Sending-or-Not-Sending Twin-Field Quantum Key Distribution with a Passive Decoy-State Method
Abstract
1. Introduction
2. Passive Decoy-State SNS-QKD Protocol
3. The Security Analysis
4. The Key Rate
4.1. The Probability Distribution
4.2. The Parameter Estimation
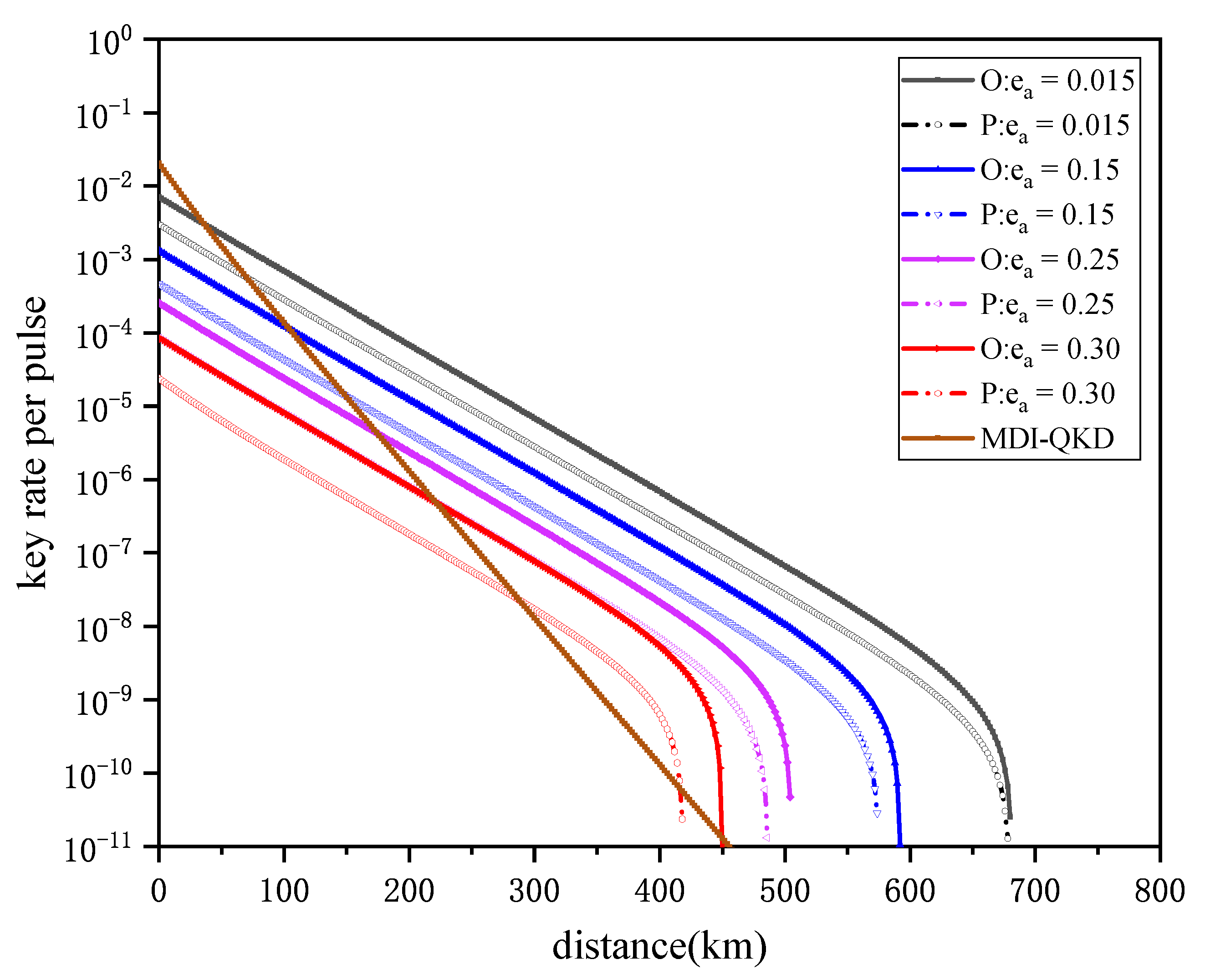
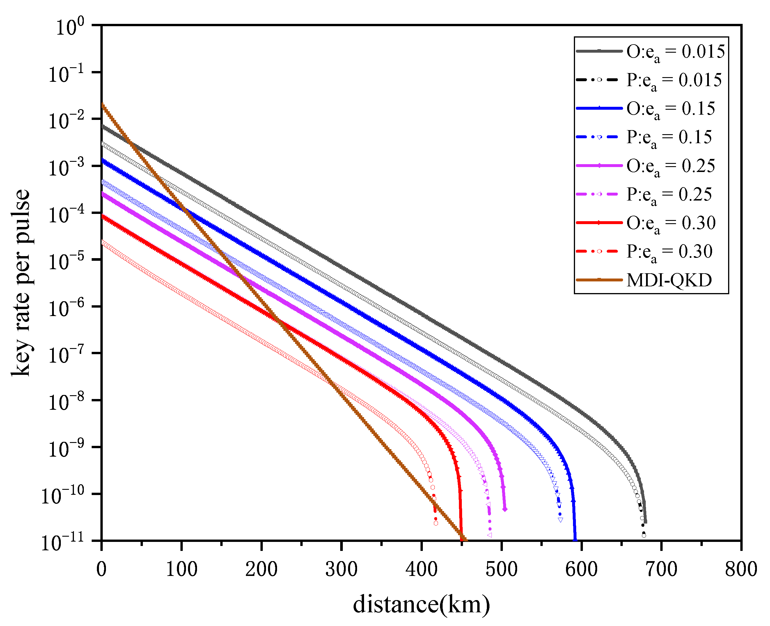
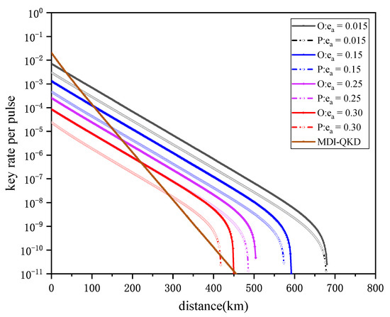
5. Numerical Simulations
6. Conclusions
Author Contributions
Funding
Institutional Review Board Statement
Informed Consent Statement
Data Availability Statement
Conflicts of Interest
References
- Lo, H.K.; Chau, H.F. Unconditional security of quantum key distribution over arbitrarily long distances. Science 1999, 283, 2050–2056. [Google Scholar] [CrossRef] [PubMed]
- Shor, P.W.; Preskill, J. Simple proof of security of the BB84 quantum key distribution protocol. Phys. Rev. Lett. 2000, 85, 441. [Google Scholar] [CrossRef] [PubMed]
- Mayers, D. Unconditional security in quantum cryptography. J. ACM 2001, 48, 351–406. [Google Scholar] [CrossRef]
- Bennett, C.H.; Brassard, G. Quantum cryptography: Public key distribution and coin tossing. In Proceedings of the IEEE International Conference on Computers Systems and Signal Processing, Bangalore, India, 10–12 December 1984; pp. C175–C179. [Google Scholar]
- Lo, H.K.; Curty, M.; Qi, B. Measurement-device-independent quantum key distribution. Phys. Rev. Lett. 2012, 108, 130503. [Google Scholar] [CrossRef] [PubMed]
- Ma, X.; Razavi, M. Alternative schemes for measurement-device-independent quantum key distribution. Phys. Rev. A 2012, 86, 062319. [Google Scholar] [CrossRef]
- Wang, X.B. Three-intensity decoy-state method for device-independent quantum key distribution with basis-dependent errors. Phys. Rev. A 2013, 87, 012320. [Google Scholar] [CrossRef]
- Zhou, Y.H.; Yu, Z.W.; Wang, X.B. Making the decoy-state measurement-device-independent quantum key distribution practically useful. Phys. Rev. A 2016, 93, 042324. [Google Scholar] [CrossRef]
- Li, Z.; Zhang, Y.C.; Xu, F.; Peng, X.; Guo, H. Continuous-variable measurement-device-independent quantum key distribution. Phys. Rev. A 2014, 89, 052301. [Google Scholar] [CrossRef]
