Google Scholar] [CrossRef]
- Tyagi, S.K. Effects of intercooling on the performance of an irreversible regenerative Brayton cycle. Int. J. Sol. Energy 2009, 28, 231–245. [Google Scholar]
- Na, S.I.; Kim, M.S.; Baik, Y.J.; Kim, M. Optimal allocation of heat exchangers in a Supercritical carbon dioxide power cycle for waste heat recovery. Energy Convers. Manag. 2019, 199, 112002. [Google Scholar] [CrossRef]
- Jin, Q.; Xia, S.; Li, P.; Xie, T. Multi-objective performance optimization of regenerative S-CO2 Brayton cycle based on neural network prediction. Energy Convers. Manag. X 2022, 14, 100203. [Google Scholar] [CrossRef]
- Chen, L.G.; Sun, F.R.; Wu, C. Theoretical analysis of the performance of a regenerative closed Brayton cycle with internal irreversibilities. Energy Convers. Manag. 1997, 38, 871–877. [Google Scholar] [CrossRef]
- Chen, L.G.; Wang, J.H.; Sun, F.R. Power density optimisation of endoreversible closed intercooled regenerated Brayton cycle. J. Energy Inst. 2007, 80, 105–109. [Google Scholar] [CrossRef]
- Chen, L.G.; Wang, J.H.; Sun, F.R.; Al, E. Power density optimization of an irreversible variable-temperature heat reservoir closed intercooled regenerated Brayton cycle. Int. J. Ambient. Energy 2009, 30, 9–26. [Google Scholar] [CrossRef]
- Chen, L.G.; Zheng, J.L.; Sun, F.R.; Wu, C. Power, power density and efficiency optimization for a closed cycle helium turbine nuclear power plant. Energy Convers. Manag. 2003, 44, 2393–2401. [Google Scholar] [CrossRef]
- Chen, L.G.; Sun, F.R.; Wu, C. Optimum Heat Conductance Distribution for Power Optimization of a Regenerated Closed Brayton Cycle. Int. J. Green Energy 2005, 2, 243–258. [Google Scholar] [CrossRef]
- Span, R.; Wagner, W. A New Equation of State for Carbon Dioxide Covering the Fluid Region from the Triple-Point Temperature to 1100 K at Pressures up to 800 MPa. J. Phys. Chem. Ref. Data 1996, 25, 1509–1596. [Google Scholar] [CrossRef] [Green Version]















| Parameter | Value | Parameter | Value |
|---|---|---|---|
| TH,in | 805.15 K | ηt | 0.89 |
| TL,in | 298.15 K | ηc,2 | 1.0 |
| mH | 89.9 kg·s−1 | UHTR | 600 kW·K−1 |
| mL | 1000 kg·s−1 | UH | 1200 kW·K−1 |
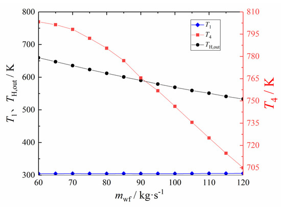
| mwf | 120 kg·s−1 | ULTR | 300 kW·K−1 |
| xp | 0.8 | UL | 900 kW·K−1 |
| pmin | 7.7 MPa | cp,L | 4181.3 kJ·(kg·K)−1 |
| pmax | 20 MPa | cp,H | 1103.7 kJ·(kg·K)−1 |
| ηc | 0.89 | - | - |
| Parameter Name | E | T1 |
|---|---|---|
| Samples | 6227 | 6227 |
| Input nodes | 6 | 6 |
| Output | 1 | 1 |
| Hidden layers | 2 | 2 |
| Number of hidden layer nodes layer nodes | 30, 15 | 30, 15 |
| Hidden layer activation function | tansig, purelin | tansig, purelin |
| Training times | 80,000 | 80,000 |
| Minimum number of confirmation failures | 10,000 | 10,000 |
| Learning rate | 120.0 | 120.0 |
| Minimum training target error | 1 × 10−6 | 1 × 10−7 |
| Performance function | mse | mse |
| Parameters and Objective | Initial Design Point | One-Time Optimization Result | Two-Time Optimization Result | Three-Time Optimization Result | Four-Time Optimization Result | Five-Time Optimization Result |