- Sasaki, T.; Yamamoto, Y.; Koashi, M. Practical quantum key distribution protocol without monitoring signal disturbance. Nature 2014, 509, 475–478. [Google Scholar] [CrossRef]
- Wang, L.; Zhao, S. Round-robin diferential-phase-shift quantum key distribution with heralded pair-coherent sources. Quantum Inf. Process. 2017, 16, 100. [Google Scholar] [CrossRef]
- Mao, Q.P.; Wang, L.; Zhao, S.M. Plug-and-play round-robin differential phase-shift quantum key distribution. Sci. Rep. 2017, 7, 1–8. [Google Scholar]
- Pirandola, S.; Laurenza, R.; Ottaviani, C.; Banchi, L. Fundamental limits of repeaterless quantum communications. Nat. Commun. 2017, 8, 1–15. [Google Scholar] [CrossRef] [PubMed]
- Lucamarini, M.; Yuan, Z.L.; Dynes, J.F.; Shields, A.J. Overcoming the rate-distance limit of quantum key distribution without quantum repeaters. Nature 2018, 557, 400–403. [Google Scholar] [CrossRef] [PubMed]
- Wang, X.B.; Yu, Z.W.; Hu, X.L. Twin-field quantum key distribution with large misalignment error. Phys. Rev. A 2018, 98, 062323. [Google Scholar] [CrossRef]
- Xu, H.; Yu, Z.W.; Jiang, C.; Hu, X.L.; Wang, X.B. Sending-or-not-sending twin-field quantum key distribution: Breaking the direct transmission key rate. Phys. Rev. A 2020, 101, 042330. [Google Scholar] [CrossRef]
- Ma, X.; Zeng, P.; Zhou, H. Phase-matching quantum key distribution. Phys. Rev. X 2018, 8, 031043. [Google Scholar] [CrossRef]
- Chen, G.; Wang, L.; Li, W.; Zhao, Y.; Zhao, S.M.; Gruska, J. Multiple-pulse phase-matching quantum key distribution. Quantum Inf. Process. 2020, 19, 1–16. [Google Scholar] [CrossRef]
- Yu, Y.; Wang, L.; Zhao, S.; Mao, Q. Decoy-state phase-matching quantum key distribution with source errors. Opt. Express 2021, 29, 2227–2243. [Google Scholar] [CrossRef]
- Yu, B.; Mao, Q.; Zhu, X.; Yu, Y.; Zhao, S. Phase-matching quantum key distribution based on pulse-position modulation. Phys. Lett. A 2021, 418, 127702. [Google Scholar] [CrossRef]
- Lin, J.; Ltkenhaus, N. Simple security analysis of phase-matching measurement-device-independent quantum key distribution. Phys. Rev. A 2018, 98, 042332. [Google Scholar] [CrossRef]
- Cui, C.; Yin, Z.Q.; Wang, R.; Chen, W.; Wang, S.; Guo, G.C.; Han, Z.F. Twin-field quantum key distribution without phase postselection. Phys. Rev. Appl. 2019, 11, 034053. [Google Scholar] [CrossRef]