|---|---|---|---|---|---|---|
| mwf/kg·s−1 | 140 | 140 | 140 | 105 | 86.35 | 85.26 |
| π | 3 | 3 | 3 | 3 | 5.02 | 5.83 |
| xp | 0.8 | 0.8 | 0.8 | 0.8 | 0.80 | 0.90 |
| ψLTR | 0.1 | 0.1 | 0.39 | 0.13 | 0.28 | 0.23 |
| ψHTR | 0.2 | 0.38 | 0.1 | 0.27 | 0.15 | 0.16 |
| ψH | 0.4 | 0.22 | 0.22 | 0.33 | 0.37 | 0.39 |
| ψL | 0.3 | 0.27 | 0.29 | 0.27 | 0.20 | 0.22 |
| E/×106 W | 3.75 | 3.972 | 4.937 | 5.707 | 7.25 | 7.387 |
| δE/% | - | 5.92 | 31.65 | 52.2 | 93.26 | 96.99 |
| Optimization Variables | Objective | Results | ||||||
|---|---|---|---|---|---|---|---|---|
| mwf/kg·s−1 | π | xp | ψLTR | ψHTR | ψH | ψL | E/×106 W | δE/% |
| 60.00 | 5.76 | 0.83 | 0.28 | 0.21 | 0.37 | 0.15 | 5.998 | 59.93 |
| 65.00 | 6.55 | 0.90 | 0.24 | 0.29 | 0.31 | 0.17 | 6.512 | 73.66 |
| 70.00 | 6.15 | 0.90 | 0.15 | 0.20 | 0.47 | 0.18 | 6.844 | 82.49 |
| 75.00 | 5.88 | 0.89 | 0.22 | 0.22 | 0.37 | 0.19 | 7.127 | 90.05 |
| 80.00 | 6.00 | 0.90 | 0.19 | 0.17 | 0.43 | 0.21 | 7.305 | 94.79 |
| 85.00 | 5.83 | 0.90 | 0.24 | 0.18 | 0.36 | 0.22 | 7.350 | 96.01 |
| 90.00 | 5.67 | 0.87 | 0.21 | 0.16 | 0.40 | 0.23 | 7.286 | 94.30 |
| 95.00 | 5.04 | 0.79 | 0.30 | 0.15 | 0.33 | 0.22 | 7.205 | 92.13 |
| 100.00 | 5.19 | 0.82 | 0.32 | 0.15 | 0.28 | 0.24 | 7.029 | 87.44 |
| 105.00 | 4.47 | 0.79 | 0.28 | 0.17 | 0.30 | 0.25 | 6.900 | 83.99 |
| 110.00 | 4.60 | 0.76 | 0.29 | 0.18 | 0.28 | 0.25 | 6.712 | 78.97 |
| 115.00 | 4.20 | 0.73 | 0.33 | 0.15 | 0.27 | 0.25 | 6.606 | 76.15 |
| 120.00 | 4.04 | 0.73 | 0.29 | 0.18 | 0.26 | 0.27 | 6.371 | 69.89 |
| 125.00 | 3.84 | 0.72 | 0.34 | 0.15 | 0.23 | 0.28 | 6.212 | 65.66 |
| 130.00 | 3.71 | 0.70 | 0.34 | 0.15 | 0.23 | 0.28 | 6.006 | 60.16 |
| 135.00 | 3.58 | 0.67 | 0.33 | 0.18 | 0.22 | 0.27 | 5.765 | 53.74 |
Publisher’s Note: MDPI stays neutral with regard to jurisdictional claims in published maps and institutional affiliations. |
© 2022 by the authors. Licensee MDPI, Basel, Switzerland. This article is an open access article distributed under the terms and conditions of the Creative Commons Attribution (CC BY) license (https://creativecommons.org/licenses/by/4.0/).
Share and Cite
Jin, Q.; Xia, S.; Xie, T. Ecological Function Analysis and Optimization of a Recompression S-CO2 Cycle for Gas Turbine Waste Heat Recovery. Entropy 2022, 24, 732. https://doi.org/10.3390/e24050732
Jin Q, Xia S, Xie T. Ecological Function Analysis and Optimization of a Recompression S-CO2 Cycle for Gas Turbine Waste Heat Recovery. Entropy. 2022; 24(5):732. https://doi.org/10.3390/e24050732
Chicago/Turabian StyleJin, Qinglong, Shaojun Xia, and Tianchao Xie. 2022. "Ecological Function Analysis and Optimization of a Recompression S-CO2 Cycle for Gas Turbine Waste Heat Recovery" Entropy 24, no. 5: 732. https://doi.org/10.3390/e24050732
APA StyleJin, Q., Xia, S., & Xie, T. (2022). Ecological Function Analysis and Optimization of a Recompression S-CO2 Cycle for Gas Turbine Waste Heat Recovery. Entropy, 24(5), 732. https://doi.org/10.3390/e24050732