- Hu, X.L.; Jiang, C.; Yu, Z.W.; Wang, X.B. Sending-or-not-sending twin-field protocol for quantum key distribution with asymmetric source parameters. Phys. Rev. A 2019, 100, 062337. [Google Scholar] [CrossRef]
- Yu, Z.W.; Hu, X.L.; Jiang, C.; Xu, H.; Wang, X.B. Sending-or-not-sending twin-field quantum key distribution in practice. Sci. Rep. 2019, 9, 1–8. [Google Scholar] [CrossRef] [PubMed]
- Jiang, C.; Yu, Z.W.; Hu, X.L.; Wang, X.B. Unconditional security of sending or not sending twin-field quantum key distribution with finite pulses. Phys. Rev. Appl. 2019, 12, 024061. [Google Scholar] [CrossRef]
- Zhang, C.H.; Zhang, C.M.; Wang, Q. Twin-field quantum key distribution with modified coherent states. Opt. Lett. 2019, 44, 1468–1471. [Google Scholar] [CrossRef]
- Qiao, Y.; Chen, Z.; Zhang, Y.; Xu, B.; Guo, H. Sending-or-Not-Sending Twin-Field Quantum Key Distribution with Light Source Monitoring. Entropy 2020, 22, 36. [Google Scholar] [CrossRef]
- Xue, K.; Zhao, S.; Mao, Q.; Xu, R. Plug-and-play sending-or-not-sending twin-field quantum key distribution. Quantum Inf. Process. 2021, 20, 1–16. [Google Scholar] [CrossRef]
- Lu, Y.-F.; Wang, Y.; Jiang, M.-S.; Zhang, X.-X.; Liu, F.; Li, H.-W.; Zhou, C.; Tang, S.-B.; Wang, J.-Y.; Bao, W.-S. Sending or Not-Sending Twin-Field Quantum Key Distribution with Flawed and Leaky Sources. Entropy 2021, 23, 1103. [Google Scholar] [CrossRef]
- Xu, H.; Hu, X.L.; Feng, X.L.; Wang, X.B. Hybrid protocol for sending-or-not-sending twin-field quantum key distribution. Opt. Lett. 2020, 45, 4120–4123. [Google Scholar] [CrossRef]
- Hwang, W.Y. Quantum key distribution with high loss: Toward global secure communication. Phys. Rev. Lett. 2003, 91, 057901. [Google Scholar] [CrossRef]
- Ma, X.; Qi, B.; Zhao, Y.; Lo, H.K. Practical decoy state for quantum key distribution. Phys. Rev. A 2005, 72, 012326. [Google Scholar] [CrossRef]
- Lo, H.K.; Ma, X.; Chen, K. Decoy state quantum key distribution. Phys. Rev. Lett. 2005, 94, 230504. [Google Scholar] [CrossRef] [PubMed]
- Wang, X.B. Beating the Photon-Number-Splitting Attack in Practical Quantum Cryptography. Phys. Rev. Lett. 2005, 94, 230503. [Google Scholar] [CrossRef] [PubMed]
- Wang, X.B. Decoy-state protocol for quantum cryptography with four different intensities of coherent light. Phys. Rev. A 2005, 72, 012322. [Google Scholar] [CrossRef]
- Zhao, Y.; Qi, B.; Lo, H.K.; Qian, L. Security analysis of an untrusted source for quantum key distribution: Passive approach. New J. Phys. 2010, 12, 023024. [Google Scholar] [CrossRef]
- Tang, G.Z.; Sun, S.H.; Xu, F.; Chen, H.; Li, C.Y.; Liang, L.M. Experimental asymmetric plug-and-play measurement-device-independent quantum key distribution. Phys. Rev. A 2016, 94, 032326. [Google Scholar] [CrossRef]
- Jiang, M.S.; Sun, S.H.; Li, C.Y.; Liang, L.M. Wavelength-selected photon-number-splitting attack against plug-and-play quantum key distribution systems with decoy states. Phys. Rev. A 2012, 86, 032310. [Google Scholar] [CrossRef]
- Mauerer, W.; Silberhorn, C. Quantum key distribution with passive decoy state selection. Phys. Rev. A 2007, 75, 050305. [Google Scholar] [CrossRef]
- Adachi, Y.; Yamamoto, T.; Koashi, M.; Imoto, N. Simple and efficient quantum key distribution with parametric down-conversion. Phys. Rev. Lett. 2007, 99, 180503. [Google Scholar] [CrossRef]
- Wang, Q.; Zhang, C.H.; Wang, X.B. Scheme for realizing passive quantum key distribution with heralded single-photon sources. Phys. Rev. A 2016, 93, 032312. [Google Scholar] [CrossRef]
- Zhang, C.H.; Zhang, C.M.; Wang, Q. Efficient passive measurement-device-independent quantum key distribution. Phys. Rev. A 2019, 99, 052325. [Google Scholar] [CrossRef]
- Teng, J.; Lu, F.-Y.; Yin, Z.-Q.; Fan-Yuan, G.-J.; Wang, R.; Wang, S.; Chen, W.; Huang, W.; Xu, B.-J.; Guo, G.-C.; et al. Twin-field quantum key distribution with passive-decoy state. New J. Phys. 2020, 22, 103017. [Google Scholar] [CrossRef]
- Zhang, C.-H.; Wang, D.; Zhou, X.-Y.; Wang, S.; Zhang, L.-B.; Yin, Z.-Q.; Chen, W.; Han, Z.-F.; Guo, G.-C.; Wang, Q. Proof-of-principle demonstration of parametric down-conversion source-based quantum key distribution over 40 dB channel loss. Opt. Express 2018, 26, 25921–25933. [Google Scholar] [CrossRef] [PubMed]
- Yurke, B.; Potasek, M. Obtainment of thermal noise from a pure quantum state. Phys. Rev. A 1987, 36, 3464. [Google Scholar] [CrossRef]
- Barreiro, J.T.; Langford, N.K.; Peters, N.A.; Kwiat, P.G. Generation of hyperentangled photon pairs. Phys. Rev. Lett. 2005, 95, 260501. [Google Scholar] [CrossRef]
- Li, X.; Voss, P.L.; Sharping, J.E.; Kumar, P. Optical-fiber source of polarization-entangled photons in the 1550 nm telecom band. Phys. Rev. Lett. 2005, 94, 053601. [Google Scholar] [CrossRef]
- Ribordy, G.; Brendel, J.; Gautier, J.D.; Gisin, N.; Zbinden, H. Long-distance entanglement-based quantum key distribution. Phys. Rev. A 2000, 63, 012309. [Google Scholar] [CrossRef]
- Mori, S.; Söderholm, J.; Namekata, N.; Inoue, S. On the distribution of 1550-nm photon pairs efficiently generated using a periodically poled lithium niobate waveguide. Opt. Commun. 2006, 264, 156–162. [Google Scholar] [CrossRef][Green Version]




| Events | Da1 | Da2 |
|---|---|---|
| 0 | 0 | |
| 1 | 0 | |
| 0 | 1 | |
| 1 | 1 |
| Case | ||||
|---|---|---|---|---|
| 0 | 0 | |||
| 0 | 0 | |||
| 0 | 0 | 0 | 1 |
| Sender | Signal Window | Decoy Windows |
|---|---|---|
| Alice | other events | |
| Bob | other events |
| f | ||||||
|---|---|---|---|---|---|---|
| 0.2 | 0.5 | 0.5 | 0.5 | 1.10 |
Publisher’s Note: MDPI stays neutral with regard to jurisdictional claims in published maps and institutional affiliations. |
© 2022 by the authors. Licensee MDPI, Basel, Switzerland. This article is an open access article distributed under the terms and conditions of the Creative Commons Attribution (CC BY) license (https://creativecommons.org/licenses/by/4.0/).
Share and Cite
Xue, K.; Shen, Z.; Zhao, S.; Mao, Q. Sending-or-Not-Sending Twin-Field Quantum Key Distribution with a Passive Decoy-State Method. Entropy 2022, 24, 662. https://doi.org/10.3390/e24050662
Xue K, Shen Z, Zhao S, Mao Q. Sending-or-Not-Sending Twin-Field Quantum Key Distribution with a Passive Decoy-State Method. Entropy. 2022; 24(5):662. https://doi.org/10.3390/e24050662
Chicago/Turabian StyleXue, Ke, Zhigang Shen, Shengmei Zhao, and Qianping Mao. 2022. "Sending-or-Not-Sending Twin-Field Quantum Key Distribution with a Passive Decoy-State Method" Entropy 24, no. 5: 662. https://doi.org/10.3390/e24050662
APA StyleXue, K., Shen, Z., Zhao, S., & Mao, Q. (2022). Sending-or-Not-Sending Twin-Field Quantum Key Distribution with a Passive Decoy-State Method. Entropy, 24(5), 662. https://doi.org/10.3390/e24050662
